Metal Homeostasis and Exposure in Distinct Phenotypic Subtypes of Insulin Resistance among Children with Obesity
Abstract
1. Introduction
2. Materials and Methods
2.1. Study Design
2.2. Measurement of Anthropometric and Biochemical Variables
2.3. Multielemental Analysis
2.4. Dietary Assessment and Association with Arsenic Exposure
2.5. Statistical Analysis
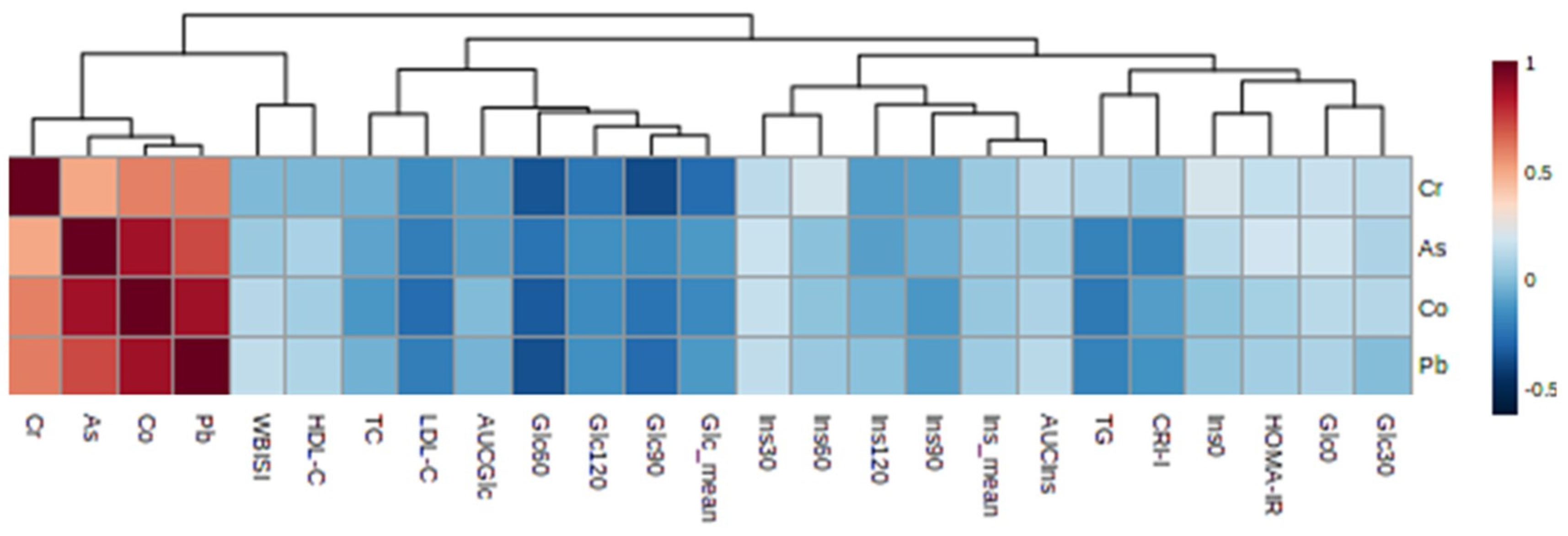
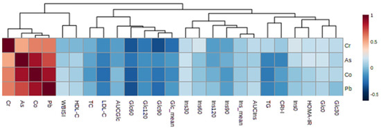
3. Results
4. Discussion
5. Conclusions
Author Contributions
Funding
Institutional Review Board Statement
Informed Consent Statement
Data Availability Statement
Conflicts of Interest
References
- De Spiegeleer, M.; De Paepe, E.; Van Meulebroek, L.; Gies, I.; De Schepper, J.; Vanhaecke, L. Paediatric obesity: A systematic review and pathway mapping of metabolic alterations underlying early disease processes. Mol. Med. 2021, 27, 145. [Google Scholar] [CrossRef] [PubMed]
- Hayashi, T.; Boyko, E.J.; Sato, K.K.; McNeely, M.J.; Leonetti, D.L.; Kahn, S.E.; Fujimoto, W.Y. Patterns of insulin concentration during the OGTT predict the risk of type 2 diabetes in Japanese Americans. Diabetes Care 2013, 36, 1229–1235. [Google Scholar] [CrossRef] [PubMed]
- Campbell, J.E.; Newgard, C.B. Mechanisms controlling pancreatic islet cell function in insulin secretion. Nat. Rev. Mol. Cell Biol. 2021, 22, 142–158. [Google Scholar] [CrossRef]
- Martos-Moreno, G.Á.; Martínez-Villanueva, J.; González-Leal, R.; Chowen, J.A.; Argente, J. Sex, puberty, and ethnicity have a strong influence on growth and metabolic comorbidities in children and adolescents with obesity: Report on 1300 patients (the Madrid Cohort). Pediatr. Obes. 2019, 14, e12565. [Google Scholar] [CrossRef] [PubMed]
- Sato, H.; Kikuchi, T.; Harada, W.; Yoshida, H.; Ito, S.; Uchiyama, M. Relation between Delayed Superfluous Insulin Secretion during An Oral Glucose Tolerance Test and Metabolic Disorders in Obese Japanese Children. Clin. Pediatr. Endocrinol. 2011, 20, 25–32. [Google Scholar] [CrossRef]
- Barra, N.G.; Anhê, F.F.; Cavallari, J.F.; Singh, A.M.; Chan, D.Y.; Schertzer, J.D. Micronutrients impact the gut microbiota and blood glucose. J. Endocrinol. 2021, 250, R1–R21. [Google Scholar] [CrossRef]
- González-Domínguez, Á.; Visiedo-García, F.M.; Domínguez-Riscart, J.; González-Domínguez, R.; Mateos, R.M.; Lechuga-Sancho, A.M. Iron metabolism in obesity and metabolic syndrome. Int. J. Mol. Sci. 2020, 21, 5529. [Google Scholar] [CrossRef]
- González-Villalva, A.; Colín-Barenque, L.; Bizarro-Nevares, P.; Rojas-Lemus, M.; Rodríguez-Lara, V.; García-Pelaez, I.; Ustarroz-Cano, M.; López-Valdez, N.; Albarrán-Alonso, J.C.; Fortoul, T.I. Pollution by metals: Is there a relationship in glycemic control? Environ. Toxicol. Pharmacol. 2016, 46, 337–343. [Google Scholar] [CrossRef]
- Thillan, K.; Lanerolle, P.; Thoradeniya, T.; Samaranayake, D.; Chandrajith, R.; Wickramasinghe, P. Micronutrient status and associated factors of adiposity in primary school children with normal and high body fat in Colombo municipal area, Sri Lanka. BMC Pediatr. 2021, 21, 14. [Google Scholar] [CrossRef]
- Azab, S.F.A.; Saleh, S.H.; Elsaeed, W.F.; Elshafie, M.A.; Sherief, L.M.; Esh, A.M.H. Serum trace elements in obese Egyptian children: A case-control study. Ital. J. Pediatr. 2014, 40, 20. [Google Scholar] [CrossRef]
- Błażewicz, A.; Klatka, M.; Astel, A.; Partyka, M.; Kocjan, R. Differences in trace metal concentrations (Co, Cu, Fe, Mn, Zn, Cd, and Ni) in whole blood, plasma, and urine of obese and nonobese children. Biol. Trace Elem. Res. 2013, 155, 190–200. [Google Scholar] [CrossRef] [PubMed]
- González-Domínguez, Á.; Millán-Martínez, M.; Domínguez-Riscart, J.; Mateos, R.M.; Lechuga-Sancho, A.M.; González-Domínguez, R. Altered Metal Homeostasis Associates with Inflammation, Oxidative Stress, Impaired Glucose Metabolism, and Dyslipidemia in the Crosstalk between Childhood Obesity and Insulin Resistance. Antioxidants 2022, 11, 2439. [Google Scholar] [CrossRef] [PubMed]
- González-Domínguez, Á.; Domínguez-Riscart, J.; Millán-Martínez, M.; Lechuga-Sancho, A.M.; González-Domínguez, R. Sexually Dimorphic Metal Alterations in Childhood Obesity are Modulated by a Complex Interplay Between Inflammation, Insulin, and Sex Hormones. BioFactors 2023, in press. [Google Scholar] [CrossRef]
- González-Domínguez, Á.; Domínguez-Riscart, J.; Millán-Martínez, M.; Mateos-Bernal, R.M.; Lechuga-Sancho, A.M.; González-Domínguez, R. Trace Elements as Potential Modulators of Puberty-Induced Amelioration of Oxidative Stress and Inflammation in Childhood Obesity. BioFactors 2023, in press. [Google Scholar] [CrossRef]
- González-Domínguez, R. Size Fractionation of Metal Species from Serum Samples for Studying Element Biodistribution in Alzheimer’s Disease. In Metals in the Brain; Neuromethods; White, A., Ed.; Humana Press: New York, NY, USA, 2017; Volume 124, pp. 127–149. [Google Scholar]
- González-Domínguez, A.; Millán-Martínez, M.; Sánchez-Rodas, D.; Lechuga-Sancho, A.M.; González-Domínguez, R. Characterization of the Plasmatic and Erythroid Multi-Elemental Biodistribution in Childhood Obesity Using a High-Throughput Method for Size-Fractionation of Metal Species. In Mass Spectrometry for Metabolomics; Methods in Molecular Biology; González-Domínguez, R., Ed.; Humana: New York, NY, USA, 2023; Volume 2571, pp. 123–132. [Google Scholar]
- Hernández, M.; Castellet, J.; Narvaiza, J.L.; Rincón, J.M.; Ruiz, I.; Sánchez, E.; Sobradillo, B.; Zurimendi, A. Curvas y Tablas de Crecimiento; Instituto de Investigación sobre Crecimiento y Desarrollo, Fundación Faustino Orbegozo; Editorial Garsi: Madrid, Spain, 1988. [Google Scholar]
- Eyzaguirre, F.; Mericq, V. Insulin resistance markers in children. Horm. Res. 2009, 71, 65–74. [Google Scholar] [CrossRef]
- Serra-Majem, L.; Ribas, L.; Ngo, J.; Ortega, R.M.; García, A.; Pérez-Rodrigo, C.; Aranceta, J. Food, youth and the Mediterranean diet in Spain. Development of KIDMED, Mediterranean Diet Quality Index in children and adolescents. Public Health Nutr. 2004, 7, 931–935. [Google Scholar] [CrossRef] [PubMed]
- Heitland, P.; Köster, H.D. Human biomonitoring of 73 elements in blood, serum, erythrocytes and urine. J. Trace Elem. Med. Biol. 2021, 64, 126706. [Google Scholar] [CrossRef]
- González-Domínguez, R.; García-Barrera, T.; Gómez-Ariza, J.L. Characterization of metal profiles in serum during the progression of Alzheimer's disease. Metallomics 2014, 6, 292–300. [Google Scholar] [CrossRef]
- González-Domínguez, R.; García-Barrera, T.; Gómez-Ariza, J.L. Homeostasis of metals in the progression of Alzheimer’s disease. Biometals 2014, 27, 539–549. [Google Scholar] [CrossRef]
- Genchi, G.; Lauria, G.; Catalano, A.; Carocci, A.; Sinicropi, M.S. The double face of metals: The intriguing case of chromium. Appl. Sci. 2021, 11, 638. [Google Scholar] [CrossRef]
- Vasudevan, H.; McNeill, J.H. Chronic cobalt treatment decreases hyperglycemia in streptozotocin-diabetic rats. Biometals 2007, 20, 129–134. [Google Scholar] [CrossRef]
- Kawakami, T.; Hanao, N.; Nishiyama, K.; Kadota, Y.; Inoue, M.; Sato, M.; Suzuki, S. Differential effects of cobalt and mercury on lipid metabolism in the white adipose tissue of high-fat diet-induced obesity mice. Toxicol. Appl. Pharmacol. 2012, 258, 32–42. [Google Scholar] [CrossRef] [PubMed]
- Tascilar, M.E.; Ozgen, I.T.; Abaci, A.; Serdar, M.; Aykut, O. Trace elements in obese Turkish children. Biol. Trace Elem. Res. 2011, 143, 188–195. [Google Scholar] [CrossRef] [PubMed]
- Swayze, S.; Rotondi, M.; Kuk, J.L. The Associations between Blood and Urinary Concentrations of Metal Metabolites, Obesity, Hypertension, Type 2 Diabetes, and Dyslipidemia among US Adults: NHANES 1999–2016. J. Environ. Public Health 2021, 2021, 2358060. [Google Scholar] [CrossRef] [PubMed]
- Scinicariello, F.; Buser, M.C.; Mevissen, M.; Portier, C.J. Blood lead level association with lower body weight in NHANES 1999-2006. Toxicol. Appl. Pharmacol. 2013, 273, 516–523. [Google Scholar] [CrossRef]
- Shao, W.; Liu, Q.; He, X.; Liu, H.; Gu, A.; Jiang, Z. Association between level of urinary trace heavy metals and obesity among children aged 6-19 years: NHANES 1999–2011. Environ. Sci. Pollut. Res. Int. 2017, 24, 11573–11581. [Google Scholar] [CrossRef]
- Muciño-Sandoval, K.; Ariza, A.C.; Ortiz-Panozo, E.; Pizano-Zárate, M.L.; Mercado-García, A.; Wright, R.; Téllez-Rojo, M.M.; Sanders, A.P.; Tamayo-Ortiz, M. Prenatal and Early Childhood Exposure to Lead and Repeated Measures of Metabolic Syndrome Risk Indicators From Childhood to Preadolescence. Front. Pediatr. 2021, 9, 750316. [Google Scholar] [CrossRef]
- Minnema, D.J.; Hammond, P.B. Effect of lead exposure on patterns of food intake in weanling rats. Neurotoxicol. Teratol. 1994, 16, 623–629. [Google Scholar] [CrossRef]
- Hammond, P.B.; Minnema, D.J.; Shulka, R. Lead exposure lowers the set point for food consumption and growth in weanling rats. Toxicol. Appl. Pharmacol. 1990, 106, 80–87. [Google Scholar] [CrossRef]
- Geiger, B.M.; Haburcak, M.; Avena, N.M.; Moyer, M.C.; Hoebel, B.G.; Pothos, E.N. Deficits of mesolimbic dopamine neurotransmission in rat dietary obesity. Neuroscience 2009, 159, 1193–1199. [Google Scholar] [CrossRef]
- Leasure, J.L.; Giddabasappa, A.; Chaney, S.; Johnson, J.E., Jr.; Pothakos, K.; Lau, Y.S.; Fox, D.A. Low-Level Human Equivalent Gestational Lead Exposure Produces Sex-Specific Motor and Coordination Abnormalities and Late-Onset Obesity in Year-Old Mice. Environ. Health Perspect. 2008, 116, 355–361. [Google Scholar] [CrossRef] [PubMed]
- Rossi-George, A.; Virgolini, M.B.; Weston, D.; Cory-Slechta, D.A. Alterations in glucocorticoid negative feedback following maternal Pb, prenatal stress and the combination: A potential biological unifying mechanism for their corresponding disease profiles. Toxicol. Appl. Pharmacol. 2009, 234, 117–127. [Google Scholar] [CrossRef] [PubMed]
- Eick, S.M.; Steinmaus, C. Arsenic and Obesity: A Review of Causation and Interaction. Curr. Environ. Health Rep. 2020, 7, 343–351. [Google Scholar] [CrossRef] [PubMed]
- Farkhondeh, T.; Samarghandian, S.; Azimi-Nezhad, M. The role of arsenic in obesity and diabetes. J. Cell Physiol. 2019, 234, 12516–12529. [Google Scholar] [CrossRef] [PubMed]
- Hunter, P. A toxic brew we cannot live without. Micronutrients give insights into the interplay between geochemistry and evolutionary biology. EMBO Rep. 2008, 9, 15–18. [Google Scholar] [CrossRef] [PubMed]
- González-Domínguez, Á.; Domínguez-Riscart, J.; Millán-Martínez, M.; Lechuga-Sancho, A.M.; González-Domínguez, R. Exploring the Association between Circulating Trace Elements, Metabolic Risk Factors, and the Adherence to a Mediterranean Diet among Children and Adolescents with Obesity. Front. Public Health 2023, 10, 1016819. [Google Scholar] [CrossRef]
- Stahr, S.; Chiang, T.C.; Bauer, M.A.; Runnells, G.A.; Rogers, L.J.; Do, H.V.; Kadlubar, S.A.; Su, L.J. Low-Level Environmental Heavy Metals are Associated with Obesity Among Postmenopausal Women in a Southern State. Expo. Health 2021, 13, 269–280. [Google Scholar] [CrossRef]
- Tinkov, A.A.; Sinitskii, A.I.; Popova, E.V.; Nemereshina, O.N.; Gatiatulina, E.R.; Skalnaya, M.G.; Skalny, A.V.; Nikonorov, A.A. Alteration of local adipose tissue trace element homeostasis as a possible mechanism of obesity-related insulin resistance. Med. Hypotheses 2015, 85, 343–347. [Google Scholar] [CrossRef]

| Early Peak | Middle Peak | Late Peak | p-Value | |
|---|---|---|---|---|
| Demographic, Anthropometric, and Dietary Variables | ||||
| N | 17 | 16 | 33 | NS |
| Age (years) | 11.4 ± 2.4 | 11.8 ± 1.9 | 11.7 ± 2.0 | NS |
| Sex (% male) | 60.6 | 56.3 | 54.5 | NS |
| Weight (kg) | 72.1 ± 22.8 | 72.1 ± 19.8 | 72.3 ± 16.8 | NS |
| Body mass index (BMI, kg/m2) | 31.0 ± 5.9 | 29.2 ± 5.4 | 30.6 ± 5.6 | NS |
| Waist circumference (WC, cm) | 98.3 ± 12.8 | 98.5 ± 14.7 | 99.9 ± 11.7 | NS |
| Frequency of seafood consumption (at least 2–3 per week, %) | 100.0 a | 66.7 b | 60.0 b | 4.8 × 10−2 |
| Carbohydrate metabolism | ||||
| Fasting glucose (Glc0, mg/dL) | 85.8 ± 10.9 | 85.4 ± 7.8 | 83.8 ± 8.1 | NS |
| Postprandial glucose, t = 30 min (Glc30, mg/dL) | 150.0 ± 21.4 | 141.3 ± 31.0 | 133.3 ± 22.0 | NS |
| Postprandial glucose, t = 60 min (Glc60, mg/dL) | 123.4 ± 19.1 | 138.4 ± 27.6 | 142.9 ± 33.2 | NS |
| Postprandial glucose, t = 90 min (Glc90, mg/dL) | 116.2 ± 11.8 a | 111.6 ± 28.2 a | 138.9 ± 31.2 b | 4.2 × 10−3 |
| Postprandial glucose, t = 120 min (Glc120, mg/dL) | 113.6 ± 13.7 a | 118.3 ± 28.5 a | 134.8 ± 29.3 b | 1.5 × 10−2 |
| Mean glucose (Glcmean, mg/dL) | 119.9 ± 19.1 | 119.8 ± 21.2 | 131.2 ± 21.4 | NS |
| Area under the curve for glucose (AUCGlc, mg·h/dL) | 202.9 ± 59.0 | 200.2 ± 52.6 | 220.9 ± 51.7 | NS |
| Fasting insulin (Ins0, µU/mL) | 18.6 ± 4.3 | 19.2 ± 6.1 | 22.1 ± 11.7 | NS |
| Postprandial insulin, t = 30 min (Ins30, µU/mL) | 242.1 ± 135.4 a | 114.1 ± 56.1 b | 122.0 ± 62.3 b | 9.8 × 10−6 |
| Postprandial insulin, t = 60 min (Ins60, µU/mL) | 168.7 ± 96.9 a | 213.7 ± 69.2 b | 135.1 ± 73.5 c | 4.8 × 10−3 |
| Postprandial insulin, t = 90 min (Ins90, µU/mL) | 138.4 ± 75.7 | 141.8 ± 70.9 | 177.9 ± 111.7 | NS |
| Postprandial insulin, t = 120 min (Ins120, µU/mL) | 126.3 ± 70.1 a | 154.1 ± 93.8 ab | 176.1 ± 102.6 b | 4.8 × 10−2 |
| Mean insulin (Insmean, µU/mL) | 149.5 ± 86.5 | 128.9 ± 48.2 | 130.1 ± 57.2 | NS |
| Area under the curve for insulin (AUCIns, µU·h/mL) | 327.5 ± 191.1 | 274.6 ± 98.6 | 266.9 ± 123.8 | NS |
| HOMA-IR | 3.8 ± 1.2 a | 4.0 ± 1.3 a | 4.5 ± 1.6 b | 4.8 × 10−2 |
| WBISI | 0.20 ± 0.079 | 0.25 ± 0.13 | 0.22 ± 0.11 | NS |
| Glycated hemoglobin (HbA1c, %) | 5.3 ± 0.3 | 5.3 ± 0.3 | 5.2 ± 0.3 | NS |
| Lipid metabolism | ||||
| Total cholesterol (TC, mg/dL) | 144 ± 23 a | 164 ± 35 b | 160 ± 31 b | 3.7 × 10−2 |
| Low-density lipoprotein cholesterol (LDL-C, mg/dL) | 82 ± 18 a | 97 ± 28 b | 99 ± 29 b | 1.3 × 10−2 |
| High-density lipoprotein cholesterol (HDL-C, mg/dL) | 42 ± 8 | 45 ± 9 | 47 ± 26 | NS |
| Castelli risk index-I (CRI-I) | 3.4 ± 0.9 | 3.5 ± 0.8 | 3.9 ± 0.8 | NS |
| Triglycerides (TGs, mg/dL) | 100 ± 55 | 115 ± 79 | 104 ± 59 | NS |
| Early Peak | Middle Peak | Late Peak | p-Value | ||
|---|---|---|---|---|---|
| Arsenic | Total | 0.78 ± 0.72 | 0.81 ± 0.83 | 0.68 ± 0.50 | NS |
| HMM | 0.17 ± 0.12 a | 0.16 ± 0.16 a | 0.077 ± 0.037 b | 0.0054 | |
| LMM | 0.71 ± 0.50 | 0.62 ± 0.63 | 0.63 ± 0.52 | NS | |
| Cadmium | Total | 0.0024 ± 0.0016 | 0.0028 ± 0.0032 | 0.0033 ± 0.0034 | NS |
| HMM | 0.0024 ± 0.0017 | 0.0027 ± 0.0031 | 0.0033 ± 0.0035 | NS | |
| LMM | ND | ND | ND | - | |
| Chromium | Total | 6.3 ± 2.7 | 6.4 ± 2.9 | 5.9 ± 3.4 | NS |
| HMM | 5.1 ± 2.2 a | 5.1 ± 2.3 a | 4.8 ± 2.8 b | 0.049 | |
| LMM | 1.2 ± 1.2 | 1.0 ± 0.7 | 0.78 ± 0.84 | NS | |
| Cobalt | Total | 1.5 ± 0.6 | 1.4 ± 0.4 | 1.4 ± 0.3 | NS |
| HMM | 1.2 ± 0.5 a | 1.0 ± 0.5 a | 0.79 ± 0.14 b | 0.0054 | |
| LMM | 0.30 ± 0.072 | 0.29 ± 0.056 | 0.31 ± 0.050 | NS | |
| Copper | Total | 1367.0 ± 283.6 | 1390.2 ± 173.5 | 1305.2 ± 217.1 | NS |
| HMM | 1246.9 ± 206.8 | 1262.7 ± 173.5 | 1210.8 ± 154.4 | NS | |
| LMM | 23.8 ± 19.7 | 18.9 ± 14.3 | 19.6 ± 16.6 | NS | |
| Iron | Total | 668.6 ± 346.8 | 673.7 ± 260.8 | 650.8 ± 194.6 | NS |
| HMM | 687.1 ± 255.1 | 705.4 ± 212.5 | 678.5 ± 149.4 | NS | |
| LMM | 27.2 ± 16.0 | 22.4 ± 6.9 | 23.5 ± 7.9 | NS | |
| Lead | Total | 0.025 ± 0.0062 | 0.024 ± 0.0062 | 0.021 ± 0.0034 | NS |
| HMM | 0.025 ± 0.0064 a | 0.024 ± 0.0061 a | 0.021 ± 0.0029 b | 0.015 | |
| LMM | ND | ND | ND | - | |
| Manganese | Total | 4.1 ± 3.7 | 4.2 ± 2.2 | 4.2 ± 5.3 | NS |
| HMM | 4.1 ± 0.8 | 4.2 ± 0.7 | 4.0 ± 0.9 | NS | |
| LMM | 0.22 ± 0.18 | 0.23 ± 0.11 | 0.21 ± 0.40 | NS | |
| Molybdenum | Total | 2.6 ± 0.7 | 2.7 ± 0.6 | 2.4 ± 0.7 | NS |
| HMM | 2.7 ± 1.1 | 2.8 ± 0.9 | 2.9 ± 0.9 | NS | |
| LMM | ND | ND | ND | - | |
| Selenium | Total | 120.3 ± 18.5 | 125.8 ± 20.5 | 123.0 ± 20.1 | NS |
| HMM | 123.4 ± 17.5 | 117.2 ± 19.6 | 111.3 ± 16.3 | NS | |
| LMM | 2.2 ± 1.9 | 1.7 ± 0.9 | 1.8 ± 1.7 | NS | |
| Zinc | Total | 725.3 ± 154.3 | 757.0 ± 126.9 | 736.7 ± 126.9 | NS |
| HMM | 731.5 ± 233.7 | 727.8 ± 191.2 | 723.3 ± 282.4 | NS | |
| LMM | 36.4 ± 15.8 | 39.2 ± 14.7 | 35.8 ± 24.1 | NS | |
Disclaimer/Publisher’s Note: The statements, opinions and data contained in all publications are solely those of the individual author(s) and contributor(s) and not of MDPI and/or the editor(s). MDPI and/or the editor(s) disclaim responsibility for any injury to people or property resulting from any ideas, methods, instructions or products referred to in the content. |
© 2023 by the authors. Licensee MDPI, Basel, Switzerland. This article is an open access article distributed under the terms and conditions of the Creative Commons Attribution (CC BY) license (https://creativecommons.org/licenses/by/4.0/).
Share and Cite
González-Domínguez, Á.; Millán-Martínez, M.; Domínguez-Riscart, J.; Lechuga-Sancho, A.M.; González-Domínguez, R. Metal Homeostasis and Exposure in Distinct Phenotypic Subtypes of Insulin Resistance among Children with Obesity. Nutrients 2023, 15, 2347. https://doi.org/10.3390/nu15102347
González-Domínguez Á, Millán-Martínez M, Domínguez-Riscart J, Lechuga-Sancho AM, González-Domínguez R. Metal Homeostasis and Exposure in Distinct Phenotypic Subtypes of Insulin Resistance among Children with Obesity. Nutrients. 2023; 15(10):2347. https://doi.org/10.3390/nu15102347
Chicago/Turabian StyleGonzález-Domínguez, Álvaro, María Millán-Martínez, Jesús Domínguez-Riscart, Alfonso María Lechuga-Sancho, and Raúl González-Domínguez. 2023. "Metal Homeostasis and Exposure in Distinct Phenotypic Subtypes of Insulin Resistance among Children with Obesity" Nutrients 15, no. 10: 2347. https://doi.org/10.3390/nu15102347
APA StyleGonzález-Domínguez, Á., Millán-Martínez, M., Domínguez-Riscart, J., Lechuga-Sancho, A. M., & González-Domínguez, R. (2023). Metal Homeostasis and Exposure in Distinct Phenotypic Subtypes of Insulin Resistance among Children with Obesity. Nutrients, 15(10), 2347. https://doi.org/10.3390/nu15102347

