Food Order and Timing Effects on Glycaemic and Satiety Responses to Partial Fruit-for-Cereal Carbohydrate Exchange: A Randomized Cross-Over Human Intervention Study
Abstract
1. Introduction
2. Methods
2.1. Meal Components
2.2. Analyses
Available Carbohydrates in Kiwifruit and Meals
2.3. Formulation of Meals
2.4. Human Intervention Study
2.4.1. Recruitment and Screening
2.4.2. Participants
2.4.3. Preparation and Ingestion of Meals
2.4.4. Participant Instructions
2.4.5. Blood Glucose Measurement
2.4.6. Satiety
2.5. Data Analysis
3. Results
3.1. Carbohydrate Analysis
3.2. Glycaemic Response
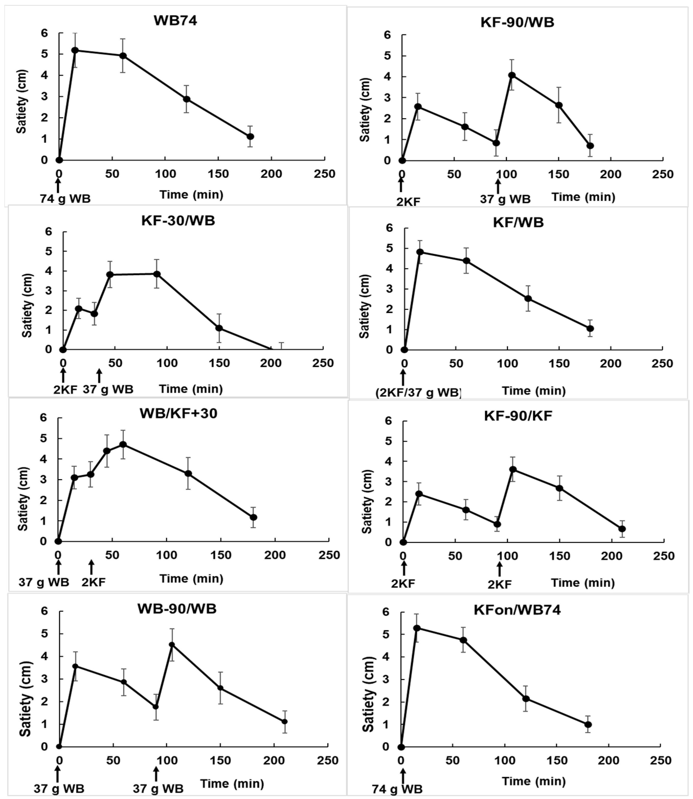
3.3. Satiety
4. Discussion
5. Conclusions
- -
- Equi-carbohydrate partial substitution of low GI fructose in fruit sugars for higher GI carbohydrates such as cooked starch.
- -
- Separation of fruit and starchy foods in a meal enough to avoid overlap of the glycaemic responses to each.
- -
- Ingestion of the fruit no later than the starchy food to ensure that the starch digestion is subjected to interactions with fruit remnants and components, such as dietary fibre and organic acids, that delay digestion and absorption.
Author Contributions
Funding
Institutional Review Board Statement
Informed Consent Statement
Data Availability Statement
Acknowledgments
Conflicts of Interest
Appendix A





| BGR IAUC | Satiety IAUC | Peak (a) | Peak (b) | ||
|---|---|---|---|---|---|
| mmol/L/min | cm × min | mmol/L | mmol/L | ||
| WB74 | 169.6 | 644.4 | WB74 | 2.67 | 2.992 |
| KF-90/WB | 135.6 | 485.0 | KF-90/WB (a) | 1.448 | 1.617 |
| KF-30/WB | 124.5 | 557.6 | KF-90/WB (b) | 1.653 | 2.097 |
| (KF/WB) | 118.9 | 595.9 | KF-30/WB | 1.425 | 1.985 |
| WB/KF+30 | 133.7 | 557.3 | (KF/WB) | 2.29 | 2.465 |
| KF-90/KF | 113.9 | 426.3 | WB/KF+30 | 2.32 | 2.76 |
| WB-90/WB | 186.7 | 531.1 | KF-90/KF (a) | 1.498 | 1.782 |
| KFon/WB74 | 157.9 | 580.4 | KF-90/KF (b) | 1.143 | 1.377 |
| WB-90/WB (a) | 1.935 | 2.265 | |||
| WB-90/WB (b) | 2.19 | 2.275 | |||
| KFon/WB74 | 2.795 | 3.105 | |||
| Average LSD | 28.22 | 224 | 0.4602 | 0.3587 |
| Meal (Table 1) | Mean (mmol/L) | sem | Decrease from WB74 (%) | |
|---|---|---|---|---|
| WB74 | 2.67 | ef | 0.19 | 0 |
| KF-90/WB (a) | 1.45 | ab | 0.11 | 46 |
| KF-90/WB (b) | 1.65 | bc | 0.22 | 38 |
| KF-30/WB | 1.43 | ab | 0.18 | 47 |
| KF/WB | 2.29 | de | 0.20 | 14 |
| WB/KF+30 | 2.32 | de | 0.28 | 13 |
| KF-90/KF (a) | 1.50 | abc | 0.17 | 44 |
| KF-90/KF (b) | 1.14 | a | 0.19 | 57 |
| WB-90/WB (a) | 1.94 | cd | 0.24 | 28 |
| WB-90/WB (b) | 2.19 | d | 0.18 | 18 |
| KFon/WB74 | 2.80 | f | 0.30 | −5 |
| LSD (5%) | 0.460 | |||
| p | <0.001 | |||
References
- Dreher, M.L. Whole Fruits and Fruit Fiber Emerging Health Effects. Nutrients 2018, 10, 1833. [Google Scholar] [CrossRef] [PubMed]
- Hosseini, F.; Jayedi, A.; Khan, T.A.; Shab-Bidar, S. Dietary carbohydrate and the risk of type 2 diabetes: An updated systematic review and dose-response meta-analysis of prospective cohort studies. Sci. Rep. 2022, 12, 2491. [Google Scholar] [CrossRef] [PubMed]
- Lu, X.J.; Lu, J.C.; Fan, Z.H.; Liu, A.S.; Zhao, W.Q.; Wu, Y.X.; Zhu, R.X. Both Isocarbohydrate and Hypercarbohydrate Fruit Preloads Curbed Postprandial Glycemic Excursion in Healthy Subjects. Nutrients 2021, 13, 2470. [Google Scholar] [CrossRef] [PubMed]
- Monro, J.; Mishra, S.; Stoklosinski, H.; Bentley-Hewitt, K.; Hedderley, D.; Dinnan, H.; Martell, S. Dietary Fibre and Organic Acids in Kiwifruit Suppress Glycaemic Response Equally by Delaying Absorption-A Randomised Crossover Human Trial with Parallel Analysis of C-13-Acetate Uptake. Nutrients 2022, 14, 3189. [Google Scholar] [CrossRef] [PubMed]
- Mishra, S.; Monro, J. Kiwifruit remnants from digestion in vitro have functional attributes of potential importance to health. Food Chem. 2012, 135, 2188–2194. [Google Scholar] [CrossRef] [PubMed]
- Freitas, D.; Le Feunteun, S. Acid induced reduction of the glycaemic response to starch-rich foods: The salivary-amylase inhibition hypothesis. Food Funct. 2018, 9, 5096–5102. [Google Scholar] [CrossRef] [PubMed]
- Hunt, J.N.; Knox, M.T. Slowing of gastric emptying by 9 acids. J. Physiol. 1969, 201, 161–179. [Google Scholar] [CrossRef] [PubMed]
- Grundy, M.M.L.; Edwards, C.H.; Mackie, A.R.; Gidley, M.J.; Butterworth, P.J.; Ellis, P.R. Re-evaluation of the mechanisms of dietary fibre and implications for macronutrient bioaccessibility, digestion and postprandial metabolism. Br. J. Nutr. 2016, 116, 816–833. [Google Scholar] [CrossRef] [PubMed]
- Dimitriadis, G.D.; Maratou, E.; Kountouri, A.; Board, M.; Lambadiari, V. Regulation of Postabsorptive and Postprandial Glucose Metabolism by Insulin-Dependent and Insulin-Independent Mechanisms: An Integrative Approach. Nutrients 2021, 13, 159. [Google Scholar] [CrossRef] [PubMed]
- Brighenti, F.; Benini, L.; Del Rio, D.; Casiraghi, C.; Pellegrini, N.; Scazzina, F.; Jenkins, D.J.A.; Vantini, I. Colonic fermentation of indigestible carbohydrates contributes to the second-meal effect. Am. J. Clin. Nutr. 2006, 83, 817–822. [Google Scholar] [CrossRef] [PubMed]
- Flint, A.; Gregersen, N.T.; Gluud, L.L.; Moller, B.K.; Raben, A.; Tetens, I.; Verdich, C.; Astrup, A. Associations between postprandial insulin and blood glucose responses, appetite sensations and energy intake in normal weight and overweight individuals: A meta-analysis of test meal studies. Br. J. Nutr. 2007, 98, 17–25. [Google Scholar] [CrossRef] [PubMed]
- Shukla, A.P.; Mauer, E.; Igel, L.I.; Truong, W.; Casper, A.; Kumar, R.B.; Saunders, K.H.; Aronne, L.J. Effect of Food Order on Ghrelin Suppression. Diabetes Care 2018, 41, E76–E77. [Google Scholar] [CrossRef] [PubMed]
- Shukla, A.P.; Dickison, M.; Coughlin, N.; Karan, A.; Mauer, E.; Truong, W.; Casper, A.; Emiliano, A.B.; Kumar, R.B.; Saunders, K.H.; et al. The impact of food order on postprandial glycaemic excursions in prediabetes. Diabetes Obes. Metab. 2019, 21, 377–381. [Google Scholar] [CrossRef] [PubMed]
- Imai, S.; Matsuda, M.; Hasegawa, G.; Fukui, M.; Obayashi, H.; Ozasa, N.; Kajiyama, S. A simple meal plan of ‘eating vegetables before carbohydrate’ was more effective for achieving glycemic control than an exchange-based meal plan in Japanese patients with type 2 diabetes. Asia Pac. J. Clin. Nutr. 2011, 20, 161–168. [Google Scholar] [PubMed]
- Flint, A.; Raben, A.; Blundell, J.E.; Astrup, A. Reproducibility, power and validity of visual analogue scares in assessment of appetite sensations in single test meal studies. Int. J. Obes. 2000, 24, 38–48. [Google Scholar] [CrossRef] [PubMed]
- Watt, C.; Sanchez-Rangel, E.; Hwang, J.J. Glycemic Variability and CNS Inflammation: Reviewing the Connection. Nutrients 2020, 12, 3906. [Google Scholar] [CrossRef] [PubMed]
- Gugliucci, A. Formation of Fructose-Mediated Advanced Glycation End Products and Their Roles in Metabolic and Inflammatory Diseases. Adv. Nutr. 2017, 8, 54–62. [Google Scholar] [CrossRef] [PubMed]
- Caliceti, C.; Calabria, D.; Roda, A.; Cicero, A.F.G. Fructose Intake, Serum Uric Acid, and Cardiometabolic Disorders: A Critical Review. Nutrients 2017, 9, 395. [Google Scholar] [CrossRef] [PubMed]
- Laughlin, M.R. Normal Roles for Dietary Fructose in Carbohydrate Metabolism. Nutrients 2014, 6, 3117–3129. [Google Scholar] [CrossRef]
- Hawton, K.; Ferriday, D.; Rogers, P.; Toner, P.; Brooks, J.; Holly, J.; Biernacka, K.; Hamilton-Shield, J.; Hinton, E. Slow Down: Behavioural and Physiological Effects of Reducing Eating Rate. Nutrients 2019, 11, 50. [Google Scholar] [CrossRef]





| No. | ID | Description of Treatment |
|---|---|---|
| 1 | WB74 | WB (74 g) ingested alone |
| 2 | KF-90/WB | KF (200 g) ingested 90 min before consuming 37 g WB |
| 3 | KF-30/WB | KF (200 g) ingested 30 min before consuming 37 g WB |
| 4 | KF/WB | KF (200 g) ingested at the same time as 37 g WB |
| 5 | WB/KF+30 | KF (200 g) ingested 30 min after consuming 37 g WB |
| 6 | KF-90/KF | KF (200 g) ingested 90 min before another 200 g kiwifruit. |
| 7 | WB-90/WB | WB 37 g ingested 90 min before another 37 g WB (total 74 g) |
| 8 | KFon/WB74 | WB (74 g) ingested the morning after having consumed 200 g KF at 22 h the previous evening |
| Meal | Energy (kJ) | Available Carbohydrate (g) | Sugars (g) | Dietary Fibre (g) | Protein (g) |
|---|---|---|---|---|---|
| 74 g WB | 1088 | 49.6 | 1.48 | 7.7 | 8.88 |
| 37 g WB + 200 g KF | 1020 | 49.6 | 25.5 | 6.7 | 6.48 |
| 37 g WB | 544 | 24.8 | 0.74 | 3.9 | 4.44 |
| 200 g KF | 476 | 24.8 | 24.8 | 2.8 | 2.04 |
| 400 g KF | 952 | 49.6 | 49.6 | 5.6 | 4.08 |
| Meal | Time (min) | |||||||||||||
|---|---|---|---|---|---|---|---|---|---|---|---|---|---|---|
| 1 | WB74 | 0 | 15 | 30 | 45 | 60 | 90 | 120 | 180 | |||||
| 2 | KF-90/WB | 0 | 15 | 30 | 45 | 60 | 90 | 105 | 120 | 135 | 150 | 180 | 210 | |
| 3 | KF-30/WB | 0 | 15 | 30 | 45 | 60 | 75 | 90 | 120 | 150 | 210 | |||
| 4 | KF/WB | 0 | 15 | 30 | 45 | 60 | 90 | 120 | 180 | |||||
| 5 | WB/KF+30 | 0 | 15 | 30 | 45 | 60 | 75 | 90 | 120 | 180 | ||||
| 6 | KF-90/KF | 0 | 15 | 30 | 45 | 60 | 90 | 105 | 120 | 135 | 150 | 180 | 210 | |
| 7 | WB-90/WB | 0 | 15 | 30 | 45 | 60 | 90 | 105 | 120 | 135 | 150 | 180 | 210 | |
| 8 | KFon/WB74 | 0 | 15 | 30 | 45 | 60 | 90 | 120 | 180 | |||||
Disclaimer/Publisher’s Note: The statements, opinions and data contained in all publications are solely those of the individual author(s) and contributor(s) and not of MDPI and/or the editor(s). MDPI and/or the editor(s) disclaim responsibility for any injury to people or property resulting from any ideas, methods, instructions or products referred to in the content. |
© 2023 by the authors. Licensee MDPI, Basel, Switzerland. This article is an open access article distributed under the terms and conditions of the Creative Commons Attribution (CC BY) license (https://creativecommons.org/licenses/by/4.0/).
Share and Cite
Mishra, S.; McLaughlin, A.; Monro, J. Food Order and Timing Effects on Glycaemic and Satiety Responses to Partial Fruit-for-Cereal Carbohydrate Exchange: A Randomized Cross-Over Human Intervention Study. Nutrients 2023, 15, 3269. https://doi.org/10.3390/nu15143269
Mishra S, McLaughlin A, Monro J. Food Order and Timing Effects on Glycaemic and Satiety Responses to Partial Fruit-for-Cereal Carbohydrate Exchange: A Randomized Cross-Over Human Intervention Study. Nutrients. 2023; 15(14):3269. https://doi.org/10.3390/nu15143269
Chicago/Turabian StyleMishra, Suman, Andrew McLaughlin, and John Monro. 2023. "Food Order and Timing Effects on Glycaemic and Satiety Responses to Partial Fruit-for-Cereal Carbohydrate Exchange: A Randomized Cross-Over Human Intervention Study" Nutrients 15, no. 14: 3269. https://doi.org/10.3390/nu15143269
APA StyleMishra, S., McLaughlin, A., & Monro, J. (2023). Food Order and Timing Effects on Glycaemic and Satiety Responses to Partial Fruit-for-Cereal Carbohydrate Exchange: A Randomized Cross-Over Human Intervention Study. Nutrients, 15(14), 3269. https://doi.org/10.3390/nu15143269

