Association of Sarcopenia and Expression of Interleukin-16 in Gastric Cancer Survival
Abstract
:1. Introduction
2. Patients and Methods
2.1. Study Population
2.2. Sarcopenia Definition
2.3. IL-16 Level Detected by Immunohistochemistry (IHC)
2.4. Statistical Analysis
3. Results
3.1. Clinicopathological Characteristics of Patients
3.2. Sarcopenia and Prognosis
3.3. IL-6 and Survival
3.4. Sarcopenia and IL-6
4. Discussion
5. Conclusions
Supplementary Materials
Author Contributions
Funding
Institutional Review Board Statement
Informed Consent Statement
Data Availability Statement
Conflicts of Interest
References
- Bray, F.; Ferlay, J.; Soerjomataram, I.; Siegel, R.L.; Torre, L.A.; Jemal, A. Global cancer statistics 2018: GLOBOCAN estimates of incidence and mortality worldwide for 36 cancers in 185 countries. CA Cancer J. Clin. 2018, 68, 394–424. [Google Scholar] [CrossRef] [PubMed] [Green Version]
- Cruz-Jentoft, A.J.; Bahat, G.; Bauer, J.; Boirie, Y.; Bruyère, O.; Cederholm, T.; Cooper, C.; Landi, F.; Rolland, Y.; Sayer, A.A.; et al. Sarcopenia: Revised European consensus on definition and diagnosis. Age Ageing 2019, 48, 16–31. [Google Scholar] [CrossRef] [PubMed] [Green Version]
- Petermann-Rocha, F.; Balntzi, V.; Gray, S.R.; Lara, J.; Ho, F.K.; Pell, J.P.; Celis-Morales, C. Global prevalence of sarcopenia and severe sarcopenia: A systematic review and meta-analysis. J. Cachexia Sarcopenia Muscle 2021. [Google Scholar] [CrossRef] [PubMed]
- Kamarajah, S.K.; Bundred, J.; Tan, B.H.L. Body composition assessment and sarcopenia in patients with gastric cancer: A systematic review and meta-analysis. Gastric Cancer 2019, 22, 10–22. [Google Scholar] [CrossRef] [PubMed] [Green Version]
- Dalle, S.; Rossmeislova, L.; Koppo, K. The Role of Inflammation in Age-Related Sarcopenia. Front. Physiol. 2017, 8, 1045. [Google Scholar] [CrossRef] [Green Version]
- Kalinkovich, A.; Livshits, G. Sarcopenic obesity or obese sarcopenia: A cross talk between age-associated adipose tissue and skeletal muscle inflammation as a main mechanism of the pathogenesis. Ageing Res. Rev. 2017, 35, 200–221. [Google Scholar] [CrossRef]
- Blaschke, S.; Schulz, H.; Schwarz, G.; Blaschke, V.; Müller, G.A.; Reuss-Borst, M. Interleukin 16 expression in relation to disease activity in rheumatoid arthritis. J. Rheumatol. 2001, 28, 12–21. [Google Scholar]
- Keates, A.C.; Castagliuolo, I.; Cruickshank, W.W.; Qiu, B.; Arseneau, K.O.; Brazer, W.; Kelly, C.P. Interleukin 16 is up-regulated in Crohn’s disease and participates in TNBS colitis in mice. Gastroenterology 2000, 119, 972–982. [Google Scholar] [CrossRef]
- Zhu, J.; Qin, C.; Yan, F.; Wang, M.; Ding, Q.; Zhang, Z.; Yin, C. IL-16 polymorphism and risk of renal cell carcinoma: Association in a Chinese population. Int. J. Urol. 2010, 17, 700–707. [Google Scholar] [CrossRef]
- Gao, L.-B.; Rao, L.; Wang, Y.-Y.; Liang, W.-B.; Li, C.; Xue, H.; Zhou, B.; Sun, H.; Li, Y.; Lv, M.-L.; et al. The association of interleukin-16 polymorphisms with IL-16 serum levels and risk of colorectal and gastric cancer. Carcinogenesis 2009, 30, 295–299. [Google Scholar] [CrossRef] [Green Version]
- Yellapa, A.; Bitterman, P.; Sharma, S.; Guirguis, A.S.; Bahr, J.M.; Basu, S.; Abramowicz, J.S.; Barua, A. Interleukin 16 expression changes in association with ovarian malignant transformation. Am. J. Obstet. Gynecol. 2014, 210, 272.e1–272.e10. [Google Scholar] [CrossRef] [PubMed]
- Yang, H.; Han, Y.; Wu, L.; Wu, C. Diagnostic and prognostic value of serum interleukin-16 in patients with gastric cancer. Mol. Med. Rep. 2017, 16, 9143–9148. [Google Scholar] [CrossRef] [PubMed]
- Chen, L.K.; Woo, J.; Assantachai, P.; Auyeung, T.W.; Chou, M.Y.; Iijima, K.; Jang, H.C.; Kang, L.; Kim, M.; Kim, S.; et al. Asian Working Group for Sarcopenia: 2019 Consensus Update on Sarcopenia Diagnosis and Treatment. J. Am. Med. Dir. Assoc. 2020, 21, 300–307.e2. [Google Scholar] [CrossRef] [PubMed]
- Kim, S.S.; Kim, J.H.; Jeong, W.K.; Lee, J.; Kim, Y.K.; Choi, D.; Lee, W.J. Semiautomatic software for measurement of abdominal muscle and adipose areas using computed tomography: A STROBE-compliant article. Medicine 2019, 98, e15867. [Google Scholar] [CrossRef] [PubMed]
- Zhuang, C.L.; Huang, D.D.; Pang, W.Y.; Zhou, C.J.; Wang, S.L.; Lou, N.; Ma, L.-L.; Yu, Z.; Shen, X. Sarcopenia is an Independent Predictor of Severe Postoperative Complications and Long-Term Survival After Radical Gastrectomy for Gastric Cancer: Analysis from a Large-Scale Cohort. Medicine 2016, 95, e3164. [Google Scholar] [CrossRef]
- Zhang, G.; Jiao, Q.; Shen, C.; Song, H.; Zhang, H.; Qiu, Z.; Luo, Q. Interleukin 6 regulates the expression of programmed cell death ligand 1 in thyroid cancer. Cancer Sci. 2021, 112, 997–1010. [Google Scholar] [CrossRef]
- Shi, R.-L.; Qu, N.; Luo, T.-X.; Xiang, J.; Liao, T.; Sun, G.-H.; Wang, Y.; Huang, C.-P.; Ji, Q.-H.; Wang, Y.-L. Programmed Death-Ligand 1 Expression in Papillary Thyroid Cancer and Its Correlation with Clinicopathologic Factors and Recurrence. Thyroid 2017, 27, 537–545. [Google Scholar] [CrossRef]
- Guo, Y.; Xu, F.; Lu, T.; Duan, Z.; Zhang, Z. Interleukin-6 signaling pathway in targeted therapy for cancer. Cancer Treat. Rev. 2012, 38, 904–910. [Google Scholar] [CrossRef]
- Tanaka, T.; Narazaki, M.; Kishimoto, T. Interleukin (IL-6) Immunotherapy. Cold Spring Harb. Perspect. Biol. 2018, 10, a028456. [Google Scholar] [CrossRef]
- Reisinger, K.W.; Derikx, J.P.; van Vugt, J.L.; Von Meyenfeldt, M.F.; Hulsewé, K.W.; Damink, S.O.; Stoot, J.H.; Poeze, M. Sarcopenia is associated with an increased inflammatory response to surgery in colorectal cancer. Clin. Nutr. 2016, 35, 924–927. [Google Scholar] [CrossRef]
- Rong, Y.D.; Bian, A.L.; Hu, H.Y.; Ma, Y.; Zhou, X.Z. Study on relationship between elderly sarcopenia and inflammatory cytokine IL-6, anti-inflammatory cytokine IL-10. BMC Geriatr. 2018, 18, 308. [Google Scholar] [CrossRef] [PubMed] [Green Version]
- Arends, J.; Baracos, V.; Bertz, H.; Bozzetti, F.; Calder, P.C.; Deutz, N.E.P.; Erickson, N.; Laviano, A.; Lisanti, M.P.; Lobo, D.N.; et al. ESPEN expert group recommendations for action against cancer-related malnutrition. Clin. Nutr. 2017, 36, 1187–1196. [Google Scholar] [CrossRef] [PubMed] [Green Version]
- Trinchieri, G. Interleukin-12: A proinflammatory cytokine with immunoregulatory functions that bridge innate resistance and antigen-specific adaptive immunity. Annu. Rev. Immunol. 1995, 13, 251–276. [Google Scholar] [CrossRef] [PubMed]
- Romanazzo, S.; Forte, G.; Morishima, K.; Taniguchi, A. IL-12 involvement in myogenic differentiation of C2C12 in vitro. Biomater. Sci. 2015, 3, 469–479. [Google Scholar] [CrossRef]
- Chen, Y.Y.; Kao, T.W.; Chiu, Y.L.; Peng, T.C.; Yang, H.F.; Chen, W.L. Association Between Interleukin-12 and Sarcopenia. J. Inflamm. Res. 2021, 14, 2019–2029. [Google Scholar] [CrossRef]
- Hou, Y.C.; Wang, C.J.; Chao, Y.J.; Chen, H.Y.; Wang, H.C.; Tung, H.L.; Lin, J.-T.; Shan, Y.-S. Elevated Serum Interleukin-8 Level Correlates with Cancer-Related Cachexia and Sarcopenia: An Indicator for Pancreatic Cancer Outcomes. J. Clin. Med. 2018, 7, 502. [Google Scholar] [CrossRef] [Green Version]
- Hu, W.-H.; Chang, C.-D.; Liu, T.-T.; Chen, H.-H.; Hsiao, C.-C.; Kang, H.-Y.; Chuang, J.-H. Association of sarcopenia and expression of interleukin-23 in colorectal cancer survival. Clin. Nutr. 2021, 40, 5322–5326. [Google Scholar] [CrossRef]
- Bano, G.; Trevisan, C.; Carraro, S.; Solmi, M.; Luchini, C.; Stubbs, B.; Manzato, E.; Sergi, G.; Veronese, N. Inflammation and sarcopenia: A systematic review and meta-analysis. Maturitas 2017, 96, 10–15. [Google Scholar] [CrossRef]
- Ba, M.I.H.; Ba, D.J.M.; Patil, D.H.; Nabavizadeh, R.; Steele, S.; Williams, M.; Joshi, S.S.; Narayan, V.M.; Sekhar, A.; Psutka, S.P.; et al. Sarcopenia and modified Glasgow Prognostic Score predict postsurgical outcomes in localized renal cell carcinoma. Cancer 2021, 127, 1974–1983. [Google Scholar]
- Feliciano, E.M.C.; Kroenke, C.H.; Meyerhardt, J.A.; Prado, C.M.; Bradshaw, P.T.; Kwan, M.L.; Xiao, J.; Alexeeff, S.; Corley, D.; Weltzien, E.; et al. Association of Systemic Inflammation and Sarcopenia With Survival in Nonmetastatic Colorectal Cancer: Results From the C SCANS Study. JAMA Oncol. 2017, 3, e172319. [Google Scholar] [CrossRef]
- Go, S.-I.; Park, M.J.; Song, H.-N.; Kang, M.H.; Park, H.J.; Jeon, K.N.; Kim, S.-H.; Kim, M.J.; Kang, J.-H.; Lee, G.-W. Sarcopenia and inflammation are independent predictors of survival in male patients newly diagnosed with small cell lung cancer. Support. Care Cancer 2016, 24, 2075–2084. [Google Scholar] [CrossRef] [PubMed]
- Cho, Y.; Kim, J.W.; Keum, K.C.; Lee, C.G.; Jeung, H.C.; Lee, I.J. Prognostic Significance of Sarcopenia With Inflammation in Patients With Head and Neck Cancer Who Underwent Definitive Chemoradiotherapy. Front. Oncol. 2018, 8, 457. [Google Scholar] [CrossRef] [PubMed] [Green Version]
- Lee, B.M.; Cho, Y.; Kim, J.W.; Jeung, H.C.; Lee, I.J. Prognostic Significance of Sarcopenia in Advanced Biliary Tract Cancer Patients. Front. Oncol. 2020, 10, 1581. [Google Scholar] [CrossRef] [PubMed]
- Shigeto, K.; Kawaguchi, T.; Koya, S.; Hirota, K.; Tanaka, T.; Nagasu, S.; Fukahori, M.; Ushijima, T.; Matsuse, H.; Miwa, K.; et al. Profiles Combining Muscle Atrophy and Neutrophil-to-Lymphocyte Ratio Are Associated with Prognosis of Patients with Stage IV Gastric Cancer. Nutrients 2020, 12, 1884. [Google Scholar] [CrossRef] [PubMed]
- Zeng, X.; Shi, Z.; Yu, J.; Wang, L.; Luo, Y.; Jin, S.; Zhang, L.; Tan, W.; Shi, P.; Yu, H.; et al. Sarcopenia as a prognostic predictor of liver cirrhosis: A multicentre study in China. J. Cachexia Sarcopenia Muscle 2021, 12, 1948–1958. [Google Scholar] [CrossRef] [PubMed]


| Clinicopathological Features | All Cases | Sarcopenia | Non-Sarcopenia | p Value |
|---|---|---|---|---|
| (n = 225) | (n = 107) | (n = 118) | ||
| Age | 0.006 | |||
| <65.0 | 537 (66.2) | 170 (44.6) | 269 (62.5) | |
| ≥65.0 | 275 (43.8) | 212 (55.4) | 161 (37.5) | |
| Gender | 0.726 | |||
| Male | 184 (81.8) | 88 (82.3) | 96 (81.3) | |
| Female | 41 (18.2) | 19 (17.7) | 22 (18.7) | |
| BMI (kg/m2) | <0.001 | |||
| <18.5 | 16 (7.1) | 13 (12.5) | 3 (2.5) | |
| ≥18.5 | 209 (92.9) | 94 (87.5) | 115 (97.5) | |
| ASA score | 0.565 | |||
| 1 | 17 (7.6) | 7 (6.5) | 10 (8.5) | |
| 2 | 183 (81.4) | 87 (81.3) | 96 (81.3) | |
| 3 | 25 (11.0) | 13 (12.2) | 12 (10.2) | |
| Tumor size (cm, median) | 4.3 | 4.6 | 4.4 | 0.16 |
| Vascular invasion | 0.731 | |||
| Negative | 140 (62.4) | 65 (60.7) | 75 (63.7) | |
| Positive | 85 (37.6) | 42 (39.3) | 43 (36.3) | |
| Perineural invasion | 0.453 | |||
| Negative | 123 (54.8) | 56 (52.1) | 67 (57.3) | |
| Positive | 102 (45.2) | 51 (47.9) | 51 (42.4) | |
| Tumor location | 0.282 | |||
| Upper | 62 (27.5) | 27 (25.6) | 35 (29.5) | |
| Middle/Lower | 163 (72.5) | 80 (74.4) | 83 (70.5) | |
| Lauren Classification | 0.101 | |||
| Intestinal-type | 89 (39.5) | 38 (35.8) | 51 (43.2) | |
| Diffused-type | 77 (34.3) | 39 (36.9) | 38 (32.2) | |
| Mixed | 59 (26.2) | 30 (28.3) | 29 (24.6) | |
| Serum albumin (g/dL) | 0.02 | |||
| ≥3.5 | 163 (72.6) | 71 (66.3) | 92 (78.2) | |
| <3.5 | 62 (27.4) | 36 (33.6) | 26 (21.8) | |
| pTNM stage | 0.019 | |||
| I | 47 (20.9) | 14 (13.1) | 33 (27.9) | |
| II | 61 (27.1) | 31(29.0) | 30 (25.4) | |
| III | 117 (52.0) | 62 (57.9) | 45 (38.1) | |
| L3 SMI (cm2/m2), median | 38.8 | 32.3 | 44.2 | <0.001 |
| Interleukin-16 expression | 0.003 | |||
| Low | 132 (58.6) | 48 (44.3) | 74 (62.7) | |
| high | 93 (41.4) | 59 (55.7) | 44 (37.3) |
| Variables | HR (95% CI) | |
|---|---|---|
| Overall Survival | Relapse-Free Survival | |
| Sarcopenia Without With | 1.64 (1.25, 2.23) | Reference 1.43 (1.15, 2.95) |
| Interleukin-16 expression low high | Reference 1.79 (1.16, 2.78) | Reference 1.60 (1.10, 2.37) |
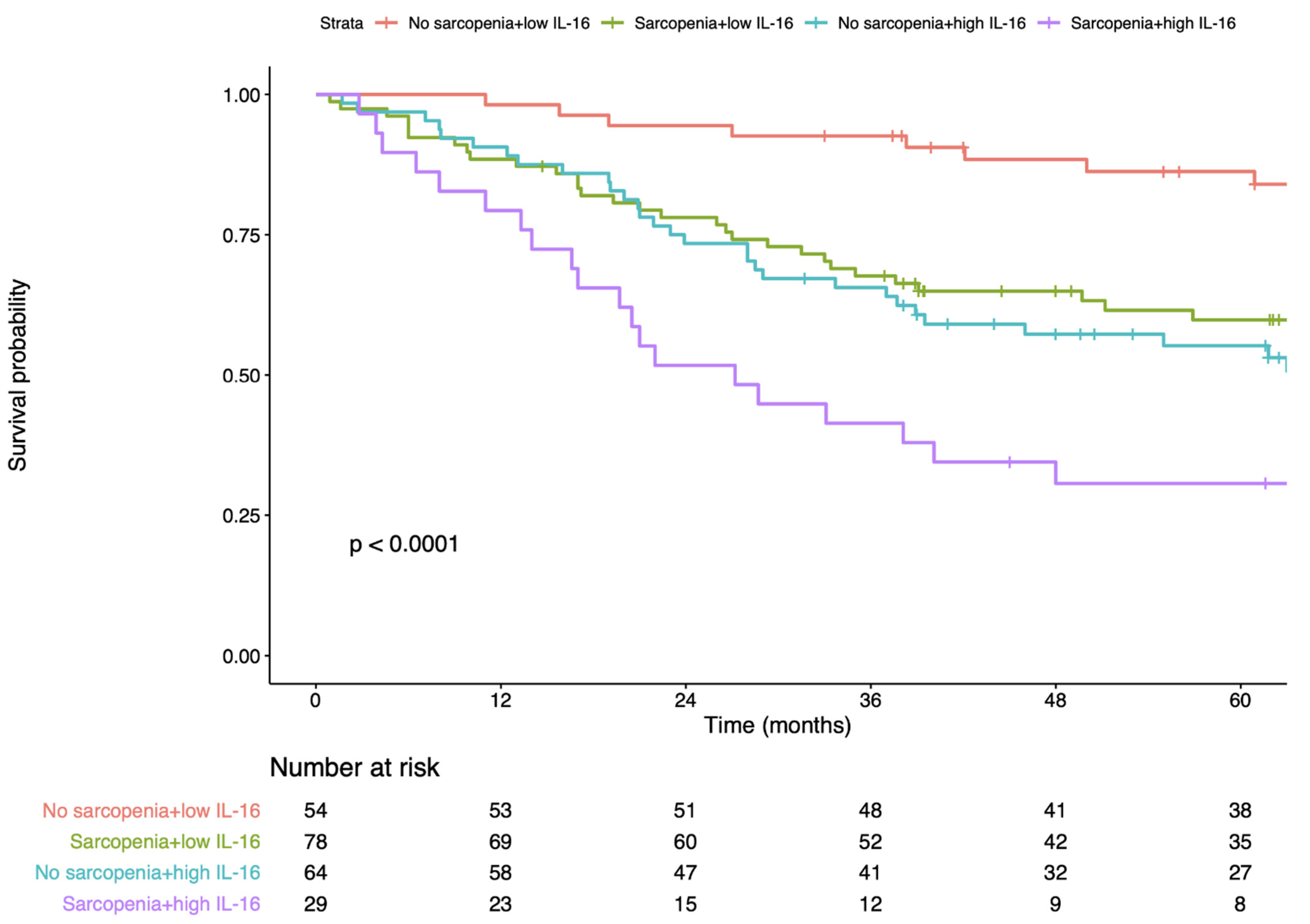
| High interleukin-16 expression and sarcopenia Neither Both | Reference 3.02 (1.64, 5.91) | Reference 2.34 (1.47, 4.69) |
| Stratification Variable | HR (95% CI) | |
|---|---|---|
| Overall Survival | Relapse-Free Survival | |
| Age | ||
| <65.0 | 2.37 (1.48, 7.04) | 1.82 (1.25, 5.73) |
| ≥65.0 | 3.41 (1.55, 7.23) | 2.76 (1.40, 5.91) |
| Gender | ||
| Male | 2.83 (1.50, 6.37) | 2.25 (1.31, 5.08) |
| Female | 3.19 (1.61, 7.14) | 2.59 (1.41, 5.95) |
| BMI (kg/m2) | ||
| <18.5 | 2.12 (0.81, 8.75) | 1.63 (0.76, 4.42) |
| ≥18.5 | 3.38 (1.45, 7.90) | 2.94 (1.26, 5.71) |
| pTNM stage | ||
| I | 1.65 (1.17, 9.82) | 1.48 (1.12, 6.19) |
| II | 2.79 (1.35, 8.73) | 2.06 (1.34, 5.07) |
| III | 3.47 (2.31, 8.41) | 2.72 (1.24, 5.21) |
Publisher’s Note: MDPI stays neutral with regard to jurisdictional claims in published maps and institutional affiliations. |
© 2022 by the authors. Licensee MDPI, Basel, Switzerland. This article is an open access article distributed under the terms and conditions of the Creative Commons Attribution (CC BY) license (https://creativecommons.org/licenses/by/4.0/).
Share and Cite
Xiong, J.; Hu, H.; Kang, W.; Shao, X.; Li, Y.; Jin, P.; Tian, Y. Association of Sarcopenia and Expression of Interleukin-16 in Gastric Cancer Survival. Nutrients 2022, 14, 838. https://doi.org/10.3390/nu14040838
Xiong J, Hu H, Kang W, Shao X, Li Y, Jin P, Tian Y. Association of Sarcopenia and Expression of Interleukin-16 in Gastric Cancer Survival. Nutrients. 2022; 14(4):838. https://doi.org/10.3390/nu14040838
Chicago/Turabian StyleXiong, Jianping, Haitao Hu, Wenzhe Kang, Xinxin Shao, Yang Li, Peng Jin, and Yantao Tian. 2022. "Association of Sarcopenia and Expression of Interleukin-16 in Gastric Cancer Survival" Nutrients 14, no. 4: 838. https://doi.org/10.3390/nu14040838
APA StyleXiong, J., Hu, H., Kang, W., Shao, X., Li, Y., Jin, P., & Tian, Y. (2022). Association of Sarcopenia and Expression of Interleukin-16 in Gastric Cancer Survival. Nutrients, 14(4), 838. https://doi.org/10.3390/nu14040838

