Body Composition Assessment in Mexican Children and Adolescents. Part 2: Cross-Validation of Three Bio-Electrical Impedance Methods against Dual X-ray Absorptiometry for Total-Body and Regional Body Composition
Abstract
:1. Introduction
2. Materials and Methods
2.1. BIA Equation Generation
2.2. BIA Measurements
2.2.1. Standing-Position MF-BIA Handrail and Paediatric Model
2.2.2. Supine Position BIA
2.3. BIA Equations Validation
2.4. Statistical Analysis
2.4.1. Generation of BIA BC Prediction Equations
2.4.2. Cross-Validation
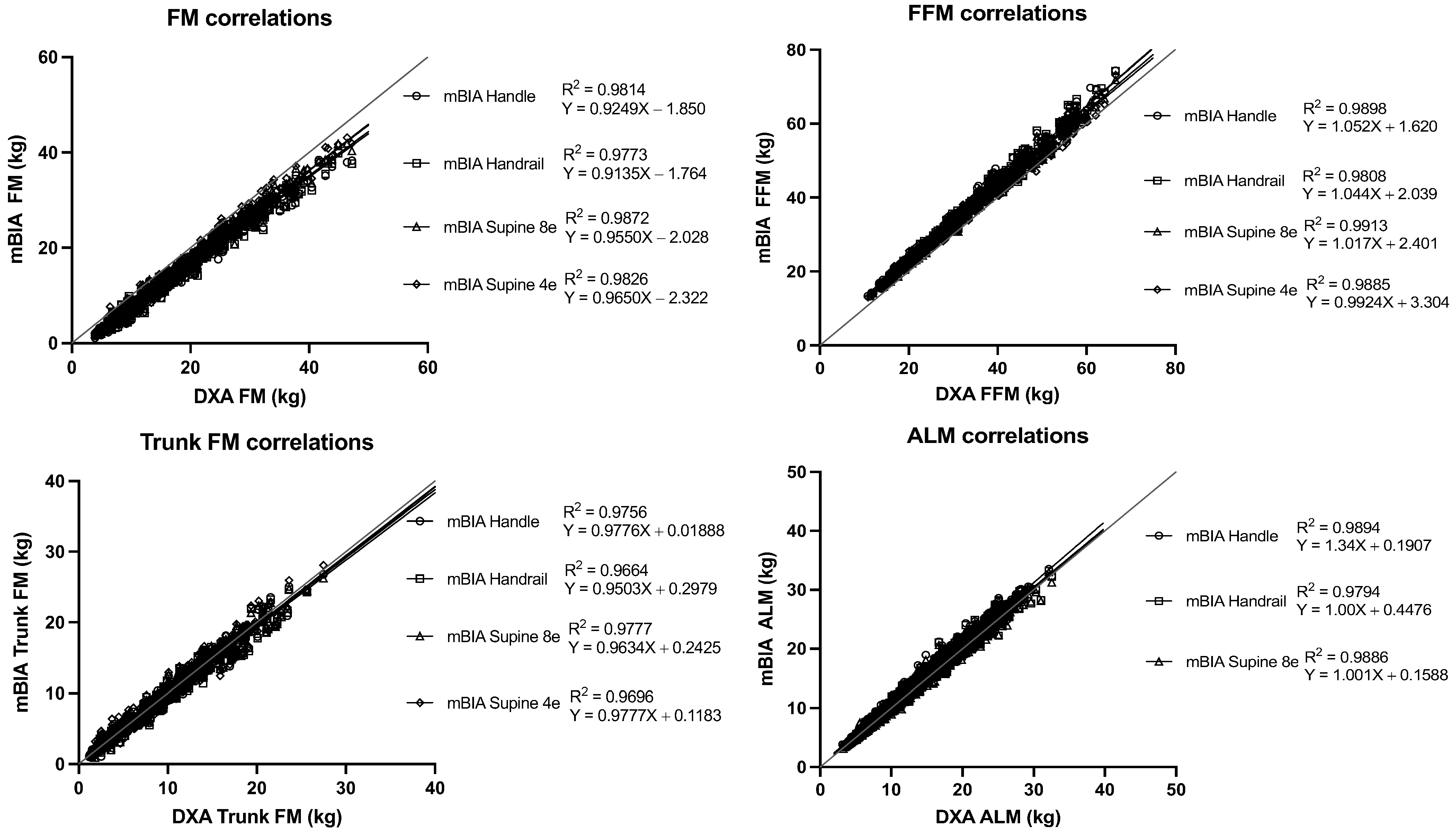
3. Results
Cross-Validation
4. Discussion
Limitations of This Study
5. Conclusions
Supplementary Materials
Author Contributions
Funding
Institutional Review Board Statement
Informed Consent Statement
Data Availability Statement
Acknowledgments
Conflicts of Interest
References
- McCormack, S.E.; Cousminer, D.L.; Chesi, A.; Mitchell, J.A.; Roy, S.M.; Kalkwarf, H.J.; Lappe, J.M.; Gilsanz, V.; Oberfield, S.E.; Shepherd, J.A.; et al. Association Between Linear Growth and Bone Accrual in a Diverse Cohort of Children and Adolescents. JAMA Pediatr. 2017, 171, e171769. [Google Scholar] [CrossRef] [PubMed]
- Lohman, T.G.; Hingle, M.; Going, S.B. Body composition in children. Pediatr. Exerc. Sci. 2013, 25, 573–590. [Google Scholar] [CrossRef] [PubMed]
- Fields, D.A.; Goran, M.I. Body composition techniques and the four-compartment model in children. J. Appl. Physiol. 2000, 89, 613–620. [Google Scholar] [CrossRef] [PubMed] [Green Version]
- Wells, J.C.; Fewtrell, M.S. Measuring body composition. Arch. Dis. Child. 2006, 91, 612–617. [Google Scholar] [CrossRef] [PubMed] [Green Version]
- Wells, J.C.; Williams, J.E.; Chomtho, S.; Darch, T.; Grijalva-Eternod, C.; Kennedy, K.; Haroun, D.; Wilson, C.; Cole, T.J.; Fewtrell, M.S. Pediatric reference data for lean tissue properties: Density and hydration from age 5 to 20 y. Am. J. Clin. Nutr. 2010, 91, 610–618. [Google Scholar] [CrossRef] [PubMed] [Green Version]
- Lohman, T.G. Applicability of body composition techniques and constants for children and youths. Exerc. Sport Sci. Rev. 1986, 14, 325–357. [Google Scholar] [CrossRef] [PubMed]
- Dehghan, M.; Merchant, A.T. Is bioelectrical impedance accurate for use in large epidemiological studies? Nutr. J. 2008, 7, 26. [Google Scholar] [CrossRef] [PubMed] [Green Version]
- Lee, L.W.; Liao, Y.S.; Lu, H.K.; Hsiao, P.L.; Chen, Y.Y.; Chi, C.C.; Hsieh, K.C. Validation of two portable bioelectrical impedance analyses for the assessment of body composition in school age children. PLoS ONE 2017, 12, e0171568. [Google Scholar] [CrossRef] [PubMed]
- Sluyter, J.D.; Schaaf, D.; Scragg, R.K.; Plank, L.D. Prediction of fatness by standing 8-electrode bioimpedance: A multiethnic adolescent population. Obesity 2010, 18, 183–189. [Google Scholar] [CrossRef] [PubMed]
- Tompuri, T.T.; Lakka, T.A.; Hakulinen, M.; Lindi, V.; Laaksonen, D.E.; Kilpelainen, T.O.; Jaaskelainen, J.; Lakka, H.M.; Laitinen, T. Assessment of body composition by dual-energy X-ray absorptiometry, bioimpedance analysis and anthropometrics in children: The Physical Activity and Nutrition in Children study. Clin. Physiol. Funct. Imaging 2015, 35, 21–33. [Google Scholar] [CrossRef]
- Bosy-Westphal, A.; Schautz, B.; Later, W.; Kehayias, J.J.; Gallagher, D.; Muller, M.J. What makes a BIA equation unique? Validity of eight-electrode multifrequency BIA to estimate body composition in a healthy adult population. Eur. J. Clin. Nutr. 2013, 67 Suppl 1, S14–S21. [Google Scholar] [CrossRef] [Green Version]
- Lopez-Gonzalez, D.; Wells, J.C.; Cortina-Borja, M.; Fewtrell, M.; Partida-Gaytan, A.; Clark, P. Reference values for bone mineral density in healthy Mexican children and adolescents. Bone 2021, 142, 115734. [Google Scholar] [CrossRef] [PubMed]
- Bland, J.M.; Altman, D.G. Measuring agreement in method comparison studies. Stat. Methods Med. Res. 1999, 8, 135–160. [Google Scholar] [CrossRef] [PubMed]
- Lazzer, S.; Boirie, Y.; Meyer, M.; Vermorel, M. Evaluation of two foot-to-foot bioelectrical impedance analysers to assess body composition in overweight and obese adolescents. Br. J. Nutr. 2003, 90, 987–992. [Google Scholar] [CrossRef] [PubMed] [Green Version]
- Wan, C.S.; Ward, L.C.; Halim, J.; Gow, M.L.; Ho, M.; Briody, J.N.; Leung, K.; Cowell, C.T.; Garnett, S.P. Bioelectrical impedance analysis to estimate body composition, and change in adiposity, in overweight and obese adolescents: Comparison with dual-energy x-ray absorptiometry. BMC Pediatr. 2014, 14, 249. [Google Scholar] [CrossRef] [PubMed] [Green Version]
- Lee, Y.H.; Lee, J.D.; Kang, D.R.; Hong, J.; Lee, J.M. Bioelectrical impedance analysis values as markers to predict severity in critically ill patients. J. Crit. Care 2017, 40, 103–107. [Google Scholar] [CrossRef] [PubMed]
- Rush, E.C.; Bristow, S.; Plank, L.D.; Rowan, J. Bioimpedance prediction of fat-free mass from dual-energy X-ray absorptiometry in a multi-ethnic group of 2-year-old children. Eur. J. Clin. Nutr. 2013, 67, 214–217. [Google Scholar] [CrossRef] [PubMed]
- Raymond, C.J.; Dengel, D.R.; Bosch, T.A. Total and Segmental Body Composition Examination in Collegiate Football Players Using Multifrequency Bioelectrical Impedance Analysis and Dual X-ray Absorptiometry. J. Strength Cond. Res. 2018, 32, 772–782. [Google Scholar] [CrossRef] [PubMed]
- Williams, J.E.; Wells, J.C.; Wilson, C.M.; Haroun, D.; Lucas, A.; Fewtrell, M.S. Evaluation of Lunar Prodigy dual-energy X-ray absorptiometry for assessing body composition in healthy persons and patients by comparison with the criterion 4-component model. Am. J. Clin. Nutr. 2006, 83, 1047–1054. [Google Scholar] [CrossRef] [PubMed]





| Female (n = 158) | Male (n = 141) | Total (n = 299) | ||||
|---|---|---|---|---|---|---|
| Mean ± SD | Range | Mean ± SD | Range | Mean ± SD | Range | |
| Age (years) | 11.9 ± 3.8 | (4.8–18.0) | 12.2 ± 3.7 | (5.0–18.6) | 12.0 ± 3.7 | (4.8–18.6) |
| Weight (kg) | 41.0 ± 16.3 | (13.2–88.5) | 43.3 ± 16.2 | (17.1–77.3) | 42.1 ± 16.3 | (13.2–88.5) |
| Weight Z-score | −0.22 ± 0.99 | (−2.45–2.19) | 0.13 ± 1.17 | (−1.68–4.49) | −0.06 ± 1.09 | (−2.45–4.49) |
| Height (cm) | 142.5 ± 18.2 | (97.6–170.4) | 148.7 ± 20.8 | (105.9–186.0) | 145.5 ± 19.7 | (97.6–186.0) |
| Height Z-score | −0.48 ± 0.93 | (−3.02–1.53) | −0.22 ± 0.90 | (−2.96–2.46) | −0.36 ± 0.93 | (−3.02–2.46) |
| BMI (kg/m2) | 19.2 ± 4.1 | (12.7–35.2) | 18.7 ± 3.2 | (13.4–27.8) | 19.0 ± 3.7 | (12.7–35.2) |
| BMI Z-score | 0.24 ± 1.09 | (−2.88–2.87) | 0.14 ± 1.19 | (−2.98–5.15) | 0.19 ± 1.14 | (−2.98–5.15) |
| Waist circumference (cm) | 65.1 ± 10.1 | (46.7–92.3) | 66.7 ± 10.2 | (47.5–91.9) | 65.9 ± 10.1 | (46.7–92.3) |
| Tanner puberal stage | ||||||
| 1 | 51 (32%) | 62 (44%) | 113 (37%) | |||
| 2 & 3 | 48 (30%) | 44 (31%) | 92 (31%) | |||
| 4 & 5 | 59 (37%) | 35 (25%) | 94 (22%) | |||
| BMI category | ||||||
| Low weight | 2 (1%) | 3 (2%) | 5 (2%) | |||
| Healthy weight | 117 (74%) | 109 (77%) | 226 (76%) | |||
| Overweight | 30 (19%) | 21 (15%) | 51 (17%) | |||
| Obesity | 9 (6%) | 8 (6%) | 17 (6%) | |||
| 4C FM (kg) | 10.8 ± 7.7 | (0.4–38.6) | 8.1 ± 5.6 | (0.4–26.0) | 9.5 ± 6.9 | (0.4–38.6) |
| 4C FFM (kg) | 30.1 ± 9.8 | (12.4–53.3) | 35.3 ± 13.2 | (14.9–65.9) | 32.5 ± 11.8 | (12.4–65.9) |
| ADP volume (L) | 39.4 ± 16.1 | (12.0–87.9) | 41.0 ± 15.4 | (15.7–75.1) | 40.1 ± 15.8 | (12.0–87.9) |
| D2O TBW (L) | 21.7 ± 7.2 | (8.0–37.5) | 25.5 ± 9.4 | (10.3–48.6) | 23.5 ± 8.5 | (8.0–48.6) |
| DXA measurements | ||||||
| BMC (kg) | 1.5 ± 0.6 | (0.4–2.7) | 1.6 ± 0.7 | (0.6–3.4) | 1.6 ± 0.6 | (0.4–3.4) |
| FM (kg) | 13.7 ± 7.4 | (3.2–41.0) | 10.8 ± 5.6 | (3.3–29.7) | 12.3 ± 6.8 | (3.2–41.0) |
| FFM (kg) | 27.2 ± 9.4 | (9.6–49.4) | 32.5 ± 12.9 | (12.4–60.6) | 29.7 ± 11.5 | (9.6–60.6) |
| Lean mass (kg) | 25.7 ± 8.9 | (9.2–46.9) | 30.9 ± 12.2 | (11.7–57.3) | 28.1 ± 10.9 | (9.2–57.3) |
| ALM (kg) | 11.3 ± 4.5 | (3.1–22.3) | 14.1 ± 6.3 | (4.3–27.5) | 12.6 ± 5.6 | (3.1–27.5) |
| BIA Handle | n = 36 | n = 41 | n = 77 | |||
| PA Handle | 4.3 ± 0.5 | (3.5–5.6) | 4.5 ± 0.6 | (3.3–5.9) | 4.4 ± 0.5 | (3.3–5.9) |
| R50T Handle (Ω) | 30.5 ± 3.3 | (23.4–36.3) | 28.9 ± 3.5 | (21.5–36.1) | 29.7 ± 3.5 | (21.5–36.3) |
| Xc50T Handle (Ω) | −3.3 ± 0.3 | (−4.1–−2.8) | −3.5 ± 0.4 | (−4.5–−2.8) | −3.4 ± 0.4 | (−4.5–−2.8) |
| BIA Handrail | n = 129 | n = 117 | n = 246 | |||
| PA Handrail | 4.8 ± 0.5 | (3.7–6.4) | 5.0 ± 0.7 | (3.7–6.8) | 4.9 ± 0.6 | (3.7–6.8) |
| R50T Handrail (Ω) | 28.1 ± 3.9 | (21.5–43.3) | 26.5 ± 4.1 | (20.0–37.1) | 27.3 ± 4.1 | (20.0–43.3) |
| Xc50T Handrail (Ω) | −2.9 ± 0.4 | (−3.8–−2.0) | −3.1 ± 0.4 | (−4.5–−1.9) | −3.0 ± 0.4 | (−4.5–−1.9) |
| BIA supine 8 electrodes | n = 150 | n = 140 | n = 290 | |||
| PA mBIA supine 8E | 5.5 ± 0.6 | (4.2–7.4) | 5.7 ± 0.9 | (3.8–8.3) | 5.6 ± 0.8 | (3.8–8.3) |
| R50T mBIA supine 8E (Ω) | 31.3 ± 3.7 | (24.1–43.1) | 30.3 ± 4.1 | (22.7–41.7) | 30.8 ± 3.9 | (22.7–43.1) |
| Xc50T mBIA supine 8E (Ω) | −3.8 ± 0.4 | (−4.9–−3.0) | −4.0 ± 0.4 | (−4.9–−2.8) | −3.9 ± 0.4 | (−4.9–−2.8) |
| BIA supine 4 electrodes RS | n = 158 | n = 141 | n = 299 | |||
| PA mBIA supine 4E RS | 5.5 ± 0.7 | (4.0–7.5) | 5.7 ± 0.9 | (3.8–8.5) | 5.6 ± 0.8 | (3.8–8.5) |
| R50right side mBIA supine 4E (Ω) | 768.2 ± 98.9 | (589.4–1032.2) | 682.3 ± 100.7 | (488.2–903.8) | 727.7 ± 108.5 | (488.2–1032.2) |
| Xc50right side mBIA supine 4E (Ω) | −73.5 ± 8.9 | (−99.1–−56.5) | −67.6 ± 7.4 | (−87.1–−44.1) | −70.7 ± 8.7 | (−99.1–−44.1) |
| Female (n = 225) | Male (n = 225) | Total (n = 450) | ||||
|---|---|---|---|---|---|---|
| Mean ± SD | Range | Mean ± SD | Range | Mean ± SD | Range | |
| Age (years) | 11.6 ± 3.7 | 8.6–14.3 | 12.4 ± 3.6 | 9.6–15.2 | 12.0 ± 3.7 | 4.7–19.0 |
| Weight (kg) | 47.7 ± 18.9 | 31.8–61.9 | 53.9 ± 21.2 | 36.7–67.3 | 50.8 ± 20.3 | 14.5–108.5 |
| Weight Z-score | 0.69 ± 1.25 | −3.19–4.09 | 0.76 ± 1.17 | −2.17–3.54 | 0.73 ± 1.21 | −3.19–4.09 |
| Height (cm) | 142.8 ± 16.8 | 128.0–155.9 | 151.6 ± 18.9 | 135.6–166.7 | 147.2 ± 18.4 | 101.8–184.8 |
| Height Z-score | −0.3 ± 1.1 | −0.95–0.5 | −0.1 ± 1 | −0.79–0.64 | −0.16 ± 1.07 | −3.01–4.09 |
| BMI (kg/m2) | 22.4 ± 5.1 | 18.1–26.1 | 22.5 ± 5.1 | 18.7–26.0 | 22.4 ± 5.1 | 12.9–37.1 |
| BMI Z-score | 0.98 ± 1.06 | −2.45–2.9 | 0.92 ± 1.14 | −2.07–3.28 | 0.95 ± 1.10 | −2.45–3.28 |
| Waist circumference (cm) | 72.7 ± 12.6 | 62.4–82.7 | 76.5 ± 14.4 | 66.6–87.0 | 74.6 ± 13.7 | 45.0–117.0 |
| Tanner puberal stage | ||||||
| 1 | 75 (33%) | 75 (33%) | 150 (33%) | |||
| 2 & 3 | 75 (33%) | 75 (33%) | 150 (33%) | |||
| 4 & 5 | 75 (33%) | 75 (33%) | 150 (33%) | |||
| BMI category | ||||||
| Healthy weight | 75 (33%) | 75 (33%) | 150 (33%) | |||
| Overweight | 75 (33%) | 75 (33%) | 150 (33%) | |||
| Obesity | 75 (33%) | 75 (33%) | 150 (33%) | |||
| DXA measurements | ||||||
| BMC (kg) | 1.6 ± 0.6 | 1.0–2.0 | 1.9 ± 0.7 | 1.2–2.4 | 1.7 ± 0.7 | 0.6–3.4 |
| FM (kg) | 18.8 ± 9.5 | 10.8–24.8 | 17.3 ± 9.4 | 9.4–24.0 | 18.0 ± 9.5 | 3.9–47.2 |
| FFM (kg) | 28.7 ± 10 | 19.5–36.2 | 36.4 ± 13.7 | 23.6–47.6 | 32.5 ± 12.6 | 10.8–66.6 |
| Lean mass (kg) | 27.1 ± 9.4 | 18.5–34.3 | 34.6 ± 13 | 22.5–45.0 | 30.8 ± 11.9 | 10.2–63.3 |
| ALM (kg) | 11.9 ± 4.8 | 7.7−15.4 | 15.8 ± 6.7 | 9.7–21.0 | 13.9 ± 6.1 | 3.3–32.5 |
| tFM (kg) | 9.3 ± 5.3 | 1.2–25.6 | 8.7 ± 5.7 | 1.2–27.5 | 9.0 ± 5.5 | 1.2–27.5 |
| BIA Handle | n = 210 | n = 215 | n = 425 | |||
| FM mBIA Handle (kg) | 15.6 ± 9.1 | 7.5–22.3 | 14.1 ± 8.7 | 6.4–20.5 | 14.8 ± 8.9 | 1.1–40.3 |
| FFM mBIA Handle (kg) | 31.8 ± 10.8 | 22.3–39.4 | 39.5 ± 14.3 | 26.7–50.6 | 35.7 ± 13.2 | 13.3–74.4 |
| TBW mBIA Handle (L) | 23.3 ± 7.3 | 16.8–28.8 | 28.7 ± 9.6 | 20.1–36.7 | 26.0 ± 8.9 | 9.5–49.8 |
| ASMM mBIA Handle (kg) | 12.4 ± 5.1 | 7.6–15.8 | 16.5 ± 6.8 | 10.0–21.4 | 14.1 ± 6.2 | 3.5–30.9 |
| PA mBIA Handle | 4.7 ± 0.5 | 4.4–5.0 | 5.1 ± 0.6 | 4.6–5.5 | 4.9 ± 0.6 | 3.7–6.9 |
| R50T mBIA Handle (Ω) | 27.4 ± 3.9 | 18.9–41.6 | 25 ± 3.9 | 16.7–34.7 | 25.4 ± 3.5 | 16.7–41.6 |
| Xc50T mBIA Handle (Ω) | −3.4 ± 0.5 | −5.4–−1.9 | −3.5 ± 0.4 | −4.6–−2.6 | −3.5 ± 0.5 | −5.4–−1.9 |
| BIA Handrail | n = 139 | n= 158 | n= 297 | |||
| FM mBIA Handrail (kg) | 18.8 ± 8.2 | 11.8–23.9 | 16.2 ± 8.2 | 9.8–22.4 | 17.4 ± 8.3 | 2.8–39.9 |
| FFM mBIA Handrail (kg) | 37.9 ± 8.4 | 31.9–43.0 | 45.4 ± 11.6 | 35.8–53.8 | 41.9 ± 10.9 | 21.2–74.2 |
| TBW mBIA Handrail (kg) | 27.1 ± 5.4 | 23.3–30.5 | 32.4 ± 7.4 | 26.2–37.9 | 29.9 ± 7.0 | 15.4–49.5 |
| ASMM mBIA Handrail (kg) | 14.87 ± 3.9 | 11.8–16.6 | 19 ± 5.5 | 14.6–22.4 | 16.6 ± 5.0 | 6.7–30.8 |
| PA mBIA Handrail | 4.8 ± 0.5 | 4.4–5.1 | 5.2 ± 0.7 | 4.7–5.6 | 5.0 ± 0.6 | 3.7–6.9 |
| R50T mBIA Handrail (Ω) | 26.4 ± 3.3 | 19.3–36.8 | 24.5 ± 3.5 | 17.5–35.2 | 25.4 ± 3.5 | 17.5–36.8 |
| Xc50T mBIA Handrail (Ω) | −2.7 ± 0.4 | −3.7–−1.8 | −3.0 ± 0.4 | −4.2–−2.0 | −2.9 ± 0.4 | −4.1–−1.8 |
| BIA supine 8 electrodes | n = 220 | n = 224 | n = 444 | |||
| FM mBIA supine 8E (kg) | 16 ± 9.1 | 8.5–22.3 | 14.7 ± 9 | 6.7–21.4 | 15.3 ± 9.1 | 1.8–41.9 |
| FFM mBIA supine 8E (kg) | 32.3 ± 10.3 | 23.0–40.1 | 39 ± 14 | 26.0–49.7 | 35.7 ± 12.7 | 13.3–71.8 |
| TBW mBIA supine 8E | 23.2 ± 7.1 | 16.9–28.8 | 28.4 ± 9.6 | 19.4–36.0 | 25.8 ± 8.8 | 9.6–48.8 |
| ASMM mBIA supine 8E (kg) | 12.2 ± 4.8 | 7.7–15.9 | 16 ± 6.7 | 9.7–20.6 | 14.0 ± 6.0 | 3.8–30.6 |
| PA mBIA supine 8E | 5.5 ± 0.5 | 5.1–5.9 | 5.9 ± 0.8 | 5.3–6.4 | 5.7 ± 0.7 | 4.3–8.3 |
| R50T mBIA supine 8E (Ω) | 32.1 ± 4.2 | 23.3–45.8 | 29.6 ± 4.4 | 20.5–41.2 | 30.8 ± 4.5 | 20.5–45.8 |
| Xc50T mBIA supine 8E (Ω) | −3.9 ± 0.5 | −5.6–−1.9 | −4 ± 0.4 | −5.1–−2.9 | −3.9 ± 0.5 | −5.6–−1.9 |
| BIA supine 4 electrodes RS | n = 225 | n= 224 | n= 449 | |||
| FM mBIA supine 4E RS (kg) | 15.5 ± 9.4 | 7.9–22.1 | 14.6 ± 9.1 | 6.9–21.6 | 15.1 ± 9.2 | 1.5–43.1 |
| FFM mBIA supine 4E RS (kg) | 32.1 ± 10.2 | 23.2–39.8 | 39.1 ± 13.7 | 26.7–49.8 | 35.6 ± 12.6 | 13.0–73.1 |
| TBW mBIA supine 4E RS | 23.1 ± 6.9 | 17.1–28.7 | 27.9 ± 9.1 | 19.7–35.5 | 25.5 ± 8.4 | 8.8–48.3 |
| PA mBIA supine 4E RS | 5.5 ± 0.6 | 5.1–6.0 | 5.9 ± 0.8 | 5.3–6.5 | 5.7 ± 0.7 | 4.1–8.4 |
| R50RS mBIA supine 4E RS (Ω) | 735 ± 101.4 | 526–1110.5 | 656.8 ± 103.7 | 431.0–935.3 | 696. ± 109.7 | 431.0–1110.5 |
| Xc50RS mBIA supine 4E RS (Ω) | −70.6 ± 8 | −94.2–−53.0 | −67.1 ± 7.1 | −86.5–−50.2 | −68.9 ± 7.8 | −94.2–−50.2 |
| Method | Correlation r (95% CI) | Lin’s Concordance Coefficient (95% CI) | Bland-Altman Dif Mean ± SD | LOA | Regression Equation | p Value |
|---|---|---|---|---|---|---|
| Total sample | ||||||
| mBIA Handle | 0.99 (0.99–0.99) | 0.93 (0.92–0.94) | −3.2 ± 1.4 | (−6.0 to −0.4) | Y = −0.06899X − 2.071 | <0.001 |
| mBIA Handrail | 0.99 (0.99–0.99) | 0.98 (0.97–0.98) | −3.6 ± 1.5 | (−6.5 to −0.7) | Y = −0.07939X − 2.055 | <0.001 |
| mBIA supine 8e | 0.99 (0.99–0.99) | 0.95 (0.94–0.96) | −2.6 ± 1.1 | (−5.0 to −0.7) | Y = −0.03977X − 2.180 | <0.001 |
| mBIA supine 4e | 0.99 (0.99–0.99) | 0.94 (0.94–0.95) | −3.0 ± 1.3 | (−5.4 to −0.5) | Y = −0.02697X − 2.507 | <0.001 |
| NW | ||||||
| mBIA Handle | 0.98 (0.97–0.99) | 0.83 (0.79–0.86) | −2.9 ± 1.0 | (−4.8 to −0.9) | Y = −0.02303X − 2.660 | 0.17 |
| mBIA Handrail | 0.97 (0.96–0.98) | 0.95 (0.93–0.97) | −3.0 ± 1.2 | (−5.3 to −0.6) | Y = −0.03366X − 2.591 | 0.2 |
| mBIA supine 8e | 0.98 (0.98–0.99) | 0.87 (0.83–0.89) | −2.7 ± 0.9 | (−4.5 to −0.9) | Y = −0.04740X − 2.270 | 0.002 |
| mBIA supine 4e | 0.98 (0.97–0.98) | 0.84 (0.81–0.87) | −2.8 ± 1.1 | (−4.9 to −0.6) | Y = −0.06141X − 2.189 | <0.001 |
| OW | ||||||
| mBIA Handle | 0.99 (0.98–0.99) | 0.86 (0.83–0.89) | −3.2 ± 1.1 | (−5.4 to 1.1) | Y = −0.05292X − 2.402 | <0.001 |
| mBIA Handrail | 0.98 (0.97–0.98) | 0.93 (0.91–0.94) | −3.6 ± 1.1 | (−5.9 to −1.4) | Y = −0.04778X − 2.753 | 0.03 |
| mBIA supine 8e | 0.99 (0.98–0.99) | 0.9 (0.87–0.92) | −3.0 ± 1.1 | (−5.0 to −0.9) | Y = −0.05542X − 2.060 | <0.001 |
| mBIA supine 4e | 0.98 (0.98–0.99) | 0.89 (0.86–0.91) | −3.0 ± 1.3 | (−5.5 to −0.6) | Y = −0.03299X − 2.511 | 0.04 |
| OB | ||||||
| mBIA Handle | 0.98 (0.98–0.99) | 0.89 (0.86–0.91) | −3.5 ± 1.9 | (−7.2 to 0.1) | Y = −0.1467X + 0.07549 | <0.001 |
| mBIA Handrail | 0.98 (0.97–0.98) | 0.91 (0.88–0.92) | −4.1 ± 1.8 | (−7.5 to −0.6) | Y = −0.1559X + 0.1657 | <0.001 |
| mBIA supine 8e | 0.99 (0.99–0.99) | 0.93 (0.91–0.95) | −2.9 ± 1.3 | (−5.5 to −0.3) | Y = −0.07974X − 0.9045 | <0.001 |
| mBIA supine 4e | 0.99 (0.98–0.99) | 0.93 (0.91–0.94) | −3.1 ± 1.4 | (−5.8 to −0.4) | Y = −0.02301X − 2.511 | 0.08 |
| Method | Correlation r (95% CI) | Lin’s Concordance Coefficient (95% CI) | Bland-Altman Dif Mean ± SD | LOA | Regression Equation | p Value |
|---|---|---|---|---|---|---|
| Total sample | ||||||
| mBIA Handle | 0.99 (0.99–1.0) | 0.96 (0.96–0.97) | 3.3 ± 1.5 | (0.4 to 6.2) | Y = 0.05619X + 1.399 | <0.001 |
| mBIA Handrail | 0.99 (0.99–0.99) | 0.75 (0.71–0.78) | 3.7 ± 1.6 | (0.6 to 6.8) | Y = 0.05275X + 1.598 | <0.001 |
| mBIA supine 8e | 1.00 (0.99–1.0) | 0.97 (0.96–0.97) | 3.0 ± 1.2 | (0.6 to 5.3) | Y = 0.02105X + 2.230 | <0.001 |
| mBIA supine 4e | 0.99 (0.99–1.0) | 0.97 (0.96–0.97) | 3.1 ± 1.4 | (0.4 to 5.7) | Y = −0.001829X + 3.119 | 0.72 |
| NW | ||||||
| mBIA Handle | 1.00 (0.99–1.0) | 0.97 (0.96–0.98) | 2.8 ± 1.0 | (0.8 to 4.9) | Y = 0.002063X + 2.767 | 0.79 |
| mBIA Handrail | 0.99 (0.98–0.99) | 0.65 (0.58–0.72) | 2.9 ± 1.3 | (0.5 to 5.4) | Y = −0.03812X + 4.298 | 0.01 |
| mBIA supine 8e | 1.00 (0.99–1.0) | 0.96 (0.95–0.97) | 2.7 ± 1.0 | (0.7 to 4.6) | Y = −0.01039X + 2.979 | 0.16 |
| mBIA supine 4e | 0.99 (0.99–1.0) | 0.97 (0.96–0.97) | 2.7 ± 1.2 | (0.4 to 5.0) | Y = −0.01672X + 3.204 | 0.06 |
| OW | ||||||
| mBIA Handle | 1.00 (0.99–1.0) | 0.96 (0.95–0.97) | 3.3 ± 1.2 | (1.0 to 5.6) | Y = 0.02910X + 2.315 | <0.001 |
| mBIA Handrail | 0.99 (0.99–0.99) | 0.73 (0.67–0.78) | 3.7 ± 1.2 | (1.3 to 6.1) | Y = 0.01966X + 2.949 | 0.12 |
| mBIA supine 8e | 1.00 (0.99–1.0) | 0.96 (0.95–0.97) | 3.0 ± 1.2 | (0.8 to 5.3) | Y = 0.009462X + 2.703 | 0.2 |
| mBIA supine 4e | 0.99 (0.99–1.0) | 0.96 (0.95–0.97) | 3.1 ± 1.4 | (0.5 to 5.8) | Y = −0.01198X + 3.521 | 0.2 |
| OB | ||||||
| mBIA Handle | 1.00 (0.99–1.0) | 0.96 (0.94–0.97) | 3.8 ± 1.9 | (0.1 to 7.5) | Y = −0.1467X + 0.07549 | <0.001 |
| mBIA Handrail | 0.99 (0.99–0.99) | 0.79 (0.74–0.83) | 4.4 ± 1.8 | (0.8 to 7.9) | Y = −0.1559X + 0.1657 | <0.001 |
| mBIA supine 8e | 1.00 (0.99–1.0) | 0.97 (0.96–0.98) | 3.2 ± 1.4 | (0.4 to 5.9) | Y = −0.07974X − 0.9045 | <0.001 |
| mBIA supine 4e | 0.99 (0.99–1.0) | 0.93 (0.91–0.94) | 3.4 ± 1.4 | (0.5 to 6.2) | Y = −0.02301X − 2.511 | 0.08 |
| Method | Correlation r (95% CI) | Lin’s Concordance Coefficient (95% CI) | Bland-Altman Dif Mean ± SD | LOA | Regression Equation | p Value |
|---|---|---|---|---|---|---|
| Total sample | ||||||
| mBIA Handle | 0.99 (0.994–0.995) | 0.99 (0.99–1.0) | 0.61 ± 0.65 | (−0.66–1.87) | Y = 0.03894X + 0.1193 | <0.001 |
| mBIA Handrail | 0.99 (0.988–0.99) | 0.87 (0.85–0.89) | 0.49 ± 0.72 | (0.45 to 0.71) | Y = 0.01073X + 0.2830 | 0.009 |
| mBIA supine 8e | 0.99 (0.99–0.995) | 0.99 (0.99–0.99) | 0.02 ± 0.59 | (0.17 to 0.63) | Y = 0.006326X + 0.08503 | 0.009 |
| NW | ||||||
| mBIA Handle | 0.99 (0.992–1.00) | 0.99 (0.985–0.992) | 0.64 ± 0.61 | (0.985–0.992) | Y = 0.03909X + 0.1751 | <0.001 |
| mBIA Handrail | 0.99 (0.98–0.99) | 0.77 (0.682–0.830) | 0.49 ± 0.72 | (−0.93 to 1.91) | Y = −0.002198X + 0.5207 | 0.92 |
| mBIA supine 8e | 0.99 (0.99–0.995) | 0.99 (0.987–0.993) | 0.02 ± 0.59 | (−0.96 to 1.36) | Y = 0.008425X + 0.1044 | 0.38 |
| OW | ||||||
| mBIA Handle | 0.99 (0.99–0.995) | 0.99 (0.985–0.992) | 0.64 ± 0.7 | (−0.74 to 2.01) | Y = 0.04478X + 0.004772 | <0.001 |
| mBIA Handrail | 0.99 (0.987–0.995) | 0.83 (0.772–0.878) | 0.40 ± 0.6 | (−0.78 to 1.58) | Y = 0.01184X + 0.1981 | 0.47 |
| mBIA supine 8e | 0.99 (0.99–0.995) | 0.99 (0.990–0.995) | 0.14 ± 0.7 | (−1.21 to 1.48) | Y = 0.01138X − 0.02175 | 0.26 |
| OB | ||||||
| mBIA Handle | 1.00 (0.993–0.996) | 0.99 (0.986–0.993) | 0.75 ± 0.70 | (−0.63 to 2.12) | Y = 0.04722X − 0.03256 | <0.001 |
| mBIA Handrail | 0.99 (0.989–0.996) | 0.88 (0.835–0.908) | 0.57 ± 0.69 | (−0.77 to 1.92) | Y = 0.01259X + 0.3321 | 0.36 |
| mBIA supine 8e | 0.99 (0.991–0.995) | 0.99 (0.991–0.995) | 0.08 ± 0.75 | (−1.39 to 1.56) | Y = 0.01588X − 0.1738 | 0.09 |
| Method | Correlation r (95%CI) | Lin’s Concordance Coefficient (95%CI) | Bland-Altman Dif Mean ± SD | LOA | Regression Equation | p Value |
|---|---|---|---|---|---|---|
| Total sample | ||||||
| mBIA Handle | 0.99 (0.99–0.99) | 0.99 (0.99–0.99) | −0.18 ± 0.86 | (−1.9 to 1.5) | Y = −0.01036X − 0.08980 | p value = 0.18 |
| mBIA Handrail | 0.98 (0.98–0.99) | 0.94 (0.93–0.95) | −0.23 ± 0.97 | (−2.1 to 1.7) | Y = −0.03417X + 0.1294 | p value = 0.002 |
| mBIA supine 8e | 0.99 (0.99–0.99) | 0.99 (0.99–0.99) | −0.09 ± 0.8 | (−1.7 to 1.53) | Y = −0.02612X + 0.1470 | p value <0.001 |
| mBIA supine 4e | 0.99 (0.98–0.99) | 0.99 (0.98–0.99) | −0.08 ± 0.96 | (−2.0 to 1.8) | Y = −0.007186X − 0.01768 | p value = 0.39 |
| NW | ||||||
| mBIA Handle | 0.97 (0.96–0.98) | 0.97 (0.96–0.98) | −0.13 ± 0.67 | (−1.5 to 1.2) | Y = −0.04764X + 0.07921 | p value = 0.02 |
| mBIA Handrail | 0.96 (0.94–0.98) | 0.91 (0.87–0.93) | −0.07 ± 0.8 | (−1.7 to 1.5) | Y = −0.01808X + 0.02862 | p value = 0.65 |
| mBIA supine 8e | 0.98 (0.97–0.99) | 0.98 (0.97–0.98) | −0.01 ± 0.59 | (−1.16 to 1.13) | Y = −0.03642X + 0.1521 | p value = 0.04 |
| mBIA supine 4e | 0.96 (0.95–0.97) | 0.97 (0.95–0.98) | 0.03 ± 0.78 | (−1.5 to 1.56) | Y = −0.07618X + 0.3707 | p value < 0.001 |
| OW | ||||||
| mBIA Handle | 0.97 (0.96–0.98) | 0.97 (0.96–0.98) | −0.23 ± 0.83 | (−1.86 to 1.4) | Y = −0.005690X − 0.1789 | p value = 0.78 |
| mBIA Handrail | 0.95 (0.92–0.97) | 0.87 (0.83–0.90) | −0.12 ± 0.93 | (−1.95 to 1.71) | Y = 0.03249X − 0.4467 | p value = 0.42 |
| mBIA supine 8e | 0.98 (0.97–0.98) | 0.98 (0.97–0.98) | −0.08 ± 0.8 | (−1.64 to 1.49) | Y = −0.03175X + 0.1897 | p value = 0.08 |
| mBIA supine 4e | 0.97 (0.96–0.98) | 0.97 (0.96–0.98) | −0.13 ± 0.96 | (−2.0 to 1.74) | Y = −0.01300X − 0.01975 | p value = 0.54 |
| OB | ||||||
| mBIA Handle | 0.98 (0.97–0.98) | 0.98 (0.97–0.98) | −0.14 ± 1.04 | (−2.18 to 1.9) | Y = −0.009156X − 0.009721 | p value = 0.63 |
| mBIA Handrail | 0.96 (0.94–0.98) | 0.89 (0.85–0.92) | −0.38 ± 1.1 | (−2.58 to 1.82) | Y = −0.01641X − 0.1278 | p value = 0.6 |
| mBIA supine 8e | 0.98 (0.97–0.98) | 0.98 (0.97–0.99) | −0.18 ± 1.03 | (−2.19 to 1.83) | Y = −0.03294X + 0.2764 | p value = 0.06 |
| mBIA supine 4e | 0.98 (0.97–0.98) | 0.97 (0.97–0.98) | −0.12 ± 1.13 | (−2.33 to 2.09) | Y = 0.02225X − 0.4251 | p value = 0.23 |
Publisher’s Note: MDPI stays neutral with regard to jurisdictional claims in published maps and institutional affiliations. |
© 2022 by the authors. Licensee MDPI, Basel, Switzerland. This article is an open access article distributed under the terms and conditions of the Creative Commons Attribution (CC BY) license (https://creativecommons.org/licenses/by/4.0/).
Share and Cite
Lopez-Gonzalez, D.; Wells, J.C.K.; Clark, P. Body Composition Assessment in Mexican Children and Adolescents. Part 2: Cross-Validation of Three Bio-Electrical Impedance Methods against Dual X-ray Absorptiometry for Total-Body and Regional Body Composition. Nutrients 2022, 14, 965. https://doi.org/10.3390/nu14050965
Lopez-Gonzalez D, Wells JCK, Clark P. Body Composition Assessment in Mexican Children and Adolescents. Part 2: Cross-Validation of Three Bio-Electrical Impedance Methods against Dual X-ray Absorptiometry for Total-Body and Regional Body Composition. Nutrients. 2022; 14(5):965. https://doi.org/10.3390/nu14050965
Chicago/Turabian StyleLopez-Gonzalez, Desiree, Jonathan C. K. Wells, and Patricia Clark. 2022. "Body Composition Assessment in Mexican Children and Adolescents. Part 2: Cross-Validation of Three Bio-Electrical Impedance Methods against Dual X-ray Absorptiometry for Total-Body and Regional Body Composition" Nutrients 14, no. 5: 965. https://doi.org/10.3390/nu14050965
APA StyleLopez-Gonzalez, D., Wells, J. C. K., & Clark, P. (2022). Body Composition Assessment in Mexican Children and Adolescents. Part 2: Cross-Validation of Three Bio-Electrical Impedance Methods against Dual X-ray Absorptiometry for Total-Body and Regional Body Composition. Nutrients, 14(5), 965. https://doi.org/10.3390/nu14050965

