Auditing the Representation of Female Versus Male Athletes in Sports Science and Sports Medicine Research: Evidence-Based Performance Supplements
Abstract
:1. Introduction
2. Materials and Methods
2.1. Search Strategy
2.2. Data Extraction
2.3. Statistical Analysis
3. Results
3.1. Population and Sample Size
3.2. Athletic Calibre
3.3. Menstrual Status
3.4. Performance vs. Health Research Themes
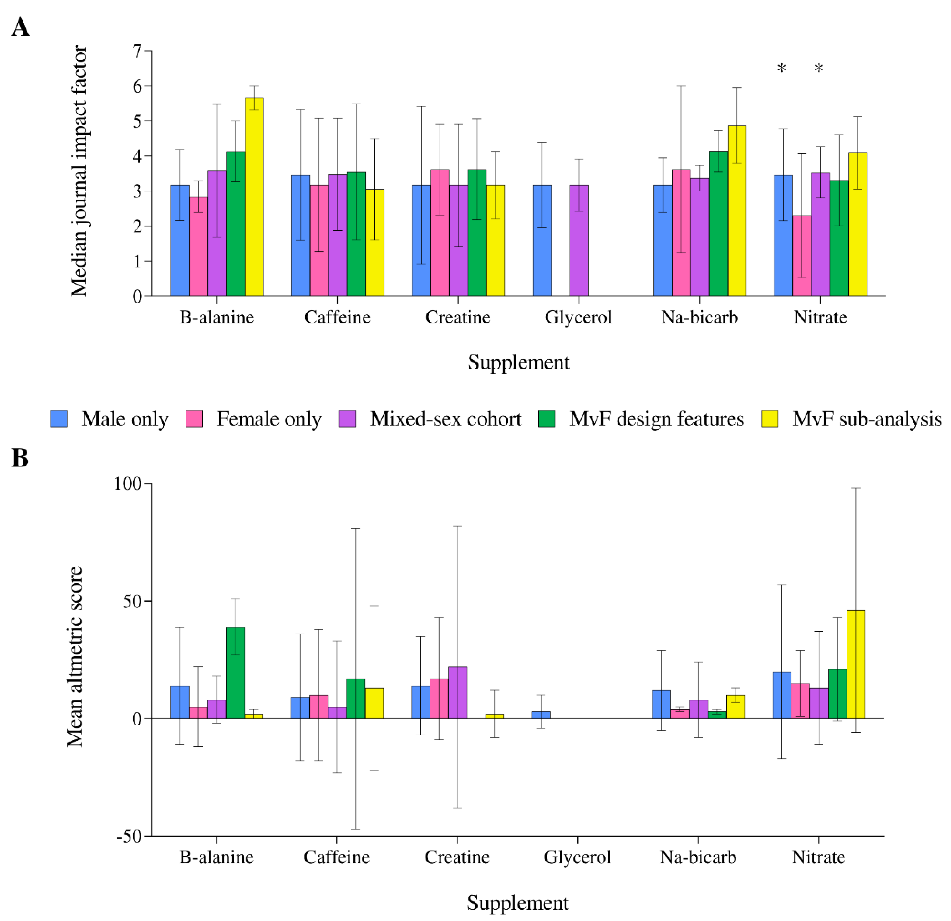
3.5. Journal and Study Impact
4. Discussion
4.1. Population and Sample Size
4.2. Athletic Calibre and Research Theme
4.3. Menstrual Status
4.4. Journal Publication Dates and Study Impact
5. Conclusions
Supplementary Materials
Author Contributions
Funding
Institutional Review Board Statement
Informed Consent Statement
Data Availability Statement
Conflicts of Interest
References
- Smith, E.S.; McKay, A.K.; Ackerman, K.E.; Harris, R.; Elliott-Sale, K.J.; Stellingwerff, T.; Burke, L.M. Methodology Review: A Protocol to audit the representation of female athletes in sports science and sports medicine research. Int. J. Sport Nutr. Exerc. Metab. 2022, 1, 1–14. [Google Scholar] [CrossRef] [PubMed]
- Brookshire, B. Women in sports are often underrepresented in science. Sci. News 2016, 1, 847–851. [Google Scholar]
- Costello, J.T.; Bieuzen, F.; Bleakley, C.M. Where are all the female participants in Sports and Exercise Medicine research? Eur. J. Sport Sci. 2014, 14, 847–851. [Google Scholar] [CrossRef] [PubMed] [Green Version]
- Cowley, E.S.; Olenick, A.A.; McNulty, K.L.; Ross, E.Z. “Invisible Sportswomen”: The sex data gap in sport and exercise science research. Women Sport Phys. Act. J. 2021, 29, 146–151. [Google Scholar] [CrossRef]
- Hutchins, K.P.; Borg, D.N.; Bach, A.J.E.; Bon, J.J.; Minett, G.M.; Stewart, I.B. Female (under) representation in exercise thermoregulation research. Sports Med. Open 2021, 7, 43. [Google Scholar] [CrossRef]
- Devries, M.C.; Jakobi, J.M. Importance of Considering Sex and Gender in Exercise and Nutrition Research; NRC Research Press: Ottawa, ON, Canada, 2021. [Google Scholar]
- McNulty, K.L.; Elliott-Sale, K.J.; Dolan, E.; Swinton, P.A.; Ansdell, P.; Goodall, S.; Thomas, K.; Hicks, K.M. The effects of menstrual cycle phase on exercise performance in eumenorrheic women: A Systematic Review and Meta-Analysis. Sports Med. 2020, 50, 1813–1827. [Google Scholar] [CrossRef]
- Hunter, S.K. Sex differences in fatigability of dynamic contractions. Exp. Physiol. 2016, 101, 250–255. [Google Scholar] [CrossRef] [Green Version]
- Sheel, A.W.; Dominelli, P.B.; Molgat-Seon, Y. Revisiting dysanapsis: Sex-based differences in airways and the mechanics of breathing during exercise. Exp. Physiol. 2016, 101, 213–218. [Google Scholar] [CrossRef]
- Devries, M.C. Sex-based differences in endurance exercise muscle metabolism: Impact on exercise and nutritional strategies to optimize health and performance in women. Exp. Physiol. 2016, 101, 243–249. [Google Scholar] [CrossRef]
- Devries, M.C.; Hamadeh, M.J.; Phillips, S.M.; Tarnopolsky, M.A. Menstrual cycle phase and sex influence muscle glycogen utilization and glucose turnover during moderate-intensity endurance exercise. Am. J. Physiol. Regul. Integr. Comp. Physiol. 2006, 291, R1120–R1128. [Google Scholar] [CrossRef] [Green Version]
- Green, D.J.; Hopkins, N.D.; Jones, H.; Thijssen, D.H.; Eijsvogels, T.M.; Yeap, B.B. Sex differences in vascular endothelial function and health in humans: Impacts of exercise. Exp. Physiol. 2016, 101, 230–242. [Google Scholar] [CrossRef] [PubMed]
- Kovalchik, S.A.; Reid, M. Comparing Matchplay Characteristics and Physical Demands of Junior and Professional Tennis Athletes in the Era of Big Data. J. Sports Sci. Med. 2017, 16, 489–497. [Google Scholar]
- Sanders, D.; van Erp, T.; de Koning, J.J. Intensity and load characteristics of professional road cycling: Differences between men’s and women’s races. Int. J. Sports Physiol. Perform. 2019, 14, 296–302. [Google Scholar] [CrossRef] [PubMed]
- Maughan, R.J.; Burke, L.M.; Dvorak, J.; Larson-Meyer, D.E.; Peeling, P.; Phillips, S.M.; Rawson, E.S.; Walsh, N.P.; Garthe, I.; Geyer, H. IOC consensus statement: Dietary supplements and the high-performance athlete. Int. J. Sport Nutr. Exerc. Metab. 2018, 28, 104–125. [Google Scholar] [CrossRef] [PubMed] [Green Version]
- Garthe, I.; Maughan, R.J. Athletes and Supplements: Prevalence and Perspectives. Int. J. Sport Nutr. Exerc. Metab. 2018, 28, 126–138. [Google Scholar] [CrossRef] [Green Version]
- Peeling, P.; Binnie, M.J.; Goods, P.S.R.; Sim, M.; Burke, L.M. Evidence-Based Supplements for the Enhancement of Athletic Performance. Int. J. Sport Nutr. Exerc. Metab. 2018, 28, 178–187. [Google Scholar] [CrossRef] [Green Version]
- Australian Institute of Sport; Australian Sports Commission. The AIS Sports Supplement Framework; Australian Institute of Sport: Bruce, Australia, 2021.
- Ouzzani, M.; Hammady, H.; Fedorowicz, Z.; Elmagarmid, A. Rayyan—A web and mobile app for systematic reviews. Syst. Rev. 2016, 5, 210. [Google Scholar] [CrossRef] [Green Version]
- McKay, A.K.; Stellingwerff, T.; Smith, E.S.; Martin, D.T.; Mujika, I.; Goosey-Tolfrey, V.L.; Sheppard, J.; Burke, L.M. Defining Training and Performance Caliber: A Participant Classification Framework. Int. J. Sports Physiol. Perform. 2022, 1, 317–331. [Google Scholar] [CrossRef]
- Altmetric. Putting the Altmetric Attention Score in Context. Available online: https://help.altmetric.com/support/solutions/articles/6000233313-putting-the-altmetric-attention-score-in-context (accessed on 1 October 2021).
- Kamimori, G.H.; Joubert, A.; Otterstetter, R.; Santaromana, M.; Eddington, N.D. The effect of the menstrual cycle on the pharmacokinetics of caffeine in normal, healthy eumenorrheic females. Eur. J. Clin. Pharm. 1999, 55, 445–449. [Google Scholar] [CrossRef]
- Lara, B.; Gutierrez Hellin, J.; Ruiz-Moreno, C.; Romero-Moraleda, B.; Del Coso, J. Acute caffeine intake increases performance in the 15-s Wingate test during the menstrual cycle. Br. J. Clin. Pharm. 2020, 86, 745–752. [Google Scholar] [CrossRef] [Green Version]
- Lara, B.; Gutierrez-Hellin, J.; Garcia-Bataller, A.; Rodriguez-Fernandez, P.; Romero-Moraleda, B.; Del Coso, J. Ergogenic effects of caffeine on peak aerobic cycling power during the menstrual cycle. Eur. J. Nutr. 2020, 59, 2525–2534. [Google Scholar] [CrossRef] [PubMed]
- Romero-Moraleda, B.; Del Coso, J.; Gutierrez-Hellin, J.; Lara, B. The effect of caffeine on the velocity of half-squat exercise during the menstrual cycle: A randomized controlled trial. Nutrients 2019, 11, 2662. [Google Scholar] [CrossRef] [Green Version]
- Lane, J.D.; Steege, J.F.; Rupp, S.L.; Kuhn, C.M. Menstrual cycle effects on caffeine elimination in the human female. Eur. J. Clin. Pharm. 1992, 43, 543–546. [Google Scholar] [CrossRef] [PubMed]
- Elliott-Sale, K.J.; Minahan, C.L.; de Jonge, X.A.J.; Ackerman, K.E.; Sipilä, S.; Constantini, N.W.; Lebrun, C.M.; Hackney, A.C. Methodological considerations for studies in sport and exercise science with women as participants: A working guide for standards of practice for research on women. Sports Med. 2021, 51, 843–861. [Google Scholar] [CrossRef] [PubMed]
- Emmonds, S.; Heyward, O.; Jones, B. The challenge of applying and undertaking research in female sport. Sports Med. Open 2019, 5, 51. [Google Scholar] [CrossRef] [PubMed] [Green Version]
- Hlinsky, T.; Kumstat, M.; Vajda, P. Effects of dietary nitrates on time trial performance in athletes with different training status: Systematic Review. Nutrients 2020, 12, 2734. [Google Scholar] [CrossRef]
- Jones, A.M. Dietary nitrate supplementation and exercise performance. Sports Med. 2014, 44 (Suppl. S1), S35–S45. [Google Scholar] [CrossRef] [Green Version]
- Peacock, O.; Tjønna, A.E.; James, P.; Wisløff, U.; Welde, B.; Böhlke, N.; Smith, A.; Stokes, K.; Cook, C.; Sandbakk, O. Dietary nitrate does not enhance running performance in elite cross-country skiers. Med. Sci. Sports Exerc. 2012, 44, 2213–2219. [Google Scholar] [CrossRef]
- Porcelli, S.; Ramaglia, M.; Bellistri, G.; Pavei, G.; Pugliese, L.; Montorsi, M.; Rasica, L.; Marzorati, M. Aerobic fitness affects the exercise performance responses to nitrate supplementation. Med. Sci. Sports Exerc. 2015, 47, 1643–1651. [Google Scholar] [CrossRef] [Green Version]
- Peart, D.J.; Siegler, J.C.; Vince, R.V. Practical recommendations for coaches and athletes: A meta-analysis of sodium bicarbonate use for athletic performance. J. Strength Cond. Res. 2012, 26, 1975–1983. [Google Scholar] [CrossRef]
- Dall’Acqua, F.; Cristina-Souza, G.; Santos-Mariano, A.C.; Bertuzzi, R.; Rodacki, C.; Lima-Silva, A.E. Caffeine ingestion improves specific artistic swimming tasks. Braz. J. Med. Biol. Res. 2021, 54, e10346. [Google Scholar] [CrossRef] [PubMed]
- Macutkiewicz, D.; Sunderland, C. Sodium bicarbonate supplementation does not improve elite women’s team sport running or field hockey skill performance. Physiol. Rep. 2018, 6, e13818. [Google Scholar] [CrossRef] [PubMed]
- Ziegenfuss, T.N.; Rogers, M.; Lowery, L.; Mullins, N.; Mendel, R.; Antonio, J.; Lemon, P. Effect of creatine loading on anaerobic performance and skeletal muscle volume in NCAA Division I athletes. Nutrition 2002, 18, 397–402. [Google Scholar] [CrossRef]
- Burke, B.I.; Travis, S.K.; Gentles, J.A.; Sato, K.; Lang, H.M.; Bazyler, C.D. The effects of caffeine on jumping performance and maximal strength in female collegiate athletes. Nutrients 2021, 13, 2496. [Google Scholar] [CrossRef]
- Chen, H.Y.; Chen, Y.C.; Tung, K.; Chao, H.H.; Wang, H.S. Effects of caffeine and sex on muscle performance and delayed-onset muscle soreness after exercise-induced muscle damage: A double-blind randomized trial. J. Appl. Physiol. 2019, 127, 798–805. [Google Scholar] [CrossRef]
- Chen, H.Y.; Wang, H.S.; Tung, K.; Chao, H.H. Effects of gender difference and caffeine supplementation on anaerobic muscle performance. Int. J. Sports Med. 2015, 36, 974–978. [Google Scholar] [CrossRef]
- Ali, A.; O’Donnell, J.; Foskett, A.; Rutherfurd-Markwick, K. The influence of caffeine ingestion on strength and power performance in female team-sport players. J. Int. Soc. Sports Nutr. 2016, 13, 46. [Google Scholar] [CrossRef] [Green Version]
- Ali, A.; O’Donnell, J.; Starck, C.; Rutherfurd-Markwick, K. The effect of caffeine ingestion during evening exercise on subsequent sleep quality in females. Int. J. Sports Med. 2015, 36, 433–439. [Google Scholar] [CrossRef]
- Ali, A.; O’Donnell, J.; Von Hurst, P.; Foskett, A.; Holland, S.; Starck, C.; Rutherfurd-Markwick, K. Caffeine ingestion enhances perceptual responses during intermittent exercise in female team-game players. J. Sports Sci. 2016, 34, 330–341. [Google Scholar] [CrossRef]
- Martin, D.; Sale, C.; Cooper, S.B.; Elliott-Sale, K.J. Period prevalence and perceived side effects of hormonal contraceptive use and the menstrual cycle in elite athletes. Int. J. Sports Physiol. Perform. 2018, 13, 926–932. [Google Scholar] [CrossRef] [Green Version]
- Dusek, T. Influence of high intensity training on menstrual cycle disorders in athletes. Croat. Med. J. 2001, 42, 79–82. [Google Scholar] [PubMed]
- Redman, L.M.; Loucks, A.B. Menstrual disorders in athletes. Sports Med. 2005, 35, 747–755. [Google Scholar] [CrossRef] [PubMed]
- Torstveit, M.; Sundgot-Borgen, J. Participation in leanness sports but not training volume is associated with menstrual dysfunction: A national survey of 1276 elite athletes and controls. Br. J. Sports Med. 2005, 39, 141–147. [Google Scholar] [CrossRef] [PubMed] [Green Version]







Publisher’s Note: MDPI stays neutral with regard to jurisdictional claims in published maps and institutional affiliations. |
© 2022 by the authors. Licensee MDPI, Basel, Switzerland. This article is an open access article distributed under the terms and conditions of the Creative Commons Attribution (CC BY) license (https://creativecommons.org/licenses/by/4.0/).
Share and Cite
Smith, E.S.; McKay, A.K.A.; Kuikman, M.; Ackerman, K.E.; Harris, R.; Elliott-Sale, K.J.; Stellingwerff, T.; Burke, L.M. Auditing the Representation of Female Versus Male Athletes in Sports Science and Sports Medicine Research: Evidence-Based Performance Supplements. Nutrients 2022, 14, 953. https://doi.org/10.3390/nu14050953
Smith ES, McKay AKA, Kuikman M, Ackerman KE, Harris R, Elliott-Sale KJ, Stellingwerff T, Burke LM. Auditing the Representation of Female Versus Male Athletes in Sports Science and Sports Medicine Research: Evidence-Based Performance Supplements. Nutrients. 2022; 14(5):953. https://doi.org/10.3390/nu14050953
Chicago/Turabian StyleSmith, Ella S., Alannah K. A. McKay, Megan Kuikman, Kathryn E. Ackerman, Rachel Harris, Kirsty J. Elliott-Sale, Trent Stellingwerff, and Louise M. Burke. 2022. "Auditing the Representation of Female Versus Male Athletes in Sports Science and Sports Medicine Research: Evidence-Based Performance Supplements" Nutrients 14, no. 5: 953. https://doi.org/10.3390/nu14050953
APA StyleSmith, E. S., McKay, A. K. A., Kuikman, M., Ackerman, K. E., Harris, R., Elliott-Sale, K. J., Stellingwerff, T., & Burke, L. M. (2022). Auditing the Representation of Female Versus Male Athletes in Sports Science and Sports Medicine Research: Evidence-Based Performance Supplements. Nutrients, 14(5), 953. https://doi.org/10.3390/nu14050953

