Metabolically Healthy Obesity and Carotid Plaque among Steelworkers in North China: The Role of Inflammation
Abstract
1. Introduction
2. Materials and Methods
2.1. Study Design and Population
2.2. Definitions
2.3. Evaluation of Covariates
2.4. Statistical Analysis
3. Results
3.1. General Characteristics of the Participants
3.2. Carotid Plaque Risk in Obesity Phenotypes and Metabolic Status
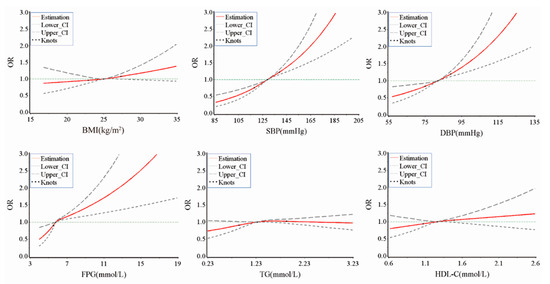
3.3. Sensitivity Analyses
4. Discussion
5. Conclusions
Supplementary Materials
Author Contributions
Funding
Institutional Review Board Statement
Informed Consent Statement
Data Availability Statement
Acknowledgments
Conflicts of Interest
References
- WHO. Cardiovascular Diseases (CVDs). Available online: https://www.who.int/news-room/fact-sheets/detail/cardiovascular-diseases-(cvds)/ (accessed on 24 November 2022).
- Institute for Health Metrics and Evaluation (IHME). Available online: https://vizhub.healthdata.org/gbdresults/ (accessed on 24 November 2022).
- Zhang, X.; Wang, H.; Zhu, X.; Liu, Y.; Wang, L.; Dai, Q.; Cai, N.; Wu, T.; Chen, W. Cohort mortality study in three ceramic factories in Jingdezhen in China. J. Huazhong Univ. Sci. Technol. Med. Sci. 2008, 28, 386–390. [Google Scholar] [CrossRef] [PubMed]
- Wang, L.; Zhang, S.; Yu, M.; Yuan, J. Association between insomnia and subclinical atherosclerosis among Chinese steelworkers: A cross-sectional survey. Arch. Public Health 2022, 80, 80. [Google Scholar] [CrossRef] [PubMed]
- Song, P.; Fang, Z.; Wang, H.; Cai, Y.; Rahimi, K.; Zhu, Y.; Fowkes, F.G.R.; Fowkes, F.J.I.; Rudan, I. Global and regional prevalence, burden, and risk factors for carotid atherosclerosis: A systematic review, meta-analysis, and modelling study. Lancet Glob. Health 2020, 8, e721–e729. [Google Scholar] [CrossRef] [PubMed]
- Saunders, C.; Brown, J.J.; Carter, D.J.; Lapkin, S. Chronic disease management support in Australian workplaces-low base, rising need. Health Promot. J. Austr. 2018, 29, 257–264. [Google Scholar] [CrossRef]
- Greenland, P.; Alpert, J.S.; Beller, G.A.; Benjamin, E.J.; Budoff, M.J.; Fayad, Z.A.; Foster, E.; Hlatky, M.A.; Hodgson, J.M.; Kushner, F.G.; et al. 2010 ACCF/AHA guideline for assessment of cardiovascular risk in asymptomatic adults: Executive summary: A report of the American College of Cardiology Foundation/American Heart Association Task Force on Practice Guidelines. Circulation 2010, 122, 2748–2764. [Google Scholar]
- Collaborators, G.O.; Afshin, A.; Forouzanfar, M.H.; Reitsma, M.B.; Sur, P.; Estep, K.; Lee, A.; Marczak, L.; Mokdad, A.H.; Moradi-Lakeh, M.; et al. Health Effects of Overweight and Obesity in 195 Countries over 25 Years. N. Engl. J. Med. 2017, 377, 13–27. [Google Scholar] [CrossRef]
- Wang, Y.; Xue, H.; Sun, M.; Zhu, X.; Zhao, L.; Yang, Y. Prevention and control of obesity in China. Lancet Glob. Health 2019, 7, e1166–e1167. [Google Scholar] [CrossRef]
- Gray, B.J.; Bracken, R.M.; Thomas, M.; Williams, S.P.; Williams, M.; Rice, S.; Stephens, J.W.; Group, P.S.G. ‘Prosiect Sir Gâr’: Workplace-based cardiovascular disease and diabetes risk assessments. Occup. Med. 2014, 64, 549–556. [Google Scholar] [CrossRef]
- Zhang, W.-S.; Jiang, C.-Q.; Lam, T.; Liu, W.-W.; Ho, S.; He, J.-M.; Cao, M.; Chen, Q. A cohort study on the relationship between blood pressure levels and the mortality of cerebro-cardiovascular diseases in Guangzhou workers. Chin. J. Ind. Hyg. Occup. 2003, 21, 33–36. [Google Scholar]
- National Cholesterol Education Program (NCEP) Expert Panel on Detection, Evaluation, and Treatment of High Blood Cholesterol in Adults (Adult Treatment Panel III). Third Report of the National Cholesterol Education Program (NCEP) Expert Panel on Detection, Evaluation, and Treatment of High Blood Cholesterol in Adults (Adult Treatment Panel III) final report. Circulation 2002, 106, 3143–3421. [Google Scholar] [CrossRef]
- McGill, H.C.; McMahan, C.A.; Herderick, E.E.; Zieske, A.W.; Malcom, G.T.; Tracy, R.E.; Strong, J.P.; Group PDoAiYR. Obesity accelerates the progression of coronary atherosclerosis in young men. Circulation 2002, 105, 2712–2718. [Google Scholar] [CrossRef] [PubMed]
- Blüher, M. Metabolically Healthy Obesity. Endocr. Rev. 2020, 41, 405–420. [Google Scholar] [CrossRef] [PubMed]
- Schweitzer, M.L.; Stengel, B.; Legrand, K.; Briançon, S.; Jacquelinet, C.; Combe, C.; Fouque, D.; Massy, Z.A.; Laville, M.; Frimat, L.; et al. Obesity phenotype and patient-reported outcomes in moderate and severe chronic kidney disease: A cross-sectional study from the CKD-REIN cohort study. Qual. Life Res. 2019, 28, 1873–1883. [Google Scholar] [CrossRef] [PubMed]
- Cao, Z.K.; Huang, Y.; Yu, H.J.; Yuan, S.; Tang, B.W.; Li, Q.X.; Li, X.T.; Yang, X.H.; He, Q.Q. Association between obesity phenotypes and incident hypertension among Chinese adults: A prospective cohort study. Public Health 2017, 149, 65–70. [Google Scholar] [CrossRef]
- Ahmad, M.I.; Mongraw-Chaffin, M.; Lewis, K.H.; Chen, H.; Ard, J.D.; Soliman, E.Z. Association of Obesity Phenotypes with Electrocardiographic Markers of Poor Outcomes in the General Population. Obesity 2019, 27, 2076–2083. [Google Scholar] [CrossRef]
- Itoh, H.; Kaneko, H.; Kiriyama, H.; Yoshida, Y.; Nakanishi, K.; Mizuno, Y.; Daimon, M.; Morita, H.; Yatomi, Y.; Yamamichi, N.; et al. Effect of Metabolically Healthy Obesity on the Development of Carotid Plaque in the General Population: A Community-Based Cohort Study. J. Atheroscler. Thromb. 2020, 27, 155–163. [Google Scholar] [CrossRef]
- Kim, H.-N.; Kim, S.-H.; Eun, Y.-M.; Song, S.-W. Obesity with metabolic abnormality is associated with the presence of carotid atherosclerosis in Korean men: A cross-sectional study. Diabetol. Metab. Syndr. 2015, 7, 68. [Google Scholar] [CrossRef]
- Seo, D.H.; Cho, Y.; Seo, S.; Ahn, S.H.; Hong, S.; Ha, K.H.; Shim, J.-S.; Kim, H.C.; Kim, D.J.; Kim, S.H. Association between Metabolically Healthy Obesity and Subclinical Atherosclerosis in the Cardiovascular and Metabolic Diseases Etiology Research Center (CMERC) Cohort. J. Clin. Med. 2022, 11, 2440. [Google Scholar] [CrossRef]
- Gregor, M.F.; Hotamisligil, G.S. Inflammatory mechanisms in obesity. Annu. Rev. Immunol. 2011, 29, 415–445. [Google Scholar] [CrossRef]
- Hamjane, N.; Benyahya, F.; Nourouti, N.G.; Mechita, M.B.; Barakat, A. Cardiovascular diseases and metabolic abnormalities associated with obesity: What is the role of inflammatory responses? A systematic review. Microvasc. Res. 2020, 131, 104023. [Google Scholar] [CrossRef]
- Lombardo, A.; Biasucci, L.M.; Lanza, G.A.; Coli, S.; Silvestri, P.; Cianflone, D.; Liuzzo, G.; Burzotta, F.; Crea, F.; Maseri, A. Inflammation as a possible link between coronary and carotid plaque instability. Circulation 2004, 109, 3158–3163. [Google Scholar] [CrossRef] [PubMed]
- Duivenvoorden, R.; Mani, V.; Woodward, M.; Kallend, D.; Suchankova, G.; Fuster, V.; Rudd, J.H.F.; Tawakol, A.; Farkouh, M.E.; Fayad, Z.A. Relationship of serum inflammatory biomarkers with plaque inflammation assessed by FDG PET/CT: The dal-PLAQUE study. JACC Cardiovasc. Imaging 2013, 6, 1087–1094. [Google Scholar] [CrossRef] [PubMed]
- Yu, M.; Zhang, S.; Wang, L.; Feng, H.; Li, X.; Wu, J.; Yuan, J. Association of Metabolically Healthy Obesity and Glomerular Filtration Rate among Male Steelworkers in North China. Int. J. Environ. Res. Public Health 2022, 19, 11764. [Google Scholar] [CrossRef] [PubMed]
- World Health Organization; Regional Office for the Western Pacific. The Asia-Pacific Perspective: Redefining Obesity and Its Treatment. Sydney: Health Communications Australia. 2000. Available online: https://apps.who.int/iris/handle/10665/206936 (accessed on 24 November 2022).
- Wen, C.P.; Cheng, T.Y.D.; Tsai, S.P.; Chan, H.T.; Hsu, H.L.; Hsu, C.C.; Eriksen, M.P. Are Asians at greater mortality risks for being overweight than Caucasians? Redefining obesity for Asians. Public Health Nutr. 2009, 12, 497–506. [Google Scholar] [CrossRef] [PubMed]
- Jung, C.H.; Lee, M.J.; Kang, Y.M.; Jang, J.E.; Leem, J.; Hwang, J.Y.; Kim, E.H.; Park, J.-Y.; Kim, H.-K.; Lee, W.J. The risk of incident type 2 diabetes in a Korean metabolically healthy obese population: The role of systemic inflammation. J. Clin. Endocrinol. Metab. 2015, 100, 934–941. [Google Scholar] [CrossRef]
- Kim, S.; Chang, Y.; Yun, K.E.; Jung, H.-S.; Kim, I.; Hyun, Y.Y.; Lee, K.-B.; Joo, K.J.; Park, H.J.; Shin, H.; et al. Metabolically healthy and unhealthy obesity phenotypes and risk of renal stone: A cohort study. Int. J. Obes. 2019, 43, 852–861. [Google Scholar] [CrossRef]
- Touboul, P.-J.; Hennerici, M.G.; Meairs, S.; Adams, H.; Amarenco, P.; Bornstein, N.; Csiba, L.; Desvarieux, M.; Ebrahim, S.; Hernandez, R.H.; et al. Mannheim carotid intima-media thickness and plaque consensus (2004-2006-2011). An update on behalf of the advisory board of the 3rd, 4th and 5th watching the risk symposia, at the 13th, 15th and 20th European Stroke Conferences, Mannheim, Germany, 2004, Brussels, Belgium, 2006, and Hamburg, Germany, 2011. Cerebrovasc. Dis. 2012, 34, 290–296. [Google Scholar]
- Wang, L.; Zhang, S.; Yu, M.; Yuan, J. Association between rotating night shift work and carotid atherosclerosis among Chinese steelworkers: A cross-sectional survey. Hypertens. Res. 2022, 45, 686–697. [Google Scholar] [CrossRef]
- Liu, C.; Wang, C.; Guan, S.; Liu, H.; Wu, X.; Zhang, Z.; Gu, X.; Zhang, Y.; Zhao, Y.; Tse, L.A.; et al. The Prevalence of Metabolically Healthy and Unhealthy Obesity according to Different Criteria. Obes. Facts 2019, 12, 78–90. [Google Scholar] [CrossRef]
- Karelis, A.D.; St-Pierre, D.H.; Conus, F.; Rabasa-Lhoret, R.; Poehlman, E.T. Metabolic and body composition factors in subgroups of obesity: What do we know? J. Clin. Endocrinol. Metab. 2004, 89, 2569–2575. [Google Scholar] [CrossRef]
- Vecchié, A.; Dallegri, F.; Carbone, F.; Bonaventura, A.; Liberale, L.; Portincasa, P.; Frühbeck, G.; Montecucco, F. Obesity phenotypes and their paradoxical association with cardiovascular diseases. Eur. J. Intern. Med. 2018, 48, 6–17. [Google Scholar] [CrossRef] [PubMed]
- Chen, Y.; Xiong, H.; Wu, D.; Pirbhulal, S.; Tian, X.; Zhang, R.; Lu, M.; Wu, W.; Huang, W. Relationship of short-term blood pressure variability with carotid intima-media thickness in hypertensive patients. Biomed. Eng. Online 2015, 14, 71. [Google Scholar] [CrossRef] [PubMed]
- Williams, B.; Mancia, G.; Spiering, W.; Rosei, E.A.; Azizi, M.; Burnier, M.; Clement, D.L.; Coca, A.; de Simone, G.; Dominiczak, A.; et al. 2018 ESC/ESH Guidelines for the management of arterial hypertension. Rev. Esp. Cardiol. 2019, 72, 160. [Google Scholar]
- Liu L, S. 2018 Chinese Guidelines for Prevention and Treatment of Hypertension-A report of the Revision Committee of Chinese Guidelines for Prevention and Treatment of Hypertension. J. Geriatr. Cardiol. 2019, 16, 182–241. [Google Scholar]
- Clarke, R.; Du, H.; Kurmi, O.; Parish, S.; Yang, M.; Arnold, M.; Guo, Y.; Bian, Z.; Wang, L.; Chen, Y.; et al. Burden of carotid artery atherosclerosis in Chinese adults: Implications for future risk of cardiovascular diseases. Eur. J. Prev. Cardiol. 2017, 24, 647–656. [Google Scholar] [CrossRef] [PubMed]
- Eelen, G.; Zeeuw Pd Treps, L.; Harjes, U.; Wong, B.W.; Carmeliet, P. Endothelial Cell Metabolism. Physiol. Rev. 2018, 98, 3–58. [Google Scholar] [CrossRef] [PubMed]
- Brownlee, M.; Hirsch, I.B. Glycemic variability: A hemoglobin A1c-independent risk factor for diabetic complications. JAMA 2006, 295, 1707–1708. [Google Scholar] [CrossRef]
- Ihnat, M.A.; Thorpe, J.E.; Kamat, C.D.; Szabó, C.; Green, D.E.; Warnke, L.A.; Lacza, Z.; Cselenyák, A.; Ross, K.; Shakir, S.; et al. Reactive oxygen species mediate a cellular ‘memory’ of high glucose stress signalling. Diabetologia 2007, 50, 1523–1531. [Google Scholar] [CrossRef]
- Esposito, K.; Nappo, F.; Marfella, R.; Giugliano, G.; Giugliano, F.; Ciotola, M.; Quagliaro, L.; Ceriello, A.; Giugliano, D. Inflammatory cytokine concentrations are acutely increased by hyperglycemia in humans: Role of oxidative stress. Circulation 2002, 106, 2067–2072. [Google Scholar] [CrossRef] [PubMed]
- Appleton, S.L.; Seaborn, C.J.; Visvanathan, R.; Hill, C.L.; Gill, T.K.; Taylor, A.W.; Adams, R.J.; Team NWAHS. Diabetes and cardiovascular disease outcomes in the metabolically healthy obese phenotype: A cohort study. Diabetes Care 2013, 36, 2388–2394. [Google Scholar] [CrossRef]


| Variables | Overall | Without Plaque | With Plaque | p Value |
|---|---|---|---|---|
| n = 3467 | n = 2423 | n = 1044 | ||
| Age (years), n (%) | <0.001 | |||
| 22–39 | 726 (20.9) | 654 (27.0) | 72 (6.9) | |
| 40–49 | 1425 (41.1) | 1056 (43.6) | 369 (35.3) | |
| 50–60 | 1316 (38.0) | 713 (29.4) | 603 (57.8) | |
| Education level, n (%) | <0.001 | |||
| Primary or Middle | 1021 (29.5) | 598 (24.7) | 423 (40.5) | |
| High school or college | 1827 (52.7) | 1308 (54.0) | 519 (49.17) | |
| University and above | 619 (17.9) | 517 (21.3) | 102 (9.8) | |
| BMI (kg/m2) | 0.120 | |||
| <25 | 1738 (50.1) | 1236 (51.0) | 502 (48.1) | |
| ≥25 | 1729 (49.9) | 1187 (49.0) | 542 (51.9) | |
| Diabetes status | <0.001 | |||
| No, n (%) | 3000 (86.5) | 2165 (89.4) | 835 (80.0) | |
| Yes, n (%) | 467 (13.5) | 258 (10.6) | 209 (20.0) | |
| Lifestyle factors | ||||
| Smoking status, n (%) | <0.001 | |||
| Never/Ever | 1665 (48.0) | 1240 (51.2) | 425 (40.7) | |
| Current | 1802 (52.0) | 1183 (48.8) | 619 (59.3) | |
| Drinking status, n (%) | <0.001 | |||
| Never/Ever | 2139 (61.7) | 1599 (66.0) | 540 (51.7) | |
| Current | 1328 (38.3) | 824 (34.0) | 504 (48.3) | |
| Physical activity, n (%) | 0.901 | |||
| Low/Moderate | 282 (8.2) | 198 (8.2) | 84 (8.0) | |
| High | 3185 (91.9) | 2225 (91.8) | 960 (92.0) | |
| DASH score, mean (SD) | 21.6 (2.4) | 21.6 (2.3) | 21.6 (2.5) | 0.793 |
| Blood pressure (mmHg) | ||||
| SBP, mean (SD) | 129.5 (16.5) | 127.1 (15.6) | 135.3 (17.2) | <0.001 |
| DBP, mean (SD) | 82.8 (10.6) | 81.5 (10.3) | 85.8 (10.8) | <0.001 |
| Age (years), mean (SD) | 46.0 (7.9) | 44.3 (8.0) | 49.9 (5.9) | <0.001 |
| BMI (kg/m2), mean (SD) | 25.2 (3.3) | 25.1 (3.3) | 25.4 (3.2) | 0.014 |
| Lipid profiles (mmol/L) | ||||
| TC, mean (SD) | 5.2 (1.0) | 5.0 (0.9) | 5.4 (1.0) | <0.001 |
| TG, median (IQR) | 1.3 (0.9–1.9) | 1.3 (0.9–1.10) | 1.4 (0.9–2.0) | 0.003 |
| HDL-C, mean (SD) | 1.3 (0.3) | 1.3 (0.3) | 1.4 (0.3) | 0.007 |
| LDL-C, mean (SD) | 3.3 (0.9) | 3.1 (0.8) | 3.5 (0.9) | <0.001 |
| FBG (mmol/L), mean (SD) | 6.1 (1.4) | 6.0 (1.2) | 6.4 (1.7) | <0.001 |
| hs-CRP (mg/dL), median (IQR) | 0.01 (0.00–0.07) | 0.01 (0.00–0.06) | 0.02 (0.00–0.10) | <0.001 |
| MHNO | MUNO | MHO | MUO | |
|---|---|---|---|---|
| Cases/number (%) | 48/336 (14.3) | 454/1402 (32.4) | 20/86 (18.9) | 522/1623 (46.8) |
| Model 1 | 1.00 | 2.87 (2.08 to 3.98) | 1.40 (0.79 to 2.48) | 2.85 (2.06 to 3.93) |
| Model 2 | 1.00 | 2.01 (1.43 to 2.82) | 1.28 (0.70 to 2.33) | 2.07 (1.47 to 2.90) |
| Model 3 | 1.00 | 1.94 (1.38 to 2.74) | 1.30 (0.71 to 2.39) | 2.02 (1.44 to 2.84) |
| Model 4 | 1.00 | 1.83 (1.29 to 2.58) | 1.27 (0.69 to 2.32) | 1.81 (1.28 to 2.56) |
| Model 1 | Model 2 | Model 3 | Model 4 | |
|---|---|---|---|---|
| BMI (kg/m2) | ||||
| <25 | 1.00 | 1.00 | 1.00 | 1.00 |
| ≥25 | 1.12 (0.97 to 1.30) | 1.11 (0.95 to 1.30) | 1.08 (0.93 to 1.30) | 1.05 (0.90 to 1.23) |
| Metabolic abnormality components | ||||
| BP | 2.29 (1.95 to 2.67) | 1.87 (1.59 to 2.21) | 1.76 (1.49 to 2.09) | 1.75 (1.48 to 2.07) |
| FBG | 1.87 (1.59 to 2.21) | 1.48 (1.24 to 1.77) | 1.37 (1.14 to 1.64) | 1.36 (1.13 to 1.63) |
| TG | 1.18 (1.02 to 1.38) | 1.15 (0.98 to 1.36) | 1.08 (0.91 to 1.27) | 1.06 (0.89 to 1.25) |
| HDL-C | 0.74 (0.61 to 0.91) | 0.85 (0.68 to 1.05) | 0.85 (0.68 to 1.05) | 0.83 (0.67 to 1.02) |
| Metabolic abnormality number | ||||
| 0 | 1.00 | 1.00 | 1.00 | 1.00 |
| 1 | 1.84 (1.37 to 2.47) | 1.49 (1.10 to 2.03) | 1.44 (1.06 to 1.97) | 1.43 (1.05 to 1.95) |
| 2 | 2.67 (2.01 to 3.56) | 1.92 (1.42 to 2.59) | 1.75 (1.29 to 2.37) | 1.72 (1.27 to 2.34) |
| 3 | 3.06 (2.26 to 4.15) | 2.21 (1.61 to 3.05) | 1.96 (1.41 to 2.71) | 1.91 (1.37 to 2.65) |
| 4 | 3.05 (2.26 to 4.53) | 2.38 (1.57 to 3.61) | 2.08 (1.37 to 3.17) | 2.02 (1.32 to 3.08) |
| hs-CRP (mg/dL) | Obesity Phenotype | Carotid Plaque | OR (95% CI) | |
|---|---|---|---|---|
| No, (n (%)) | Yes, (n (%)) | |||
| ≤0.01 | MHNO | 212 (8.6) | 31 (3.0) | 1.00 |
| ≤0.01 | MUNO | 596 (24.6) | 275 (26.3) | 2.17 (1.42 to 3.31) |
| ≤0.01 | MHO | 39 (1.6) | 12 (1.2) | 1.76 (0.80 to 3.88) |
| ≤0.01 | MUO | 454 (18.7) | 190 (18.2) | 1.87 (1.21 to 2.88) |
| >0.01 | MHNO | 76 (3.1) | 17 (1.6) | 1.60 (0.81 to 3.15) |
| >0.01 | MUNO | 352 (14.5) | 179 (17.2) | 2.09 (1.35 to 3.25) |
| >0.01 | MHO | 47 (1.9) | 8 (0.8) | 1.24 (0.52 to 3.00) |
| >0.01 | MUO | 647 (26.7) | 332 (31.7) | 2.41 (1.58 to 3.67) |
Publisher’s Note: MDPI stays neutral with regard to jurisdictional claims in published maps and institutional affiliations. |
© 2022 by the authors. Licensee MDPI, Basel, Switzerland. This article is an open access article distributed under the terms and conditions of the Creative Commons Attribution (CC BY) license (https://creativecommons.org/licenses/by/4.0/).
Share and Cite
Yu, M.; Zhang, S.; Wang, L.; Wu, J.; Li, X.; Yuan, J. Metabolically Healthy Obesity and Carotid Plaque among Steelworkers in North China: The Role of Inflammation. Nutrients 2022, 14, 5123. https://doi.org/10.3390/nu14235123
Yu M, Zhang S, Wang L, Wu J, Li X, Yuan J. Metabolically Healthy Obesity and Carotid Plaque among Steelworkers in North China: The Role of Inflammation. Nutrients. 2022; 14(23):5123. https://doi.org/10.3390/nu14235123
Chicago/Turabian StyleYu, Miao, Shengkui Zhang, Lihua Wang, Jianhui Wu, Xiaoming Li, and Juxiang Yuan. 2022. "Metabolically Healthy Obesity and Carotid Plaque among Steelworkers in North China: The Role of Inflammation" Nutrients 14, no. 23: 5123. https://doi.org/10.3390/nu14235123
APA StyleYu, M., Zhang, S., Wang, L., Wu, J., Li, X., & Yuan, J. (2022). Metabolically Healthy Obesity and Carotid Plaque among Steelworkers in North China: The Role of Inflammation. Nutrients, 14(23), 5123. https://doi.org/10.3390/nu14235123

