Impact of Lifestyle Modifications on Alterations in Lipid and Glycemic Profiles and Uric Acid Values in a Pediatric Population
Abstract
:1. Introduction
2. Materials and Methods
2.1. Subjects
2.2. Baseline and Follow-Up Assessments
2.3. Anthropometric Parameters
2.4. Biochemical Parameters
2.5. Definition of Metabolic Variables
2.6. Recommended Lifestyle Modifications
2.7. Statistical Analysis
2.7.1. Different Multiple Linear Regression Models Were Used to Assess
2.7.2. Multiple Logistic Regression Models Were Used to Assess
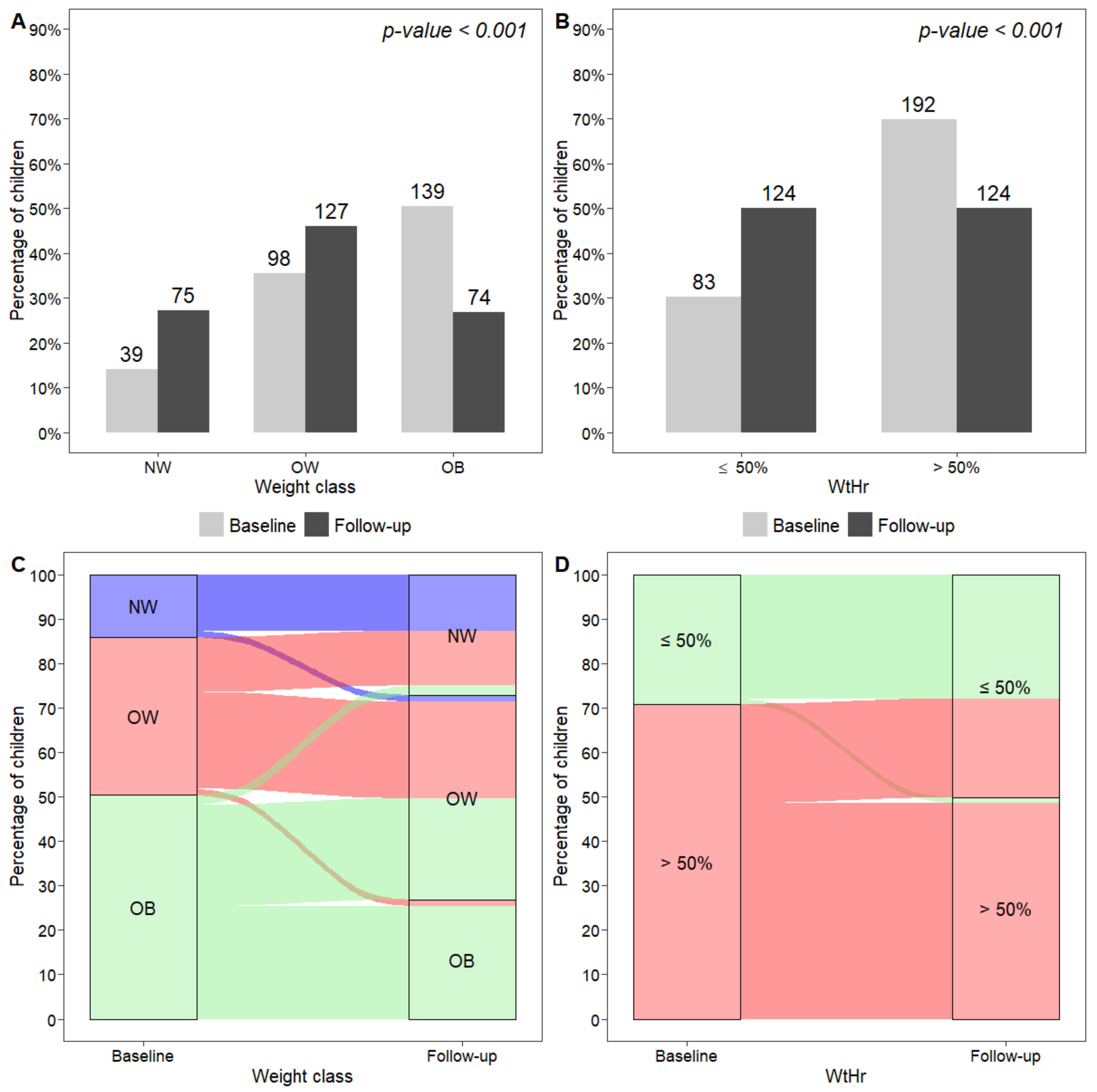
3. Results
4. Discussion
5. Conclusions
Supplementary Materials
Author Contributions
Funding
Institutional Review Board Statement
Informed Consent Statement
Data Availability Statement
Conflicts of Interest
References
- Arnett, D.K.; Blumenthal, R.S.; Albert, M.A.; Buroker, A.B.; Goldberger, Z.D.; Hanh, E.J.; Himmelfarb, C.D.; Khera, A.; Lloyd-Jones, D.; McEvoy, J.W.; et al. 2019 ACC/AHA Guideline on the Primary Prevention of Cardiovascular Disease: Executive Summary: A Report of the American College of Cardiology/American heart Association Task Force on Clinical Practice Guidelines. J. Am. Coll. Cardiol. 2019, 74, 1376–1414. [Google Scholar] [CrossRef] [PubMed]
- Williams, B.; Mancia, G.; Spiering, W.; Agabiti Rosei, E.; Azizi, M.; Burnier, M.; Clement, D.; Coca, A.; De Simone, G.; Dominiczak, A.; et al. 2018 Practice guidelines for the management of arterial hypertension of the European Society of Cardiology and the European Society of Hypertension. Blood Press. 2018, 27, 314–340. [Google Scholar] [CrossRef] [PubMed]
- Whelton, P.K.; Carey, R.M.; Aronow, W.S.; Casey, D.E., Jr.; Collins, K.J.; Himmelfarb, C.D.; DePalma, S.M.; Gidding, S.; Jamerson, K.A.; Daniel W Jones, D.W.; et al. Guideline for the Prevention, Detection, Evaluation, and Management of High Blood Pressure in Adults: Executive Summary: A Report of the American College of Cardiology/American Heart Association Task Force on Clinical Practice Guidelines. Hypertension 2018, 71, 1269–1324. [Google Scholar] [CrossRef] [PubMed]
- Mach, F.; Baigent, C.; Catapano, A.L.; Koskinas, K.C.; Casula, M.; Badimon, L.; Chapman, M.J.; De Backer, G.G.; Delgado, V.; Ference, B.A.; et al. 2019 ESC/EAS Guidelines for the management of dyslipidaemias: Lipid modification to reduce cardiovascular risk. Eur. Heart J. 2020, 41, 111–188. [Google Scholar] [CrossRef] [PubMed]
- Lurbe, E.; Agabiti-Roseic, E.; Cruickshankd, J.K.; Dominiczake, A.; Erdinef, S.; Hirthg, A.; Invitti, C.; Litwin, M.; Mancia, G.; Pall, D.; et al. 2016 European Society of Hypertension guidelines for the management of high blood pressure in children and adolescents. J. Hypertens. 2016, 34, 1887–1920. [Google Scholar] [CrossRef] [PubMed]
- Valerio, G.; Maffeis, C.; Saggese, G.; Ambruzzi, M.A.; Balsamo, A.; Bellone, S.; Bergamini, M.; Bernasconi, S.; Bona, G.; Calcaterra, V.; et al. Diagnosis, treatment and prevention of pediatric obesity: Consensus position statement of the Italian Society for Pediatric Endocrinology and Diabetology and the Italian Society of Pediatrics. Ital. J. Pediatr. 2018, 44, 88. [Google Scholar] [CrossRef] [PubMed]
- Flynn, J.T.; Kaelber, D.C.; Baker-Smith, C.M.; Blowey, D.; Aaron, E.; Daniels, S.R.; de Ferranti, S.D.; Dionne, J.M.; Falkner, B.; Flinn, S.K.; et al. Clinical Practice Guideline for Screening and Management of High Blood Pressure in Children and Adolescents. Pediatrics 2017, 140, e20171904. [Google Scholar] [CrossRef] [PubMed]
- Giussani, M.; Antolini, L.; Angelis, M.; Guardamagna, O.; Dpzzi, M.; Genovesi, S. Lipid profile assessed in the family pediatrician’s office: The COLIBRI’- SIMPeF study. Eur. J. Pediatr. 2021, 180, 147–156. [Google Scholar] [CrossRef]
- Genovesi, S.; Brambilla, P.; Giussani, M.; Galbiati, S.; Mastriani, S.; Pieruzzi, F.; Stella, A.; Valsecchi Maria, G.; Antolini, L. Insulin resistance, pre-hypertension, hypertension and blood pressure values in paediatric age. J Hypertens. 2012, 30, 327–335. [Google Scholar] [CrossRef]
- Viazzi, F.; Antolini, L.; Giussani, M.; Brambilla, P.; Galbiati, S.; Mastriani, S.; Stella, A.; Pontremoli, R.; Valsecchi, M.G.; Genovesi, S. Serum uric acid and blood pressure in children at cardiovascular risk. Pediatrics 2013, 132, e93–e99. [Google Scholar] [CrossRef]
- Mead, E.; Brown, T.; Rees, K.; Azevedo, L.B.; Whittaker, V.; Jones, D.; Joan, O.; Giulia, M.M.; Eva, C.; Claire, O.M.; et al. Diet, physical activity and behavioural interventions for the treatment of overweight or obese children from the age of 6 to 11 years. Cochrane Database Syst Rev. 2017, 6, CD012651. [Google Scholar] [CrossRef]
- Genovesi, S.; Orlando, A.; Rebora, P.; Giussani, M.; Antolini, L.; Nava, E.; Parati, G.; Valsecchi, M.G. Effects of Lifestyle Modifications on Elevated Blood Pressure and Excess Weight in a Population of Italian Children and Adolescents. Am. J. Hypertens. 2018, 31, 1147–1155. [Google Scholar] [CrossRef]
- Ho, M.; Garnett, S.P.; Baur, L.; Burrows, T.; Stewart, L.; Neve, M.; Collins, C. Effectiveness of Lifestyle Interventions in Child Obesity: Systematic review with meta-analysis. Pediatrics 2012, 30, e1647–e1671. [Google Scholar]
- Marson, E.C.; Delevatti, R.S.; Prado, A.K.G.; Netto, N.; Kruel, L.F.M. Effects of aerobic, resistance, and combined exercise training on insulin resistance markers in overweight or obese children and adolescents: A systematic review and meta-analysis. Prev. Med. 2016, 93, 211–218. [Google Scholar] [CrossRef]
- Cole, T.J.; Bellizzi, M.C.; Flegal, K.M.; Dietz, W.H. Establishing a standard definition for child overweight and obesity worldwide: International survey. BMJ 2000, 320, 1240–1243. [Google Scholar] [CrossRef]
- Tanner, J.M. Growth and Maturation during Adolescence. Nutr. Rev. 2009, 39, 43–55. [Google Scholar] [CrossRef]
- Matthews, D.R.; Hosker, J.P.; Rudenski, A.S.; Naylor, B.A.; Treacher, D.F.; Turner, R.C. Homeostasis model assessment insulin resistance and beta-cell function from fasting plasma glucose and insulin concentrations in man. Diabetologia 1985, 28, 412–419. [Google Scholar] [CrossRef]
- Schwartz, G.J.; Brion, L.P.; Spitzer, A. The Use of Plasma Creatinine Concentration for Estimating Glomerular Filtration Rate in Infants, Children, and Adolescents. Pediatr. Clin. N. Am. 1987, 34, 571–590. [Google Scholar] [CrossRef]
- American Academy of Pediatrics. National Cholesterol Education Program: Report of the Expert Panel on Blood Cholesterol Levels in Children and Adolescents. Pediatrics 1992, 89, 525–584. [Google Scholar]
- Shashaj, B.; Luciano, R.; Contoli, B.; Morino, G.S.; Spreghini, M.R.; Rustico, C.; Sforza, R.W.; Dallapiccola, B.; Manco, M. Reference ranges of HOMA-IR in normal-weight and obese young Caucasians. Acta Diabetol. 2015, 53, 251–260. [Google Scholar] [CrossRef]
- Moulin-Mares, S.R.A.; Zaniqueli, D.; Oliosa, P.R.; Alvim, R.O.; Bottoni, J.P.; Mill, J.G. Uric acid reference values: Report on 1750 healthy Brazilian children and adolescents. Pediatr. Res. 2020, 89, 1855–1860. [Google Scholar] [CrossRef]
- Cai, L.; Wu, Y.; Wilson, R.F.; Segal, J.B.; Kim, M.T.; Wang, Y. Effect of childhood obesity prevention programs on blood pressure: A systematic review and meta-analysis. Circulation 2014, 129, 1832–1839. [Google Scholar] [CrossRef]
- Schofield, W.N. Predicting basal metabolic rate, new standards and review of previous work. Hum. Nutr. Clin. Nutr. 1985, 39 (Suppl. 1), 5–41. [Google Scholar]
- Torun, B.; Davies, P.S.; Livingstone, M.B.; Paolisso, M.B.; Sackett, R.; Spurr, G.B. Energy requirements and dietary energy recommendations for children and adolescents 1 to 18 years old. Eur. J. Clin. Nutr. 1996, 50, S37–S80. [Google Scholar]
- Expert Panel on Integrated Guidelines for Cardiovascular Health and Risk Reduction in Children and Adolescents; National Heart, Lung, and Blood Institute. Expert panel on integrated guidelines for cardiovascular health and risk reduction in children and adolescents: Summary report. Pediatrics 2011, 128, S213–S256. [Google Scholar] [CrossRef]
- Agresti, A. Categorical Data Analysis, 3rd ed.; Wiley: Hoboken, NJ, USA, 2013. [Google Scholar]
- Nguyen, D.; Kit, B.; Carroll, M. Abnormal Cholesterol Among Children and Adolescents in the United States, 2011–2014. NCHS Data Brief. 2015, 228, 1–8. [Google Scholar]
- Clifton, P.; Keogh, J. A systematic review of the effect of dietary saturated and polyunsaturated fat on heart disease. Nutr. Metab. Cardiovasc. Dis. 2017, 27, 1060–1080. [Google Scholar] [CrossRef]
- Hollænder, P.L.; Ross, A.B.; Kristensen, M. Whole-grain and blood lipid changes in apparently healthy adults: A systematic review and meta-analysis of randomized controlled studies. Am. J. Clin. Nutr. 2015, 102, 556–572. [Google Scholar] [CrossRef] [PubMed]
- Shaw, K.; Gennat, H.; O’Rourke, P.; Del Mar, C. Exercise for overweight or obesity. Cochrane Database Syst. Rev. 2006, 18, CD003817. [Google Scholar] [CrossRef] [PubMed]
- Santos, F.L.; Esteves, S.S.; da Costa Pereira, A.; Yancy, W.S.; Nunes, J.P.L. Systematic review and meta-analysis of clinical trials of the effects of low carbohydrate diets on cardiovascular risk factors. Obes. Rev. 2012, 13, 1048–1066. [Google Scholar] [CrossRef] [PubMed]
- Amiri, P.; JalaliFarahani, S.; Akbar, H.M.; Cheraghi, L.; Khalili, D.; Momenan, A.; Mirmiran, P.; Ghanbarian, A.; Hedayati, M.; Hosseini-Esfahani, F.; et al. The Effects of a Community-Based Lifestyle Intervention on Metabolic Syndrome and Its Components in Adolescents: Findings of a Decade Follow-Up. Metab. Syndr. Relat. Disord. 2018, 16, 215–223. [Google Scholar] [CrossRef]
- Saneei, P.; Hashemipour, M.; Kelishadi, R.; Rajaei, S.; Esmaillzadeh, A. Effects of recommendations to follow the Dietary Approaches to Stop Hypertension (DASH) diet v. usual dietary advice on childhood metabolic syndrome: A randomised cross-over clinical trial. Br. J. Nutr. 2013, 110, 2250–2259. [Google Scholar] [CrossRef]
- Giannini, C.; Weiss, R.; Cali, A.; Bonadonna, R.; Santoro, N.; Pierpont, B.; Shaw, M.; Caprio, S. Evidence for early defects in insulin sensitivity and secretion before the onset of glucose dysregulation in obese youths: A longitudinal study. Diabetes 2012, 61, 606–614. [Google Scholar] [CrossRef]
- Kelsey, M.M.; Zeitler, P. Insulin Resistance of Puberty. Curr. Diabetes Rep. 2016, 16, 1–6. [Google Scholar] [CrossRef]
- Browning, M.G.; Bean, M.K.; Wickham, E.P.; Stern, M.; Evans, R.K. Cardiometabolic and Fitness Improvements in Obese Girls Who Either Gained or Lost Weight during Treatment. J. Pediatr. 2015, 166, 1364–1369. [Google Scholar] [CrossRef]
- Togashi, K.; Masuda, H.; Iguchi, K. Effect of diet and exercise treatment for obese Japanese children on abdominal fat distribution. Res. Sports Med. 2010, 18, 62–70. [Google Scholar] [CrossRef]
- Gruzdeva, O.; Borodkina, D.; Uchasova, E.; Dyleva, Y.; Barbarash, O. Localization of fat deposits and cardiovascular risk. Lipids Health Dis. 2018, 17, 218. [Google Scholar] [CrossRef]
- Koenen, M.; Hill, M.A.; Cohen, P.; Sowers, J.R. Obesity, adipose tissue, and vascular dysfunction. Circ. Res. 2021, 128, 951–968. [Google Scholar] [CrossRef]
- Stefan, N.; Häring, H.-U.; Hu, F.B.; Schulze, M.B. Metabolically healthy obesity: Epidemiology, mechanisms, and clinical implications. Lancet Diabetes Endocrinol. 2013, 1, 152–162. [Google Scholar] [CrossRef]
- Genovesi, S.; Antolini, L.; Orlando, A.; Gilardini, L.; Bertoli, S.; Giussani, M. Cardiovascular Risk Factors Associated With the Metabolically Healthy Obese (MHO) Phenotype Compared to the Metabolically Unhealthy Obese (MUO) Phenotype in Children. Front. Endocrinol. 2020, 11, 27. [Google Scholar] [CrossRef]
- Li, N.; Zhang, S.; Li, W.; Wang, L.; Liu, H.; Li, W.; Zhang, T.; Liu, G.; Du, Y.; Leng, J. Prevalence of hyperuricemia and its related risk factors among preschool children from China. Sci. Rep. 2017, 7, 9448. [Google Scholar] [CrossRef]
- Tang, L.; Kubota, M.; Nagai, A.; Mamemoto, K.; Tokuda, M. Hyperuricemia in obese children and adolescents: The relationship with metabolic syndrome. Pediatr. Rep. 2010, 2, e12. [Google Scholar] [CrossRef]
- Han, T.; Meng, X.; Shan, R.; Zi, T.; Li, Y.; Ma, H.; Zhao, Y.; Shi, D.; Qu, R.; Guo, X.; et al. Temporal relationship between hyperuricemia and obesity, and its association with future risk of type 2 diabetes. Int. J. Obes. 2018, 42, 1336–1344. [Google Scholar] [CrossRef]
- Yun, M.; Zhang, T.; Li, S.; Wang, X.; Fan, L.; Yan, Y.; Bazzano, L.; He, J.; Chen, W. Temporal relationship between body mass index and uric acid and their joint impact on blood pressure in children and adults: The Bogalusa Heart Study. Int. J. Obes. 2021, 45, 1457–1463. [Google Scholar] [CrossRef]
- Jørgensen, R.M.; Bøttger, B.; Vestergaard, E.T.; Kremke, B.; Bahnsen, R.F.; Nielsen, B.W.; Bruun, J.M. Uric Acid Is Elevated in Children With Obesity and Decreases After Weight Loss. Front. Pediatr. 2022, 9, 814166. [Google Scholar] [CrossRef]
- Viazzi, F.; Rebora, P.; Giussani, M.; Orlando, A.; Stella, A.; Antolini, L.; Valsecchi, M.G.; Pontremoli, R.; Genovesi, S. Increased Serum Uric Acid Levels Blunt the Antihypertensive Efficacy of Lifestyle Modifications in Children at Cardiovascular Risk. Hypertension 2016, 67, 934–940. [Google Scholar] [CrossRef]
- Lin, W.-T.; Huang, H.-L.; Huang, M.-C.; Chan, T.-F.; Ciou, S.-Y.; Lee, C.-H.; Chiu, Y.-W.; Duh, T.-H.; Lin, P.-L.; Wang, T.-N.; et al. Effects on uric acid, body mass index and blood pressure in adolescents of consuming beverages sweetened with high-fructose corn syrup. Int. J. Obes. 2012, 37, 532–539. [Google Scholar] [CrossRef]
- Nguyen, S.; Choi, H.K.; Lustig, R.H.; Hsu, C. Sugar-sweetened beverages, serum uric acid, and blood pressure in adolescents. J. Pediatr. 2009, 154, 807–813. [Google Scholar] [CrossRef] [PubMed]
- Philipsborn, P.; Stratil, J.M.; Burns, J.; Busert, L.K.; Pfadenhauer, L.M.; Polus, S.; Holzapfel, C.; Hauner, H.; Rehfuess, E. Environmental interventions to reduce the consumption of sugar-sweetened beverages and their effects on health. Cochrane Database Syst. Rev. 2019, 6, CD012292. [Google Scholar] [CrossRef] [PubMed]
- De Ruyter, J.C.; Olthof, M.R.; Seidell, J.; Katan, M.B. A Trial of Sugar-free or Sugar-Sweetened Beverages and Body Weight in Children. N. Engl. J. Med. 2012, 367, 1397–1406. [Google Scholar] [CrossRef] [PubMed]
- Ebbeling, C.B.; Feldman, H.A.; Chomitz, V.R.; Antonelli, T.A.; Gortmaker, S.L.; Osganian, S.K.; Ludwig, D.S. A Randomized Trial of Sugar-Sweetened Beverages and Adolescent Body Weight. N. Engl. J. Med. 2012, 367, 1407–1416. [Google Scholar] [CrossRef]
- Hu, F.B. Resolved: There is sufficient scientific evidence that decreasing sugar-sweetened beverage consumption will reduce the prevalence of obesity and obesity-related diseases. Obes. Rev. 2013, 14, 606–619. [Google Scholar] [CrossRef]
- Schwartz, G.J.; Haycock, G.B.; Chir, B.; Spitzer, A. Plasma Creatinine and Urea Concentration in Children: Normal Values for Age and Sex. J. Pediatr. 1976, 88, 828–830. [Google Scholar] [CrossRef]
- Harland, J.; Garton, L. An update of the evidence relating to plant-based diets and cardiovascular disease, type 2 diabetes and overweight. Nutr. Bull. 2016, 41, 323–338. [Google Scholar] [CrossRef]
- Schuermann, S.; Kersting, M.; Alexy, U. Vegetarian diets in children: A systematic review. Eur. J. Nutr. 2017, 56, 1797–1817. [Google Scholar] [CrossRef]
- Sanders, T.A. Growth and development of British vegan children. Am. J. Clin. Nutr. 1988, 48, 822–825. [Google Scholar] [CrossRef]
- Amit, M. Canadian Paediatric Society, Community Paediatrics Committee. Vegetarian diets in children and adolescents. Paediatr. Child Health 2010, 15, 303–314. [Google Scholar]


| Parameter | Baseline (n = 276) | Follow-Up (n = 276) | p |
|---|---|---|---|
| Age (years), mean (SD) | 10.6 (2.3) | 12.1 (2.3) | <0.001 |
| Gender (males), n (%) | 154 (55.8) | - | |
| Puberty, n (%) | 115 (42.0) | 179 (71.6) | <0.001 |
| Weight (kg), median (IQR) | 51.4 (40.0, 62.5) | 55.9 (44.4, 68.1) | <0.001 |
| Height (cm), mean (SD) | 145.3 (14.3) | 153.1 (13.5) | <0.001 |
| BMI (kg/m2), mean (SD) | 24.2 (4.5) | 23.8 (4.5) | 0.004 |
| BMI (z-score), median (IQR) | 1.8 (1.3, 2.1) | 1.5 (1.0, 1.8) | <0.001 |
| Waist circumference (cm), mean (SD) § | 77.9 (12.1) | 77.6 (11.7) | 0.125 |
| WtHr (%), mean (SD) | 53.6 (6.9) | 50.7 (6.6) | <0.001 |
| Family history of diabetes (mother and/or father), n (%) | 43 (15.8) | - | |
| Family history of dyslipidemia (mother and/or father), n (%) | 117 (42.9) | - | |
| Total cholesterol (mg/dL), mean (SD) | 163.9 (28.3) | 160.4 (28.4) | 0.002 |
| HDL cholesterol (mg/dL), median (IQR) | 52.0 (46.0, 60.0) | 53.0 (45.0, 62.0) | 0.335 |
| HDL cholesterol < 40 mg/dL, n (%) | 31 (11.2) | 30 (10.9) | 0.999 |
| LDL cholesterol (mg/dL), median (IQR) | 95.0 (78.8, 111.7) | 90.4 (74.9, 106.2) | <0.001 |
| LDL ≥ 130 mg/dL, n (%) | 28 (10.1) | 16 (5.8) | 0.010 |
| Triglycerides (mg/dL), median (IQR) | 65.0 (49.0, 88.3) | 66.0 (47.0, 88.0) | 0.967 |
| Triglycerides ≥ 100 mg/dL or ≥130 mg/dL #, n (%) | 27 (9.8) | 24 (8.7) | 0.735 |
| Dyslipidemia, n (%) | 69 (25.0) | 58 (21.0) | 0.170 |
| Glucose (mg/dL), mean (SD) | 83.1 (7.6) | 83.9 (8.4) | 0.118 |
| Insulin (µU/mL), median (IQR) | 12.1 (7.7, 16.0) | 10.8 (7.32, 14.9) | 0.925 |
| HOMA Index $, median (IQR) | 2.5 (1.5, 3.4) | 2.2 (1.5, 3.1) | 0.480 |
| HOMA Index > 90th percentile, n (%) | 157 (56.9) | 125 (45.3) | 0.002 |
| Uric acid (mg/dL), mean (SD) | 4.4 (1.1) | 4.6 (1.2) | <0.001 |
| Uric acid > 90th percentile, n (%) | 46 (16.7) | 45 (16.3) | 1.000 |
| Creatinine (mg/dL), mean (SD) | 0.5 (0.1) | 0.6 (0.1) | <0.001 |
| eGFR (mL/min), mean (SD) | 155.5 (25.5) | 146.3 (24.2) | <0.001 |
| Follow-up time (months), median (IQR) | 14.7 (12.4, 19.3) | - |
| LDL Cholesterol at Follow-Up | |||||||
|---|---|---|---|---|---|---|---|
| Variable | b | (95% CI) | p | Variable | b | (95% CI) | p |
| Intercept | 23.167 | (15.135; 31.200) | <0.001 | Intercept | 22.264 | (14.359; 30.169) | <0.001 |
| LDL cholesterol at baseline | 0.743 | (0.668; 0.818) | <0.001 | LDL cholesterol at baseline | 0.754 | (0.679; 0.829) | <0.001 |
| Gender (males) | −3.151 | (−7.017; 0.715) | 0.110 | Gender (males) | −3.695 | (−7.618; 0.228) | 0.065 |
| Becoming pubescent during follow-up | 1.809 | (−2.550; 6.168) | 0.414 | Becoming pubescent during follow-up | 2.815 | (−1.618; 7.249) | 0.212 |
| BMI (Δz-scores) | −8.869 | (−14.152; −3.586) | 0.001 | ΔWtHr | −0.803 | (−1.226; −0.379) | <0.001 |
| Family history of dyslipidemia | 3.234 | (−0.751; 7.219) | 0.111 | Family history of dyslipidemia | 2.335 | (−1.677; 6.346) | 0.253 |
| HDL Cholesterol at Follow-Up | |||||||
| Variable | b | (95% CI) | p | Variable | b | (95% CI) | p |
| Intercept | 16.049 | (10.873; 21.224) | <0.001 | Intercept | 16.643 | (11.573; 21.713) | <0.001 |
| HDL cholesterol at baseline | 0.718 | (0.628; 0.808) | <0.001 | HDL cholesterol at baseline | 0.718 | (0.628; 0.808) | <0.001 |
| Gender (males) | −1.723 | (−3.955; 0.509) | 0.130 | Gender (males) | −1.581 | (−3.871; 0.709) | 0.175 |
| Becoming pubescent during follow-up | −0.379 | (−2.885; 2.127) | 0.766 | Becoming pubescent during follow-up | −0.997 | (−3.572; 1.578) | 0.446 |
| BMI (Δz-scores) | 1.965 | (−1.090; 5.020) | 0.206 | ΔWtHr | 0.098 | (−0.147; 0.343) | 0.431 |
| Family history of dyslipidemia | −0.318 | (−2.547; 1.912) | 0.779 | Family history of dyslipidemia | −0.299 | (−2.570; 1.973) | 0.796 |
| Triglycerides at Follow-Up | |||||||
| Variable | b | (95% CI) | p | Variable | b | (95% CI) | p |
| Intercept | 37.394 | (27.145; 47.642) | <0.001 | Intercept | 34.731 | (24.725; 44.737) | <0.001 |
| Triglycerides at baseline | 0.570 | (0.466; 0.673) | <0.001 | Triglycerides at baseline | 0.544 | (0.442; 0.645) | <0.001 |
| Gender (males) | −0.865 | (−7.958; 6.228) | 0.810 | Gender (males) | −0.390 | (−7.457; 6.676) | 0.913 |
| Becoming pubescent during follow-up | 3.827 | (−4.161; 11.815) | 0.346 | Becoming pubescent during follow-up | 6.997 | (−0.967; 14.961) | 0.085 |
| BMI (Δz-scores) | −20.366 | (−30.046; −10.687) | <0.001 | ΔWtHr | −1.212 | (−1.968; −0.456) | 0.002 |
| Family history of dyslipidemia | 0.379 | (−6.754; 7.513) | 0.917 | Family history of dyslipidemia | 0.379 | (−6.680; 7.438) | 0.916 |
| Dyslipidemia at Follow-Up | |||||||
| Variable | OR | (95% CI) | p | Variable | OR | (95% CI) | p |
| Dyslipidemia at baseline | 11.187 | (5.523; 23.674) | <0.001 | Dyslipidemia at baseline | 11.418 | (5.570; 24.509) | <0.001 |
| Gender (males) | 1.343 | (0.654; 2.817) | 0.426 | Gender (males) | 1.210 | (0.580; 2.571) | 0.614 |
| Becoming pubescent during follow-up | 1.085 | (0.197; 1.497) | 0.841 | Becoming pubescent during follow-up | 1.200 | (0.521; 2.686) | 0.661 |
| BMI (Δz-scores) | 0.557 | (0.436; 1.885) | 0.255 | ΔWtHr | 0.939 | (0.864; 1.014) | 0.120 |
| Family history of dyslipidemia | 0.915 | (0.436; 1.885) | 0.812 | Family history of dyslipidemia | 0.877 | (0.410; 1.837) | 0.730 |
| HOMA Index at Follow-Up | |||||||
|---|---|---|---|---|---|---|---|
| Variable | b | (95% CI) | p | Variable | b | (95% CI) | p |
| Intercept | 1.775 | (1.255; 2.295) | <0.001 | Intercept | 1.311 | (0.785; 1.836) | <0.001 |
| HOMA index at baseline | 0.495 | (0.385; 0.605) | <0.001 | HOMA index at baseline | 0.502 | (0.386; 0.618) | <0.001 |
| Gender (males) | −0.128 | (−0.557; 0.301) | 0.558 | Gender (males) | −0.030 | (−0.479; 0.418) | 0.894 |
| Becoming pubescent during follow-up | 0.377 | (−0.112; 0.866) | 0.130 | Becoming pubescent during follow-up | 0.562 | (0.051; 1.073) | 0.031 |
| BMI (Δz-scores) | −1.637 | (−2.228; −1.047) | <0.001 | ΔWtHr | −0.072 | (−0.121; −0.024) | 0.004 |
| Family history of diabetes | 0.098 | (−0.495; 0.690) | 0.746 | Family history of diabetes | 0.151 | (−0.474; 0.777) | 0.634 |
| Insulin Resistance (HOMA Index > 90th Percentile) at Follow-Up | |||||||
| Variable | OR | (95% CI) | p | Variable | OR | (95% CI) | p |
| Insulin resistance at baseline | 4.055 | (2.299; 7.340) | <0.001 | Insulin resistance at baseline | 3.716 | (2.116; 6.683) | <0.001 |
| Gender (males) | 1.752 | (1.009; 3.073) | 0.048 | Gender (males) | 1.654 | (0.952; 2.900) | 0.076 |
| Becoming pubescent during follow-up | 1.140 | (0.608; 2.138) | 0.682 | Becoming pubescent during follow-up | 1.296 | (0.689; 2.449) | 0.421 |
| BMI (Δz-scores) | 0.227 | (0.097; 0.503) | <0.001 | ΔWtHr | 0.951 | (0.894; 1.009) | 0.102 |
| Family history of diabetes | 0.613 | (0.282; 1.295) | 0.205 | Family history of diabetes | 0.514 | (0.227; 1.116) | 0.100 |
| Uric Acid at Follow-Up | |||||||
|---|---|---|---|---|---|---|---|
| Variable | b | (95% CI) | p | Variable | b | (95% CI) | p |
| Intercept | 1.087 | (0.710; 1.464) | <0.001 | Intercept | 1.016 | (0.627; 1.406) | <0.001 |
| Uric acid at baseline | 0.766 | (0.688; 0.845) | <0.001 | Uric acid at baseline | 0.770 | (0.688; 0.852) | <0.001 |
| Gender (males) | 0.307 | (0.130; 0.485) | 0.001 | Gender (males) | 0.293 | (0.108; 0.477) | 0.002 |
| Becoming pubescent during follow-up | 0.259 | (0.058; 0.460) | 0.012 | Becoming pubescent during follow-up | 0.293 | (0.084; 0.503) | 0.006 |
| BMI (Δz-scores) | −0.421 | (−0.664; −0.177) | 0.001 | ΔWtHr | −0.028 | (−0.048; −0.008) | 0.006 |
| Hyperuricemia (Uric Acid > 90th Percentile) at Follow-Up | |||||||
| Variable | OR | (95% CI) | p | Variable | OR | (95% CI) | p |
| Hyperuricemia at baseline | 6.236 | (2.803; 12.101) | <0.001 | Hyperuricemia at baseline | 6.052 | (2.641; 14.117) | <0.001 |
| Gender (males) | 0.821 | (0.395; 1.715) | 0.597 | Gender (males) | 0.710 | (0.332; 1.514) | 0.374 |
| Becoming pubescent during follow-up | 2.157 | (0.970; 4.758) | 0.056 | Becoming pubescent during follow-up | 2.651 | (1.165; 6.040) | 0.019 |
| BMI (Δz-scores) | 0.318 | (0.097; 0.952) | 0.048 | ΔWtHr | 0.920 | (0.842; 1.000) | 0.059 |
Publisher’s Note: MDPI stays neutral with regard to jurisdictional claims in published maps and institutional affiliations. |
© 2022 by the authors. Licensee MDPI, Basel, Switzerland. This article is an open access article distributed under the terms and conditions of the Creative Commons Attribution (CC BY) license (https://creativecommons.org/licenses/by/4.0/).
Share and Cite
Giussani, M.; Orlando, A.; Tassistro, E.; Lieti, G.; Patti, I.; Antolini, L.; Parati, G.; Genovesi, S. Impact of Lifestyle Modifications on Alterations in Lipid and Glycemic Profiles and Uric Acid Values in a Pediatric Population. Nutrients 2022, 14, 1034. https://doi.org/10.3390/nu14051034
Giussani M, Orlando A, Tassistro E, Lieti G, Patti I, Antolini L, Parati G, Genovesi S. Impact of Lifestyle Modifications on Alterations in Lipid and Glycemic Profiles and Uric Acid Values in a Pediatric Population. Nutrients. 2022; 14(5):1034. https://doi.org/10.3390/nu14051034
Chicago/Turabian StyleGiussani, Marco, Antonina Orlando, Elena Tassistro, Giulia Lieti, Ilenia Patti, Laura Antolini, Gianfranco Parati, and Simonetta Genovesi. 2022. "Impact of Lifestyle Modifications on Alterations in Lipid and Glycemic Profiles and Uric Acid Values in a Pediatric Population" Nutrients 14, no. 5: 1034. https://doi.org/10.3390/nu14051034
APA StyleGiussani, M., Orlando, A., Tassistro, E., Lieti, G., Patti, I., Antolini, L., Parati, G., & Genovesi, S. (2022). Impact of Lifestyle Modifications on Alterations in Lipid and Glycemic Profiles and Uric Acid Values in a Pediatric Population. Nutrients, 14(5), 1034. https://doi.org/10.3390/nu14051034

