Large Iodine Variability in Retail Cows’ Milk in the U.S.: A Follow-Up Study among Different Retail Outlets
Abstract
1. Introduction
2. Materials and Methods
2.1. Sampling Plan
2.2. Iodine Analysis
2.3. Data Analysis
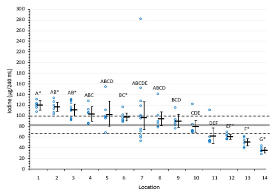
3. Results and Discussion
3.1. Sample Descriptive Information
3.2. Quality Control
3.3. Milk Iodine Content
4. Conclusions
5. Future Directions
Author Contributions
Funding
Data Availability Statement
Acknowledgments
Conflicts of Interest
References
- Hatch-McChesney, A.; Lieberman, H.R. Iodine and iodine deficiency: A comprehensive review of a re-emerging issue. Nutrients 2022, 14, 3474. [Google Scholar] [PubMed]
- Institute of Medicine (IOM), Panel on Micronutrients. Dietary Reference Intakes for Vitamin A, Vitamin K, Arsenic, Boron, Chromium, Copper, Iodine, Iron, Manganese, Molybdenum, Nickel, Silicon, Vanadium, and Zinc; National Academies Press: Washington, DC, USA, 2001. Available online: https://www.ncbi.nlm.nih.gov/books/NBK222323/#ddd00398 (accessed on 8 September 2022).
- Abt, E.; Spungen, J.; Pouillot, R.; Gamalo-Siebers, M.; Wirtz, M. Update on dietary intake of perchlorate and iodine from US food and drug administration’s total diet study: 2008–2012. J. Expo. Sci. Environ. Epidemiol. 2018, 28, 21–30. [Google Scholar]
- Ershow, A.G.; Haggans, C.J.; Roseland, J.M.; Patterson, K.Y.; Spungen, J.H.; Gahche, J.J.; Merkel, J.M.; Pehrsson, P.R. Databases of Iodine Content of Foods and Dietary Supplements–Availability of New and Updated Resources. J. Acad. Nutr. Diet. 2022, 122, 1229–1231. [Google Scholar] [PubMed]
- Roseland, J.M.; Phillips, K.M.; Patterson, K.Y.; Pehrsson, P.R.; Bahadur, R.; Ershow, A.G.; Somanchi, M. Large variability of iodine content in retail cow’s milk in the US. Nutrients 2020, 12, 1246. [Google Scholar] [PubMed]
- Haytowitz, D.B.; Pehrsson, P.R. USDA’s National Food and Nutrient Analysis Program (NFNAP) produces high-quality data for USDA food composition databases: Two decades of collaboration. Food Chem. 2018, 238, 134–138. [Google Scholar] [PubMed]
- U.S. Department of Agriculture (USDA), Agricultural Research Service. FoodData Central. 2023. Available online: https://fdc.nal.usda.gov/ (accessed on 15 February 2023).
- Pehrsson, P.; Perry, C.; Daniel, M. ARS, USDA updates food sampling strategies to keep pace with demographic shifts. Procedia Food Sci. 2013, 2, 52–59. [Google Scholar]
- Trainer, D.; Pehrsson, P.R.; Haytowitz, D.B.; Holden, J.M.; Phillips, K.M.; Rasor, A.S.; Conley, N.A. Development of sample handling procedures for foods under USDA’s National Food and Nutrient Analysis Program. J. Food Compost. Anal. 2010, 23, 843–851. [Google Scholar] [PubMed]
- AOAC. Official Methods of Analysis, 20th ed.; Association of Official Analytical Chemists International: Gaithersburg, MD, USA, 2022. [Google Scholar]
- U.S. Food and Drug Administration (FDA). Elemental Analysis Manual, EAM 4.13. 2023. Available online: https://www.fda.gov/media/103112/download (accessed on 17 April 2023).
- Horwitz, W.; Albert, R. The Horwitz ratio (HorRat): A useful index of method performance with respect to precision. J. AOAC Int. 2006, 89, 1095–1109. [Google Scholar] [PubMed]
- U.S. Department of Health and Human Services, U.S. Food and Drug Administration (FDA), Center for Food Safety and Applied Nutrition. Food Labeling: Serving Sizes of Foods that can Reasonably be Consumed at One Eating Occasion; Dual-Column Labeling; Updating, Modifying, and Establishing Certain Reference Amounts Customarily Consumed; Serving Size for Breath Mints; and Technical Amendments: Guidance for Industry Small Entity Compliance Guide. Page 26. 2018. Available online: https://www.fda.gov/media/111144/download (accessed on 8 September 2022).
- Harville, D.A. Bayesian inference for variance components using only error contrasts. Biometrika 1974, 61, 383–385. [Google Scholar]
- U.S. Department of Health and Human Services, Public Health Services, Food and Drug Administration (FDA). Grade “A” Pasteurized Milk Ordinance, pp. 51, 211. 2017. Available online: http://ncims.org/wp-content/uploads/2018/06/2017-PMO-FINAL.pdf (accessed on 14 September 2022).
- NIST, Standard Reference Material® 1869 Infant/Adult Nutritional Formula II (Milk/Soy/Whey Based) Certificate of Analysis, December 23, 2022. National Institute of Standards and Technology: Gaithersbur, MD, USA. Available online: https://tsapps.nist.gov/srmext/certificates/1869.pdf (accessed on 31 January 2022).
- Ahvanooei, M.R.R.; Norouzian, M.A.; Hedayati, M.; Vahmani, P. Effect of potassium iodide supplementation and teat-dipping on iodine status in dairy cows and milk iodine levels. Domest. Anim. Endocrinol. 2021, 74, 106504. [Google Scholar]
- Castro, S.I.B.; Berthiaume, R.; Robichaud, A.; Lacasse, P. Effects of iodine intake and teat-dipping practices on milk iodine concentrations in dairy cows. J. Dairy Sci. 2012, 95, 213–220. [Google Scholar] [PubMed]
- Franke, K.; Meyer, U.; Wagner, H.; Flachowsky, G. Influence of various iodine supplementation levels and two different iodine species on the iodine content of the milk of cows fed rapeseed meal or distillers dried grains with solubles as the protein source. J. Dairy Sci. 2009, 92, 4514–4523. [Google Scholar] [PubMed]
- Upah, N.; Pearce, S.; Baumgard, L.H. Effects of Iodine Source and Dose in Lactating Dairy Cows; Animal Industry Report: AS 657, ASL R2602; Iowa State University: Ames, IA, USA, 2011; (Unpublished work); Available online: https://iastatedigitalpress.com/air/article/id/5675/ (accessed on 8 September 2022).
- van der Reijden, O.L.; Galetti, V.; Herter-Aeberli, I.; Zimmermann, M.B.; Zeder, C.; Krzystek, A.; Haldimann, M.; Barmaz, A.; Kreuzer, M.; Berard, J. Effects of feed iodine concentrations and milk processing on iodine concentrations of cows’ milk and dairy products, and potential impact on iodine intake in Swiss adults. Brit. J. Nutr. 2019, 122, 172–185. [Google Scholar] [PubMed]
- Weiss, W.P.; Wyatt, D.J.; Kleinschmit, D.H.; Socha, M.T. Effect of including canola meal and supplemental iodine in diets of dairy cows on short-term changes in iodine concentrations in milk. J. Dairy Sci. 2015, 98, 4841–4849. [Google Scholar] [PubMed]
- National Research Council (NRC). Nutrient Requirements of Dairy Cattle, 7th ed.; National Academies Press: Washington, DC, USA, 2001. [Google Scholar] [CrossRef]
- Lanka, K.E. The Importance of Micro Minerals: Iodine. Posted 24 July 2015. Agri-King: Fulton, IL, USA (Unpublished work). Available online: https://agriking.com/the-importance-of-micro-minerals-iodin/ (accessed on 8 September 2022).
- Code of Federal Regulations (CFR). Tolerance Exemption Limits for Acctive and Inert Ingredients for Use in Antimicrobial Formulations (Food-Contact Surface Sanitizing Solutions), 40 C.F.R.§180.940(a). 2004. Available online: https://www.ecfr.gov/current/title-40/chapter-I/subchapter-E/part-180/subpart-D/section-180.940 (accessed on 22 March 2023).
- Mohan, M.S.; Hopkinson, J.; Harte, F. Milk and ice cream processing. Food Processing: Principles and Applications; John Wiley & Sons, Inc.: Hoboken, NJ, USA, 2014; pp. 383–404. [Google Scholar]
- Bruhn, J.C.; Franke, A.A.; Bushnell, R.B.; Weisheit, H.; Hutton, G.H.; Gurtle, G.C. Sources and content of iodine in California milk and dairy products. J. Food Prot. 1983, 46, 41–46. [Google Scholar] [PubMed]
- Bruhn, J.C.; Franke, A.A.; Smith, T.W. Iodine in California farm milk: 1985–1986. J. Food Prot. 1987, 50, 765–768. [Google Scholar] [PubMed]
- Higgins, K.A.; Bi, X.; Davis, B.J.K.; Barraj, L.M.; Scrafford, C.G.; Murphy, M.M. Adequacy of total usual micronutrient intakes among pregnant women in the United States by level of dairy consumption, NHANES 2003–2016. Nutr. Health 2022, 28, 621–631. [Google Scholar] [PubMed]
- Zhang, K.; Cheng, J.; Yu, J.; Chen, Y.; Shi, X.; Zhu, C.; Lu, Y.; Wang, N.; Han, B. Trends in Iodine Status Among US Children and Adults: A Cross-Sectional Analysis of National Health and Nutrition Examination Survey Data from 2001–2004 to 2017–2020. Thyroid 2022, 32, 962–971. [Google Scholar] [PubMed]
- Carriquiry, A.L.; Spungen, J.H.; Murphy, S.P.; Pehrsson, P.R.; Dwyer, J.T.; Juan, W.; Wirtz, M.S. Variation in the Iodine Concentrations of Foods: Considerations for Dietary Assessment. Am. J. Clin. Nutr. 2016, 104 (Suppl. 3), 877s–887s. [Google Scholar] [PubMed]
- Roseland, J.M.; Spungen, J.H.; Patterson, K.Y.; Ershow, A.G.; Gahche, J.J.; Heydorn, K.; Regan, K.; Pehrsson, P.R. USDA, FDA and ODS-NIH Database for the Iodine Content of Common Foods. Release 3. 2023. Available online: https://www.ars.usda.gov/northeast-area/beltsville-md-bhnrc/beltsville-human-nutrition-research-center/methods-and-application-of-food-composition-laboratory/mafcl-site-pages/iodine/ (accessed on 28 June 2023).



| Location | Location Mean | Difference between Location Mean and Overall Mean | Standard Error of Difference |
|---|---|---|---|
| 1 | 119 | 36.9 | 3.4 |
| 2 | 117 | 34.2 | 5.6 |
| 3 | 110 | 28.0 | 4.2 |
| 6 | 97.4 | 14.9 | 5.6 |
| 12 | 60.6 | −22.0 | 3.4 |
| 13 | 50.1 | −32.0 | 3.4 |
| 14 | 35.3 | −47.0 | 3.4 |
Disclaimer/Publisher’s Note: The statements, opinions and data contained in all publications are solely those of the individual author(s) and contributor(s) and not of MDPI and/or the editor(s). MDPI and/or the editor(s) disclaim responsibility for any injury to people or property resulting from any ideas, methods, instructions or products referred to in the content. |
© 2023 by the authors. Licensee MDPI, Basel, Switzerland. This article is an open access article distributed under the terms and conditions of the Creative Commons Attribution (CC BY) license (https://creativecommons.org/licenses/by/4.0/).
Share and Cite
Roseland, J.M.; Phillips, K.M.; Vinyard, B.T.; Todorov, T.; Ershow, A.G.; Pehrsson, P.R. Large Iodine Variability in Retail Cows’ Milk in the U.S.: A Follow-Up Study among Different Retail Outlets. Nutrients 2023, 15, 3077. https://doi.org/10.3390/nu15143077
Roseland JM, Phillips KM, Vinyard BT, Todorov T, Ershow AG, Pehrsson PR. Large Iodine Variability in Retail Cows’ Milk in the U.S.: A Follow-Up Study among Different Retail Outlets. Nutrients. 2023; 15(14):3077. https://doi.org/10.3390/nu15143077
Chicago/Turabian StyleRoseland, Janet M., Katherine M. Phillips, Bryan T. Vinyard, Todor Todorov, Abby G. Ershow, and Pamela R. Pehrsson. 2023. "Large Iodine Variability in Retail Cows’ Milk in the U.S.: A Follow-Up Study among Different Retail Outlets" Nutrients 15, no. 14: 3077. https://doi.org/10.3390/nu15143077
APA StyleRoseland, J. M., Phillips, K. M., Vinyard, B. T., Todorov, T., Ershow, A. G., & Pehrsson, P. R. (2023). Large Iodine Variability in Retail Cows’ Milk in the U.S.: A Follow-Up Study among Different Retail Outlets. Nutrients, 15(14), 3077. https://doi.org/10.3390/nu15143077

