Prevalence of Protein-Energy Wasting in Dialysis Patients Using a Practical Online Tool to Compare with Other Nutritional Scores: Results of the Nutrendial Study
Abstract
1. Introduction
2. Materials and Methods
2.1. Study Design and Subjects
- For the biochemical parameters section, albumin < 3.8 g/dL or cholesterol <100 mg/dL were used.
- For the body mass section, BMI < 23 kg/m2 or a weight loss > 10% in the last 6 months were used.
- For the muscle mass section, creatinine < 8 mg/dL was used [13].
- For the dietary intake section, nPCR < 0.8 g/kg/day was used.
2.2. Data Collection
2.3. Statistical Analysis
3. Results
3.1. Clinical Characteristics According to PEW Diagnosis
3.2. SGA, MIS Scores and Other Nutritional Parameters as Predictors of PEW
4. Discussion
5. Conclusions
Author Contributions
Funding
Institutional Review Board Statement
Informed Consent Statement
Data Availability Statement
Acknowledgments
Conflicts of Interest
Appendix A
References
- Carrero, J.J.; Stenvinkel, P.; Cuppari, L.; Ikizler, T.A.; Kalantar-Zadeh, K.; Kaysen, G.; Mitch, W.E.; Price, S.R.; Wanner, C.; Wang, A.Y.; et al. Etiology of the Protein-Energy Wasting Syndrome in Chronic Kidney Disease: A Consensus Statement from the International Society of Renal Nutrition and Metabolism (ISRNM). J. Ren. Nutr. 2013, 23, 77–90. [Google Scholar] [CrossRef] [PubMed]
- Fouque, D.; Kalantar-Zadeh, K.; Kopple, J.; Cano, N.; Chauveau, P.; Cuppari, L.; Franch, H.; Guarnieri, G.; Ikizler, T.A.; Kaysen, G.; et al. A proposed nomenclature and diagnostic criteria for protein-energy wasting in acute and chronic kidney disease. Kidney Int. 2008, 73, 391–398. [Google Scholar] [CrossRef] [PubMed]
- Kalantar-Zadeh, K.; Kopple, J.D.; Block, G.; Humphreys, M.H. A malnutrition-inflammation score is correlated with morbidity and mortality in maintenance hemodialysis patients. Am. J. Kidney Dis. 2001, 38, 1251–1263. [Google Scholar] [CrossRef] [PubMed]
- Enia, G.; Sicuso, C.; Alati, G.; Zoccali, C.; Pustorino, D.; Biondo, A. Subjective global assessment of nutrition in dialysis patients. Nephrol. Dial. Transplant. 1993, 8, 1094–1098. [Google Scholar] [CrossRef] [PubMed]
- Ikizler, T.A. Optimal Nutrition in Hemodialysis Patients. Adv. Chronic Kidney Dis. 2013, 20, 181–189. [Google Scholar] [CrossRef] [PubMed]
- Ikizler, T.A.; Burrowes, J.D.; ByhAm-Gray, L.D.; CAmpbell, K.L.; Carrero, J.-J.; Chan, W.; Fouque, D.; Friedman, A.N.; Ghaddar, S.; Goldstein-Fuchs, D.J.; et al. KDOQI Clinical Practice Guideline for Nutrition in CKD: 2020 Update. Am J. Kidney Dis. 2020, 76, S1–S107. [Google Scholar] [CrossRef]
- Cano, N.; Fiaccadori, E.; Tesinsky, P.; Toigo, G.; Druml, W.; Kuhlmann, M.; Mann, H.; Hörl, W. ESPEN Guidelines on Enteral Nutrition: Adult Renal Failure. Clin. Nutr. 2006, 25, 295–310. [Google Scholar] [CrossRef] [PubMed]
- Brown, R.O.; Compher, C. ASPEN Clinical guidelines: Nutrition support in adult acute and chronic renal failure. JPEN J. Parenter Enter. Nutr. 2010, 34, 366–377. [Google Scholar] [CrossRef]
- Wright, M.; Southcott, E.; MacLaughlin, H.; Wineberg, S. Clinical practice guideline on undernutrition in chronic kidney disease. BMC Nephrol. 2019, 20, 1–10. [Google Scholar] [CrossRef] [PubMed]
- Hand, R.K.; Steiber, A.; Burrowes, J. Renal dietitians lack time and resources to follow the NKF KDOQI guidelines for frequency and method of diet assessment: Results of a survey. J. Ren. Nutr. 2013, 23, 445–449. [Google Scholar] [CrossRef] [PubMed]
- Ikizler, T.A.; Franch, H.A.; Kalantar-Zadeh, K.; ter Wee, P.M.; Wanner, C. Time to Revisit the Role of Renal Dietitian in the Dialysis Unit. J. Ren. Nutr. 2014, 24, 58–60. [Google Scholar] [CrossRef] [PubMed][Green Version]
- Moreau-Gaudry, X.; Jean, G.; Genet, L.; Lataillade, D.; Legrand, E.; Kuentz, F.; Fouque, D. A simple protein-energy wasting score predicts survival in maintenance hemodialysis patients. J. Ren Nutr. 2014, 24, 395–400. [Google Scholar] [CrossRef] [PubMed]
- Kalantar-Zadeh, K.; Streja, E.; Kovesdy, C.P.; Oreopoulos, A.; Noori, N.; Jing, J.; Nissenson, A.R.; Krishnan, M.; Kopple, J.D.; Mehrotra, R.; et al. The obesity paradox and mortality associated with surrogates of body size and muscle mass in patients receiving hemodialysis. Mayo Clin. Proc. 2010, 85, 991–1001. [Google Scholar] [CrossRef] [PubMed]
- Carrero, J.J.; Thomas, F.; Nagy, K.; Arogundade, F.; Avesani, C.M.; Chan, M.; Chmielewski, M.; Cordeiro, A.C.; Espinosa-Cuevas, A.; Fiaccadori, E.; et al. Global Prevalence of Protein-Energy Wasting in Kidney Disease: A Meta-analysis of Contemporary Observational Studies From the International Society of Renal Nutrition and Metabolism. J. Ren. Nutr. 2018, 28, 380–392. [Google Scholar] [CrossRef] [PubMed]
- Gracia-Iguacel, C.; González-Parra, E.; Barril-Cuadrado, G.; Sánchez, R.; Egido, J.; Ortiz-Arduán, A.; Carrero, J.J. Defining protein-energy wasting syndrome in chronic kidney disease: Prevalence and clinical implications. Nefrologia 2014, 34, 507–519. [Google Scholar] [CrossRef]
- Antón-Pérez, G.; Santana-Del-Pino, A.; Henríquez-Palop, F.; Monzón, T.; Sánchez, A.Y.; Valga, F.; Morales-Umpierrez, A.; García-Cantón, C.; Rodríguez-Pérez, J.C.; Carrero, J.J. Diagnostic Usefulness of the Protein Energy Wasting Score in Prevalent Hemodialysis Patients. J. Ren. Nutr. 2018, 28, 428–434. [Google Scholar] [CrossRef] [PubMed]
- As’habi, A.; Tabibi, H.; Nozary-Heshmati, B.; Mahdavi-Mazdeh, M.; Hedayati, M. Comparison of various scoring methods for the diagnosis of protein-energy wasting in hemodialysis patients. Int. Urol. Nephrol. 2014, 46, 999–1004. [Google Scholar] [CrossRef]
- Pérez-Torres, A.; Garcia, M.E.G.; José-Valiente, B.S.; Rubio, M.A.B.; Diez, O.C.; López-Sobaler, A.M.; Selgas, R. Protein-energy wasting syndrome in advanced chronic kidney disease: Prevalence and specific clinical characteristics. Nefrologia 2018, 38, 220–221. [Google Scholar] [CrossRef]
- Gracia-Iguacel, C.; González-Parra, E.; Perez-Gomez, M.V.; Mahillo, I.; Egido, J.; Ortiz, A.; Carrero, J.J. Prevalence of protein-energy wasting syndrome and its association with mortality in haemodialysis patients in a centre in Spain. Nefrologia 2013, 33, 495–505. [Google Scholar] [CrossRef]
- Kim, J.C.; Kalantar-Zadeh, K.; Kopple, J.D. Frailty and protein-energy wasting in elderly patients with end stage kidney disease. J. Am. Soc. Nephrol. 2013, 24, 337–351. [Google Scholar] [CrossRef]
- Rodrigues, J.; Cuppari, L.; CAmpbell, K.L.; Avesani, C.M. Nutritional assessment of elderly patients on dialysis: Pitfalls and potentials for practice. Nephrol. Dial. Transplant. 2017, 32, 1780–1789. [Google Scholar] [CrossRef] [PubMed]
- Sabatino, A.; Regolisti, G.; Karupaiah, T.; Sahathevan, S.; Singh, B.S.; Khor, B.; Salhab, N.; Karavetian, M.; Cupisti, A.; Fiaccadori, E. Protein-energy wasting and nutritional supplementation in patients with end-stage renal disease on hemodialysis. Clin. Nutr. 2017, 36, 663–671. [Google Scholar] [CrossRef] [PubMed]
- Lopes, A.A.; Bragg-GreshAm, J.L.; Elder, S.J.; Ginsberg, N.; Goodkin, D.A.; Pifer, T.; LAmeire, N.; Marshall, M.R.; Asano, Y.; Akizawa, T.; et al. Independent and joint associations of nutritional status indicators with mortality risk Among chronic hemodialysis patients in the Dialysis Outcomes and Practice Patterns Study (DOPPS). J. Ren. Nutr. 2010, 20, 224–234. [Google Scholar] [CrossRef] [PubMed]
- Calabia, J.; Arcos, E.; Carrero, J.J.; Comas, J.; Vallés, M. Does the obesity survival paradox of dialysis patients differ with age? Blood Purif. 2015, 39, 193–199. [Google Scholar] [CrossRef] [PubMed]
- MacLaughlin, H.L.; Friedman, A.N.; Ikizler, T.A. Nutrition in Kidney Disease: Core Curriculum 2022. Am. J. Kidney Dis. 2022, 79, 437–449. [Google Scholar] [CrossRef]
- Wang, A.Y.-M.; Okpechi, I.G.; Ye, F.; Kovesdy, C.P.; Brunori, G.; Burrowes, J.D.; CAmpbell, K.; DAmster, S.; Fouque, D.; Friedman, A.N.; et al. Assessing Global Kidney Nutrition Care. Clin. J. Am. Soc. Nephrol. 2022, 17, 38–52. [Google Scholar] [CrossRef]
- Hanna, R.M.; Ghobry, L.; Wassef, O.; Rhee, C.M.; Kalantar-Zadeh, K. A Practical Approach to Nutrition, Protein-Energy Wasting, Sarcopenia, and Cachexia in Patients with Chronic Kidney Disease. Blood Purif. 2020, 49, 202–211. [Google Scholar] [CrossRef]
- Arias-Guillén, M.; Perez, E.; Herrera, P.; Romano, B.; Ojeda, R.; Vera, M.; Ríos, J.; Fontseré, N.; Maduell, F. Bioimpedance Spectroscopy as a Practical Tool for the Early Detection and Prevention of Protein-Energy Wasting in Hemodialysis Patients. J. Ren. Nutr. 2018, 28, 324–332. [Google Scholar] [CrossRef]



| Characteristic | Without PEW (n = 1066) | With PEW (n = 326) | p Value |
|---|---|---|---|
| Age, year | 70 (58–80) | 76 (65–83) | <0.001 |
| Men, n (%) | 688 (64.5) | 192 (59.4) | 0.096 |
| Diabetes mellitus (%) | 405 (38.1) | 111 (34.1) | 0.346 |
| % HD/DP | 74.7/89.8 | 25.3/10.2 | <0.001 |
| Time on dialysis (months) | 31 (13–65) | 31 (12–71) | 0.958 |
| kt/v on target | 886 (88.4) | 275 (91.4) | 0.151 |
| BMI, kg/m2 | 26.81 ± 4.97 | 22.08 ± 3.90 | <0.001 |
| Albumin, g/dL | 3.83 ± 0.33 | 3.50 ± 0.37 | <0.001 |
| Total cholesterol, mg/dL | 153.68 ± 37.98 | 145.92 ± 36.43 | 0.002 |
| Creatinine, mg/dL | 7.34 ± 2.39 | 6.11 ± 1.96 | <0.001 |
| TIBC, mg/dL | 244.78 ± 51.06 | 212.59 ± 47.71 | <0.001 |
| nPCR | 1.11 ± 0.33 | 1.01 ± 0.33 | <0.001 |
| No commorbidities (%) | 232 (21.8) | 25 (7.7) | <0.001 |
| MIS ≥ 8, n (%) | 266 (24.9) | 263 (80.8) | <0.001 |
| SGA C (%) | 0 (0) | 97 (100) | <0.001 |
| Nutritional intervention (%) | 105 (9.8) | 46 (14.2) | 0.26 |
| No PEW | PEW | p Value | |
|---|---|---|---|
| Food intake | <0.001 | ||
| Solid without changes | 881 (82.6%) | 125 (38.7%) | |
| Solid suboptimal | 182 (17.1%) | 171 (52.9%) | |
| Liquid or complete, moderately decreased | 3 (0.3%) | 26 (8%) | |
| Fasting, hypocaloric liquid | 0 | 1 (0.3%) | |
| Gastrointestinal symptoms | <0.001 | ||
| Hungry, no symptoms | 838 (78.6%) | 124 (38.4%) | |
| Mild symptoms, occasional nausea, little hunger | 216 (20.3%) | 150 (46.4%) | |
| Occasional vomiting or GI symptoms | 11 (1%) | 40 (12.4%) | |
| Diarrhea, frequent vomiting or severe anorexia | 1 (0.1%) | 9 (2.7%) | |
| Fat deposits or subcutaneous fat loss | <0.001 | ||
| Without changes | 645 (60.5%) | 56 (17.3%) | |
| Mild | 323 (30.3%) | 113 (35%) | |
| Moderate | 92 (8.6%) | 118 (36.5%) | |
| Severe | 5 (0.5%) | 36 (11.1%) | |
| Signs of muscle loss | <0.001 | ||
| Without changes | 574 (53.8%) | 48 (14.98%) | |
| Mild | 391 (36.7%) | 119 (36.8%) | |
| Moderate | 95 (8.9%) | 127 (39.3%) | |
| Severe | 6 (0.6%) | 29 (9%) |
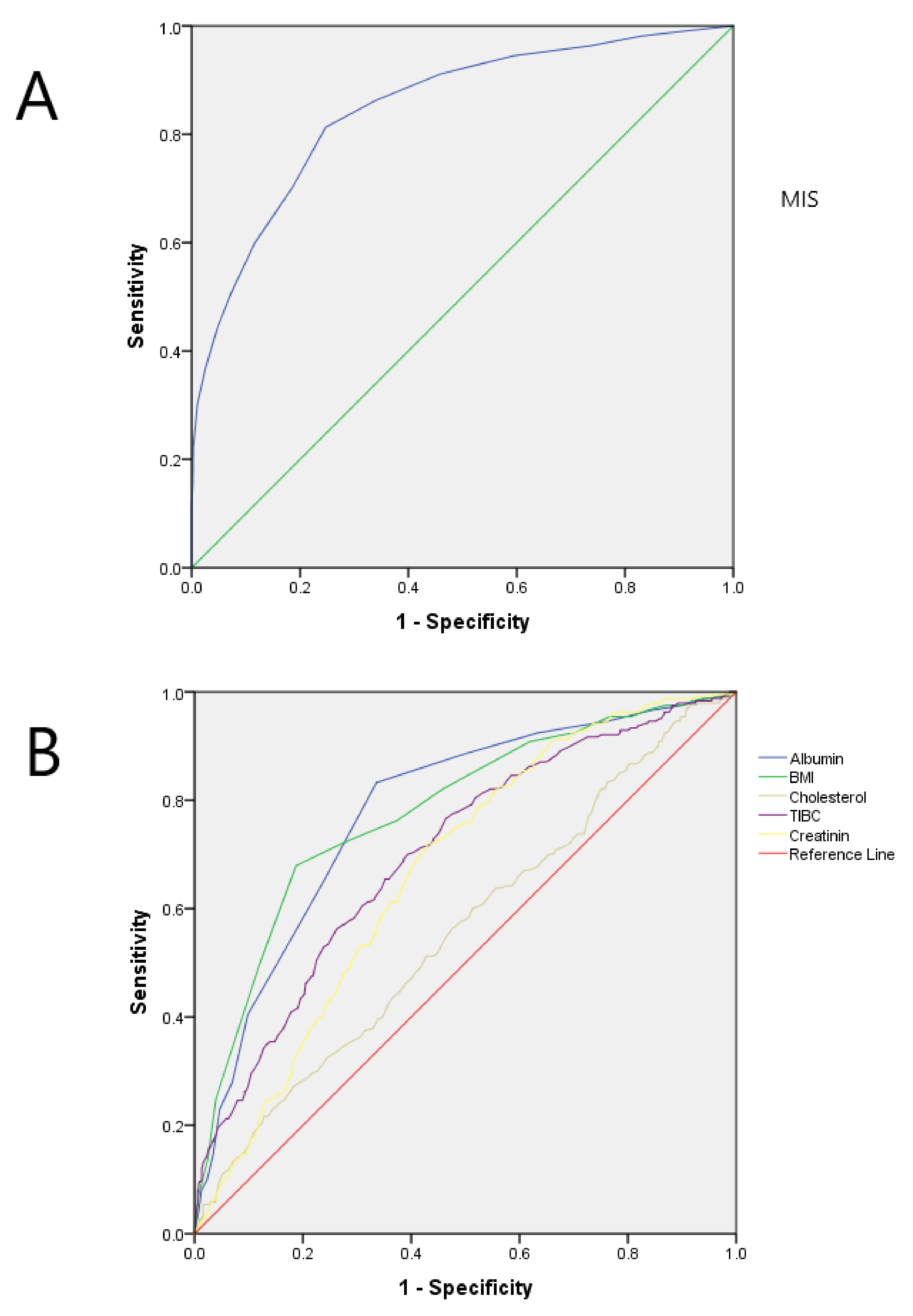
| Parameter | Area under Curve (95% Confidence Interval) | Cut-Off Value | Sensibility | Specificity |
|---|---|---|---|---|
| MIS | 0.85 (0.82–0.87) | 7 | 86% | 75% |
| BMI, kg/m2 | 0.79 (0.76–0.82) | 22 | 88% | 67% |
| Albumin, g/dL | 0.77 (0.74–0.80) | 3.7 | 66% | 81% |
| Total cholesterol, mg/dL | 0.56 (0.52–0.60) | 147 | 57% | 52% |
| TIBC, mg/dL | 0.70 (0.66–0.73) | 226 | 70% | 61% |
| Creatinine, mg/dL | 0.66 (0.63–0.70) | 7.4 | 81% | 45% |
Publisher’s Note: MDPI stays neutral with regard to jurisdictional claims in published maps and institutional affiliations. |
© 2022 by the authors. Licensee MDPI, Basel, Switzerland. This article is an open access article distributed under the terms and conditions of the Creative Commons Attribution (CC BY) license (https://creativecommons.org/licenses/by/4.0/).
Share and Cite
Arias-Guillén, M.; Collado, S.; Coll, E.; Carreras, J.; Betancourt, L.; Romano, B.; Fernández, M.; Duarte, V.; Garro, J.; Soler, J.; et al. Prevalence of Protein-Energy Wasting in Dialysis Patients Using a Practical Online Tool to Compare with Other Nutritional Scores: Results of the Nutrendial Study. Nutrients 2022, 14, 3375. https://doi.org/10.3390/nu14163375
Arias-Guillén M, Collado S, Coll E, Carreras J, Betancourt L, Romano B, Fernández M, Duarte V, Garro J, Soler J, et al. Prevalence of Protein-Energy Wasting in Dialysis Patients Using a Practical Online Tool to Compare with Other Nutritional Scores: Results of the Nutrendial Study. Nutrients. 2022; 14(16):3375. https://doi.org/10.3390/nu14163375
Chicago/Turabian StyleArias-Guillén, Marta, Silvia Collado, Elisabeth Coll, Jordi Carreras, Loreley Betancourt, Bárbara Romano, Marisol Fernández, Verónica Duarte, Julia Garro, Jordi Soler, and et al. 2022. "Prevalence of Protein-Energy Wasting in Dialysis Patients Using a Practical Online Tool to Compare with Other Nutritional Scores: Results of the Nutrendial Study" Nutrients 14, no. 16: 3375. https://doi.org/10.3390/nu14163375
APA StyleArias-Guillén, M., Collado, S., Coll, E., Carreras, J., Betancourt, L., Romano, B., Fernández, M., Duarte, V., Garro, J., Soler, J., González, J. C., & Calabia, J. (2022). Prevalence of Protein-Energy Wasting in Dialysis Patients Using a Practical Online Tool to Compare with Other Nutritional Scores: Results of the Nutrendial Study. Nutrients, 14(16), 3375. https://doi.org/10.3390/nu14163375

