Docosahexaenoic Acid as the Bidirectional Biomarker of Dietary and Metabolic Risk Patterns in Chinese Children: A Comparison with Plasma and Erythrocyte
Abstract
:1. Introduction
2. Materials and Methods
2.1. Study Design and Study Population
2.2. Dietary Pattern Assessment
2.3. DHA Analysis
2.4. Metabolic Risk Variables
2.5. Other Related Variables
2.6. Statistical Analysis
2.7. Ethics Approval
3. Results
3.1. Participants’ Characteristics
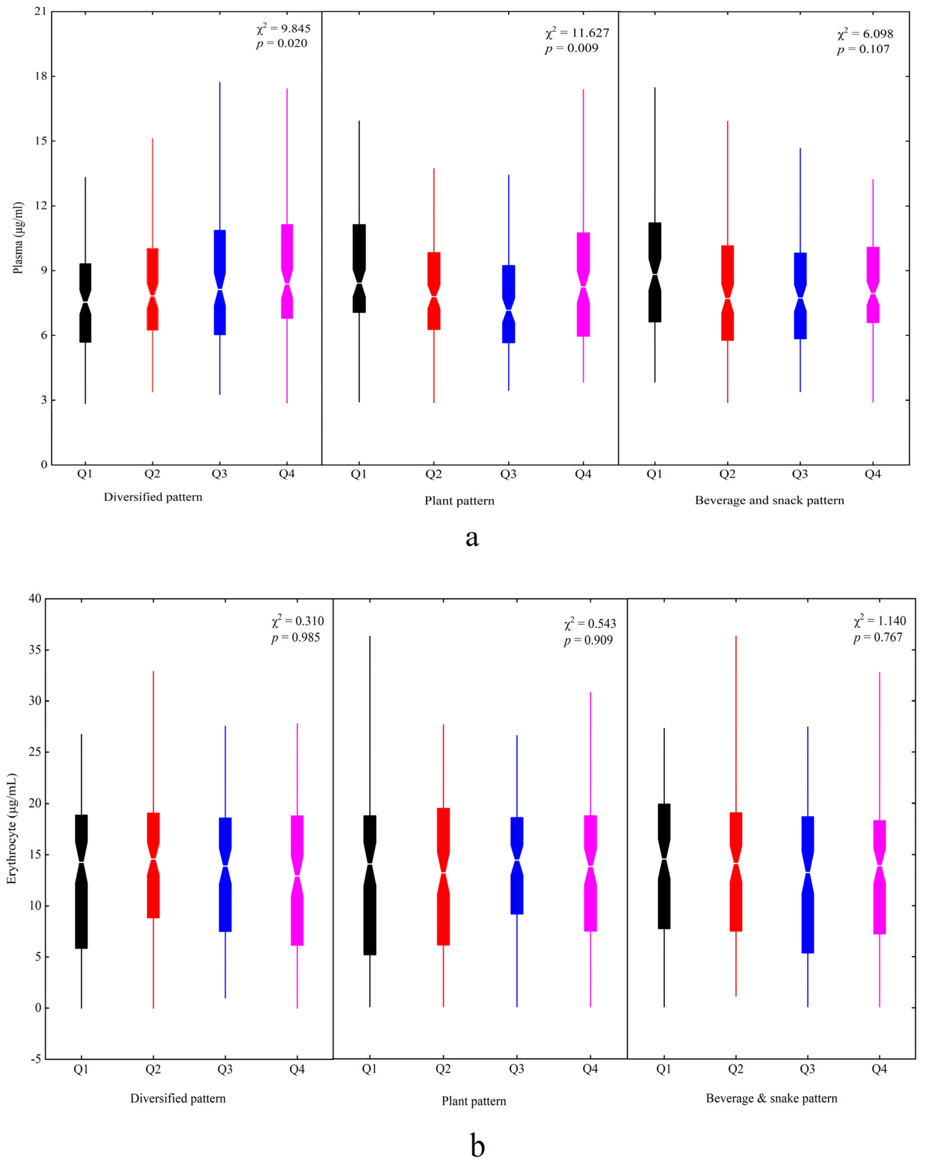
3.2. Correlation between DHA and Dietary Patterns
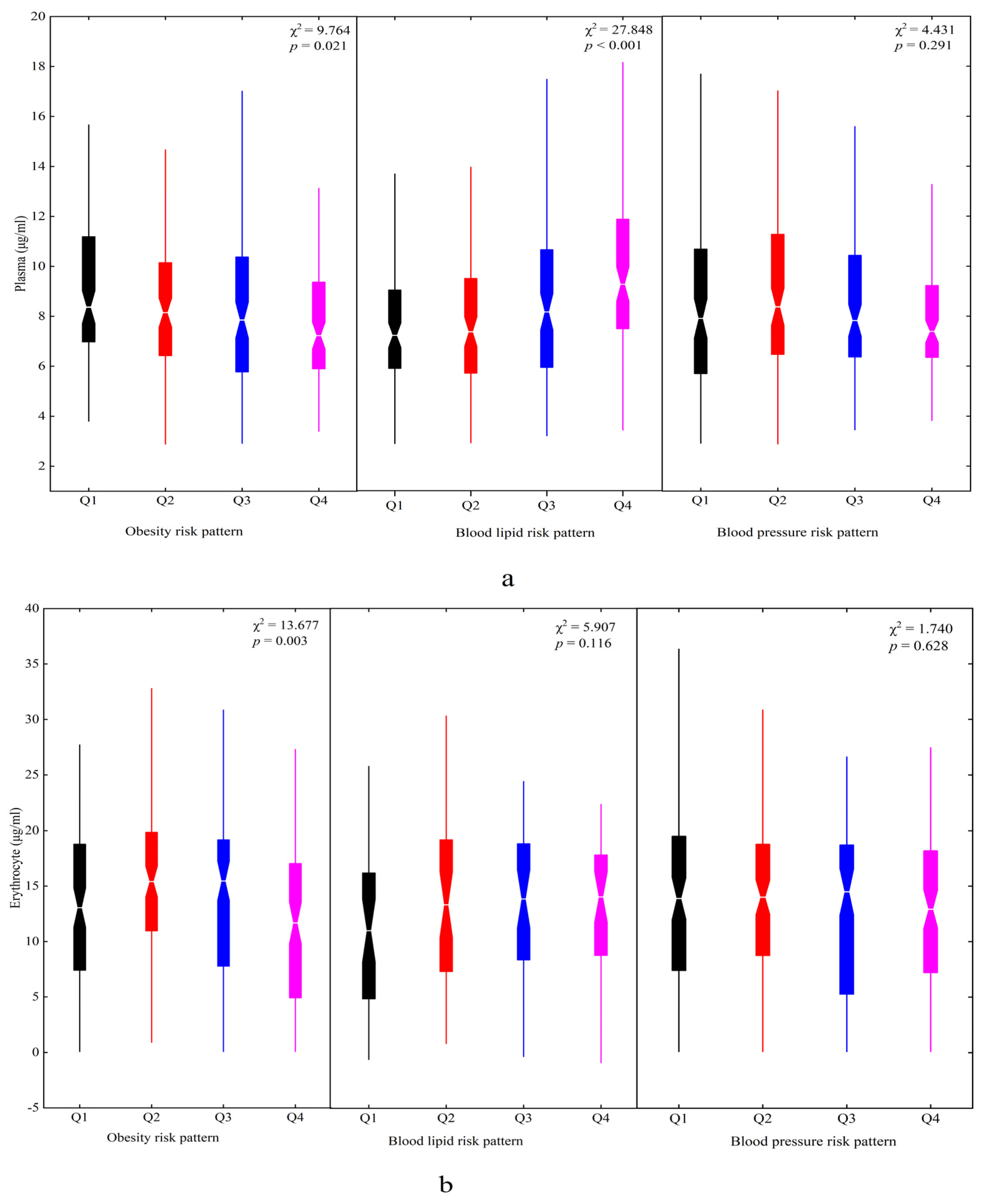
3.3. Correlation between DHA and Metabolic Risk Patterns
4. Discussion
5. Conclusions
Supplementary Materials
Author Contributions
Funding
Institutional Review Board Statement
Informed Consent Statement
Data Availability Statement
Conflicts of Interest
References
- Hodson, L.; Skeaff, C.M.; Fielding, B.A. Fatty acid composition of adipose tissue and blood in humans and its use as a biomarker of dietary intake. Prog Lipid Res. 2008, 47, 348–380. [Google Scholar] [CrossRef]
- Collins, C.T.; Makrides, M.; McPhee, A.J.; Sullivan, T.R.; Davis, P.G.; Thio, M.; Simmer, K.; Rajadurai, V.S.; Travadi, J.; Berry, M.J.; et al. Docosahexaenoic Acid and Bronchopulmonary Dysplasia in Preterm Infants. N. Engl. J. Med. 2017, 376, 1245–1255. [Google Scholar] [CrossRef]
- Castillo, F.; Castillo-Ferrer, F.J.; Cordobilla, B.; Domingo, J.C. Inadequate Content of Docosahexaenoic Acid (DHA) of Donor Human Milk for Feeding Preterm Infants: A Comparison with Mother’s Own Milk at Different Stages of Lactation. Nutrients 2021, 13, 1300. [Google Scholar] [CrossRef]
- Klevebro, S.; Juul, S.E.; Wood, T.R. A More Comprehensive Approach to the Neuroprotective Potential of Long-Chain Polyunsaturated Fatty Acids in Preterm Infants Is Needed-Should We Consider Maternal Diet and the n-6:n-3 Fatty Acid Ratio? Front. Pediatr. 2019, 7, 533. [Google Scholar] [CrossRef] [PubMed]
- Weiser, M.J.; Butt, C.M.; Mohajeri, M.H. Docosahexaenoic Acid and Cognition throughout the Lifespan. Nutrients 2016, 8, 99. [Google Scholar] [CrossRef] [PubMed]
- Jauregibeitia, I.; Portune, K.; Gaztambide, S.; Rica, I.; Tueros, I.; Velasco, O.; Grau, G.; Martin, A.; Castano, L.; Larocca, A.V.; et al. Molecular Differences Based on Erythrocyte Fatty Acid Profile to Personalize Dietary Strategies between Adults and Children with Obesity. Metabolites 2021, 11, 43. [Google Scholar] [CrossRef]
- Mikkelsen, A.; Galli, C.; Eiben, G.; Ahrens, W.; Iacoviello, L.; Molnar, D.; Pala, V.; Rise, P.; Rodriguez, G.; Russo, P.; et al. Blood fatty acid composition in relation to allergy in children aged 2-9 years: Results from the European IDEFICS study. Eur. J. Clin. Nutr. 2017, 71, 39–44. [Google Scholar] [CrossRef] [PubMed]
- Baumgartner, J.; Smuts, C.M.; Malan, L.; Kvalsvig, J.; van Stuijvenberg, M.E.; Hurrell, R.F.; Zimmermann, M.B. Effects of iron and n-3 fatty acid supplementation, alone and in combination, on cognition in school children: A randomized, double-blind, placebo-controlled intervention in South Africa. Am. J. Clin. Nutr. 2012, 96, 1327–1338. [Google Scholar] [CrossRef] [Green Version]
- Fares, S.; Sethom, M.M.; Hammami, M.B.; Cheour, M.; Kacem, S.; Hadj-Taieb, S.; Feki, M. Increased docosahexaenoic acid and n-3 polyunsaturated fatty acids in milk from mothers of small for gestational age preterm infants. Prostaglandins Leukot. Essent. Fat. Acids 2018, 135, 42–46. [Google Scholar] [CrossRef]
- Nobili, V.; Alisi, A.; Della Corte, C.; Rise, P.; Galli, C.; Agostoni, C.; Bedogni, G. Docosahexaenoic acid for the treatment of fatty liver: Randomised controlled trial in children. Nutr. Metab. Cardiovasc. Dis. 2013, 23, 1066–1070. [Google Scholar] [CrossRef]
- Assies, J.; Pouwer, F.; Lok, A.; Mocking, R.J.; Bockting, C.L.; Visser, I.; Abeling, N.G.; Duran, M.; Schene, A.H. Plasma and erythrocyte fatty acid patterns in patients with recurrent depression: A matched case-control study. PLoS ONE 2010, 5, e10635. [Google Scholar] [CrossRef]
- Brenna, J.T.; Salem, N., Jr.; Sinclair, A.J.; Cunnane, S.C.; International Society for the Study of Fatty, A.; Lipids, I. alpha-Linolenic acid supplementation and conversion to n-3 long-chain polyunsaturated fatty acids in humans. Prostaglandins Leukot. Essent. Fat. Acids 2009, 80, 85–91. [Google Scholar] [CrossRef] [PubMed]
- Baylin, A.; Kim, M.K.; Donovan-Palmer, A.; Siles, X.; Dougherty, L.; Tocco, P.; Campos, H. Fasting whole blood as a biomarker of essential fatty acid intake in epidemiologic studies: Comparison with adipose tissue and plasma. Am. J. Epidemiol. 2005, 162, 373–381. [Google Scholar] [CrossRef] [PubMed] [Green Version]
- Sun, Q.; Ma, J.; Campos, H.; Hankinson, S.E.; Hu, F.B. Comparison between plasma and erythrocyte fatty acid content as biomarkers of fatty acid intake in US women. Am. J. Clin. Nutr. 2007, 86, 74–81. [Google Scholar] [CrossRef] [PubMed]
- Angeles-Agdeppa, I.; Sun, Y.; Tanda, K.V. Dietary pattern and nutrient intakes in association with non-communicable disease risk factors among Filipino adults: A cross-sectional study. Nutr. J. 2020, 19, 79. [Google Scholar] [CrossRef]
- Li, T.; Guan, L.; Wang, X.; Li, X.; Zhou, C.; Wang, X.; Liang, W.; Xiao, R.; Xi, Y. Relationship Between Dietary Patterns and Chronic Diseases in Rural Population: Management Plays an Important Role in the Link. Front. Nutr. 2022, 9, 866400. [Google Scholar] [CrossRef]
- Zhang, T.; Rayamajhi, S.; Meng, G.; Zhang, Q.; Liu, L.; Wu, H.; Gu, Y.; Wang, Y.; Zhang, S.; Wang, X.; et al. Dietary patterns and risk for hyperuricemia in the general population: Results from the TCLSIH cohort study. Nutrition 2022, 93, 111501. [Google Scholar] [CrossRef] [PubMed]
- Tanisawa, K.; Ito, T.; Kawakami, R.; Usui, C.; Kawamura, T.; Suzuki, K.; Sakamoto, S.; Ishii, K.; Muraoka, I.; Oka, K.; et al. Association Between Dietary Patterns and Different Metabolic Phenotypes in Japanese Adults: WASEDA’S Health Study. Front. Nutr. 2022, 9, 779967. [Google Scholar] [CrossRef]
- Tian, H.M.; Wu, Y.X.; Lin, Y.Q.; Chen, X.Y.; Yu, M.; Lu, T.; Xie, L. Dietary patterns affect maternal macronutrient intake levels and the fatty acid profile of breast milk in lactating Chinese mothers. Nutrition 2019, 58, 83–88. [Google Scholar] [CrossRef]
- Benaim, C.; Freitas-Vilela, A.A.; Pinto, T.J.P.; Lepsch, J.; Farias, D.R.; Dos Santos Vaz, J.; El-Bacha, T.; Kac, G. Early pregnancy body mass index modifies the association of pre-pregnancy dietary patterns with serum polyunsaturated fatty acid concentrations throughout pregnancy in Brazilian women. Matern. Child Nutr. 2018, 14, e12480. [Google Scholar] [CrossRef] [Green Version]
- Siroma, T.K.; Machate, D.J.; Zorgetto-Pinheiro, V.A.; Figueiredo, P.S.; Marcelino, G.; Hiane, P.A.; Bogo, D.; Pott, A.; Cury, E.R.J.; Guimaraes, R.C.A.; et al. Polyphenols and omega-3 PUFAs: Beneficial Outcomes to Obesity and Its Related Metabolic Diseases. Front. Nutr. 2021, 8, 781622. [Google Scholar] [CrossRef]
- Shetty, S.S.; Kumari, N.S.; Shetty, P.K. omega-6/omega-3 fatty acid ratio as an essential predictive biomarker in the management of type 2 diabetes mellitus. Nutrition 2020, 79–80, 110968. [Google Scholar] [CrossRef] [PubMed]
- Harris, W.S.; Von Schacky, C. The Omega-3 Index: A new risk factor for death from coronary heart disease? Prev. Med. 2004, 39, 212–220. [Google Scholar] [CrossRef] [PubMed]
- Baumann, C.; Rakowski, U.; Buchhorn, R. Omega-3 Fatty Acid Supplementation Improves Heart Rate Variability in Obese Children. Int. J. Pediatr. 2018, 2018, 8789604. [Google Scholar] [CrossRef] [Green Version]
- See, V.H.L.; Mori, T.A.; Prescott, S.L.; Beilin, L.J.; Burrows, S.; Huang, R.C. Cardiometabolic Risk Factors at 5 Years After Omega-3 Fatty Acid Supplementation in Infancy. Pediatrics 2018, 142, e20162623. [Google Scholar] [CrossRef] [PubMed] [Green Version]
- Hsueh, T.Y.; Baum, J.I.; Huang, Y. Effect of Eicosapentaenoic Acid and Docosahexaenoic Acid on Myogenesis and Mitochondrial Biosynthesis during Murine Skeletal Muscle Cell Differentiation. Front. Nutr. 2018, 5, 15. [Google Scholar] [CrossRef] [Green Version]
- Nankam, P.A.N.; Jaarsveld, P.J.V.; Chorell, E.; Smidt, M.C.F.; Adams, K.; Bluher, M.; Olsson, T.; Mendham, A.E.; Goedecke, J.H. Circulating and Adipose Tissue Fatty Acid Composition in Black South African Women with Obesity: A Cross-Sectional Study. Nutrients 2020, 12, 1619. [Google Scholar] [CrossRef]
- Venalainen, T.; Schwab, U.; Agren, J.; de Mello, V.; Lindi, V.; Eloranta, A.M.; Kiiskinen, S.; Laaksonen, D.; Lakka, T.A. Cross-sectional associations of food consumption with plasma fatty acid composition and estimated desaturase activities in Finnish children111. Lipids 2014, 49, 467–479. [Google Scholar] [CrossRef] [PubMed]
- Trijsburg, L.; de Vries, J.H.; Hollman, P.C.; Hulshof, P.J.; van’t Veer, P.; Boshuizen, H.C.; Geelen, A. Validating fatty acid intake as estimated by an FFQ: How does the 24 h recall perform as reference method compared with the duplicate portion? Public Health Nutr. 2018, 21, 2568–2574. [Google Scholar] [CrossRef] [Green Version]
- Rahmawaty, S.; Charlton, K.; Lyons-Wall, P.; Meyer, B.J. Development and validation of a food frequency questionnaire to assess omega-3 long chain polyunsaturated fatty acid intake in Australian children aged 9-13 years. J. Hum. Nutr. Diet. 2017, 30, 429–438. [Google Scholar] [CrossRef]
- Wallin, A.; Di Giuseppe, D.; Burgaz, A.; Hakansson, N.; Cederholm, T.; Michaelsson, K.; Wolk, A. Validity of food frequency questionnaire-based estimates of long-term long-chain n-3 polyunsaturated fatty acid intake. Eur. J. Nutr. 2014, 53, 549–555. [Google Scholar] [CrossRef] [PubMed]
- Liu, M.J.; Li, H.T.; Yu, L.X.; Xu, G.S.; Ge, H.; Wang, L.L.; Zhang, Y.L.; Zhou, Y.B.; Li, Y.; Bai, M.X.; et al. A Correlation Study of DHA Dietary Intake and Plasma, Erythrocyte and Breast Milk DHA Concentrations in Lactating Women from Coastland, Lakeland, and Inland Areas of China. Nutrients 2016, 8, 312. [Google Scholar] [CrossRef] [PubMed] [Green Version]
- Zhou, Y.B.; Li, H.T.; Trasande, L.; Wang, L.L.; Zhang, Y.L.; Si, K.Y.; Bai, M.X.; Liu, J.M. A Correlation Study of DHA Intake Estimated by a FFQ and Concentrations in Plasma and Erythrocytes in Mid- and Late Pregnancy. Nutrients 2017, 9, 1256. [Google Scholar] [CrossRef] [Green Version]
- Posma, J.M.; Garcia-Perez, I.; Frost, G.; Aljuraiban, G.S.; Chan, Q.; Van Horn, L.; Daviglus, M.; Stamler, J.; Holmes, E.; Elliott, P.; et al. Nutriome-metabolome relationships provide insights into dietary intake and metabolism. Nat. Food 2020, 1, 426–436. [Google Scholar] [CrossRef] [PubMed]
- Huang, Z.; Yin, X.C.; Chen, M.; Li, M.L.; Chen, B.; Hu, Y.M. Relationships Between Dietary Patterns and Low-Level Lead Exposure Among Children from Hunan Province of China. Expo. Health 2021. [Google Scholar] [CrossRef]
- Huang, Z.; Liu, X.; Li, Z.; Cui, L.; Liu, C.; Wang, W.; Hu, Y.; Chen, B. The Associations of Erythrocyte Fatty Acids with Whole Blood Mineral Elements in Children. Nutrients 2022, 14, 618. [Google Scholar] [CrossRef]
- Schaefer, E.; Demmelmair, H.; Horak, J.; Holdt, L.; Grote, V.; Maar, K.; Neuhofer, C.; Teupser, D.; Thiel, N.; Goeckeler-Leopold, E.; et al. Multiple Micronutrients, Lutein, and Docosahexaenoic Acid Supplementation during Lactation: A Randomized Controlled Trial. Nutrients 2020, 12, 3849. [Google Scholar] [CrossRef] [PubMed]
- Del Gobbo, L.C.; Imamura, F.; Aslibekyan, S.; Marklund, M.; Virtanen, J.K.; Wennberg, M.; Yakoob, M.Y.; Chiuve, S.E.; Dela Cruz, L.; Frazier-Wood, A.C.; et al. omega-3 Polyunsaturated Fatty Acid Biomarkers and Coronary Heart Disease: Pooling Project of 19 Cohort Studies. JAMA Intern. Med. 2016, 176, 1155–1166. [Google Scholar] [CrossRef] [PubMed] [Green Version]
- West, L.; Yin, Y.; Pierce, S.R.; Fang, Z.; Fan, Y.; Sun, W.; Tucker, K.; Staley, A.; Zhou, C.; Bae-Jump, V. Docosahexaenoic acid (DHA), an omega-3 fatty acid, inhibits tumor growth and metastatic potential of ovarian cancer. Am. J. Cancer Res. 2020, 10, 4450–4463. [Google Scholar] [PubMed]
- Meyer, B.J.; Sparkes, C.; Sinclair, A.J.; Gibson, R.A.; Else, P.L. Fingertip Whole Blood as an Indicator of Omega-3 Long-Chain Polyunsaturated Fatty Acid Changes during Dose-Response Supplementation in Women: Comparison with Plasma and Erythrocyte Fatty Acids. Nutrients 2021, 13, 1419. [Google Scholar] [CrossRef] [PubMed]
- Irawan, A.; Ningsih, N.; Hafizuddin; Rusli, R.K.; Suprayogi, W.P.S.; Akhirini, N.; Hadi, R.F.; Setyono, W.; Jayanegara, A. Supplementary n-3 fatty acids sources on performance and formation of omega-3 in egg of laying hens: A meta-analysis. Poult. Sci. 2022, 101, 101566. [Google Scholar] [CrossRef] [PubMed]
- Zhao, Y.; Yu, Z.; Li, R.; Xue, C.; Zhang, T.; Wang, Y. Analysis of lipids in docosahexaenoic acid fortified eggs and yolk powder. J. Food Saf. Qual. 2019, 10, 5052–5057. [Google Scholar]
- Chinese Nutrition Society. Chinese Dietary Guidelines; People’s Medical Publishing House: Beijing, China, 2022. [Google Scholar]
- Xu, R.; Zhou, Y.; Li, Y.; Zhang, X.; Chen, Z.; Wan, Y.; Gao, X. Snack cost and percentage of body fat in Chinese children and adolescents: A longitudinal study. Eur. J. Nutr. 2019, 58, 2079–2086. [Google Scholar] [CrossRef]
- Huang, Z.; Hu, Y.M. Dietary patterns and their association with breast milk macronutrient composition among lactating women. Int. Breastfeed. J. 2020, 15, 52. [Google Scholar] [CrossRef] [PubMed]
- Zou, S.H.; Liu, Y.; Zheng, A.B.; Huang, Z. Associations between dietary patterns and anaemia in 6- to 23-month-old infants in central South China. BMC Public Health 2021, 21, 699. [Google Scholar] [CrossRef] [PubMed]
- Mak, I.L.; Cohen, T.R.; Vanstone, C.A.; Weiler, H.A. Increased adiposity in children with obesity is associated with low red blood cell omega-3 fatty acid status and inadequate polyunsaturated fatty acid dietary intake. Pediatr. Obes. 2020, 15, e12689. [Google Scholar] [CrossRef]
- Wolters, M.; Pala, V.; Russo, P.; Rise, P.; Moreno, L.A.; De Henauw, S.; Mehlig, K.; Veidebaum, T.; Molnar, D.; Tornaritis, M.; et al. Associations of Whole Blood n-3 and n-6 Polyunsaturated Fatty Acids with Blood Pressure in Children and Adolescents—Results from the IDEFICS/I.Family Cohort. PLoS ONE 2016, 11, e0165981. [Google Scholar] [CrossRef] [Green Version]
- Zehr, K.R.; Segovia, A.; Shah, M.; Walsh-Wilcox, M.T.; Brumbach, B.H.; Anderson, J.R.; Walker, M.K. Associations of medium and long chain omega-3 polyunsaturated fatty acids with blood pressure in Hispanic and non-Hispanic smokers and nonsmokers. Prostaglandins Leukot. Essent. Fat. Acids 2019, 144, 10–15. [Google Scholar] [CrossRef] [PubMed]
- Damsgaard, C.T.; Schack-Nielsen, L.; Michaelsen, K.F.; Fruekilde, M.B.; Hels, O.; Lauritzen, L. Fish oil affects blood pressure and the plasma lipid profile in healthy Danish infants. J. Nutr. 2006, 136, 94–99. [Google Scholar] [CrossRef] [PubMed] [Green Version]
- Engler, M.M.; Engler, M.B.; Malloy, M.; Chiu, E.; Besio, D.; Paul, S.; Stuehlinger, M.; Morrow, J.; Ridker, P.; Rifai, N.; et al. Docosahexaenoic acid restores endothelial function in children with hyperlipidemia: Results from the EARLY study. Int. J. Clin. Pharmacol. Ther. 2004, 42, 672–679. [Google Scholar] [CrossRef]
- Jauregibeitia, I.; Portune, K.; Rica, I.; Tueros, I.; Velasco, O.; Grau, G.; Trebolazabala, N.; Castaño, L.; Larocca, A.V.; Ferreri, C.; et al. Fatty Acid Profile of Mature Red Blood Cell Membranes and Dietary Intake as a New Approach to Characterize Children with Overweight and Obesity. Nutrients 2020, 12, 3446. [Google Scholar] [CrossRef] [PubMed]
- Patel, P.S.; Sharp, S.J.; Jansen, E.; Luben, R.N.; Khaw, K.T.; Wareham, N.J.; Forouhi, N.G. Fatty acids measured in plasma and erythrocyte-membrane phospholipids and derived by food-frequency questionnaire and the risk of new-onset type 2 diabetes: A pilot study in the European Prospective Investigation into Cancer and Nutrition (EPIC)-Norfolk cohort. Am. J. Clin. Nutr. 2010, 92, 1214–1222. [Google Scholar] [CrossRef] [PubMed]
- Conway, M.C.; McSorley, E.M.; Mulhern, M.S.; Spence, T.; Wijngaarden, E.V.; Watson, G.E.; Wahlberg, K.; Pineda, D.; Broberg, K.; Hyland, B.W.; et al. The influence of fish consumption on serum n-3 polyunsaturated fatty acid (PUFA) concentrations in women of childbearing age: A randomised controlled trial (the iFish Study). Eur. J. Nutr. 2021, 60, 1415–1427. [Google Scholar] [CrossRef] [PubMed]
- Udani, J.K.; Ritz, B.W. High potency fish oil supplement improves omega-3 fatty acid status in healthy adults: An open-label study using a web-based, virtual platform. Nutr. J. 2013, 12, 112. [Google Scholar] [CrossRef] [PubMed] [Green Version]




| Indices | N (%) or Median (IQR) |
|---|---|
| Demographic Variables | |
| Age | |
| 4–5 years | 202 (48.79) |
| 6–7 years | 212 (51.21) |
| Gender | |
| Boy | 217 (52.42) |
| Girl | 197 (47.58) |
| Caregiver | |
| Parents | 238 (57.49) |
| Grandparents and others | 176 (42.51) |
| Caregiver’s occupation | |
| Public institution staff | 35 (8.45) |
| Non-public institution staff | 150 (36.23) |
| Unemployment | 229 (55.31) |
| Caregiver’s education | |
| College and above | 36 (8.70) |
| Senior | 115 (27.78) |
| Junior and below | 263 (63.53) |
| Family economic level | |
| CNY 50,000 and above | 128 (30.92) |
| CNY 20,000–50,000 | 183 (44.20) |
| Below CNY 20,000 | 103 (24.88) |
| Metabolic risk variables | |
| Physical indicators | |
| Weight (kg) | 19 (17, 21) |
| Height (cm) * | 114 (6) |
| BMI | 14.75 (13.96, 15.69) |
| Sitting height (cm) * | 63 (3) |
| Chest circumference (cm) | 54 (52, 56) |
| Upper arm circumference (cm) | 16 (16, 17) |
| Shoulder width (cm) | 31 (29, 32) |
| Pelvis breadth (cm) | 57 (54, 59) |
| Blood pressure | |
| SBP (mm/Hg) | 91 (85, 97) |
| DBP (mm/Hg) | 58 (54, 62) |
| Glycolipid metabolic indicators | |
| GLU (mmol/mL) | 4.85 (4.53, 5.30) |
| TG (mmol/mL) | 0.94 (0.67, 1.39) |
| CHOL (mmol/mL) | 4.13 (3.71, 4.53) |
| HDL-C (mmol/mL) | 1.54 (1.35, 1.73) |
| LDL-C (mmol/mL) | 2.14 (1.81, 2.49) |
| DHA (μg/mL) | |
| Plasma DHA | 7.91 (6.22, 10.45) |
| Erythrocyte DHA | 13.89 (7.49, 18.99) |
| Food Items | Plasma DHA | Erythrocyte DHA | ||
|---|---|---|---|---|
| r | p | r | p | |
| Rice | −0.078 | 0.114 | −0.063 | 0.201 |
| Wheat flour | 0.052 | 0.293 | 0.033 | 0.497 |
| Coarse cereals | 0.100 | 0.042 | 0.072 | 0.144 |
| Tubers | 0.050 | 0.308 | −0.001 | 0.977 |
| Soybean and its products | 0.056 | 0.260 | −0.004 | 0.929 |
| Meat | 0.166 | 0.001 | −0.072 | 0.143 |
| Poultry | 0.152 | 0.002 | −0.034 | 0.493 |
| Eggs | 0.225 | <0.001 | 0.091 | 0.064 |
| Fish | 0.141 | 0.004 | 0.066 | 0.181 |
| Shrimp, crab, and shellfish | 0.074 | 0.134 | 0.029 | 0.555 |
| Milk and its products | −0.005 | 0.927 | 0.084 | 0.088 |
| Leafy vegetable | 0.074 | 0.134 | 0.039 | 0.429 |
| Leafless vegetable | 0.022 | 0.651 | 0.040 | 0.417 |
| Fresh beans | 0.048 | 0.334 | −0.020 | 0.683 |
| Fungi and algae | 0.109 | 0.027 | 0.030 | 0.545 |
| Fruits | 0.101 | 0.040 | 0.013 | 0.796 |
| Beverage | −0.062 | 0.211 | −0.138 | 0.005 |
| Nuts | 0.088 | 0.075 | 0.023 | 0.635 |
| Snacks | −0.038 | 0.438 | −0.035 | 0.472 |
| Dietary Patterns | Plasma | Erythrocyte | ||
|---|---|---|---|---|
| β (95% CI) | p | β (95% CI) | p | |
| Diversified pattern | ||||
| Model 1 | 0.165 (0.070, 0.261) | 0.001 | −0.002 (−0.099, 0.095) | 0.967 |
| Model 2 | 0.145 (0.045, 0.244) | 0.004 | −0.008 (−0.110, 0.094) | 0.875 |
| Plant pattern | ||||
| Model 1 | −0.068 (−0.165, 0.029) | 0.167 | 0.024 (−0.073, 0.121) | 0.622 |
| Model 2 | −0.075 (−0.171, 0.021) | 0.125 | 0.018 (−0.080, 0.116) | 0.725 |
| Beverage and snack pattern | ||||
| Model 1 | −0.110 (−0.207, −0.014) | 0.025 | −0.032 (−0.128, 0.065) | 0.520 |
| Model 2 | −0.092 (−0.187, 0.003) | 0.057 | −0.031 (−0.128, 0.066) | 0.531 |
| Metabolic Risk Variables | Plasma DHA | Erythrocyte DHA | ||
|---|---|---|---|---|
| r | p | r | p | |
| Weight | −0.163 | 0.001 | −0.076 | 0.122 |
| Height | −0.153 | 0.002 | −0.046 | 0.355 |
| BMI | −0.097 | 0.049 | −0.071 | 0.147 |
| Sitting height | −0.146 | 0.003 | −0.004 | 0.939 |
| Chest circumference | −0.118 | 0.017 | −0.093 | 0.057 |
| Upper arm circumference | −0.078 | 0.112 | −0.139 | 0.005 |
| Shoulder width | −0.170 | 0.001 | −0.017 | 0.736 |
| Pelvis breadth | −0.142 | 0.004 | −0.066 | 0.182 |
| SBP | 0.011 | 0.817 | −0.061 | 0.217 |
| DBP | −0.042 | 0.392 | −0.049 | 0.321 |
| GLU | 0.003 | 0.958 | −0.094 | 0.056 |
| TG | 0.057 | 0.251 | −0.001 | 0.990 |
| CHOL | 0.269 | <0.001 | 0.120 | 0.014 |
| HDL-C | 0.011 | 0.822 | 0.075 | 0.129 |
| LDL-C | 0.269 | <0.001 | 0.069 | 0.162 |
| Metabolic Risk Variables | Obesity Risk Pattern | Blood Lipid Risk Pattern | Blood Pressure Risk Pattern |
|---|---|---|---|
| Weight | 0.980 | −0.029 | −0.073 |
| Height | 0.740 | −0.083 | −0.149 |
| BMI | 0.829 | 0.028 | 0.015 |
| Sitting height | 0.770 | −0.054 | −0.081 |
| Chest circumference | 0.818 | −0.054 | −0.065 |
| Upper arm circumference | 0.823 | 0.022 | −0.030 |
| Shoulder width | 0.671 | −0.083 | −0.139 |
| Pelvis breadth | 0.899 | −0.014 | −0.077 |
| SBP | 0.408 | 0.251 | 0.787 |
| DBP | 0.234 | 0.285 | 0.862 |
| GLU | 0.170 | −0.020 | 0.016 |
| TG | 0.315 | −0.057 | −0.117 |
| CHOL | 0.057 | 0.950 | −0.273 |
| HDL-C | −0.010 | 0.338 | −0.028 |
| LDL-C | 0.005 | 0.906 | −0.237 |
| Metabolic Risk Patterns | Plasma | Erythrocyte | ||
|---|---|---|---|---|
| OR (95% CI) | p | OR (95% CI) | p | |
| Obesity risk pattern | ||||
| Model 1 | 0.870 (0.793, 0.953) | 0.003 | 0.967 (0.931, 1.004) | 0.079 |
| Model 2 | 0.910 (0.825, 1.004) | 0.060 | 0.968 (0.929, 1.008) | 0.116 |
| Model 3 | 0.873 (0.786, 0.969) | 0.011 | 0.962 (0.923, 1.004) | 0.075 |
| Blood lipid risk pattern | ||||
| Model 1 | 1.276 (1.157, 1.406) | <0.001 | 1.047 (1.008, 1.088) | 0.017 |
| Model 2 | 1.288 (1.162, 1.428) | <0.001 | 1.046 (1.006, 1.088) | 0.025 |
| Model 3 | 1.271 (1.142, 1.415) | <0.001 | 1.043 (1.002, 1.086) | 0.040 |
| Blood pressure risk pattern | ||||
| Model 1 | 0.961 (0.878, 1.052) | 0.391 | 0.978 (0.942, 1.016) | 0.252 |
| Model 2 | 0.946 (0.861, 1.040) | 0.249 | 0.977 (0.940, 1.015) | 0.238 |
| Model 3 | 0.973 (0.880, 1.075) | 0.585 | 0.983 (0.945, 1.023) | 0.397 |
Publisher’s Note: MDPI stays neutral with regard to jurisdictional claims in published maps and institutional affiliations. |
© 2022 by the authors. Licensee MDPI, Basel, Switzerland. This article is an open access article distributed under the terms and conditions of the Creative Commons Attribution (CC BY) license (https://creativecommons.org/licenses/by/4.0/).
Share and Cite
Huang, Z.; Guo, P.; Wang, Y.; Li, Z.; Yin, X.; Chen, M.; Liu, Y.; Hu, Y.; Chen, B. Docosahexaenoic Acid as the Bidirectional Biomarker of Dietary and Metabolic Risk Patterns in Chinese Children: A Comparison with Plasma and Erythrocyte. Nutrients 2022, 14, 3095. https://doi.org/10.3390/nu14153095
Huang Z, Guo P, Wang Y, Li Z, Yin X, Chen M, Liu Y, Hu Y, Chen B. Docosahexaenoic Acid as the Bidirectional Biomarker of Dietary and Metabolic Risk Patterns in Chinese Children: A Comparison with Plasma and Erythrocyte. Nutrients. 2022; 14(15):3095. https://doi.org/10.3390/nu14153095
Chicago/Turabian StyleHuang, Zhi, Ping Guo, Ying Wang, Ziming Li, Xiaochen Yin, Ming Chen, Yong Liu, Yuming Hu, and Bo Chen. 2022. "Docosahexaenoic Acid as the Bidirectional Biomarker of Dietary and Metabolic Risk Patterns in Chinese Children: A Comparison with Plasma and Erythrocyte" Nutrients 14, no. 15: 3095. https://doi.org/10.3390/nu14153095
APA StyleHuang, Z., Guo, P., Wang, Y., Li, Z., Yin, X., Chen, M., Liu, Y., Hu, Y., & Chen, B. (2022). Docosahexaenoic Acid as the Bidirectional Biomarker of Dietary and Metabolic Risk Patterns in Chinese Children: A Comparison with Plasma and Erythrocyte. Nutrients, 14(15), 3095. https://doi.org/10.3390/nu14153095

