Dietary Intake of Multiple Nutrient Elements and Associated Health Effects in the Chinese General Population from a Total Diet Study
Abstract
1. Introduction
2. Materials and Methods
2.1. Food Sampling and Food Consumption Data
2.2. Detection Method, Detection Limit, and Undetected Data Processing
2.3. Estimation of Dietary Intake
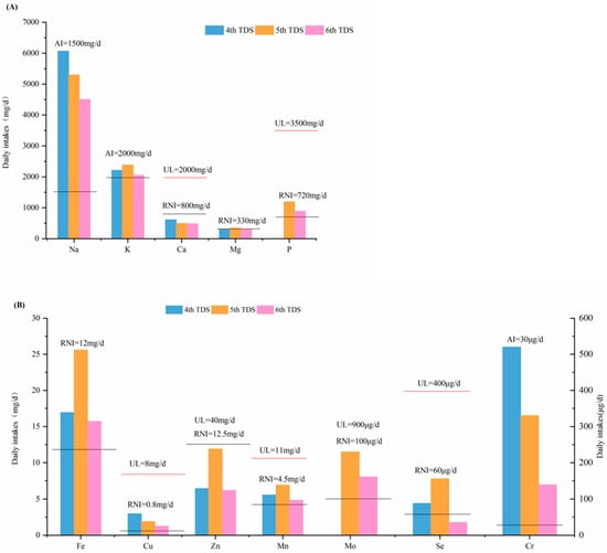
3. Results and Discussion
3.1. Analysis of Nutrient Elements in Dietary Samples
3.1.1. Content of Macro-Elements in Dietary Samples
3.1.2. Trace Elements in Dietary Samples
3.1.3. Food Categories and Regional Distribution Characteristics of Nutrient Elements
3.2. Intake and Dietary Sources
3.2.1. Dietary Na and K Intake
3.2.2. Dietary Ca and P Intake
3.2.3. Intake of Dietary Fe, Mn, Cu, Mo, and Cr
3.2.4. Dietary Intake of Mg, Zn, and Se
3.3. Comparison with Previous China TDSs and TDSs in Other Countries
4. Conclusions
Supplementary Materials
Author Contributions
Funding
Institutional Review Board Statement
Informed Consent Statement
Data Availability Statement
Acknowledgments
Conflicts of Interest
References
- Sun, C.H. Nutrition and Food Hygiene; PMPH: Beijing, China, 2017. [Google Scholar]
- EVM (Expert Group on Vitamins and Minerals). Safe Upper Levels for Vitamins and Minerals; EVM: London, UK, 2003. [Google Scholar]
- Geissler, C.; Powers, H. Human Nutrition, 13th ed.; Oxford University Press: Oxford, UK, 2017. [Google Scholar]
- Li, J.; Liao, B.; Lan, C.; Qiu, J.; Shu, W. Zinc, nickel and cadmium in carambolas marketed in Guangzhou and Hong Kong, China: Implication for human health. Sci. Total Environ. 2007, 388, 405–412. [Google Scholar] [CrossRef] [PubMed]
- WHO. Vitamin and Mineral Requirements in Human Nutrition, 2nd ed.; WHO: Geneva, Switzerland, 2004. [Google Scholar]
- Dunn, L.L.; Rahmanto, Y.S.; Richardson, D.R. Iron uptake and metabolism in the new millennium. Trends Cell Biol. 2007, 17, 93–100. [Google Scholar] [CrossRef] [PubMed]
- EFSA (European Food Safety Authority). Tolerable Upper Intake Levels for Vitamins and Minerals; EFSA: Parma, Italy, 2006.
- Hill, C.H.; Ashwell, C.M.; Nolin, S.J.; Keeley, F.; Billingham, C.; Hinek, A.; Starcher, B. Dietary iron deficiency compromises normal development of elastic fibers in the aorta and lungs of chicks. J. Nutr. 2007, 137, 1895–1900. [Google Scholar] [CrossRef] [PubMed]
- WHO. Total Diet Studies: A Recipe for Safer Food; WHO: Geneva, Switzerland, 2005. [Google Scholar]
- Wu, Y.N.; Li, X.W. The Fourth China Total Diet Study, 1st ed.; Chemical Industry Press: Beijing, China, 2015; pp. 64–88. [Google Scholar]
- Wu, Y.N.; Zhao, Y.F.; Li, J.G. The Fifth China Total Diet Study, 1st ed.; Science Press: Beijing, China, 2018; pp. 94–118. [Google Scholar]
- WHO. GEMS/Food-EURO Second Workshop on Reliable Evaluation of Low-level Contamination of Food—Report on a Workshop in the Frame of GEMS/Food-EURO; WHO: Geneva, Switzerland, 1995. [Google Scholar]
- CNS (Chinese Nutrition Society). Chinese Dietary Reference Intakes (2013 Version); CNS: Beijing, China, 2014. [Google Scholar]
- Liu, Y.; Rolle-McFarland, D.; Mostafaei, F.; Zhou, Y.; Li, Y.; Zheng, W.; Wells, E.; Nie, L.H. In vivo neutron activation analysis of bone manganese in workers. Physiol. Meas. 2018, 39, 035003. [Google Scholar] [CrossRef] [PubMed]
- Stipanuk, M.H.; Caudill, M.A. Biochemical, Physiological, and Molecular Aspects of Human Nutrition, 4th ed.; Elsevier Health Sciences: New York, NY, USA, 2012. [Google Scholar]
- Rahmani, J.; Fakhri, Y.; Shahsavani, A.; Bahmani, Z.; Urbina, M.A.; Chirumbolo, S.; Keramati, H.; Moradi, B.; Bay, A.; Bjørklund, G. A systematic review and meta-analysis of metal concentrations in canned tuna fish in Iran and human health risk assessment. Food Chem. Toxicol. 2018, 118, 753–765. [Google Scholar] [CrossRef] [PubMed]
- Rudnick, R.L.; Gao, S. The composition of the continental crust. In The Crust: Treatise on Geochemistry, 2nd ed.; Holland, H.D., Condie, K., Eds.; Elsevier Pergamon: Amsterdam, The Netherlands, 2003; Volume 3, pp. 1–64. [Google Scholar]
- Yan, M.; Chi, Q. The Chemical Composition of the Continental Crust and Rocks in the Eastern Part of China, 1st ed.; Science Press: Beijing, China, 2005; pp. 4–18. [Google Scholar]
- Hao, H.-L.; Wei, Y.-Z.; Yang, X.-E.; Feng, Y.; Wu, C.-Y. Effects of Different Nitrogen Fertilizer Levels on Fe, Mn, Cu and Zn Concentrations in Shoot and Grain Quality in Rice (Oryza sativa). Rice Sci. 2007, 14, 289–294. [Google Scholar] [CrossRef]
- Hao, Z.; Tian, J.; Jiang, X. Analyses of Fe, Zn, Cu, and Mn contents in grains and grouping based on the contents for main kindred germplasm of common wheat (Triticum aestivum). Acta Agron. Sin. 2007, 33, 1834–1839. [Google Scholar]
- WHO. Guideline: Potassium Intake for Adults and Children; WHO: Geneva, Switzerland, 2012. [Google Scholar]
- WHO. Guideline: Sodium Intake for Adults and Children; WHO: Geneva, Switzerland, 2012. [Google Scholar]
- Alasfoor, D.; Rajab, H.; Al-Rassasi, B. Food-Based Dietary Guidelines: Technical Background and Description; Ministry of Health Sultanate of Oman: Muscat, Oman, 2009.
- FNB (Food and Nutrition Board). Dietary Reference Intakes (DRIs) Recommended Intakes for Individuals; National Academy of Sciences: Washington, DC, USA, 2019. [Google Scholar]
- HC (Health Canada). Dietary Reference Intakes Reference Values for Elements; HC (Health Canada): Ottawa, ON, Canada, 2010.
- INHA (Nutrition and Food Hygiene Institute); the Cuban Ministry of Public Health. Dietary Reference Intakes for the Cuban Population; INHA: Havana, Cuba, 2008.
- NHMRC (National Health and Medical Research Council of Australia). Nutrient Reference Values for Australia and New Zealand; Australian Government, Department of Health and Ageing: Canberra, Australia, 2017.
- Chen, X.V.; Cai, C.S.; He, B.H.; Guo, Y.; He, L. Dietary intake of sodium and potassium and its correlation with hypertension among residents aged 18 years and above in Zhongshan. South China J. Prev. Med. 2018, 44, 518–522. [Google Scholar] [CrossRef]
- WHO. Trace Elements in Human Nutrition and Health; WHO: Geneva, Switzerland, 1996. [Google Scholar]
- Shi, C.-H.; Tian, H.-L.; Tian, J.-H.; Zeng, R.; Yang, K.-H.; Wu, T.-X.; Liao, Y.-J. A systematic review regarding the effects of different kinds of selenium supplementations on Kaschin-Beck disease. Chin. J. Epidemiol. 2013, 34, 507–514. [Google Scholar] [CrossRef]
- Ning, Y.; Wang, X.; Guo, X.; Zhang, P.; Qu, P.; Zhang, F.; Wang, S.; Lei, Y.; Lammi, M. Nutrients Other than Selenium Are Important for Promoting Children’s Health in Kashin-Beck Disease Areas. Biol. Trace Elem. Res. 2018, 183, 233–244. [Google Scholar] [CrossRef]
- Ning, Y.; Wang, X.; Zhang, P.; Anatoly, S.V.; Prakash, N.; Li, C.; Zhou, R.; Lammi, M.; Zhang, F.; Guo, X. Imbalance of dietary nutrients and the associated differentially expressed genes and pathways may play important roles in juvenile Kashin-Beck disease. J. Trace Elem. Med. Biol. 2018, 50, 441–460. [Google Scholar] [CrossRef] [PubMed]
- Hipgrave, D.B.; Chang, S.; Li, X.; Wu, Y. Salt and Sodium Intake in China. JAMA 2016, 315, 703–705. [Google Scholar] [CrossRef] [PubMed]
- ANSES (French Agency for Food, Environmental and Occupational Health & Safety). Second French Total Diet Study (TDS2) Report 1. Inorganic Contaminants, Minerals, Persistent Organic Pollutants, Mycotoxins and Phytoestrogens; Expert Report: Scientific Publication; ANSES: Paris, France, 2011.
- Avegliano, R.P.; Maihara, V.A.; da Silva, F.F. A Brazilian Total Diet Study: Evaluation of essential elements. J. Food Compos. Anal. 2011, 24, 1009–1016. [Google Scholar] [CrossRef]
- CFS (The Center for Food Safety). The First Hong Kong Total Diet Study. Report No. 9: Minerals; Food and Environmental Hygiene Department: Hongkong, China, 2014.
- Egan, S.K.; Tao, S.S.-H.; Pennington, J.A.T.; Bolger, P.M. US Food and Drug Administration’s Total Diet Study: Intake of nutritional and toxic elements, 1991–96. Food Addit. Contam. 2002, 19, 103–125. [Google Scholar] [CrossRef] [PubMed]
- United Kingdom FSA (Food Standards Agency). Measurements of the Concentration of Metals and Other Elements from the 2006 UK Total Diet Study; FSA: London, UK, 2009.
- FSAI (Food Safety Authority of Ireland). Report on a Total Diet Study Carried Out by the Food Safety Authority of Ireland in the Period 2012–2014; FSAI: Dublin, Ireland, 2016. [Google Scholar]
- FSANZ (Food Standards Australia New Zealand). The 25th Australian Total Diet Study; FSANZ: Wellington, New Zealand, 2019.
- Gimou, M.-M.; Charrondière, U.; Leblanc, J.-C.; Noël, L.; Guerin, T.; Pouillot, R. Dietary exposure and health risk assessment for 11 minerals and trace elements in Yaoundé: The Cameroonian Total Diet Study. Food Addit. Contam. Part A 2013, 30, 1556–1572. [Google Scholar] [CrossRef] [PubMed]
- HC (Health Canada). Canadian Total Diet Study. Dietary Intakes of Contaminants and Other Chemicals for Different Age-Sex Groups of Canadians; HC (Health Canada): Ottawa, ON, Canada, 2007.
- MPI (Ministry for Primary Industries). 2016 New Zealand Total Diet Study; MPI: Wellington, New Zealand, 2016.
- Nasreddine, L.; Nashalian, O.; Naja, F.; Itani, L.; Parent-Massin, D.; Nabhani-Zeidan, M.; Hwalla, N. Dietary exposure to essential and toxic trace elements from a Total diet study in an adult Lebanese urban population. Food Chem. Toxicol. 2010, 48, 1262–1269. [Google Scholar] [CrossRef] [PubMed]
- Turconi, G.; Minoia, C.; Ronchi, A.; Roggi, C. Dietary exposure estimates of twenty-one trace elements from a Total Diet Study carried out in Pavia, Northern Italy. Br. J. Nutr. 2009, 101, 1200–1208. [Google Scholar] [CrossRef] [PubMed]




| Food Categories | Nutrient Elements | |||||||||||
|---|---|---|---|---|---|---|---|---|---|---|---|---|
| P | Na | K | Ca | Mg | Mn | Fe | Zn | Cu | Se | Mo | Cr | |
| Cereals | 0.48 | 1.14 | 0.53 | 0.13 | 0.15 | 3.33 | 6.77 | 3.92 | 0.94 | 10.1 | 143.7 | 86.8 |
| Legumes | 1.63 | 3.78 | 2.48 | 1.40 | 0.79 | 8.74 | 22.27 | 7.96 | 2.68 | 19.3 | 379.3 | 103.1 |
| Potatoes | 0.33 | 4.47 | 2.04 | 0.14 | 0.16 | 2.95 | 12.64 | 1.52 | 0.66 | 6.7 | 22.4 | 129.6 |
| Meats | 1.65 | 8.11 | 2.62 | 0.26 | 0.25 | 1.33 | 19.89 | 15.60 | 1.03 | 128.0 | 33.3 | 140.6 |
| Eggs | 2.21 | 7.48 | 1.50 | 0.54 | 0.17 | 0.67 | 28.10 | 10.86 | 0.76 | 230.0 | 53.0 | 77.0 |
| Aquatic foods | 1.78 | 6.70 | 2.82 | 0.75 | 0.33 | 1.15 | 16.08 | 8.61 | 1.04 | 214.9 | 7.5 | 81.1 |
| Dairy products | 1.13 | 0.36 | 1.72 | 1.24 | 0.15 | 0.04 | 0.77 | 3.53 | 0.04 | 25.9 | 36.6 | 4.9 |
| Vegetables | 0.34 | 5.59 | 2.33 | 0.43 | 0.17 | 2.47 | 12.52 | 1.90 | 0.46 | 7.0 | 66.0 | 90.5 |
| Fruits | 0.12 | 0.01 | 1.59 | 0.08 | 0.13 | 1.76 | 2.47 | 0.46 | 0.44 | 2.6 | 6.3 | 30.9 |
| Sugar | 0.07 | 0.08 | 0.75 | 0.15 | 0.12 | 0.58 | 4.37 | 0.43 | 0.27 | 3.1 | 2.9 | 55.9 |
| Water and beverages | 0.008 | 0.02 | 0.05 | 0.04 | 0.02 | 0.63 | 0.18 | 0.08 | 0.02 | 0.5 | 1.7 | 3.7 |
| Alcohol | 0.07 | 0.02 | 0.16 | 0.04 | 0.04 | 0.24 | 0.38 | 0.10 | 0.04 | 1.2 | 3.4 | 9.5 |
| Category | Na (mg/d) | K (mg/d) | Ca (mg/d) | Mg (mg/d) | P (mg/d) | Mn (mg/d) | Fe (mg/d) | Zn (mg/d) | Cu (mg/d) | Se (μg/d) | Mo (μg/d) | Cr (μg/d) |
|---|---|---|---|---|---|---|---|---|---|---|---|---|
| Cereals | 812.6 | 374.0 | 91.2 | 111.6 | 346.6 | 2.39 | 5.27 | 2.82 | 0.68 | 6.9 | 101.6 | 64.9 |
| Legumes | 279.0 | 171.0 | 90.6 | 56.4 | 110.5 | 0.61 | 1.56 | 0.56 | 0.19 | 1.3 | 26.6 | 7.2 |
| Potatoes | 324.1 | 131.1 | 9.4 | 10.0 | 22.5 | 0.17 | 0.89 | 0.09 | 0.04 | 0.5 | 1.5 | 8.9 |
| Meats | 672.2 | 224.6 | 19.2 | 21.5 | 137.8 | 0.10 | 1.87 | 1.32 | 0.09 | 11.2 | 2.9 | 14.5 |
| Eggs | 198.1 | 39.8 | 14.2 | 4.6 | 57.6 | 0.02 | 0.75 | 0.28 | 0.02 | 5.8 | 1.3 | 2.1 |
| Aquatic foods | 198.3 | 75.2 | 21.4 | 9.5 | 47.1 | 0.03 | 0.44 | 0.22 | 0.03 | 5.9 | 0.2 | 2.3 |
| Dairy products | 10.9 | 50.9 | 36.3 | 4.5 | 32.8 | 0.00 | 0.01 | 0.10 | 0.00 | 0.7 | 1.1 | 0.1 |
| Vegetables | 1969.1 | 823.0 | 153.2 | 62.2 | 119.4 | 0.89 | 4.59 | 0.68 | 0.16 | 2.6 | 23.8 | 33.8 |
| Fruits | 0.8 | 83.9 | 3.9 | 6.9 | 6.8 | 0.10 | 0.12 | 0.03 | 0.02 | 0.1 | 0.4 | 1.1 |
| Sugar | 0.1 | 1.6 | 0.3 | 0.4 | 0.5 | 0.00 | 0.02 | 0.00 | 0.00 | 0.0 | 0.0 | 0.2 |
| Water and beverages | 19.4 | 44.3 | 40.3 | 16.2 | 6.3 | 0.51 | 0.17 | 0.07 | 0.02 | 0.6 | 1.8 | 3.8 |
| Alcohol | 0.6 | 4.0 | 0.7 | 0.9 | 1.6 | 0.01 | 0.01 | 0.00 | 0.00 | 0.0 | 0.1 | 0.2 |
| SUM | 4485.3 | 2023.5 | 480.8 | 304.9 | 889.5 | 4.83 | 15.72 | 6.17 | 1.25 | 35.7 | 161.1 | 139.1 |
| AI | 1500 | 2000 | – | – | – | – | – | – | – | – | – | 30 |
| RNI | – | – | 800 | 330 | 720 | 4.5 | 12 | 12.5 | 0.8 | 60 | 100 | – |
| UL | – | – | 2000 | – | 3500 | 11 | 42 | 40 | 8 | 400 | 900 | – |
| Country/ Region | Na (g/d) | K (g/d) | Ca (mg/d) | Mg (mg/d) | P (mg/d) | Fe (mg/d) | Mn (mg/d) | Cu (μg/d) | Mo (μg/d) | Se (μg/d) | Zn (mg/d) | Cr (μg/d) | Reference |
|---|---|---|---|---|---|---|---|---|---|---|---|---|---|
| USA | 1.7–2.7 | 1.9–2.7 | 510–800 | 180–260 | 890–1400 | 9.0–14 | 1.9–2.9 | 730–1400 | - | 66–130 | 7.6–13 | - | [37] |
| France | 2.65 | 2.854 | 786 | 304 | - | 7.71 | 2.16 | 1940 | 93.9 | 64.4 | 7.93 | 277 | [34] |
| Australia | - | 3.0–4.4 | 700–1200 | - | - | 8.7–15 | 3.9–5.4 | 1200–1900 | 76–120 | 97–170 | 7.8–15 | - | [40] |
| Canada | - | - | - | - | - | - | 2.6–3.8 | 900–1500 | - | 110–220 | 7.2–16 | - | [42] |
| UK | - | - | - | - | - | - | 3.9–5.5 | 1100–1300 | 98–150 | 45–67 | 6.5–9.8 | - | [38] |
| Ireland | - | - | - | - | - | - | - | - | - | 58.3–68.4 | - | 51–89 | [39] |
| New Zealand | 2.899 | - | - | - | - | - | - | - | - | 83 | 12.7 | - | [43] |
| Lebanon | - | - | - | - | - | 13.0 | 2.04 | 1104.19 | - | - | 10.97 | - | [44] |
| Brazil | 1.93 | 0.861 | 275 | - | - | 5.7 | - | - | - | - | 4.25 | 20.7 | [35] |
| Italy | 3.81 | 2.91 | 738 | 262 | - | 11–12.7 | - | 1.14 | - | - | 10.6–12 | - | [45] |
| Cameroon | 2.1 | 2.1 | 760 | 294 | - | 6.67 | - | - | - | - | 6.54 | - | [41] |
| China/Hong Kong | 2.6 | 1.9 | 430 | 210 | 1000 | 8 | 4.4 | 920 | 110 | 140 | 9.2 | - | [36] |
| China | 4.5 | 2.05 | 485 | 306 | 890 | 15.7 | 4.83 | 1250 | 161 | 35.69 | 6.2 | 139.1 | present study |
Disclaimer/Publisher’s Note: The statements, opinions and data contained in all publications are solely those of the individual author(s) and contributor(s) and not of MDPI and/or the editor(s). MDPI and/or the editor(s) disclaim responsibility for any injury to people or property resulting from any ideas, methods, instructions or products referred to in the content. |
© 2023 by the authors. Licensee MDPI, Basel, Switzerland. This article is an open access article distributed under the terms and conditions of the Creative Commons Attribution (CC BY) license (https://creativecommons.org/licenses/by/4.0/).
Share and Cite
Ma, L.; Shen, H.; Shang, X.; Zhou, S.; Lyu, B.; Zhao, X.; Li, J.; Zhao, Y.; Wu, Y. Dietary Intake of Multiple Nutrient Elements and Associated Health Effects in the Chinese General Population from a Total Diet Study. Nutrients 2023, 15, 2613. https://doi.org/10.3390/nu15112613
Ma L, Shen H, Shang X, Zhou S, Lyu B, Zhao X, Li J, Zhao Y, Wu Y. Dietary Intake of Multiple Nutrient Elements and Associated Health Effects in the Chinese General Population from a Total Diet Study. Nutrients. 2023; 15(11):2613. https://doi.org/10.3390/nu15112613
Chicago/Turabian StyleMa, Lan, Huijing Shen, Xiaohong Shang, Shuang Zhou, Bing Lyu, Xin Zhao, Jingguang Li, Yunfeng Zhao, and Yongning Wu. 2023. "Dietary Intake of Multiple Nutrient Elements and Associated Health Effects in the Chinese General Population from a Total Diet Study" Nutrients 15, no. 11: 2613. https://doi.org/10.3390/nu15112613
APA StyleMa, L., Shen, H., Shang, X., Zhou, S., Lyu, B., Zhao, X., Li, J., Zhao, Y., & Wu, Y. (2023). Dietary Intake of Multiple Nutrient Elements and Associated Health Effects in the Chinese General Population from a Total Diet Study. Nutrients, 15(11), 2613. https://doi.org/10.3390/nu15112613

