Absolute and Relative Agreement between the Current and Modified Brazilian Cardioprotective Nutritional Program Dietary Index (BALANCE DI) and the American Heart Association Healthy Diet Score (AHA-DS) in Post Myocardial Infarction Patients
Abstract
:1. Introduction
2. Materials and Methods
2.1. Study Design and Participants
2.2. Dietary Assessment
2.2.1. BALANCE DI
2.2.2. AHA-DS
2.3. Sociodemographic, Clinic, Lifestyle Variables and Biochemical Assessment
2.4. Statistical Analysis
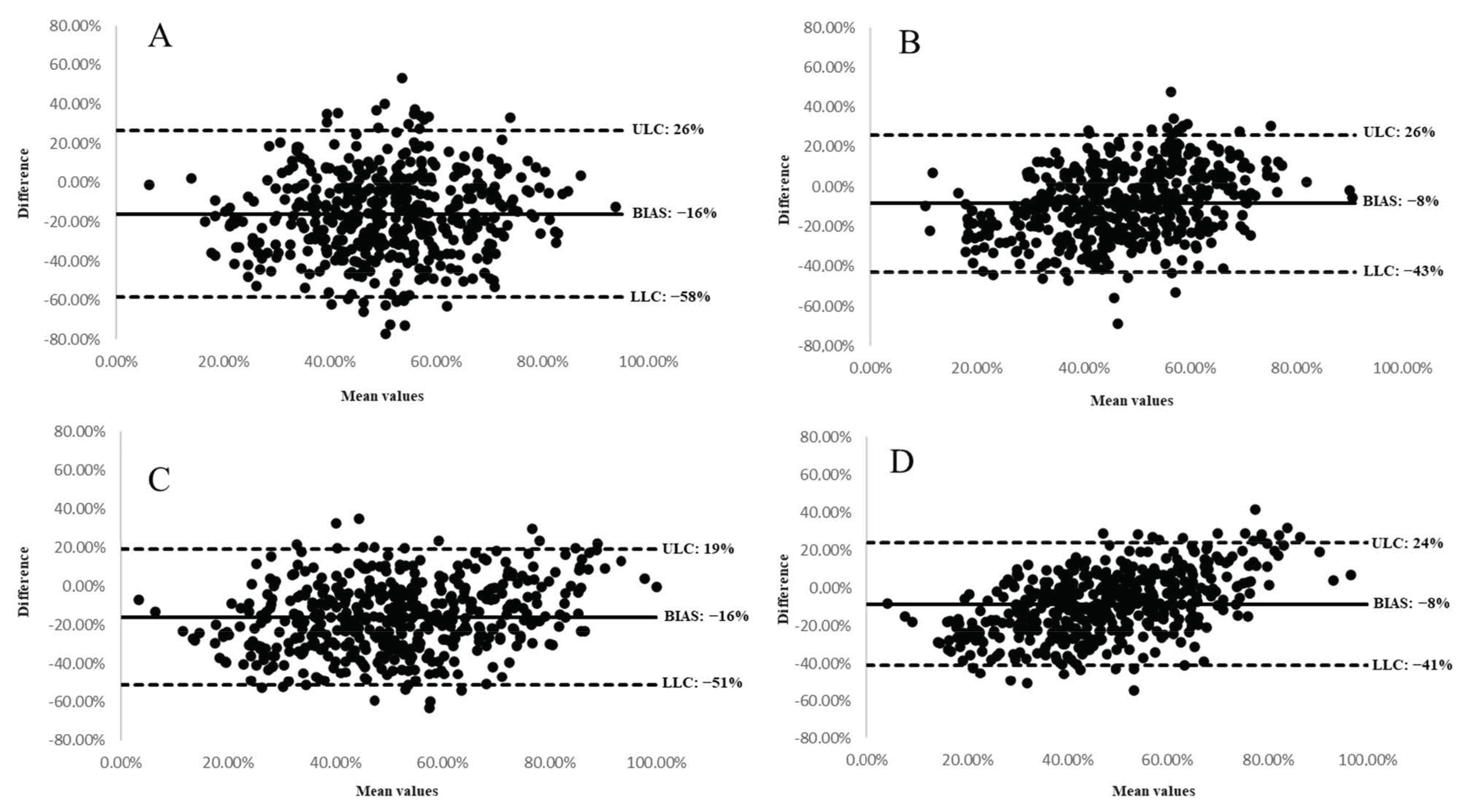
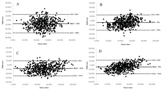
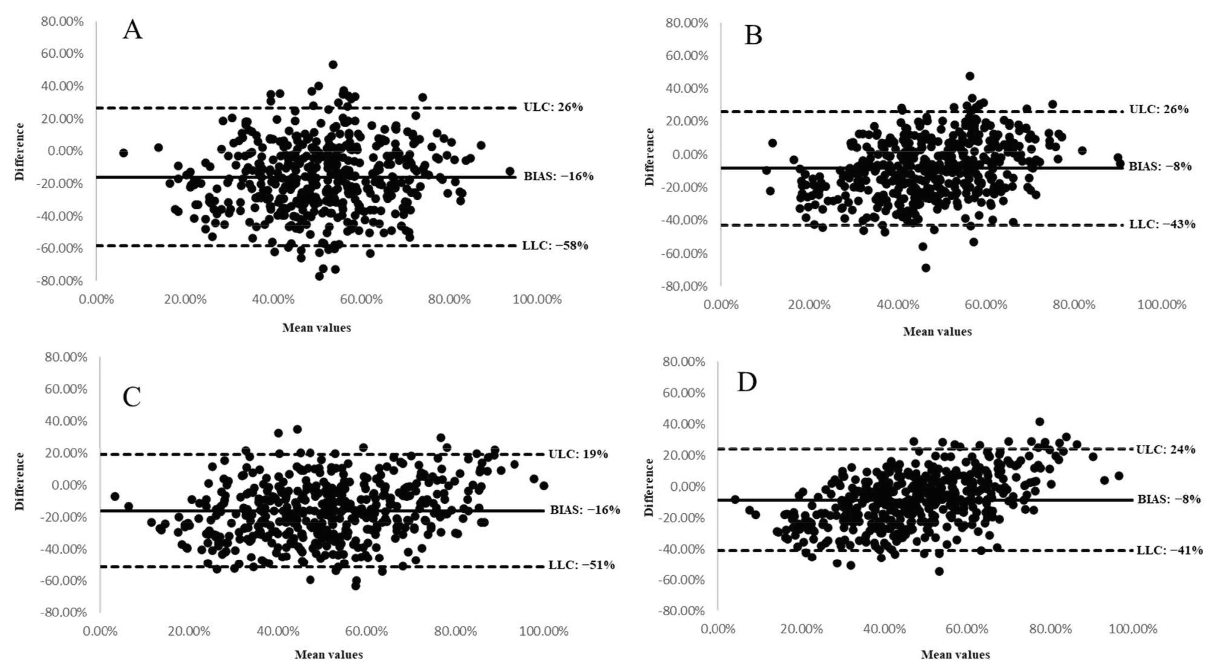
3. Results
4. Discussion
5. Conclusions
Supplementary Materials
Author Contributions
Funding
Institutional Review Board Statement
Informed Consent Statement
Data Availability Statement
Acknowledgments
Conflicts of Interest
References
- World Health Organization (WHO). Available online: https://www.who.int/news-room/fact-sheets/detail/the-top-10-causes-of-death (accessed on 19 January 2022).
- Siqueira, C.A.D.S.; de Souza, D.L.B. Reduction of mortality and predictions for acute myocardial infarction, stroke, and heart failure in Brazil until 2030. Sci. Rep. 2020, 10, 17856. [Google Scholar] [CrossRef] [PubMed]
- Aune, D.; Giovannucci, E.; Boffetta, P.; Fadnes, L.T.; Keum, N.; Norat, T.; Greenwood, D.C.; Riboli, E.; Vatten, L.J.; Tonstad, S. Fruit and vegetable intake and the risk of cardiovascular disease, total cancer and all-cause mortality-a systematic review and dose-response meta-analysis of prospective studies. Int. J. Epidemiol. 2017, 4, 1029–1056. [Google Scholar] [CrossRef]
- Aune, D.; Keum, N.; Giovannucci, E.; Fadnes, L.T.; Boffetta, P.; Greenwood, D.C.; Tonstad, S.; Vatten, L.J.; Riboli, E.; Norat, T. Whole grain consumption and risk of cardiovascular disease, cancer, and all cause and cause specific mortality: Systematic review and dose-response meta-analysis of prospective studies. BMJ 2016, 353, i2716. [Google Scholar] [CrossRef] [PubMed] [Green Version]
- Rosato, V.; Temple, N.J.; La Vecchia, C.; Castellan, G.; Tavani, A.; Guercio, V. Mediterranean diet and cardiovascular disease: A systematic review and meta-analysis of observational studies. Eur. J. Nutr. 2019, 58, 173–191. [Google Scholar] [CrossRef] [PubMed]
- Filippou, C.D.; Tsioufis, C.P.; Thomopoulos, C.G.; Mihas, C.C.; Dimitriadis, K.S.; Sotiropoulou, L.I.; Chrysochoou, C.A.; Nihoyannopoulos, P.I.; Tousoulis, D.M. Dietary Approaches to Stop Hypertension (DASH) Diet and Blood Pressure Reduction in Adults with and without Hypertension: A Systematic Review and Meta-Analysis of Randomized Controlled Trials. Adv. Nutr. 2020, 11, 1150–1160. [Google Scholar] [CrossRef] [PubMed]
- Dinu, M.; Abbate, R.; Gensini, G.F.; Casini, A.; Sofi, F. Vegetarian, vegan diets and multiple health outcomes: A systematic review with meta-analysis of observational studies. Crit. Rev. Food Sci. Nutr. 2017, 57, 3640–3649. [Google Scholar] [CrossRef] [PubMed]
- Shan, Z.; Li, Y.; Baden, M.Y.; Bhupathiraju, S.N.; Wang, D.D.; Sun, Q.; Rexrode, K.M.; Rimm, E.B.; Qi, L.; Willett, W.C.; et al. Association Between Healthy Eating Patterns and Risk of Cardiovascular Disease. JAMA Intern. Med. 2020, 180, 1090–1100. [Google Scholar] [CrossRef]
- Smith, S.C., Jr.; Benjamin, E.J.; Bonow, R.O.; Braun, L.T.; Creager, M.A.; Franklin, B.A.; Gibbons, R.J.; Grundy, S.M.; Hiratzka, L.F.; Jones, D.W.; et al. AHA/ACCF Secondary Prevention and Risk Reduction Therapy for Patients with Coronary and other Atherosclerotic Vascular Disease: 2011 update: A guideline from the American Heart Association and American College of Cardiology Foundation. Circulation 2011, 124, 2458–2473. [Google Scholar]
- Piegas, L.S.; Timerman, A.; Feitosa, G.S.; Nicolau, J.C.; Mattos, L.A.P.; Andrade, M.D.; Avezum, A.; Feldman, A.; De Carvalho, A.C.C.; Sousa, A.C.S.; et al. V Diretriz Da Sociedade Brasileira de Cardiologia sobre Tratamento so Infarto Agudo do Miocárdio com Supradesnível do Segmento St. Arq. Bras. Cardiol. 2015, 105, 1–105. [Google Scholar] [CrossRef]
- Lloyd-Jones, D.M.; Hong, Y.; Labarthe, D.; Mozaffarian, D.; Appel, L.J.; Van Horn, L.; Greenlund, K.; Daniels, S.; Nichol, G.; Tomaselli, G.F.; et al. Defining and setting national goals for cardiovascular health promotion and disease reduction: The American Heart Association’s strategic Impact Goal through 2020 and beyond. Circulation 2010, 121, 586–613. [Google Scholar] [CrossRef] [Green Version]
- Virani, S.S.; Alonso, A.; Benjamin, E.J.; Bittencourt, M.S.; Callaway, C.W.; Carson, A.P.; Chamberlain, A.M.; Chang, A.R.; Cheng, S.; Delling, F.N.; et al. Heart Disease and Stroke Statistics-2020 Update: A Report from the American Heart Association. Circulation 2020, 141, e139–e596. [Google Scholar] [CrossRef]
- Mok, Y.; Sang, Y.; Ballew, S.H.; Rebholz, C.M.; Rosamond, W.D.; Heiss, G.; Folsom, A.R.; Coresh, J.; Matsushita, K. American Heart Association’s Life’s Simple 7 at Middle Age and Prognosis After Myocardial Infarction in Later Life. J. Am. Heart Assoc. 2018, 7, e007658. [Google Scholar] [CrossRef] [Green Version]
- Weber, B.; Galante, A.P.; Bersch-Ferreira, A.C.; Torreglosa, C.R.; Carvalho, V.O.; Victor, E.; Espírito-Santo, J.A.; Ross-Fernandes, M.B.; Soares, R.M.; Costa, R.P.; et al. Effects of Brazilian Cardioprotective Diet Program on risk factors in patients with coronary heart disease: A Brazilian Cardioprotective Diet randomized pilot trial. Clinics 2012, 67, 1407–1414. [Google Scholar] [CrossRef]
- Weber, B.; Bersch-Ferreira, Â.C.; Torreglosa, C.R.; Ross-Fernandes, M.B.; da Silva, J.T.; Galante, A.P.; Lara, E.; Costa, R.P.; Soares, R.M.; Cavalcanti, A.B.; et al. The Brazilian Cardioprotective Nutritional Program to reduce events and risk factors in secondary prevention for cardiovascular disease: Study protocol (The BALANCE Program Trial). Am. Heart J. 2016, 171, 73–81.e812. [Google Scholar] [CrossRef]
- Weber, B.; Bersch-Ferreira, Â.C.; Torreglosa, C.R.; Marcadenti, A.; Lara, E.S.; da Silva, J.T.; Costa, R.P.; Santos, R.; Berwanger, O.; Bosquetti, R.; et al. Implementation of a Brazilian Cardioprotective Nutritional (BALANCE) Program for improvement on quality of diet and secondary prevention of cardiovascular events: A randomized, multicenter trial. Am. Heart J. 2019, 215, 187–197. [Google Scholar] [CrossRef]
- Tereza da Silva, J.; Bersch-Ferreira, Â.C.; Torreglosa, C.R.; Weber, B.; Levy, R.B. Development of a dietary index based on the Brazilian Cardioprotective Nutritional Program (BALANCE). Nutr. J. 2018, 4, 17–49. [Google Scholar] [CrossRef]
- Marcadenti, A.; Weber, B.; Bersch-Ferreira, A.C.; Machado, R.; Torreglosa, C.R.; de Sousa Lara, E.M.; da Silva, L.R.; Santos, R.; Miyada, D.; Sady, E.; et al. Effects of a Brazilian cardioprotective diet and nuts on cardiometabolic parameters after myocardial infarction: Study protocol for a randomized controlled clinical trial. Trials 2021, 22, 582. [Google Scholar] [CrossRef]
- Pérez Rodrigo, C.; Aranceta, J.; Salvador, G.; Varela-Moreiras, G. Food frequency questionnaires. Nutr. Hosp. 2015, 31, 49–56. [Google Scholar] [CrossRef]
- United States Department of Agriculture (USDA). Available online: http://www.usda.gov (accessed on 1 November 2021).
- Matsudo, S.; Araújo, T.; Matsudo, V.; Andrade, D.; Andrade, E.; Oliveira, L.C.; Braggion, G. International physical activity questionnaire (IPAQ): Study of validity and reability in Brazil. Rev. Bras. Ativ. Fís. Saúde 2001, 6, 5–18. [Google Scholar] [CrossRef]
- Martin, S.S.; Blaha, M.J.; Elshazly, M.B.; Toth, P.P.; Kwiterovich, P.O.; Blumenthal, R.S.; Jones, S.R. Comparison of a novel method vs the Friedewald equation for estimating low-density lipoprotein cholesterol levels from the standard lipid profile. JAMA 2013, 310, 2061–2068. [Google Scholar] [CrossRef]
- Antonio, J.P.; da Rosa, V.C.; Sarmento, R.A.; de Almeida, J.C. Diet quality and therapeutic targets in patients with type 2 diabetes: Evaluation of concordance between dietary indexes. Nutr. J. 2017, 16, 74. [Google Scholar] [CrossRef] [Green Version]
- Olmedo-Requena, R.; González-Donquiles, C.; Dávila-Batista, V.; Romaguera, D.; Castelló, A.; Molina de la Torre, A.J.; Amiano, P.; Dierssen-Sotos, T.; Guevara, M.; Fernández-Tardón, G.; et al. Agreement among Mediterranean Diet Pattern Adherence Indexes: MCC-Spain Study. Nutrients 2019, 11, 488. [Google Scholar] [CrossRef] [Green Version]
- Li, S.; Chiuve, S.E.; Flint, A.; Pai, J.K.; Forman, J.P.; Hu, F.B.; Willett, W.C.; Mukamal, K.J.; Rimm, E.B. Better diet quality and decreased mortality among myocardial infarction survivors. JAMA Intern. Med. 2013, 173, 1808–1818. [Google Scholar] [CrossRef]
- Dehghan, M.; Mente, A.; Teo, K.K.; Gao, P.; Sleight, P.; Dagenais, G.; Avezum, A.; Probstfield, J.L.; Dans, T.; Yusuf, S.; et al. Relationship between healthy diet and risk of cardiovascular disease among patients on drug therapies for secondary prevention: A prospective cohort study of 31 546 high-risk individuals from 40 countries. Circulation 2012, 126, 2705–2712. [Google Scholar] [CrossRef]
- Rehm, C.D.; Peñalvo, J.L.; Afshin, A.; Mozaffarian, D. Dietary Intake among US Adults, 1999–2012. JAMA 2016, 315, 2542–2553. [Google Scholar] [CrossRef]
- Uijl, A.; Koudstaal, S.; Vaartjes, I.; Boer, J.M.A.; Verschuren, W.M.M.; van der Schouw, Y.T.; Asselbergs, F.W.; Hoes, A.W.; Sluijs, I. Risk for Heart Failure: The Opportunity for Prevention with the American Heart Association’s Life’s Simple 7. JACC Heart Fail. 2019, 7, 637–647. [Google Scholar] [CrossRef]
- Wallström, P.; Mattisson, I.; Tydén, P.; Berglund, G.; Janzon, L. Dietary habits after myocardial infarction-results from a cross-sectional study. J. Intern. Med. 2005, 257, 329–337. [Google Scholar] [CrossRef] [Green Version]
- Ramírez-Vélez, R.; Saavedra, J.M.; Lobelo, F.; Celis-Morales, C.A.; Pozo-Cruz, B.D.; García-Hermoso, A. Ideal Cardiovascular Health and Incident Cardiovascular Disease among Adults: A Systematic Review and Meta-analysis. Mayo Clin. Proc. 2018, 93, 1589–1599. [Google Scholar] [CrossRef] [Green Version]
- Guo, L.; Zhang, S. Association between ideal cardiovascular health metrics and risk of cardiovascular events or mortality: A meta-analysis of prospective studies. Clin. Cardiol. 2017, 40, 1339–1346. [Google Scholar] [CrossRef] [Green Version]
- Folsom, A.R.; Yatsuya, H.; Nettleton, J.A.; Lutsey, P.L.; Cushman, M.; Rosamond, W.D.; ARIC Study Investigators. Community prevalence of ideal cardiovascular health, by the American Heart Association definition, and relationship with cardiovascular disease incidence. J. Am. Coll. Cardiol. 2011, 57, 1690–1696. [Google Scholar] [CrossRef] [Green Version]
- Gaye, B.; Tafflet, M.; Arveiler, D.; Montaye, M.; Wagner, A.; Ruidavets, J.B.; Kee, F.; Evans, A.; Amouyel, P.; Ferrieres, J.; et al. Ideal Cardiovascular Health and Incident Cardiovascular Disease: Heterogeneity Across Event Subtypes and Mediating Effect of Blood Biomarkers: The PRIME Study. J. Am. Heart Assoc. 2017, 6, e006389. [Google Scholar] [CrossRef] [PubMed] [Green Version]
- Tabela Brasileira de Composição de Alimentos, 4th ed.; NEPA-UNICAMP: Campinas, Brazil, 2011.

| Characteristic | Mean ± SD, Median (IQR) or n (%) |
|---|---|
| Age (years) | 60 ± 9.4 |
| Sex | |
| Female | 135 (28) |
| Male | 344 (72) |
| Days after MI | 108 ± 36.3 |
| Marital status | |
| Single | 79 (16) |
| Married | 276 (58) |
| Divorced | 59 (12) |
| Widowed | 33 (7) |
| Common Law Marriage | 32 (7) |
| Education Level | |
| Illiterate/incomplete elementary school | 99 (21) |
| Complete elementary school/incomplete middle school | 87 (18) |
| Complete middle school/incomplete high school | 65 (14) |
| Complete high school school/incomplete college degree | 142 (30) |
| Complete college degree | 84 (17) |
| Smoking | |
| No | 172 (36) |
| Ex-smoker | 255 (53) |
| Smoker | 50 (11) |
| T2DM * | 134 (28) |
| Hypertension * | 313 (65) |
| Dyslipidemia * | 195 (41) |
| BMI (kg/m2) | 28.5 ± 4.3 |
| Weight (kg) | 78.2 ± 15.1 |
| WC (cm) | 97.9 ± 11.5 |
| WHR | 0.9 ± 0.08 |
| Level of Physical Activity (according to IPAQ **) | |
| High | 127 (27) |
| Moderate | 266 (56) |
| Low | 82 (17) |
| Dietary intake *** | |
| Energy (Kcal) | 1616 ± 624 |
| Carbohydrates (% energy) | 52 ± 14 |
| Proteins (% energy) | 20 ± 10.1 |
| Fat (% energy) | 31 ± 14.2 |
| SFA (% energy) | 10.6 ± 5.5 |
| PUFA (% energy) | 7.3 ± 4.4 |
| MUFA (% energy) | 9.5 ± 5 |
| Dietary Fiber (g) | 20.7 ± 8.1 |
| Sodium (mg) | 3131 ± 1656 |
| Biochemical data | |
| TC (mmol/L) | 4.08 ± 1.39 |
| LDL-C (mmol/L) | 2.2 ± 1.13 |
| HDL-C (mmol/L) | 1.09 ± 0.49 |
| TG (mmol/L) | 1.5 (0.5–8.39) |
| Glucose (mmol/L) | 6.41 ±2.46 |
| HbA1c (%) | 6.33 ±1.4 |
| Insulin (UI/mL) | 10.2 (0.1–200) |
| BALANCE Groups | Recommendation (Portions/d) | Energy Requirements (kcal/d) | |||||
|---|---|---|---|---|---|---|---|
| 1400 | 1600 | 1800 | 2000 | 2200 | 2400 | ||
| Green | Original | 9 | 11 | 11 | 12 | 14 | 16 |
| Fruits and vegetables | 4.5 | 5.5 | 5.5 | 6 | 7 | 8 | |
| Proportionally scored | 0–4.5 | 0–5.5 | 0–5.5 | 0–6 | 0–7 | 0–8 | |
| Score 10 | >4.5 | >5.5 | >5.5 | >6 | >7 | >8 | |
| Yellow | Original | 6 | 7 | 9 | 10 | 11 | 13 |
| Whole grains | 3 | 3.5 | 4 | 5 | 5.5 | 6.5 | |
| Proportionally scored | 0–3 | 0–3.5 | 0–4.5 | 0–5 | 0–5.5 | 0–6.5 | |
| Score 10 | >3 | >3.5 | >4.5 | >5 | >5.5 | >6.5 | |
| Score 0 | >6 | >7 | >9 | >10 | >11 | >13 | |
| Blue | Original | 2 | 2 | 3 | 3 | 4 | 4 |
| Red | Original | 0 | 0 | 0 | 0 | 0 | 0 |
Publisher’s Note: MDPI stays neutral with regard to jurisdictional claims in published maps and institutional affiliations. |
© 2022 by the authors. Licensee MDPI, Basel, Switzerland. This article is an open access article distributed under the terms and conditions of the Creative Commons Attribution (CC BY) license (https://creativecommons.org/licenses/by/4.0/).
Share and Cite
Weschenfelder, C.; Sapp, P.; Riley, T.; Petersen, K.; da Silva, J.T.; Bersch-Ferreira, A.C.; Machado, R.H.V.; de Abreu-Silva, E.O.; Silva, L.R.; Weber, B.; et al. Absolute and Relative Agreement between the Current and Modified Brazilian Cardioprotective Nutritional Program Dietary Index (BALANCE DI) and the American Heart Association Healthy Diet Score (AHA-DS) in Post Myocardial Infarction Patients. Nutrients 2022, 14, 1378. https://doi.org/10.3390/nu14071378
Weschenfelder C, Sapp P, Riley T, Petersen K, da Silva JT, Bersch-Ferreira AC, Machado RHV, de Abreu-Silva EO, Silva LR, Weber B, et al. Absolute and Relative Agreement between the Current and Modified Brazilian Cardioprotective Nutritional Program Dietary Index (BALANCE DI) and the American Heart Association Healthy Diet Score (AHA-DS) in Post Myocardial Infarction Patients. Nutrients. 2022; 14(7):1378. https://doi.org/10.3390/nu14071378
Chicago/Turabian StyleWeschenfelder, Camila, Philip Sapp, Terrence Riley, Kristina Petersen, Jacqueline Tereza da Silva, Angela Cristine Bersch-Ferreira, Rachel Helena Vieira Machado, Erlon Oliveira de Abreu-Silva, Lucas Ribeiro Silva, Bernardete Weber, and et al. 2022. "Absolute and Relative Agreement between the Current and Modified Brazilian Cardioprotective Nutritional Program Dietary Index (BALANCE DI) and the American Heart Association Healthy Diet Score (AHA-DS) in Post Myocardial Infarction Patients" Nutrients 14, no. 7: 1378. https://doi.org/10.3390/nu14071378
APA StyleWeschenfelder, C., Sapp, P., Riley, T., Petersen, K., da Silva, J. T., Bersch-Ferreira, A. C., Machado, R. H. V., de Abreu-Silva, E. O., Silva, L. R., Weber, B., de Quadros, A. S., Kris-Etherton, P., & Marcadenti, A. (2022). Absolute and Relative Agreement between the Current and Modified Brazilian Cardioprotective Nutritional Program Dietary Index (BALANCE DI) and the American Heart Association Healthy Diet Score (AHA-DS) in Post Myocardial Infarction Patients. Nutrients, 14(7), 1378. https://doi.org/10.3390/nu14071378

