Pre-Season Nutritional Intake and Prevalence of Low Energy Availability in NCAA Division III Collegiate Swimmers
Abstract
1. Introduction
2. Materials and Methods
2.1. Participants
2.2. Energy Intake
2.3. Exercise Energy Expenditure
2.4. Body Composition
2.5. Energy Availability
2.6. Low Energy Availability in Females: Questionnaire
2.7. Statistical Analysis
3. Results
3.1. Participants
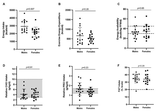
3.2. Energy Intake, Exercise Energy Expenditure, and Macronutrient Intake by Sex
3.3. Energy Availability
3.4. Correlational Analyses
3.5. Fruit and Vegetable Intake
4. Discussion
Study Limitations
5. Conclusions
Author Contributions
Funding
Institutional Review Board Statement
Informed Consent Statement
Data Availability Statement
Acknowledgments
Conflicts of Interest
References
- Reilly, T.; Woodbridge, V. Effects of moderate dietary manipulations on swim performance and on blood lactate-swimming velocity curves. Int. J. Sports Med. 1999, 20, 93–97. [Google Scholar] [CrossRef] [PubMed]
- Beermann, B.L.; Lee, D.G.; Almstedt, H.C.; McCormack, W.P. Nutritional Intake and Energy Availability of Collegiate Distance Runners. J. Am. Coll. Nutr. 2020, 39, 747–755. [Google Scholar] [CrossRef] [PubMed]
- Magee, M.K.; Lockard, B.L.; Zabriskie, H.A.; Schaefer, A.Q.; Luedke, J.A.; Erickson, J.L.; Jones, M.T.; Jagim, A.R. Prevalence of Low Energy Availability in Collegiate Women Soccer Athletes. J. Funct. Morphol. Kinesiol. 2020, 5, 96. [Google Scholar] [CrossRef] [PubMed]
- Logue, D.M.; Madigan, S.M.; Melin, A.; Delahunt, E.; Heinen, M.; Donnell, S.M.; Corish, C.A. Low Energy Availability in Athletes 2020: An Updated Narrative Review of Prevalence, Risk, Within-Day Energy Balance, Knowledge, and Impact on Sports Performance. Nutrients 2020, 12, 835. [Google Scholar] [CrossRef] [PubMed]
- Thomas, D.T.; Erdman, K.A.; Burke, L.M. American College of Sports Medicine Joint Position Statement. Nutrition and Athletic Performance. Med. Sci. Sports Exerc. 2016, 48, 543–568. [Google Scholar] [CrossRef]
- Loucks, A. Exercise Training in the Normal Female: Effects of Low Energy Availability on Reproductive Function. In Endocrinology of Physical Activity and Sport; Humana Press: Totowa, NJ, USA, 2013; pp. 185–206. [Google Scholar] [CrossRef]
- Areta, J.L.; Taylor, H.L.; Koehler, K. Low energy availability: History, definition and evidence of its endocrine, metabolic and physiological effects in prospective studies in females and males. Eur. J. Appl. Physiol. 2021, 121, 1–21. [Google Scholar] [CrossRef]
- Melin, A.K.; Heikura, I.A.; Tenforde, A.; Mountjoy, M. Energy Availability in Athletics: Health, Performance, and Physique. Int. J. Sport Nutr. Exerc. Metab. 2019, 29, 152–164. [Google Scholar] [CrossRef]
- Mountjoy, M.; Sundgot-Borgen, J.K.; Burke, L.M.; Ackerman, K.E.; Blauwet, C.; Constantini, N.; Lebrun, C.; Lundy, B.; Melin, A.K.; Meyer, N.L.; et al. IOC consensus statement on relative energy deficiency in sport (RED-S): 2018 update. Br. J. Sports Med. 2018, 52, 687–697. [Google Scholar] [CrossRef]
- Lane, A.R.; Hackney, A.C.; Smith-Ryan, A.E.; Kucera, K.; Register-Mihalik, J.K.; Ondrak, K. Energy Availability and RED-S Risk Factors in Competitive, Non-elite Male Endurance Athletes. Transl. Med. Exerc. Prescr. 2021, 1, 25–32. [Google Scholar] [CrossRef]
- NCAA. Our Division III Members. Available online: https://www.ncaa.org/sports/2021/5/11/our-division-iii-members.aspx (accessed on 6 January 2023).
- Loucks, A.B.; Kiens, B.; Wright, H.H. Energy availability in athletes. J. Sports Sci. 2011, 29 (Suppl. 1), S7–S15. [Google Scholar] [CrossRef]
- Melin, A.; Tornberg, A.B.; Skouby, S.; Faber, J.; Ritz, C.; Sjodin, A.; Sundgot-Borgen, J. The LEAF questionnaire: A screening tool for the identification of female athletes at risk for the female athlete triad. Br. J. Sports Med. 2014, 48, 540–545. [Google Scholar] [CrossRef]
- Evans, J.D. Straightforward Statistics for the Behavioral Sciences; Thomson Brooks/Cole Publishing Co.: Belmont, CA, USA, 1996; p. 600-xxii. [Google Scholar]
- Thomas, D.T.; Erdman, K.A.; Burke, L.M. Position of the Academy of Nutrition and Dietetics, Dietitians of Canada, and the American College of Sports Medicine: Nutrition and Athletic Performance. J. Acad. Nutr. Diet 2016, 116, 501–528. [Google Scholar] [CrossRef] [PubMed]
- Phillips, J.A. Dietary Guidelines for Americans, 2020-2025. Workplace Health Saf. 2021, 69, 395. [Google Scholar] [CrossRef] [PubMed]
- Melin, A.; Tornberg, A.B.; Skouby, S.; Moller, S.S.; Sundgot-Borgen, J.; Faber, J.; Sidelmann, J.J.; Aziz, M.; Sjodin, A. Energy availability and the female athlete triad in elite endurance athletes. Scand. J. Med. Sci. Sports 2015, 25, 610–622. [Google Scholar] [CrossRef] [PubMed]
- Reed, J.L.; De Souza, M.J.; Williams, N.I. Changes in energy availability across the season in Division I female soccer players. J. Sports Sci. 2013, 31, 314–324. [Google Scholar] [CrossRef] [PubMed]
- Koehler, K.; Achtzehn, S.; Braun, H.; Mester, J.; Schaenzer, W. Comparison of self-reported energy availability and metabolic hormones to assess adequacy of dietary energy intake in young elite athletes. Appl. Physiol. Nutr. Metab. 2013, 38, 725–733. [Google Scholar] [CrossRef]
- McCormack, W.P.; Shoepe, T.C.; LaBrie, J.; Almstedt, H.C. Bone mineral density, energy availability, and dietary restraint in collegiate cross-country runners and non-running controls. Eur. J. Appl. Physiol. 2019, 119, 1747–1756. [Google Scholar] [CrossRef]
- Nattiv, A.; De Souza, M.J.; Koltun, K.J.; Misra, M.; Kussman, A.; Williams, N.I.; Barrack, M.T.; Kraus, E.; Joy, E.; Fredericson, M. The Male Athlete Triad-A Consensus Statement From the Female and Male Athlete Triad Coalition Part 1: Definition and Scientific Basis. Clin. J. Sport Med. 2021, 31, 345–353. [Google Scholar] [CrossRef]
- Papageorgiou, M.; Elliott-Sale, K.J.; Parsons, A.; Tang, J.C.Y.; Greeves, J.P.; Fraser, W.D.; Sale, C. Effects of reduced energy availability on bone metabolism in women and men. Bone 2017, 105, 191–199. [Google Scholar] [CrossRef]
- Koehler, K.; Hoerner, N.R.; Gibbs, J.C.; Zinner, C.; Braun, H.; De Souza, M.J.; Schaenzer, W. Low energy availability in exercising men is associated with reduced leptin and insulin but not with changes in other metabolic hormones. J. Sports Sci. 2016, 34, 1921–1929. [Google Scholar] [CrossRef]
- Viner, R.T.; Harris, M.; Berning, J.R.; Meyer, N.L. Energy Availability and Dietary Patterns of Adult Male and Female Competitive Cyclists With Lower Than Expected Bone Mineral Density. Int. J. Sport Nutr. Exerc. Metab. 2015, 25, 594–602. [Google Scholar] [CrossRef] [PubMed]
- Dolan, E.; O’Connor, H.; McGoldrick, A.; O’Loughlin, G.; Lyons, D.; Warrington, G. Nutritional, lifestyle, and weight control practices of professional jockeys. J. Sports Sci. 2011, 29, 791–799. [Google Scholar] [CrossRef] [PubMed]
- Melin, A.; Tornberg, A.B.; Skouby, S.; Moller, S.S.; Faber, J.; Sundgot-Borgen, J.; Sjodin, A. Low-energy density and high fiber intake are dietary concerns in female endurance athletes. Scand. J. Med. Sci. Sports 2016, 26, 1060–1071. [Google Scholar] [CrossRef]
- Reed, J.L.; De Souza, M.J.; Kindler, J.M.; Williams, N.I. Nutritional practices associated with low energy availability in Division I female soccer players. J. Sports Sci. 2014, 32, 1499–1509. [Google Scholar] [CrossRef]
- Silva, M.R.; Paiva, T. Low energy availability and low body fat of female gymnasts before an international competition. Eur. J. Sport Sci. 2015, 15, 591–599. [Google Scholar] [CrossRef]
- Logue, D.; Madigan, S.M.; Delahunt, E.; Heinen, M.; Mc Donnell, S.J.; Corish, C.A. Low Energy Availability in Athletes: A Review of Prevalence, Dietary Patterns, Physiological Health, and Sports Performance. Sports Med. 2018, 48, 73–96. [Google Scholar] [CrossRef]
- Vanheest, J.L.; Rodgers, C.D.; Mahoney, C.E.; De Souza, M.J. Ovarian suppression impairs sport performance in junior elite female swimmers. Med. Sci. Sports Exerc. 2014, 46, 156–166. [Google Scholar] [CrossRef]
- Moss, S.L.; Randell, R.K.; Burgess, D.; Ridley, S.; Ócairealláin, C.; Allison, R.; Rollo, I. Assessment of energy availability and associated risk factors in professional female soccer players. Eur. J. Sport Sci. 2021, 21, 861–870. [Google Scholar] [CrossRef]
- Lundy, B.; Torstveit, M.K.; Stenqvist, T.B.; Burke, L.M.; Garthe, I.; Slater, G.J.; Ritz, C.; Melin, A.K. Screening for Low Energy Availability in Male Athletes: Attempted Validation of LEAM-Q. Nutrients 2022, 14, 1873. [Google Scholar] [CrossRef]
- Petersen, H.L.; Peterson, C.T.; Reddy, M.B.; Hanson, K.B.; Swain, J.H.; Sharp, R.L.; Alekel, D.L. Body composition, dietary intake, and iron status of female collegiate swimmers and divers. Int. J. Sport Nutr. Exerc. Metab. 2006, 16, 281–295. [Google Scholar] [CrossRef] [PubMed]
- Abbey, E.L.; Wright, C.J.; Kirkpatrick, C.M. Nutrition practices and knowledge among NCAA Division III football players. J. Int. Soc. Sports Nutr. 2017, 14, 13. [Google Scholar] [CrossRef] [PubMed]
- Eck, K.M.; Byrd-Bredbenner, C. Food Choice Decisions of Collegiate Division I Athletes: A Qualitative Exploratory Study. Nutrients 2021, 13, 2322. [Google Scholar] [CrossRef] [PubMed]
- Ravelli, M.N.; Schoeller, D.A. Traditional Self-Reported Dietary Instruments Are Prone to Inaccuracies and New Approaches Are Needed. Front. Nutr. 2020, 7, 90. [Google Scholar] [CrossRef] [PubMed]
- Taguchi, M.; Manore, M.M. Reexamining the calculations of exercise energy expenditure in the energy availability equation of free-living athletes. Front. Sports Act. Living 2022, 4, 885631. [Google Scholar] [CrossRef] [PubMed]
- Esco, M.R.; Snarr, R.L.; Leatherwood, M.D.; Chamberlain, N.A.; Redding, M.L.; Flatt, A.A.; Moon, J.R.; Williford, H.N. Comparison of total and segmental body composition using DXA and multifrequency bioimpedance in collegiate female athletes. J. Strength Cond. Res. 2015, 29, 918–925. [Google Scholar] [CrossRef]
- Antonio, J.; Kenyon, M.; Ellerbroek, A.; Carson, C.; Burgess, V.; Tyler-Palmer, D.; Mike, J.; Roberts, J.; Angeli, G.; Peacock, C. Comparison of Dual-Energy X-ray Absorptiometry (DXA) Versus a Multi-Frequency Bioelectrical Impedance (InBody 770) Device for Body Composition Assessment after a 4-Week Hypoenergetic Diet. J. Funct. Morphol. Kinesiol. 2019, 4, 23. [Google Scholar] [CrossRef]
- Staal, S.; Sjodin, A.; Fahrenholtz, I.; Bonnesen, K.; Melin, A.K. Low RMR(ratio) as a Surrogate Marker for Energy Deficiency, the Choice of Predictive Equation Vital for Correctly Identifying Male and Female Ballet Dancers at Risk. Int. J. Sport Nutr. Exerc. Metab. 2018, 28, 412–418. [Google Scholar] [CrossRef]
- Myerson, M.; Gutin, B.; Warren, M.P.; May, M.T.; Contento, I.; Lee, M.; Pi-Sunyer, F.X.; Pierson, R.N., Jr.; Brooks-Gunn, J. Resting metabolic rate and energy balance in amenorrheic and eumenorrheic runners. Med. Sci. Sports Exerc. 1991, 23, 15–22. [Google Scholar] [CrossRef]


| Characteristic | Males (n = 15) | Females (n = 15) |
|---|---|---|
| Age (yrs.) | 19.9 ± 1.2 | 19.7 ± 1.5 |
| Height (cm) | 183.7 ± 7.0 | 168.3 ± 6.0 * |
| Body mass (kg) | 79.5 ± 8.7 | 65.8 ± 8.5 * |
| BMI (kg/m2) | 23.6 ± 2.3 | 23.2 ± 2.5 |
| FM (kg) | 9.3 ± 3.3 | 16.9 ± 5.4 * |
| %BF | 11.1 ± 3.6 | 25.3 ± 5.6 * |
| FFM (kg) | 70.2 ± 7.0 | 48.8 ± 5.0 * |
| SMM (kg) | 40.3 ± 4.2 | 27.1 ± 3.0 * |
| Low EA (n = 13) | Non-Low EA (n = 17) | Effect Size | |
|---|---|---|---|
| BM (kg) | 77 ± 9.4 | 69.3 ± 11.4 ^ | 0.7 |
| Energy availability (kcals/kg FFM) | 22.5 ± 5.1 | 42.5 ± 9.8 **** | 1.5 |
| Energy intake (kcals/d) | 2007.1 ± 423.6 | 2933.5 ± 701.0 *** | 1.4 |
| Relative energy intake (kcals/kg/d) | 26.0 ± 4.2 | 43.5 ± 8.9 **** | 2.0 |
| Carbohydrate intake (g/d) | 212.3 ± 43.6 | 353.7 ± 113.1 *** | 1.3 |
| Relative carbohydrate intake (g/kg/d) | 2.8 ± 0.5 | 5.2 ± 1.6 **** | 1.5 |
| Protein intake (g/d) | 90.6 ± 31.0 | 126.4 ± 44.4 * | 0.8 |
| Relative protein intake (g/kg/d) | 1.2 ± 0.3 | 1.8 ± 0.5 *** | 1.2 |
| Fat intake (g/d) | 79.8 ± 20.7 | 111.5 ± 34.5 ** | 0.9 |
| Relative fat intake (g/kg/d) | 1.0 ± 0.2 | 1.6 ± 0.4 *** | 1.4 |
| Fat intake (% kcals) | 35.7 ± 5.0 | 33.7 ± 7.4 | 0.3 |
| Mean EA (kcals/kg FFM) | |
|---|---|
| BM (kg) | −0.424 * |
| %BF | −0.057 |
| FFM (kg) | −0.271 |
| FM (kg) | −0.221 |
| SMM (kg) | −0.266 |
Disclaimer/Publisher’s Note: The statements, opinions and data contained in all publications are solely those of the individual author(s) and contributor(s) and not of MDPI and/or the editor(s). MDPI and/or the editor(s) disclaim responsibility for any injury to people or property resulting from any ideas, methods, instructions or products referred to in the content. |
© 2023 by the authors. Licensee MDPI, Basel, Switzerland. This article is an open access article distributed under the terms and conditions of the Creative Commons Attribution (CC BY) license (https://creativecommons.org/licenses/by/4.0/).
Share and Cite
Klein, D.J.; McClain, P.; Montemorano, V.; Santacroce, A. Pre-Season Nutritional Intake and Prevalence of Low Energy Availability in NCAA Division III Collegiate Swimmers. Nutrients 2023, 15, 2827. https://doi.org/10.3390/nu15132827
Klein DJ, McClain P, Montemorano V, Santacroce A. Pre-Season Nutritional Intake and Prevalence of Low Energy Availability in NCAA Division III Collegiate Swimmers. Nutrients. 2023; 15(13):2827. https://doi.org/10.3390/nu15132827
Chicago/Turabian StyleKlein, Dylan J., Patrick McClain, Victoria Montemorano, and Alaina Santacroce. 2023. "Pre-Season Nutritional Intake and Prevalence of Low Energy Availability in NCAA Division III Collegiate Swimmers" Nutrients 15, no. 13: 2827. https://doi.org/10.3390/nu15132827
APA StyleKlein, D. J., McClain, P., Montemorano, V., & Santacroce, A. (2023). Pre-Season Nutritional Intake and Prevalence of Low Energy Availability in NCAA Division III Collegiate Swimmers. Nutrients, 15(13), 2827. https://doi.org/10.3390/nu15132827

