Protein Supplementation Does Not Maximize Adaptations to Low-Volume High-Intensity Interval Training in Sedentary, Healthy Adults: A Placebo-Controlled Double-Blind Randomized Study
Abstract
:1. Introduction
2. Materials and Methods
2.1. Study Design
2.2. Participants
2.3. Health Examinations
2.3.1. Blood Pressure and Resting Heart Rate Measurements
2.3.2. Blood Sampling
2.3.3. Body Composition Measurements
2.3.4. Cardiopulmonary Exercise Test (CPET)
2.4. Monitoring of Daily Nutrition and Physical Activity
2.5. LOW-HIIT Program
2.6. Protein and Placebo Supplementation
2.7. Statistical Analysis
3. Results
3.1. Study Flow, Compliance and Training Data
3.2. Daily Nutrition and Physical Activity
3.3. Body Composition Data
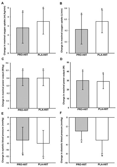
3.4. Cardiorespiratory Fitness and Blood Pressure Measures
3.5. Blood Markers
3.6. Participants’ Supplement Evaluation
4. Discussion
5. Conclusions
Author Contributions
Funding
Institutional Review Board Statement
Informed Consent Statement
Data Availability Statement
Acknowledgments
Conflicts of Interest
References
- Lear, S.A.; Hu, W.; Rangarajan, S.; Gasevic, D.; Leong, D.; Iqbal, R.; Casanova, A.; Swaminathan, S.; Anjana, R.M.; Kumar, R.; et al. The effect of physical activity on mortality and cardiovascular disease in 130,000 people from 17 high-income, middle-income, and low-income countries: The PURE study. Lancet 2017, 390, 2643–2654. [Google Scholar] [CrossRef]
- Lee, I.M.; Shiroma, E.J.; Lobelo, F.; Puska, P.; Blair, S.N.; Katzmarzyk, P.T.; Lancet Physical Activity Series Working Group. Effect of physical inactivity on major non-communicable diseases worldwide: An analysis of burden of disease and life expectancy. Lancet 2012, 380, 219–229. [Google Scholar] [CrossRef]
- Wang, Y.; Nie, J.; Ferrari, G.; Rey-Lopez, J.P.; Rezende, L.F.M. Association of physical activity intensity with mortality: A National Cohort Study of 403,681 US adults. JAMA Intern. Med. 2021, 181, 203–211. [Google Scholar] [CrossRef]
- Wen, C.P.; Wai, J.P.; Tsai, M.K.; Yang, Y.C.; Cheng, T.Y.; Lee, M.C.; Chan, H.T.; Tsao, C.K.; Tsai, S.P.; Wu, X. Minimum amount of physical activity for reduced mortality and extended life expectancy: A prospective cohort study. Lancet 2011, 378, 1244–1253. [Google Scholar] [CrossRef]
- Barlow, C.E.; Defina, L.F.; Radford, N.B.; Berry, J.D.; Cooper, K.H.; Haskell, W.L.; Jones, L.W.; Lakoski, S.G. Cardiorespiratory fitness and long-term survival in “low-risk” adults. J. Am. Heart Assoc. 2012, 1, e001354. [Google Scholar] [CrossRef] [PubMed]
- Kaminsky, L.A.; Arena, R.; Beckie, T.M.; Brubaker, P.H.; Church, T.S.; Forman, D.E.; Franklin, B.A.; Gulati, M.; Lavie, C.J.; Myers, J.; et al. The importance of cardiorespiratory fitness in the United States: The need for a national registry: A policy statement from the American Heart Association. Circulation 2013, 127, 652–662. [Google Scholar] [CrossRef]
- Myers, J.; McAuley, P.; Lavie, C.J.; Despres, J.P.; Arena, R.; Kokkinos, P. Physical activity and cardiorespiratory fitness as major markers of cardiovascular risk: Their independent and interwoven importance to health status. Prog. Cardiovasc. Dis. 2015, 57, 306–314. [Google Scholar] [CrossRef]
- World Health Organization. Global Recommendations on Physical Activity for Health; World Health Organization: Geneva, Switzerland, 2010. [Google Scholar]
- Guthold, R.; Stevens, G.A.; Riley, L.M.; Bull, F.C. Worldwide trends in insufficient physical activity from 2001 to 2016: A pooled analysis of 358 population-based surveys with 1.9 million participants. Lancet Glob. Health 2018, 6, e1077–e1086. [Google Scholar] [CrossRef]
- Haseler, T.; Haseler, C. Lack of physical activity is a global problem. BMJ 2022, 376, o348. [Google Scholar] [CrossRef]
- Wunsch, K.; Kienberger, K.; Niessner, C. Changes in physical activity patterns due to the COVID-19 pandemic: A systematic review and meta-analysis. Int. J. Environ. Res. Public Health 2022, 19, 2250. [Google Scholar] [CrossRef]
- Cavallini, M.F.; Callaghan, M.E.; Premo, C.B.; Scott, J.W.; Dyck, D.J. Lack of time is the consistent barrier to physical activity and exercise in 18 to 64 year-old males and females from both South Carolina and Southern Ontario. J. Phys. Act. Res. 2020, 5, 100–106. [Google Scholar] [CrossRef]
- Herazo-Beltrán, Y.; Pinillos, Y.; Vidarte, J.; Crissien, E.; Suarez, D.; García, R. Predictors of perceived barriers to physical activity in the general adult population: A cross-sectional study. Braz. J. Phys. Ther. 2017, 21, 44–50. [Google Scholar] [CrossRef]
- Hoare, E.; Stavreski, B.; Jennings, G.L.; Kingwell, B.A. Exploring motivation and barriers to physical activity among active and inactive Australian adults. Sports 2017, 5, 47. [Google Scholar] [CrossRef]
- Gibala, M.J.; Little, J.P. Physiological basis of brief vigorous exercise to improve health. J. Physiol. 2020, 598, 61–69. [Google Scholar] [CrossRef]
- Gibala, M.J.; Gillen, J.B.; Percival, M.E. Physiological and health-related adaptations to low-volume interval training: Influences of nutrition and sex. Sports Med. 2014, 44, S1273–S1277. [Google Scholar] [CrossRef]
- Gillen, J.B.; Gibala, M.J. Is high-intensity interval training a time-efficient exercise strategy to improve health and fitness? Appl. Physiol. Nutr. Metab. 2014, 39, 409–412. [Google Scholar] [CrossRef]
- Sultana, R.N.; Sabag, A.; Keating, S.E.; Johnson, N.A. The effect of low-volume high-intensity interval training on body composition and cardiorespiratory fitness: A systematic review and meta-analysis. Sports Med. 2019, 49, 1687–1721. [Google Scholar] [CrossRef]
- Reljic, D.; Wittmann, F.; Fischer, J.E. Effects of low-volume high-intensity interval training in a community setting: A pilot study. Eur. J. Appl. Physiol. 2018, 118, 1153–1167. [Google Scholar] [CrossRef]
- Reljic, D.; Dieterich, W.; Herrmann, H.J.; Neurath, M.F.; Zopf, Y. “HIIT the Inflammation”: Comparative effects of low-volume interval training and resistance exercises on inflammatory indices in obese metabolic syndrome patients undergoing caloric restriction. Nutrients 2022, 14, 1996. [Google Scholar] [CrossRef]
- Reljic, D.; Frenk, F.; Herrmann, H.J.; Neurath, M.F.; Zopf, Y. Low-volume high-intensity interval training improves cardiometabolic health, work ability and well-being in severely obese individuals: A randomized-controlled trial sub-study. J. Transl. Med. 2020, 18, 419. [Google Scholar] [CrossRef]
- Reljic, D.; Frenk, F.; Herrmann, H.J.; Neurath, M.F.; Zopf, Y. Effects of very low volume high intensity versus moderate intensity interval training in obese metabolic syndrome patients: A randomized controlled study. Sci. Rep. 2021, 11, 2836. [Google Scholar] [CrossRef] [PubMed]
- Reljic, D.; Konturek, P.C.; Herrmann, H.J.; Siebler, J.; Neurath, M.F.; Zopf, Y. Very low-volume interval training improves nonalcoholic fatty liver disease fibrosis score and cardiometabolic health in adults with obesity and metabolic syndrome. J. Physiol. Pharmacol. 2021, 72, 927–938. [Google Scholar]
- Kerksick, C.M.; Wilborn, C.D.; Roberts, M.D.; Smith-Ryan, A.; Kleiner, S.M.; Jäger, R.; Collins, R.; Cooke, M.; Davis, J.N.; Galvan, E.; et al. ISSN exercise & sports nutrition review update: Research & recommendations. J. Int. Soc. Sports Nutr. 2018, 15, 38. [Google Scholar]
- Forbes, S.C.; Candow, D.G.; Smith-Ryan, A.E.; Hirsch, K.R.; Roberts, M.D.; VanDusseldorp, T.A.; Stratton, M.T.; Kaviani, M.; Little, J.P. Supplements and nutritional interventions to augment high-intensity interval training physiological and performance adaptations-a narrative review. Nutrients 2020, 12, 390. [Google Scholar] [CrossRef] [PubMed]
- Konopka, A.R.; Harber, M.P. Skeletal muscle hypertrophy after aerobic exercise training. Exerc. Sport Sci. Rev. 2014, 42, 53–61. [Google Scholar] [CrossRef]
- Knuiman, P.; Hopman, M.T.; Verbruggen, C.; Mensink, M. Protein and the adaptive response with endurance training: Wishful thinking or a competitive edge? Front. Physiol. 2018, 9, 598. [Google Scholar] [CrossRef]
- Cintineo, H.P.; Arent, M.A.; Antionio, J.; Arent, S.M. Effects of protein supplementation on performance and recovery in resistance and endurance training. Front. Nutr. 2018, 5, 83. [Google Scholar] [CrossRef]
- Lam, F.C.; Bukhsh, A.; Rehman, H.; Waqas, M.K.; Shahid, N.; Khaliel, A.M.; Elhanish, A.; Karoud, M.; Telb, A.; Khan, T.M. Efficacy and safety of whey protein supplements on vital sign and physical performance among athletes: A network meta-analysis. Front. Pharmacol. 2019, 10, 317. [Google Scholar] [CrossRef]
- Thomson, W.R. Worldwide survey of fitness trends for 2022. ACSM’s Health Fit. J. 2022, 26, 11–20. [Google Scholar] [CrossRef]
- Hoshino, D.; Kitaoka, Y.; Hatta, H. High-intensity interval training enhances oxidative capacity and substrate availability in skeletal muscle. J. Phys. Fit. Sports Med. 2016, 5, 13–23. [Google Scholar] [CrossRef]
- American College of Sports Medicine. ACSM’s Guidelines for Exercise Testing and Prescription, 8th ed.; Lippincott Williams & Wilkins: Philadelphia, PA, USA, 2010; pp. 26–27. [Google Scholar]
- Tholl, U.; Lüders, S.; Bramlage, P.; Dechend, R.; Eckert, S.; Mengden, T.; Elhanish, A.; Karoud, M.; Telb, A.; Khan, T.M. The German Hypertension League (Deutsche Hochdruckliga) quality seal protocol for blood pressure-measuring devices: 15-year experience and results from 105 devices for home blood pressure control. Blood Press. Monit. 2016, 21, 197–205. [Google Scholar] [CrossRef] [PubMed]
- Whelton, P.K.; Carey, R.M.; Aronow, W.S.; Casey, D.E., Jr.; Collins, K.J.; Dennison Himmelfarb, C.; DePalma, S.M.; Gidding, S.; Jamerson, K.A.; Jones, D.W.; et al. 2017 ACC/AHA/AAPA/ABC/ACPM/AGS/APhA/ASH/ASPC/NMA/PCNA Guideline for the prevention, detection, evaluation, and management of high blood pressure in adults: A report of the American College of Cardiology/American Heart Association Task Force on Clinical Practice Guidelines. Hypertension 2018, 138, e426–e483. [Google Scholar]
- Bosy-Westphal, A.; Jensen, B.; Braun, W.; Pourhassan, M.; Gallagher, D.; Müller, M.J. Quantification of whole-body and segmental skeletal muscle mass using phase-sensitive 8-electrode medical bioelectrical impedance devices. Eur. J. Clin. Nutr. 2017, 71, 1061–1067. [Google Scholar] [CrossRef] [PubMed]
- Buchfuhrer, M.J.; Hansen, J.E.; Robinson, T.E.; Sue, D.Y.; Wasserman, K.; Whipp, B.J. Optimizing the exercise protocol for cardiopulonray assessment. J. Appl. Physiol. Respir. Environ. Exerc. Physiol. 1983, 55, 1558–1564. [Google Scholar]
- Borg, G. Ratings of perceived exertion and heart rates during shortterm cycle exercise and their use in a new cycling strength test. Int. J. Sports Med. 1982, 3, 153–158. [Google Scholar] [CrossRef]
- Howley, E.T.; Bassett, D.R.; Welch, H.G. Criteria for maximal oxygen uptake: Review and commentary. Med. Sci. Sports Exer. 1995, 27, 1292–1301. [Google Scholar] [CrossRef]
- Meyer, T.; Lucía, A.; Earnest, C.P.; Kindermann, W. A conceptual framework for performance diagnosis and training prescription from submaximal gas exchange parameters—Theory and application. Int. J. Sports Med. 2005, 26, 38–48. [Google Scholar] [CrossRef]
- Ainsworth, B.E.; Haskell, W.L.; Whitt, M.C.; Irwin, M.L.; Swartz, A.M.; Strath, S.J.; O’Brien, W.L.; Bassett, D.R., Jr.; Schmitz, K.H.; Emplaincourt, P.O.; et al. Compendium of physical activities: An update of activity codes and MET intensities. Med. Sci. Sports Exerc. 2000, 32, 498–504. [Google Scholar] [CrossRef]
- Available online: https://www.dge.de/wissenschaft/referenzwerte/tool/ (accessed on 12 July 2022).
- Braun, H.; Carlsohn, A.; Großhauser, M.; König, D.; Lampen, A.; Mosler, S.; Nieß, A.; Oberritter, H.; Schäbethal, K.; Schek, A.; et al. Position of the working group sports nutrition of the German Nutrition Society (DGE): Energy needs in sports. Dtsch. Z. Sportmed. 2020, 71, 171–177. [Google Scholar] [CrossRef]
- Harris, J.A.; Benedict, F.G. A biometric study of basal metabolism in man. Proc. Natl. Acad. Sci. USA 1918, 4, 370–373. [Google Scholar] [CrossRef]
- Macnaughton, L.S.; Wardle, S.L.; Witard, O.C.; McGlory, C.; Hamilton, D.L.; Jeromson, S.; Lawrence, C.E.; Wallis, G.A.; Tipton, K.D. The response of muscle protein synthesis following whole-body resistance exercise is greater following 40 g than 20 g of ingested whey protein. Physiol. Rep. 2016, 4, e12893. [Google Scholar] [CrossRef] [PubMed]
- Cohen, J. Statistical Power Analysis for the Behavioral Sciences, 2nd ed.; Taylor and Francis: Routledge, UK, 1988. [Google Scholar]
- Kavanagh, T.; Mertens, D.J.; Hamm, L.F.; Beyene, J.; Kennedy, J.; Corey, P.; Shephard, R.J. 627 Prediction of long-term prognosis in 12 169 men referred for cardiac rehabilitation. Circulation 2002, 106, 666–671. [Google Scholar] [CrossRef] [PubMed]
- Sabag, A.; Little, J.P.; Johnson, N.A. Low-volume high-intensity interval training for cardiometabolic health. J. Physiol. 2022, 600, 1013–1026. [Google Scholar] [CrossRef] [PubMed]
- Ramos, J.S.; Dalleck, L.C.; Tjonna, A.E.; Beetham, K.S.; Coombes, J.S. The impact of high-intensity interval training versus moderate-intensity continuous training on vascular function: A systematic review and meta-analysis. Sports Med. 2015, 45, 679–692. [Google Scholar] [CrossRef] [PubMed]
- Blood Pressure Lowering Treatment Trialists’ Collaboration. Pharmacological blood pressure lowering for primary and secondary prevention of cardiovascular disease across different levels of blood pressure: An individual participant-level data meta-analysis. Lancet 2021, 397, 1625–1636. [Google Scholar] [CrossRef]
- Su, L.; Fu, J.; Sun, S.; Zhao, G.; Cheng, W.; Dou, C.; Quan, M. Effects of HIIT and MICT on cardiovascular risk factors in adults with overweight and/or obesity: A meta-analysis. PLoS ONE 2019, 14, e0210644. [Google Scholar] [CrossRef]
- Morton, R.W.; Murphy, K.T.; McKellar, S.R.; Schoenfeld, B.J.; Henselmans, M.; Helms, E.; Aragon, A.A.; Devries, M.C.; Banfield, L.; Krieger, J.W.; et al. A systematic review, meta-analysis and meta-regression of the effect of protein supplementation on resistance training-induced gains in muscle mass and strength in healthy adults. Br. J. Sports Med. 2018, 52, 376–384. [Google Scholar] [CrossRef]
- Bourdas, D.I.; Souglis, A.; Zacharakis, E.D.; Geladas, N.D.; Travlos, A.K. Meta-Analysis of Carbohydrate Solution Intake during Prolonged Exercise in Adults: From the Last 45+ Years’ Perspective. Nutrients 2021, 13, 4223. [Google Scholar] [CrossRef]
- Mata, F.; Valenzuela, P.L.; Gimenez, J.; Tur, C.; Ferreria, D.; Domínguez, R.; Sanchez-Oliver, A.J.; Sanz, J.M.M. Carbohydrate Availability and Physical Performance: Physiological Overview and Practical Recommendations. Nutrients 2019, 11, 1084. [Google Scholar] [CrossRef]
- Breen, L.; Philp, A.; Witard, O.C.; Jackman, S.R.; Selby, A.; Smith, K.; Baar, K.; Tipton, K.D. The influence of carbohydrate-protein co-ingestion following endurance exercise on myofibrillar and mitochondrial protein synthesis. J. Physiol. 2011, 589, 4011–4025. [Google Scholar] [CrossRef]
- Ferguson-Stegall, L.; McCleave, E.; Ding, Z.; Doerner, P.G.; Liu, Y.; Wang, B.; Healy, M.; Kleinert, M.; Dessard, B.; Lassiter, D.G.; et al. Aerobic exercise training adaptations are increased by postexercise carbohydrate-protein supplementation. J. Nutr. Metab. 2011, 2011, 623182. [Google Scholar] [CrossRef] [PubMed]
- Hill, K.M.; Stathis, C.G.; Grinfeld, E.; Hayes, A.; McAinch, A.J. Co-ingestion of carbohydrate and whey protein isolates enhance PGC-1α mRNA expression: A randomised, single blind, cross over study. J. Int. Soc. Sports Nutr. 2013, 10, 8. [Google Scholar] [CrossRef]
- Burtscher, J.; Burtscher, M.; Millet, G.P. The central role of mitochondrial fitness on anti-viral defenses: An advocacy for physical activity during the COVID-19 pandemic. Redox. Biol. 2021, 43, 101976. [Google Scholar] [CrossRef] [PubMed]
- Anupama, N.; Sindhu, G.; Raghu, K.G. Significance of mitochondria on cardiometabolic syndromes. Fundam. Clin. Pharmacol. 2018, 32, 346–356. [Google Scholar] [CrossRef] [PubMed]
- DeConne, T.M.; Muñoz, E.R.; Sanjana, F.; Hobson, J.C.; Martens, C.R. Cardiometabolic risk factors are associated with immune cell mitochondrial respiration in humans. Am. J. Physiol. Heart Circ. Physiol. 2020, 319, H481–H487. [Google Scholar] [CrossRef]
- Knuiman, P.; van Loon, L.J.; Wouters, J.; Hopman, M.; Mensink, M. Protein supplementation elicits greater gains in maximal oxygen uptake capacity and stimulates lean mass accretion during prolonged endurance training: A double-blind randomized controlled trial. Am. J. Clin. Nutr. 2019, 110, 508–518. [Google Scholar] [CrossRef]
- Robinson, M.M.; Turner, S.M.; Hellerstein, M.K.; Hamilton, K.L.; Miller, B.F. Long-term synthesis rates of skeletal muscle DNA and protein are higher during aerobic training in older humans than in sedentary young subjects but are not altered by protein supplementation. FASEB J. 2011, 25, 3240–3249. [Google Scholar] [CrossRef]
- Areta, J.L.; Burke, L.M.; Ross, M.L.; Camera, D.M.; West, D.W.; Broad, E.M.; Jeacocke, N.A.; Moore, D.R.; Stellingwerff, T.; Phillips, S.M.; et al. Timing and distribution of protein ingestion during prolonged recovery from resistance exercise alters myofibrillar protein synthesis. J. Physiol. 2013, 591, 2319–2331. [Google Scholar] [CrossRef]
- Montero, D.; Cathomen, A.; Jacobs, R.A.; Flück, D.; de Leur, J.; Keiser, S.; Bonne, T.; Kirk, N.; Lundby, A.; Lundby, C. Haematological rather than skeletal muscle adaptations contribute to the increase in peak oxygen uptake induced by moderate endurance training. J. Physiol. 2015, 593, 4677–4688. [Google Scholar] [CrossRef]
- Ravelli, M.N.; Schoeller, D.A. Traditional self-reported dietary instruments are prone to inaccuracies and new approaches are needed. Front. Nutr. 2020, 7, 90. [Google Scholar] [CrossRef]
- Eagan, L.E.; Chesney, C.A.; Mascone, S.E.; Ranadive, S.M. Arterial stiffness and blood pressure are similar in naturally menstruating and oral contraceptive pill-using women during the higher hormone phases. Exp. Physiol. 2022, 107, 374–382. [Google Scholar] [CrossRef] [PubMed]



| Variable | Protein 1 | Placebo 2 |
|---|---|---|
| Caloric value (kcal) | 360 | 384 |
| Protein (g) | 87 | 0 |
| Carbohydrates (g) | ≤1 | 96 |
| Fat (g) | 1 | 0 |
| Variable | PRO-HIIT (N = 19) | PLA-HIIT (N = 20) | ||
|---|---|---|---|---|
| T-1 | T-2 | T-1 | T-2 | |
| Nutrition | ||||
| Energy (kcal/day) | 2175 ± 608 | 2158 ± 787 | 2063 ± 633 | 2021 ± 594 |
| Protein (g/day) | 91 ± 42 | 84 ± 40 | 86 ± 35 | 77 ± 23 |
| Protein (g/kg/day) | 1.2 ± 0.5 | 1.1 ± 0.5 | 1.1 ± 0.6 | 1.0 ± 0.4 |
| Fat (g/day) | 80 ± 31 | 80 ± 31 | 86 ± 32 | 74 ± 25 |
| Fat (g/kg/day) | 1.1 ± 0.4 | 1.1 ± 0.4 | 1.1 ± 0.4 | 1.0 ± 0.4 |
| Carbohydrates (g/day) | 238 ± 69 | 240 ± 99 | 208 ± 80 | 226 ± 86 |
| Carbohydrates (g/kg/day) | 3.2 ± 1.0 | 3.2 ± 1.2 | 2.7 ± 1.2 | 3.0 ± 1.2 |
| Fibers (g/day) | 24 ± 10 | 25 ± 12 | 21 ± 8 | 22 ± 10 |
| Physical activity 1 | ||||
| Light PA (hrs/week) | 2.6 ± 1.7 | 3.6 ± 2.5 | 3.8 ± 2.0 | 4.3 ± 2.1 |
| Moderate PA (hrs/week) | 0.7 ± 0.7 | 0.7 ± 0.9 | 0.5 ± 0.6 | 0.6 ± 0.6 |
| MET hours/week | 8.2 ± 3.4 | 9.3 ± 4.8 | 8.4 ± 5.3 | 9.9 ± 4.1 |
| Variable | PRO-HIIT (N = 19) | PLA-HIIT (N = 20) | ||
|---|---|---|---|---|
| T-1 | T-2 | T-1 | T-2 | |
| Weight (kg) | 76.6 ± 16.6 | 76.4 ± 16.4 | 77.3 ± 14.8 | 77.5 ± 14.8 |
| BMI (kg/m2) | 24.4 ± 3.2 | 24.4 ± 3.1 | 24.9 ± 3.8 | 24.9 ± 3.8 |
| FM (kg) | 20.3 ± 5.4 | 19.9 ± 6.2 | 23.2 ± 8.4 | 23.5 ± 8.8 |
| FM (%) | 26.9 ± 5.0 | 26.2 ± 6.0 | 29.7 ± 8.1 | 30.1 ± 8.2 |
| SMM (kg) | 27.0 ± 7.4 | 27.0 ± 7.3 | 26.1 ± 6.3 | 26.7 ± 5.8 |
| TBW (L) | 41.2 ± 9.7 | 41.4 ± 9.6 | 39.9 ± 7.9 | 39.3 ± 8.2 |
| Waist (cm) | 82 ± 11 | 81 ± 12 | 79 ± 20 | 78 ± 20 |
| Variable | PRO-HIIT (N = 19) | PLA-HIIT (N = 20) | ||
|---|---|---|---|---|
| Pre | Post | Pre | Post | |
| VO2max (mL/kg/min) | 39.4 ± 5.4 | 42.2 ± 6.3 b | 34.9 ± 7.1 | 38.4 ± 7.3 c |
| VO2max (L) | 3.0 ± 0.8 | 3.2 ± 0.9 b | 2.7 ± 0.7 | 3.0 ± 0.7 c |
| Wmax (W/kg) | 3.1 ± 0.4 | 3.6 ± 0.5 c | 2.8 ± 0.5 | 3.2 ± 0.6 c |
| Wmax (W) | 241 ± 64 | 271 ± 74 c | 216 ± 50 | 245 ± 55 c |
| WVT (W) | 72 ± 8 | 79 ± 16 | 73 ± 13 | 77 ± 22 |
| SBP (mmHg) | 126 ± 15 | 119 ± 11 b | 128 ± 13 | 120 ± 10 c |
| DBP (mmHg) | 79 ± 8 | 76 ± 7 a | 83 ± 8 | 78 ± 7 c |
| MAB (mmHg) | 94 ± 10 | 90 ± 8 b | 98 ± 9 | 92 ± 7 c |
| Variable | PRO-HIIT (N = 19) | PLA-HIIT (N = 20) | ||
|---|---|---|---|---|
| Pre | Post | Pre | Post | |
| Glucose (mg/dL) | 91 ± 6 | 94 ± 8 b | 92 ± 9 | 97 ± 8 |
| HbA1c (%) | 5.2 ± 0.2 | 5.2 ± 0.2 | 5.1 ± 0.2 | 5.1 ± 0.2 |
| Triglycerides (mg/dL) | 105 ± 90 | 98 ± 48 | 101 ± 38 | 95 ± 42 |
| Cholesterol (mg/dL) | 214 ± 65 | 212 ± 46 | 213 ± 43 | 199 ± 43 |
| HDL (mg/dL) | 63 ± 13 | 63 ± 13 | 58 ± 9 | 57 ± 10 |
| LDL (mg/dL) | 138 ± 44 | 132 ± 39 | 138 ± 36 | 130 ± 30 a |
| ALT [U/L) | 25 ± 15 | 22 ± 13 | 22 ± 12 | 19 ± 9 a |
| AST (U/L) | 30 ± 14 | 27 ± 13 | 24 ± 5 | 23 ± 4 |
| GGT (U/L) | 18 ± 9 | 16 ± 9 b | 21 ± 11 | 19 ± 9 |
| hsCRP (mg/dL) | 1.7 ± 2.5 | 1.7 ± 2.5 | 1.5 ± 1.8 | 1.4 ± 1.9 |
Publisher’s Note: MDPI stays neutral with regard to jurisdictional claims in published maps and institutional affiliations. |
© 2022 by the authors. Licensee MDPI, Basel, Switzerland. This article is an open access article distributed under the terms and conditions of the Creative Commons Attribution (CC BY) license (https://creativecommons.org/licenses/by/4.0/).
Share and Cite
Reljic, D.; Zieseniss, N.; Herrmann, H.J.; Neurath, M.F.; Zopf, Y. Protein Supplementation Does Not Maximize Adaptations to Low-Volume High-Intensity Interval Training in Sedentary, Healthy Adults: A Placebo-Controlled Double-Blind Randomized Study. Nutrients 2022, 14, 3883. https://doi.org/10.3390/nu14193883
Reljic D, Zieseniss N, Herrmann HJ, Neurath MF, Zopf Y. Protein Supplementation Does Not Maximize Adaptations to Low-Volume High-Intensity Interval Training in Sedentary, Healthy Adults: A Placebo-Controlled Double-Blind Randomized Study. Nutrients. 2022; 14(19):3883. https://doi.org/10.3390/nu14193883
Chicago/Turabian StyleReljic, Dejan, Nilas Zieseniss, Hans J. Herrmann, Markus F. Neurath, and Yurdagül Zopf. 2022. "Protein Supplementation Does Not Maximize Adaptations to Low-Volume High-Intensity Interval Training in Sedentary, Healthy Adults: A Placebo-Controlled Double-Blind Randomized Study" Nutrients 14, no. 19: 3883. https://doi.org/10.3390/nu14193883
APA StyleReljic, D., Zieseniss, N., Herrmann, H. J., Neurath, M. F., & Zopf, Y. (2022). Protein Supplementation Does Not Maximize Adaptations to Low-Volume High-Intensity Interval Training in Sedentary, Healthy Adults: A Placebo-Controlled Double-Blind Randomized Study. Nutrients, 14(19), 3883. https://doi.org/10.3390/nu14193883

