A New Index Based on Serum Creatinine and Cystatin C Can Predict the Risks of Sarcopenia, Falls and Fractures in Old Patients with Low Bone Mineral Density
Abstract
1. Introduction
2. Materials and Methods
2.1. Study Design and Participants
2.2. Follow-Up Method
2.3. Sarcopenia and Bone Mineral Density Assessments
2.4. Patients’ Information and Laboratory Tests
2.5. Statistical Methods
3. Results
3.1. Baseline Characteristics of Participants Based on the Presence or Absence of Sarcopenia
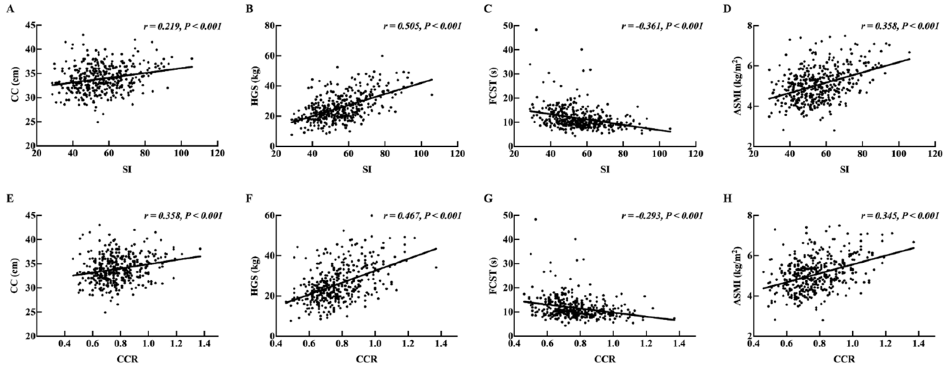
3.2. Associations of SI and CCR with CC, HGS, FCST, ASMI, and BMD
3.3. SI and CCR Were Independent Predictive Factors for Sarcopenia
3.4. Lower Serum SI and CCR Levels Were Both Independently Associated with the Occurrence of New Fall and New Fracture within One Year
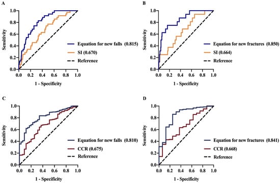
3.5. Diagnostic Value of SI, CCR, and Predictive Equations for New Fall and New Fracture within One Year
4. Discussion
Supplementary Materials
Author Contributions
Funding
Institutional Review Board Statement
Informed Consent Statement
Data Availability Statement
Conflicts of Interest
References
- Cummings, S.R.; Martin, J.S.; McClung, M.R.; Siris, E.S.; Eastell, R.; Reid, I.R.; Delmas, P.; Zoog, H.B.; Austin, M.; Wang, A.; et al. Denosumab for Prevention of Fractures in Postmenopausal Women with Osteoporosis. N. Engl. J. Med. 2009, 361, 756–765. [Google Scholar] [CrossRef]
- Lyles, K.W.; Colón-Emeric, C.S.; Magaziner, J.S.; Adachi, J.D.; Pieper, C.F.; Mautalen, C.; Hyldstrup, L.; Recknor, C.; Nordsletten, L.; Moore, K.A.; et al. Zoledronic Acid and Clinical Fractures and Mortality after Hip Fracture. N. Engl. J. Med. 2007, 357, 1799–1809. [Google Scholar] [CrossRef] [PubMed]
- Huo, Y.R.; Suriyaarachchi, P.; Gomez, F.; Curcio, C.L.; Boersma, D.; Muir, S.W.; Montero-Odasso, M.; Gunawardene, P.; Demontiero, O.; Duque, G. Phenotype of Osteosarcopenia in Older Individuals with a History of Falling. J. Am. Med. Dir. Assoc. 2015, 16, 290–295. [Google Scholar] [CrossRef]
- Reiss, J.; Iglseder, B.; Alzner, R.; Mayr-Pirker, B.; Pirich, C.; Kässmann, H.; Kreutzer, M.; Dovjak, P.; Reiter, R. Sarcopenia and Osteoporosis Are Interrelated in Geriatric Inpatients. Z. Für Gerontol. Geriatr. 2019, 52, 688–693. [Google Scholar] [CrossRef] [PubMed]
- Lin, X.; Xiong, D.; Peng, Y.-Q.; Sheng, Z.-F.; Wu, X.-Y.; Wu, X.-P.; Wu, F.; Yuan, L.-Q.; Liao, E.-Y. Epidemiology and Management of Osteoporosis in the People’s Republic of China: Current Perspectives. Clin. Interv. Aging 2015, 10, 1017–1033. [Google Scholar] [PubMed]
- Chen, Z.; Li, W.-Y.; Ho, M.; Chau, P.-H. The Prevalence of Sarcopenia in Chinese Older Adults: Meta-Analysis and Meta-Regression. Nutrients 2021, 13, 1441. [Google Scholar] [CrossRef]
- Heymsfield, S.B.; Arteaga, C.; McManus, C.; Smith, J.; Moffitt, S. Measurement of Muscle Mass in Humans: Validity of the 24-Hour Urinary Creatinine Method. Am. J. Clin. Nutr. 1983, 37, 478–494. [Google Scholar] [CrossRef] [PubMed]
- Kim, K.M.; Lim, J.S.; Kim, K.J.; Choi, H.S.; Rhee, Y.; Oh, H.J.; Choi, H.; Choi, W.H.; Kim, J.G.; Lim, S.-K. Dissimilarity of Femur Aging in Men and Women from a Nationwide Survey in Korea (KNHANES IV). J Bone Min. Metab 2013, 31, 144–152. [Google Scholar] [CrossRef]
- Rule, A.D.; Lieske, J.C. Cystatin C Is More than GFR, and This May Be a Good Thing. J. Am. Soc. Nephrol. 2011, 22, 795–797. [Google Scholar] [CrossRef]
- Randers, E.; Erlandsen, E.J. Serum Cystatin C as an Endogenous Marker of the Renal Function—A Review. cclm 1999, 37, 389–395. [Google Scholar] [CrossRef] [PubMed]
- Stam, S.P.; Eisenga, M.F.; Gomes-Neto, A.W.; Londen, M.; Meijer, V.E.; Beek, A.P.; Gansevoort, R.T.; Bakker, S.J.L. Muscle Mass Determined from Urinary Creatinine Excretion Rate, and Muscle Performance in Renal Transplant Recipients. J. Cachexia Sarcopenia Muscle 2019, 10, 621–629. [Google Scholar] [CrossRef] [PubMed]
- Lin, Y.-L.; Wang, C.-H.; Chang, I.-C.; Hsu, B.-G. A Novel Application of Serum Creatinine and Cystatin C to Predict Sarcopenia in Advanced CKD. Front. Nutr. 2022, 9, 828880. [Google Scholar] [CrossRef] [PubMed]
- Lamb, S.E.; Jørstad-Stein, E.C.; Hauer, K.; Becker, C.; on behalf of the Prevention of Falls Network Europe and Outcomes Consensus Group. Development of a Common Outcome Data Set for Fall Injury Prevention Trials: The Prevention of Falls Network Europe Consensus: PROFANE COMMON OUTCOME DATA SET. J. Am. Geriatr. Soc. 2005, 53, 1618–1622. [Google Scholar] [CrossRef] [PubMed]
- Melton, L.J.; Thamer, M.; Ray, N.F.; Chan, J.K.; Chesnut, C.H.; Einhorn, T.A.; Johnston, C.C.; Raisz, L.G.; Silverman, S.L.; Siris, E.S. Fractures Attributable to Osteoporosis: Report from the National Osteoporosis Foundation. J. Bone Miner. Res. 1997, 12, 16–23. [Google Scholar] [CrossRef]
- Chen, L.-K.; Woo, J.; Assantachai, P.; Auyeung, T.-W.; Chou, M.-Y.; Iijima, K.; Jang, H.C.; Kang, L.; Kim, M.; Kim, S.; et al. Asian Working Group for Sarcopenia: 2019 Consensus Update on Sarcopenia Diagnosis and Treatment. J. Am. Med. Dir. Assoc. 2020, 21, 300–307.e2. [Google Scholar] [CrossRef]
- Prevention and Management of Osteoporosis. World Health Organ. Tech. Rep. Ser. 2003, 921, 1–164, back cover.
- Zhang, M.; Ye, S.; Huang, X.; Sun, L.; Liu, Z.; Liao, C.; Feng, R.; Chen, H.; Wu, Y.; Cai, Z.; et al. Comparing the Prognostic Significance of Nutritional Screening Tools and ESPEN-DCM on 3-Month and 12-Month Outcomes in Stroke Patients. Clin. Nutr. 2021, 40, 3346–3353. [Google Scholar] [CrossRef]
- Haskell, W.L.; Lee, I.-M.; Pate, R.R.; Powell, K.E.; Blair, S.N.; Franklin, B.A.; Macera, C.A.; Heath, G.W.; Thompson, P.D.; Bauman, A. Physical Activity and Public Health: Updated Recommendation for Adults from the American College of Sports Medicine and the American Heart Association. Med. Sci. Sports Exerc. 2007, 39, 1423–1434. [Google Scholar] [CrossRef]
- Inker, L.A.; Schmid, C.H.; Tighiouart, H.; Eckfeldt, J.H.; Feldman, H.I.; Greene, T.; Kusek, J.W.; Manzi, J.; Van Lente, F.; Zhang, Y.L.; et al. Estimating Glomerular Filtration Rate from Serum Creatinine and Cystatin C. N. Engl. J. Med. 2012, 367, 20–29. [Google Scholar] [CrossRef]
- DeLong, E.R.; DeLong, D.M.; Clarke-Pearson, D.L. Comparing the Areas under Two or More Correlated Receiver Operating Characteristic Curves: A Nonparametric Approach. Biometrics 1988, 44, 837. [Google Scholar] [CrossRef]
- He, H.; Liu, Y.; Tian, Q.; Papasian, C.J.; Hu, T.; Deng, H.-W. Relationship of Sarcopenia and Body Composition with Osteoporosis. Osteoporos. Int. 2016, 27, 473–482. [Google Scholar] [CrossRef] [PubMed]
- Ning, H.-T.; Du, Y.; Zhao, L.-J.; Tian, Q.; Feng, H.; Deng, H.-W. Racial and Gender Differences in the Relationship between Sarcopenia and Bone Mineral Density among Older Adults. Osteoporos. Int. 2021, 32, 841–851. [Google Scholar] [CrossRef] [PubMed]
- Miyakoshi, N.; Hongo, M.; Mizutani, Y.; Shimada, Y. Prevalence of Sarcopenia in Japanese Women with Osteopenia and Osteoporosis. J. Bone Miner. Metab. 2013, 31, 556–561. [Google Scholar] [CrossRef] [PubMed]
- Jassal, S.K.; von Muhlen, D.; Barrett-Connor, E. Measures of Renal Function, BMD, Bone Loss, and Osteoporotic Fracture in Older Adults: The Rancho Bernardo Study. J. Bone Miner. Res. 2006, 22, 203–210. [Google Scholar] [CrossRef] [PubMed]
- Nishida, K.; Hashimoto, Y.; Kaji, A.; Okamura, T.; Sakai, R.; Kitagawa, N.; Osaka, T.; Hamaguchi, M.; Fukui, M. Creatinine/(Cystatin C × Body Weight) Ratio Is Associated with Skeletal Muscle Mass Index. Endocr. J. 2020, 67, 733–740. [Google Scholar] [CrossRef]
- Ulmann, G.; Kaï, J.; Durand, J.-P.; Neveux, N.; Jouinot, A.; De Bandt, J.-P.; Goldwasser, F.; Cynober, L. Creatinine-to-Cystatin C Ratio and Bioelectrical Impedance Analysis for the Assessement of Low Lean Body Mass in Cancer Patients: Comparison to L3–Computed Tomography Scan. Nutrition 2021, 81, 110895. [Google Scholar] [CrossRef]
- Lin, Y.-L.; Chen, S.-Y.; Lai, Y.-H.; Wang, C.-H.; Kuo, C.-H.; Liou, H.-H.; Hsu, B.-G. Serum Creatinine to Cystatin C Ratio Predicts Skeletal Muscle Mass and Strength in Patients with Non-Dialysis Chronic Kidney Disease. Clin. Nutr. 2020, 39, 2435–2441. [Google Scholar] [CrossRef]
- Tang, T.; Xie, L.; Hu, S.; Tan, L.; Lei, X.; Luo, X.; Yang, L.; Yang, M. Serum Creatinine and Cystatin C-Based Diagnostic Indices for Sarcopenia in Advanced Non-Small Cell Lung Cancer. J. Cachexia Sarcopenia Muscle 2022, 13, 1800–1810. [Google Scholar] [CrossRef]
- Fu, X.; Tian, Z.; Wen, S.; Sun, H.; Thapa, S.; Xiong, H.; Liu, H.; Li, L.; Yu, S. A New Index Based on Serum Creatinine and Cystatin C Is Useful for Assessing Sarcopenia in Patients with Advanced Cancer. Nutrition 2021, 82, 111032. [Google Scholar] [CrossRef]
- Yardley, L.; Smith, H. A Prospective Study of the Relationship Between Feared Consequences of Falling and Avoidance of Activity in Community-Living Older People. Gerontologist 2002, 42, 17–23. [Google Scholar] [CrossRef]
- Kanis, J.A.; Johnell, O.; De Laet, C.; Johansson, H.; Oden, A.; Delmas, P.; Eisman, J.; Fujiwara, S.; Garnero, P.; Kroger, H.; et al. A Meta-Analysis of Previous Fracture and Subsequent Fracture Risk. Bone 2004, 35, 375–382. [Google Scholar] [CrossRef] [PubMed]
- Iwasaki, M.; Taylor, G.W.; Nakamura, K.; Yoshihara, A.; Miyazaki, H. Association Between Low Bone Mineral Density and Clinical Attachment Loss in Japanese Postmenopausal Females. J. Periodontol. 2013, 84, 1708–1716. [Google Scholar] [CrossRef] [PubMed]
- Cheung, E.Y.N.; Ho, A.Y.Y.; Lam, K.F.; Tam, S.; Kung, A.W.C. Determinants of Bone Mineral Density in Chinese Men. Osteoporos. Int. 2005, 16, 1481–1486. [Google Scholar] [CrossRef] [PubMed]
- Landi, F.; Liperoti, R.; Russo, A.; Giovannini, S.; Tosato, M.; Capoluongo, E.; Bernabei, R.; Onder, G. Sarcopenia as a Risk Factor for Falls in Elderly Individuals: Results from the IlSIRENTE Study. Clin. Nutr. 2012, 31, 652–658. [Google Scholar] [CrossRef] [PubMed]
- Bischoff-Ferrari, H.A.; Orav, J.E.; Kanis, J.A.; Rizzoli, R.; Schlögl, M.; Staehelin, H.B.; Willett, W.C.; Dawson-Hughes, B. Comparative Performance of Current Definitions of Sarcopenia against the Prospective Incidence of Falls among Community-Dwelling Seniors Age 65 and Older. Osteoporos. Int. 2015, 26, 2793–2802. [Google Scholar] [CrossRef]
- Kannus, P.; Sievänen, H.; Palvanen, M.; Järvinen, T.; Parkkari, J. Prevention of Falls and Consequent Injuries in Elderly People. Lancet 2005, 366, 1885–1893. [Google Scholar] [CrossRef] [PubMed]
- Ambrose, A.F.; Cruz, L.; Paul, G. Falls and Fractures: A Systematic Approach to Screening and Prevention. Maturitas 2015, 82, 85–93. [Google Scholar] [CrossRef]
- Marshall, D.; Johnell, O.; Wedel, H. Meta-Analysis of How Well Measures of Bone Mineral Density Predict Occurrence of Osteoporotic Fractures. BMJ 1996, 312, 1254–1259. [Google Scholar] [CrossRef]
- Kawakami, R.; Murakami, H.; Sanada, K.; Tanaka, N.; Sawada, S.S.; Tabata, I.; Higuchi, M.; Miyachi, M. Calf Circumference as a Surrogate Marker of Muscle Mass for Diagnosing Sarcopenia in Japanese Men and Women: Calf Circumference and Sarcopenia. Geriatr. Gerontol. Int. 2015, 15, 969–976. [Google Scholar] [CrossRef]
- Cruz-Jentoft, A.J.; Bahat, G.; Bauer, J.; Boirie, Y.; Bruyère, O.; Cederholm, T.; Cooper, C.; Landi, F.; Rolland, Y.; Sayer, A.A.; et al. Sarcopenia: Revised European Consensus on Definition and Diagnosis. Age Ageing 2019, 48, 16–31. [Google Scholar] [CrossRef]
- Cunningham, C.; O’ Sullivan, R.; Caserotti, P.; Tully, M.A. Consequences of Physical Inactivity in Older Adults: A Systematic Review of Reviews and Meta-analyses. Scand. J. Med. Sci. Sports 2020, 30, 816–827. [Google Scholar] [CrossRef] [PubMed]


| Characteristics | Total (n = 404) | Non-Sarcopenia (n = 249) | Sarcopenia (n = 155) | p |
|---|---|---|---|---|
| Age, years | 66 (10) | 65 (10) | 68 (9) | <0.001 *** |
| Gender (female), n (%) | 258, 63.9 | 155, 62.2 | 103, 66.5 | 0.393 |
| MET | 1008 (1386) | 1107 (1533) | 661.5 (1386) | <0.001 *** |
| Nutrition | <0.001 ** | |||
| Normal, n (%) | 330, 81.7 | 215, 86.3 | 115, 74.2 | |
| Mild, n (%) | 70, 17.3 | 34, 13.7 | 36, 23.2 | |
| Mid, n (%) | 4, 1 | 0, 0 | 4, 2.6 | |
| Severe, n (%) | 0, 0 | 0, 0 | 0, 0 | |
| Ever smoker, n (%) | 71, 17.6 | 46, 18.5 | 25, 16.1 | 0.547 |
| Ever drinker, n (%) | 40, 9.9 | 26, 10.4 | 14, 9 | 0.645 |
| Prior fall, n (%) | 26, 6.4 | 11, 4.4 | 15, 9.6 | 0.036 * |
| Prior fracture, n (%) | 111, 27.5 | 55, 22.1 | 56, 36.1 | <0.01 ** |
| T2DM, n (%) | 276, 68.3 | 168, 67.5 | 108, 69.7 | 0.643 |
| CVD, n (%) | 114, 28.2 | 61, 24.5 | 53, 34.2 | 0.035 * |
| BMI, kg/m² | 23.53 (4.24) | 23.66 (4.29) | 23.31 (4.48) | 0.665 |
| Calf circumference, cm | 33.91 ± 2.76 | 34.14 ± 2.75 | 33.55 ± 2.75 | 0.042 * |
| Body fat percentage, % | 37.9 (10) | 36.75 (10.2) | 39 (9.7) | 0.017 * |
| HGS, kg | 24 (11.6) | 26.3 (8.69) | 20.7 (7.32) | <0.001 *** |
| FCST, s | 10.44 (4.31) | 9.44 (2.41) | 13.53 (5.54) | <0.001 *** |
| ASMI, kg/m² | 5.06 ± 0.834 | 5.21 ± 0.89 | 4.82 ± 0.67 | <0.001 *** |
| Spine BMD, g/cm² | 0.819 (0.194) | 0.823 (0.186) | 0.807 (0.206) | 0.539 |
| Hip BMD, g/cm² | 0.775 ± 0.122 | 0.793 ± 0.121 | 0.747 ± 0.118 | <0.01 ** |
| Femoral neck BMD, g/cm² | 0.649 ± 0.107 | 0.664 ± 0.108 | 0.623 ± 0.1 | <0.01 ** |
| Min t-score | −2.5 (1.2) | −2.4 (1.3) | −2.5 (1.3) | 0.165 |
| 25(OH)D, ng/mL | 24.12 (16.51) | 23.91 (15.51) | 25.11 (17.93) | 0.549 |
| Calcitonin, pg/mL | 5.93 (6.64) | 5.91 (6.25) | 5.98 (8.14) | 0.162 |
| Osteocalcin, ng/mL | 12.52 (6.23) | 12.85 (5.74) | 12.12 (6.83) | 0.32 |
| Beta-CTX, ng/mL | 0.35 (0.28) | 0.36 (0.27) | 0.33 (0.3) | 0.311 |
| PTH, pg/mL | 29.4 (22.8) | 29.8 (19.6) | 29.3 (28.3) | 0.67 |
| HbA1c, % | 7.42 (3.46) | 7.32 (3.34) | 7.47 (3.53) | 0.612 |
| Total cholesterol, mmol/L | 4.29 (1.4) | 4.28 (1.39) | 4.31 (1.31) | 0.842 |
| Serum creatinine, mg/L | 0.79 (0.21) | 0.74 (0.18) | 0.72 (0.26) | 0.381 |
| Serum cystatin C, mg/L | 1.04 (0.27) | 0.92 (0.25) | 1.03 (0.38) | <0.001 *** |
| eGFRCysC | 75.15 (29.7) | 80.13 (27.01) | 66.35 (29.93) | <0.001 *** |
| eGFR, mL/min/1.73 m2 | 91.1 (17.93) | 92.64 (14.7) | 88.09 (23.02) | <0.001 *** |
| 24 h Ucr, mg/d a | 7.73 (3.75) | 8.24 (3.87) | 7.07 (3.27) | <0.001 *** |
| CCR | 0.77 (0.19) | 0.77 (0.18) | 0.7 (0.16) | <0.001 *** |
| SI | 54.12 (17.5) | 57.3 (16.74) | 48.59 (15.7) | <0.001 *** |
| Sarcopenia | |||
|---|---|---|---|
| OR (95%CI) | p | ||
| SI (per 1-SD) increase | |||
| Univariate | 0.537 (0.425, 0.680) | <0.001 *** | |
| Model 1 | 0.574 (0.437, 0.755) | <0.001 *** | |
| Model 2 | 0.632 (0.476, 0.840) | <0.01 ** | |
| Model 3 | 0.624 (0.465, 0.836) | <0.01 ** | |
| CCR (per 1-SD) increase | |||
| Univariate | 0.645 (0.516, 0.805) | <0.001 *** | |
| Model 1 | 0.699 (0.547, 0.895) | <0.01 ** | |
| Model 2 | 0.763 (0.590, 0.985) | <0.05 * | |
| Model 3 | 0.750 (0.576, 0.976) | <0.05 * | |
| Model 1 | Model 2 | Model 3 | ||||
|---|---|---|---|---|---|---|
| OR (95%CI) | p Value | OR (95%CI) | p Value | OR (95%CI) | p Value | |
| New fall (N = 41) a | ||||||
| SI (per 1-SD) | 0.485 (0.313, 0.751) | <0.01 ** | 0.495 (0.298, 0.823) | <0.01 ** | 0.472 (0.275, 0.810) | <0.01 ** |
| Age (years) | - | - | 1.007 (0.949, 1.069) | 0.822 | 1.015 (0.956, 1.077) | 0.629 |
| BMI (kg/m2) | - | - | 0.743 (0.642, 0.86) | <0.001 *** | 0.772 (0.662, 0.902) | <0.01 ** |
| Sex (female vs. male) | - | - | - | - | 2.119 (0.794, 5.661) | 0.134 |
| Min t-score | - | - | - | - | 0.473 (0.284, 0.787) | <0.01 ** |
| Prior fracture | - | - | - | - | 0.257 (0.088, 0.747) | 0.013 * |
| Prior fall | - | - | - | - | - | - |
| New fracture (N = 37) b | ||||||
| SI (per 1-SD) | 0.473 (0.256, 0.873) | 0.017 * | 0.392 (0.190, 0.812) | 0.012 * | 0.432 (0.192, 0.971) | 0.042 * |
| Age (years) | - | - | 0.961 (0.881, 1.047) | 0.359 | 0.965 (0.874, 1.066) | 0.485 |
| BMI (kg/m2) | - | - | 0.876 (0.734, 1.045) | 0.142 | 0.962 (0.798, 1.159) | 0.681 |
| Sex (female vs. male) | - | - | - | - | 1.38 (0.29, 6.562) | 0.686 |
| Min t-score | - | - | - | - | 0.366 (0.185, 0.725) | <0.01 ** |
| Prior fall | - | - | - | - | 7.328 (1.599, 33.585) | 0.01 * |
| Prior fracture | - | - | - | - | - | - |
Publisher’s Note: MDPI stays neutral with regard to jurisdictional claims in published maps and institutional affiliations. |
© 2022 by the authors. Licensee MDPI, Basel, Switzerland. This article is an open access article distributed under the terms and conditions of the Creative Commons Attribution (CC BY) license (https://creativecommons.org/licenses/by/4.0/).
Share and Cite
Ge, J.; Zeng, J.; Ma, H.; Sun, S.; Zhao, Z.; Jing, Y.; Qian, C.; Fei, Z.; Cui, R.; Qu, S.; et al. A New Index Based on Serum Creatinine and Cystatin C Can Predict the Risks of Sarcopenia, Falls and Fractures in Old Patients with Low Bone Mineral Density. Nutrients 2022, 14, 5020. https://doi.org/10.3390/nu14235020
Ge J, Zeng J, Ma H, Sun S, Zhao Z, Jing Y, Qian C, Fei Z, Cui R, Qu S, et al. A New Index Based on Serum Creatinine and Cystatin C Can Predict the Risks of Sarcopenia, Falls and Fractures in Old Patients with Low Bone Mineral Density. Nutrients. 2022; 14(23):5020. https://doi.org/10.3390/nu14235020
Chicago/Turabian StyleGe, Jiaying, Jiangping Zeng, Huihui Ma, Siqi Sun, Zheng Zhao, Yujie Jing, Chunhua Qian, Zhaoliang Fei, Ran Cui, Shen Qu, and et al. 2022. "A New Index Based on Serum Creatinine and Cystatin C Can Predict the Risks of Sarcopenia, Falls and Fractures in Old Patients with Low Bone Mineral Density" Nutrients 14, no. 23: 5020. https://doi.org/10.3390/nu14235020
APA StyleGe, J., Zeng, J., Ma, H., Sun, S., Zhao, Z., Jing, Y., Qian, C., Fei, Z., Cui, R., Qu, S., Zhang, G., & Sheng, H. (2022). A New Index Based on Serum Creatinine and Cystatin C Can Predict the Risks of Sarcopenia, Falls and Fractures in Old Patients with Low Bone Mineral Density. Nutrients, 14(23), 5020. https://doi.org/10.3390/nu14235020

