Association of Dietary Fiber Intake with All-Cause Mortality and Cardiovascular Disease Mortality: A 10-Year Prospective Cohort Study
Abstract
1. Introduction
2. Materials and Methods
2.1. Study Population
2.2. Dietary Assessment
2.3. Covariates
2.4. Study Outcomes
2.5. Statistical Analyses
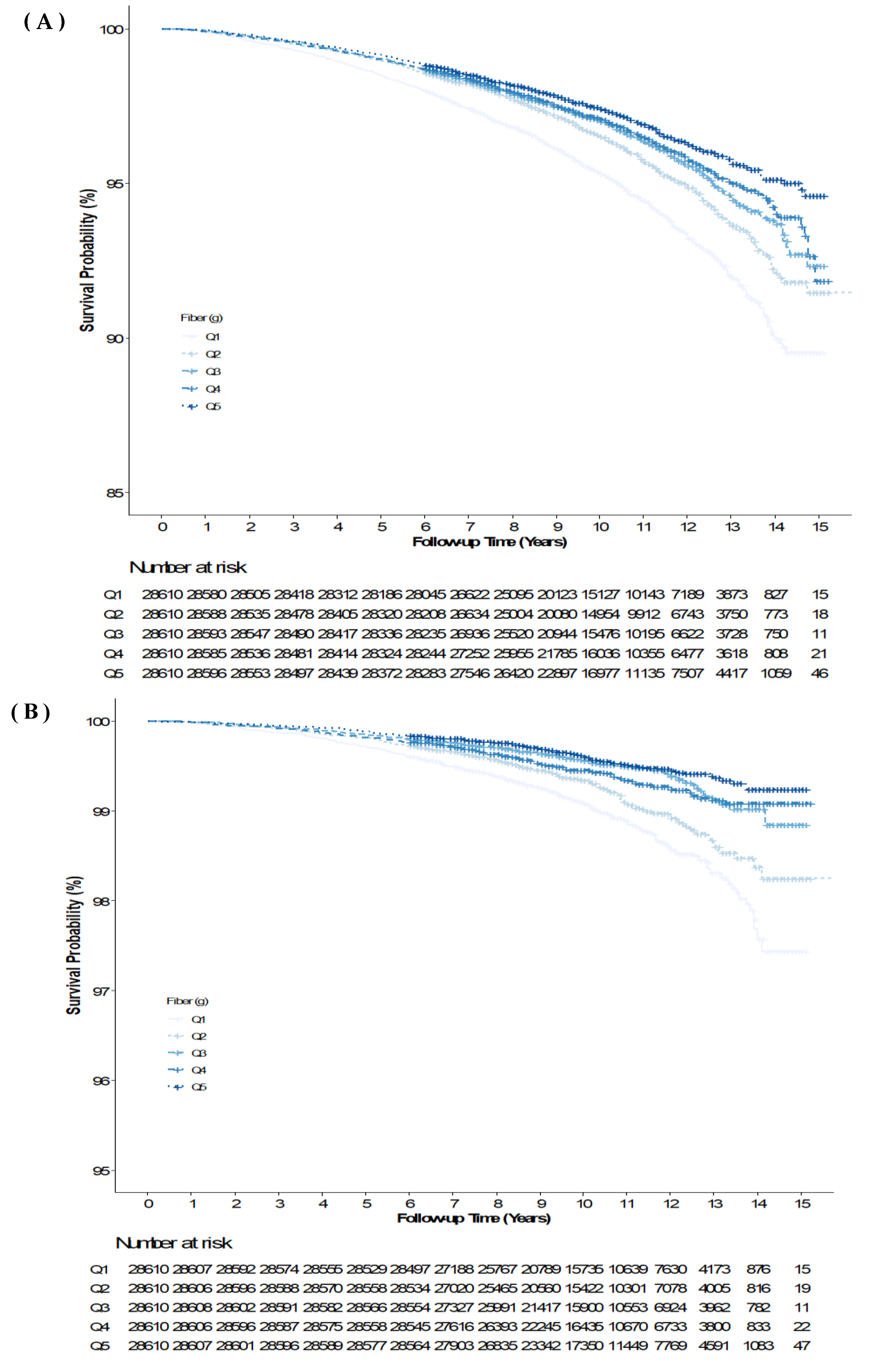
3. Results
4. Discussion
5. Conclusions
Supplementary Materials
Author Contributions
Funding
Institutional Review Board Statement
Informed Consent Statement
Data Availability Statement
Acknowledgments
Conflicts of Interest
References
- GBD 2017 Causes of Death Collaborators. Global, regional, and national age-sex-specific mortality for 282 causes of death in 195 countries and territories, 1980–2017: A systematic analysis for the global burden of disease study 2017. Lancet 2018, 392, 1736–1788. [Google Scholar] [CrossRef]
- Lee, H.H.; Cho, S.M.J.; Lee, H.; Baek, J.; Bae, J.H.; Chung, W.J.; Kim, H.C. Korea heart disease fact sheet 2020: Analysis of nationwide data. Korean Circ. J. 2021, 51, 495–503. [Google Scholar] [CrossRef] [PubMed]
- Mensah, G.A.; Wei, G.S.; Sorlie, P.D.; Fine, L.J.; Rosenberg, Y.; Kaufmann, P.G.; Mussolino, M.E.; Hsu, L.L.; Addou, E.; Engelgau, M.M.; et al. Decline in cardiovascular mortality: Possible causes and implications. Circ. Res. 2017, 120, 366–380. [Google Scholar] [CrossRef] [PubMed]
- Cronin, P.; Joyce, S.A.; O’Toole, P.W.; O’Connor, E.M. Dietary fibre modulates the gut microbiota. Nutrients 2021, 13, 1655. [Google Scholar] [CrossRef]
- Joye, I.J. Dietary fibre from whole grains and their benefits on metabolic health. Nutrients 2020, 12, 3045. [Google Scholar]
- Dahl, W.J.; Stewart, M.L. Position of the academy of nutrition and dietetics: Health implications of dietary fiber. J. Acad. Nutr. Diet. 2015, 115, 1861–1870. [Google Scholar] [CrossRef]
- Gibbs, J.; Gaskin, E.; Ji, C.; Miller, M.A.; Cappuccio, F.P. The effect of plant-based dietary patterns on blood pressure: A systematic review and meta-analysis of controlled intervention trials. J. Hypertens 2021, 39, 23–37. [Google Scholar] [CrossRef]
- Zeng, X.; Li, X.; Zhang, Z.; Li, H.; Wang, Y.; Zhu, Y.; Hu, A.; Zhao, Q.; Tang, M.; Zhang, X.; et al. A prospective study of carbohydrate intake and risk of all-cause and specific-cause mortality. Eur. J. Nutr. 2022. [Google Scholar] [CrossRef]
- Xie, Y.; Gou, L.; Peng, M.; Zheng, J.; Chen, L. Effects of soluble fiber supplementation on glycemic control in adults with type 2 diabetes mellitus: A systematic review and meta-analysis of randomized controlled trials. Clin. Nutr. 2021, 40, 1800–1810. [Google Scholar] [CrossRef]
- Milesi, G.; Rangan, A.; Grafenauer, S. Whole grain consumption and inflammatory markers: A systematic literature review of randomized control trials. Nutrients 2022, 14, 374. [Google Scholar] [CrossRef]
- Katagiri, R.; Goto, A.; Sawada, N.; Yamaji, T.; Iwasaki, M.; Noda, M.; Iso, H.; Tsugane, S. Dietary fiber intake and total and cause-specific mortality: The japan public health center-based prospective study. Am. J. Clin. Nutr. 2020, 111, 1027–1035. [Google Scholar] [CrossRef]
- Reynolds, A.N.; Akerman, A.P.; Mann, J. Dietary fibre and whole grains in diabetes management: Systematic review and meta-analyses. PLoS Med. 2020, 17, e1003053. [Google Scholar] [CrossRef]
- Kulezic, A.; Bergwall, S.; Fatemi, S.; Sonestedt, E.; Zarrouk, M.; Gottsäter, A.; Acosta, S. Healthy diet and fiber intake are associated with decreased risk of incident symptomatic peripheral artery disease—A prospective cohort study. Vasc. Med. 2019, 24, 511–518. [Google Scholar] [CrossRef] [PubMed]
- Threapleton, D.E.; Greenwood, D.C.; Evans, C.E.; Cleghorn, C.L.; Nykjaer, C.; Woodhead, C.; Cade, J.E.; Gale, C.P.; Burley, V.J. Dietary fibre intake and risk of cardiovascular disease: Systematic review and meta-analysis. BMJ 2013, 347, f6879. [Google Scholar] [CrossRef] [PubMed]
- Rebello, S.A.; Koh, H.; Chen, C.; Naidoo, N.; Odegaard, A.O.; Koh, W.P.; Butler, L.M.; Yuan, J.M.; van Dam, R.M. Amount, type, and sources of carbohydrates in relation to ischemic heart disease mortality in a chinese population: A prospective cohort study. Am. J. Clin. Nutr. 2014, 100, 53–64. [Google Scholar] [CrossRef]
- McGill, C.R.; Fulgoni, V.L., 3rd; Devareddy, L. Ten-year trends in fiber and whole grain intakes and food sources for the united states population: National health and nutrition examination survey 2001–2010. Nutrients 2015, 7, 1119–1130. [Google Scholar] [CrossRef] [PubMed]
- Kim, Y.; Han, B.-G.; the KoGES Group. Cohort profile: The korean genome and epidemiology study (koges) consortium. Int. J. Epidemiol. 2017, 46, e20. [Google Scholar] [CrossRef]
- GBD 2017 Diet Collaborators. Health effects of dietary risks in 195 countries, 1990–2017: A systematic analysis for the global burden of disease study 2017. Lancet 2019, 393, 1958–1972. [Google Scholar] [CrossRef]
- Hu, E.A.; Steffen, L.M.; Coresh, J.; Appel, L.J.; Rebholz, C.M. Adherence to the healthy eating index-2015 and other dietary patterns may reduce risk of cardiovascular disease, cardiovascular mortality, and all-cause mortality. J. Nutr. 2020, 150, 312–321. [Google Scholar] [CrossRef]
- Nie, Y.; Luo, F. Dietary fiber: An opportunity for a global control of hyperlipidemia. Oxid. Med. Cell. Longev. 2021, 2021, 5542342. [Google Scholar] [CrossRef]
- Barber, T.M.; Kabisch, S.; Pfeiffer, A.F.H.; Weickert, M.O. The health benefits of dietary fibre. Nutrients 2020, 12, 3209. [Google Scholar] [CrossRef]
- Tani, S.; Matsuo, R.; Imatake, K.; Suzuki, Y.; Takahashi, A.; Matsumoto, N. Association of daily fish intake with serum non-high-density lipoprotein cholesterol levels and healthy lifestyle behaviours in apparently healthy males over the age of 50 years in japanese: Implication for the anti-atherosclerotic effect of fish consumption. Nutr. Metab. Cardiovasc. Dis. 2020, 30, 190–200. [Google Scholar]
- Yubero-Serrano, E.M.; Fernandez-Gandara, C.; Garcia-Rios, A.; Rangel-Zuñiga, O.A.; Gutierrez-Mariscal, F.M.; Torres-Peña, J.D.; Marin, C.; Lopez-Moreno, J.; Castaño, J.P.; Delgado-Lista, J.; et al. Mediterranean diet and endothelial function in patients with coronary heart disease: An analysis of the cordioprev randomized controlled trial. PLoS Med. 2020, 17, e1003282. [Google Scholar] [CrossRef] [PubMed]
- Gill, S.K.; Rossi, M.; Bajka, B.; Whelan, K. Dietary fibre in gastrointestinal health and disease. Nat. Rev. Gastroenterol. Hepatol. 2021, 18, 101–116. [Google Scholar] [CrossRef] [PubMed]
- Park, Y.; Subar, A.F.; Hollenbeck, A.; Schatzkin, A. Dietary fiber intake and mortality in the nih-aarp diet and health study. Arch. Intern. Med. 2011, 171, 1061–1068. [Google Scholar] [CrossRef]
- Huang, T.; Xu, M.; Lee, A.; Cho, S.; Qi, L. Consumption of whole grains and cereal fiber and total and cause-specific mortality: Prospective analysis of 367,442 individuals. BMC Med. 2015, 13, 59. [Google Scholar]
- Kim, Y.; Je, Y. Dietary fiber intake and total mortality: A meta-analysis of prospective cohort studies. Am. J. Epidemiol. 2014, 180, 565–573. [Google Scholar] [CrossRef]
- Buil-Cosiales, P.; Zazpe, I.; Toledo, E.; Corella, D.; Salas-Salvadó, J.; Diez-Espino, J.; Ros, E.; Fernandez-Creuet Navajas, J.; Santos-Lozano, J.M.; Arós, F.; et al. Fiber intake and all-cause mortality in the prevención con dieta mediterránea (predimed) study. Am. J. Clin. Nutr. 2014, 100, 1498–1507. [Google Scholar] [CrossRef]
- Streppel, M.T.; Ocké, M.C.; Boshuizen, H.C.; Kok, F.J.; Kromhout, D. Dietary fiber intake in relation to coronary heart disease and all-cause mortality over 40 y: The zutphen study. Am. J. Clin. Nutr. 2008, 88, 1119–1125. [Google Scholar] [CrossRef]
- Chuang, S.C.; Norat, T.; Murphy, N.; Olsen, A.; Tjønneland, A.; Overvad, K.; Boutron-Ruault, M.C.; Perquier, F.; Dartois, L.; Kaaks, R.; et al. Fiber intake and total and cause-specific mortality in the european prospective investigation into cancer and nutrition cohort. Am. J. Clin. Nutr. 2012, 96, 164–174. [Google Scholar] [CrossRef]
- Stephen, A.M.; Champ, M.M.; Cloran, S.J.; Fleith, M.; van Lieshout, L.; Mejborn, H.; Burley, V.J. Dietary fibre in europe: Current state of knowledge on definitions, sources, recommendations, intakes and relationships to health. Nutr Res. Rev. 2017, 30, 149–190. [Google Scholar] [CrossRef] [PubMed]
- The Korean Nutrition Society. 2020 Dietary Reference Intakes for Koreans; Ministry of Health and Welfare: Sejong-si, Korea, 2020.
- Dreher, M.L. Fiber and hypertension. In Dietary Fiber in Health and Disease; Springer: Berlin/Heidelberg, Germany, 2018; pp. 291–303. [Google Scholar]
- Schoeneck, M.; Iggman, D. The effects of foods on ldl cholesterol levels: A systematic review of the accumulated evidence from systematic reviews and meta-analyses of randomized controlled trials. Nutr. Metab. Cardiovasc. Dis. 2021, 31, 1325–1338. [Google Scholar] [CrossRef] [PubMed]
- Yao, B.; Fang, H.; Xu, W.; Yan, Y.; Xu, H.; Liu, Y.; Mo, M.; Zhang, H.; Zhao, Y. Dietary fiber intake and risk of type 2 diabetes: A dose-response analysis of prospective studies. Eur. J. Epidemiol. 2014, 29, 79–88. [Google Scholar] [CrossRef]
- Ye, E.Q.; Chacko, S.A.; Chou, E.L.; Kugizaki, M.; Liu, S. Greater whole-grain intake is associated with lower risk of type 2 diabetes, cardiovascular disease, and weight gain. J. Nutr. 2012, 142, 1304–1313. [Google Scholar] [CrossRef]
- Dietary fibre and incidence of type 2 diabetes in eight european countries: The epic-interact study and a meta-analysis of prospective studies. Diabetologia 2015, 58, 1394–1408. [CrossRef] [PubMed]
- Bazzano, L.A.; He, J.; Ogden, L.G.; Loria, C.M.; Whelton, P.K. Dietary fiber intake and reduced risk of coronary heart disease in us men and women: The national health and nutrition examination survey i epidemiologic follow-up study. Arch. Intern. Med. 2003, 163, 1897–1904. [Google Scholar] [CrossRef] [PubMed]
- Fuchs, F.D.; Whelton, P.K. High blood pressure and cardiovascular disease. Hypertension 2020, 75, 285–292. [Google Scholar] [CrossRef]
- Welty, F.K. Cardiovascular disease and dyslipidemia in women. Arch. Intern. Med. 2001, 161, 514–522. [Google Scholar] [CrossRef]
- Park, S.; Na, W.; Kim, M.; Kim, E.; Sohn, C. Correlation between intake of dietary fiber and adherence to the korean national dietary guidelines in adolescents from jeonju. Prev. Nutr. Food Sci. 2012, 17, 254–260. [Google Scholar] [CrossRef][Green Version]
- Lee, H.-J.; Kim, Y.-A.; Lee, H.-S. The estimated dietary fiber intake of korean by age and sex. J. Korean Soc. Food Sci. Nutr. 2006, 35, 1207–1214. [Google Scholar]
- Ma, Y.; He, F.J.; MacGregor, G.A. High salt intake: Independent risk factor for obesity? Hypertension 2015, 66, 843–849. [Google Scholar] [CrossRef]
- Christensen, A.S.; Viggers, L.; Hasselström, K.; Gregersen, S. Effect of fruit restriction on glycemic control in patients with type 2 diabetes—A randomized trial. Nutr. J. 2013, 12, 29. [Google Scholar] [CrossRef] [PubMed]
- Tanaka, S.; Yoshimura, Y.; Kawasaki, R.; Kamada, C.; Tanaka, S.; Horikawa, C.; Ohashi, Y.; Araki, A.; Ito, H.; Akanuma, Y.; et al. Fruit intake and incident diabetic retinopathy with type 2 diabetes. Epidemiology 2013, 24, 204–211. [Google Scholar] [CrossRef] [PubMed]
- Nöthlings, U.; Schulze, M.B.; Weikert, C.; Boeing, H.; van der Schouw, Y.T.; Bamia, C.; Benetou, V.; Lagiou, P.; Krogh, V.; Beulens, J.W.; et al. Intake of vegetables, legumes, and fruit, and risk for all-cause, cardiovascular, and cancer mortality in a european diabetic population. J. Nutr. 2008, 138, 775–781. [Google Scholar] [CrossRef] [PubMed]
- Sluik, D.; Boeing, H.; Li, K.; Kaaks, R.; Johnsen, N.F.; Tjønneland, A.; Arriola, L.; Barricarte, A.; Masala, G.; Grioni, S.; et al. Lifestyle factors and mortality risk in individuals with diabetes mellitus: Are the associations different from those in individuals without diabetes? Diabetologia 2014, 57, 63–72. [Google Scholar] [CrossRef] [PubMed]



| Variables | Q1 (0.37, 3.51) | Q2 (3.51, 4.64) | Q3 (4.64, 5.79) | Q4 (5.79, 7.44) | Q5 (7.44, 52.65) | p-Value |
|---|---|---|---|---|---|---|
| N | 28,610 | 28,610 | 28,610 | 28,610 | 28,610 | |
| Sex, men, n (%) | 10,033 (35.1) | 10,308 (36.0) | 10,438 (36.5) | 10,315 (36.1) | 9850 (34.4) | <0.001 |
| Age, years | 54.7 ± 9.4 | 53.9 ± 8.8 | 53.8 ± 8.6 | 53.6 ± 8.4 | 53.2 ± 8.2 | <0.001 |
| BMI, kg/m2 | 23.8 ± 3.0 | 23.9 ± 2.9 | 24.0 ± 2.9 | 24.0 ± 2.9 | 24.1 ± 2.9 | <0.001 |
| WC, cm | 81.0 ± 8.9 | 81.3 ± 8.7 | 81.4 ± 8.8 | 81.5 ± 8.7 | 81.4 ± 8.8 | <0.001 |
| SBP, mmHg | 122.5 ± 15.7 | 122.7 ± 15.5 | 122.8 ± 15.3 | 122.7 ± 15.3 | 122.5 ± 15.2 | <0.001 |
| DBP, mmHg | 76.1 ± 10.2 | 76.1 ± 10.1 | 76.2 ± 10.0 | 76.2 ± 10.0 | 76.4 ± 10.0 | <0.001 |
| Glucose, mg/dL | 96.0 ± 21.9 | 95.9 ± 21.9 | 95.7 ± 20.6 | 95.4 ± 21.0 | 95.2 ± 21.3 | <0.001 |
| HbA1c, % | 5.72 ± 0.77 | 5.71 ± 0.75 | 5.72 ± 0.73 | 5.72 ± 0.75 | 5.72 ± 0.74 | 0.901 |
| TC, mg/dL | 197.5 ± 36.1 | 197.2 ± 35.6 | 197.3 ± 35.7 | 197.7 ± 35.6 | 197.2 ± 35.5 | 0.392 |
| HDL-C, mg/dL | 52.4 ± 13.3 | 52.6 ± 13.1 | 52.6 ± 13.0 | 52.7 ± 13.0 | 52.9 ± 12.9 | 0.001 |
| LDL-C (mg/dL) | 119.3 ± 32.9 | 118.9 ± 32.7 | 119.0 ± 32.8 | 119.2 ± 32.6 | 119.0 ± 32.4 | 0.469 |
| TG, mg/dL | 129.9 ± 90.3 | 130.0 ± 92.4 | 129.3 ± 91.3 | 130.1 ± 91.1 | 127.9 ± 89.4 | 0.022 |
| Smoking status, n (%) | <0.001 | |||||
| Never smoker | 20,428 (71.4) | 20,424 (71.4) | 20,406 (71.3) | 20,525 (71.7) | 21,004 (73.4) | |
| Former smoker | 4177 (14.6) | 4421 (15.5) | 4602 (16.1) | 4467 (15.6) | 4218 (14.7) | |
| Current smoker | 4005 (14.0) | 3765 (13.2) | 3602 (12.6) | 3618 (12.7) | 3388 (11.8) | |
| Alcohol intake, n (%) | <0.001 | |||||
| Never drinker | 14,618 (51.1) | 14,355 (50.2) | 14,348 (50.2) | 14,418 (50.4) | 14,633 (51.2) | |
| Former drinker | 1271 (4.4) | 1155 (4.0) | 1100 (3.8) | 1049 (3.7) | 1210 (4.2) | |
| Current drinker | 12,721 (44.5) | 13,100 (45.8) | 13,162 (46.0) | 13,143 (45.9) | 12,767 (44.6) | |
| Regular exercise (No) | 12,359 (43.2) | 13,410 (46.9) | 14,468 (50.6) | 15,139 (52.9) | 16,353 (57.2) | <0.001 |
| HTN, n (%) | 4997 (17.5) | 4861 (17.0) | 4842 (16.9) | 4809 (16.8) | 4898 (17.1) | 0.272 |
| DM | 2165 (7.6) | 2157 (7.5) | 2064 (7.2) | 2019 (7.1) | 1959 (6.9) | 0.003 |
| Dyslipidemia | 16,216 (56.7) | 16,348 (57.1) | 16,228 (56.7) | 16,344 (57.1) | 16,083 (56.2) | 0.147 |
| Residential area, n (%) | <0.001 | |||||
| Urban | 23,776 (83.1) | 24,648 (86.2) | 24,993 (87.4) | 25,467 (89.0) | 25,472 (89.0) | |
| Rural | 4834 (16.9) | 3962 (13.9) | 3617 (12.6) | 3143 (11.0) | 3138 (11.0) | |
| Total energy, kcal/day | 1310.3 ± 344.0 | 1541.9 ± 356.2 | 1695.2 ± 377.3 | 1874.8 ± 415.3 | 2256.4 ± 630.7 | <0.001 |
| Carbohydrate intake, g/day | 242.8 ± 64.9 | 279.7 ± 64.8 | 304.1 ± 66.3 | 332.3 ± 71.3 | 389.4 ± 100.7 | <0.001 |
| Carbohydrate (%) | 74.2 ± 7.1 | 72.8 ± 6.7 | 72.1 ± 6.5 | 71.2 ± 6.5 | 69.70± 7.4 | <0.001 |
| Fat, g/day | 17.4 ± 10.5 | 22.6 ± 12.0 | 26.1 ± 13.1 | 30.3 ± 15.0 | 40.2 ± 22.9 | <0.001 |
| Fat (%) | 11.8 ± 5.7 | 13.01 ± 5.3 | 13.6 ± 5.1 | 14.2 ± 5.0 | 15.4 ± 5.4 | <0.001 |
| Protein, g/day | 38.9 ± 12.7 | 49.0 ± 14.1 | 55.9 ± 15.6 | 64.4 ± 17.9 | 84.2 ± 31.3 | <0.001 |
| Protein (%) | 11.9 ± 2.3 | 12.8 ± 2.2 | 13.2 ± 2.2 | 13.8 ± 2.3 | 14.9 ± 2.8 | <0.001 |
| Sodium, mg/day | 1135.9 ± 492.0 | 1837.7 ± 562.3 | 2355.9 ± 665.6 | 2919.9 ± 783.2 | 4306.2 ± 1666.1 | <0.001 |
| Potassium, mg/day | 1183.5 ± 392.1 | 1684.8 ± 377.2 | 2059.3 ± 410.6 | 2512.0 ± 474.2 | 3642.7 ± 1151.1 | <0.001 |
| Ca, mg | 229.8 ± 125.2 | 328.7 ± 135.5 | 402.5 ± 150.7 | 491.9 ± 168.0 | 736.1 ± 321.0 | <0.001 |
| P, mg | 571.8 ± 168.2 | 731.7 ± 177.5 | 843.6 ± 197.1 | 975.3 ± 222.5 | 1286.9 ± 415.7 | <0.001 |
| Fe, mg | 5.4 ± 1.6 | 7.5 ± 1.7 | 9.1 ± 1.9 | 11.0 ± 2.3 | 16.3 ± 6.0 | <0.001 |
| Vit. A, R.E | 201.4 ± 98.0 | 316.4 ± 117.5 | 405.8 ± 139.1 | 524.9 ± 173.3 | 920.7 ± 474.9 | <0.001 |
| Vit. B1, mg | 0.64 ± 0.23 | 0.82 ± 0.25 | 0.94 ± 0.26 | 1.10 ± 0.30 | 1.47 ± 0.51 | <0.001 |
| Vit. B2, mg | 0.53 ± 0.22 | 0.71 ± 0.25 | 0.84 ± 0.27 | 0.99 ± 0.30 | 1.38 ± 0.54 | <0.001 |
| Niacin, mg | 9.38 ± 3.09 | 11.92 ± 3.36 | 13.66 ± 3.68 | 15.77 ± 4.22 | 20.80 ± 7.42 | <0.001 |
| Vit. C, mg | 42.45 ± 20.01 | 70.18 ± 22.86 | 92.71 ± 27.07 | 121.30 ± 33.19 | 196.14 ± 82.27 | <0.001 |
| Zinc, μg | 5.38 ± 1.76 | 6.65 ± 2.05 | 7.52 ± 2.30 | 8.59 ± 2.70 | 11.15 ± 4.90 | <0.001 |
| Vit. B6, mg | 0.93 ± 0.25 | 1.24 ± 0.25 | 1.46 ± 0.28 | 1.74 ± 0.33 | 2.47 ± 0.80 | <0.001 |
| Folate, μg | 98.94 ± 30.53 | 152.45 ± 28.69 | 193.63 ± 33.93 | 243.46 ± 44.54 | 385.96 ± 146.10 | <0.001 |
| Retinol, μg | 41.20 ± 38.49 | 54.77 ± 46.34 | 63.83 ± 48.57 | 74.72 ± 54.54 | 102.65 ± 87.49 | <0.001 |
| Carotene, μg | 925.6 ± 469.8 | 1520.1 ± 585.1 | 1991.6 ± 720.7 | 2621.8 ± 924.6 | 4779.4 ± 2648.2 | <0.001 |
| Vit. E, mg | 4.49 ± 1.75 | 6.09 ± 2.04 | 7.31 ± 2.37 | 8.86 ± 2.77 | 13.24 ± 5.48 | <0.001 |
| Fiber, g | 2.7 ± 0.6 | 4.1 ± 0.3 | 5.2 ± 0.3 | 6.5 ± 0.5 | 10.1 ± 3.0 | <0.001 |
| All-Cause Mortality | |||||
| Variables | Warranty Period (0.5%) | n | Person-Time (Years) | Events, n | Incidence per 1000 Person-Years (95% CI) |
| Fiber (g) | |||||
| Q1 (0.37, 3.51) | 2.42 | 28,610 | 289,394.9 | 1511 | 5.22 (4.39–6.06) |
| Q2 (3.51, 4.64) | 3.09 | 28,610 | 288,648.6 | 1126 | 3.90 (3.18–4.62) |
| Q3 (4.64, 5.79) | 3.34 | 28,610 | 291,149.0 | 990 | 3.40 (2.73–4.08) |
| Q4 (5.79, 7.44) | 3.09 | 28,610 | 293,349.0 | 951 | 3.24 (2.58–3.90) |
| Q5 (7.44, 52.65) | 3.50 | 28,610 | 299,095.9 | 858 | 2.87 (2.25–3.49) |
| CVD Mortality | |||||
| Variables | Warranty Period (0.5%) | n | Person-Time (Years) | Events, n (%) | Incidence per 1000 Person-Years (95% CI) |
| Fiber (g) | |||||
| Q1 (0.37, 3.51) | 6.84 | 28,610 | 294,427.0 | 311 | 1.06 (0.68–1.43) |
| Q2 (3.51, 4.64) | 8.50 | 28,610 | 292,325.6 | 231 | 0.79 (0.47–1.12) |
| Q3 (4.64, 5.79) | 10.83 | 28,610 | 294,656.7 | 145 | 0.49 (0.24–0.75) |
| Q4 (5.79, 7.44) | 9.33 | 28,610 | 296,603.7 | 171 | 0.58 (0.30–0.86) |
| Q5 (7.44, 52.65) | 11.17 | 28,610 | 302,202.9 | 127 | 0.42 (0.18–0.66) |
| Q1 | Q2 | Q3 | Q4 | Q5 | |
|---|---|---|---|---|---|
| (0.37, 3.51) | (3.51, 4.64) | (4.64, 5.79) | (5.79, 7.44) | (7.44, 52.65) | |
| Hazard ratios (95% Confidence intervals) | |||||
| All-cause mortality | |||||
| Unadjusted | 1.00 (ref) | 0.75 | 0.65 | 0.62 | 0.54 |
| (0.70, 0.81) | (0.60, 0.71) | (0.57, 0.67) | (0.50, 0.59) | ||
| Model 1 | 1.00 (ref) | 0.89 | 0.83 | 0.85 | 0.84 |
| (0.82, 0.96) | (0.76, 0.90) | (0.78, 0.93) | (0.76, 0.94) | ||
| Model 2 | 1.00 (ref) | 0.88 | 0.82 | 0.85 | 0.84 |
| (0.82, 0.96) | (0.76, 0.90) | (0.78, 0.93) | (0.76, 0.93) | ||
| CVD mortality | |||||
| Unadjusted | 1.00 (ref) | 0.75 | 0.47 | 0.55 | 0.39 |
| (0.64–0.89) | (0.38–0.57) | (0.45–0.66) | (0.32–0.48) | ||
| Model 1 | 1.00 (ref) | 0.94 | 0.62 | 0.79 | 0.62 |
| (0.79–1.12) | (0.51–0.77) | (0.64–0.97) | (0.48–0.79) | ||
| Model 2 | 1.00 (ref) | 0.93 | 0.62 | 0.78 | 0.61 |
| (0.78–1.10) | (0.50–0.76) | (0.64–0.96) | (0.47–0.78) | ||
Publisher’s Note: MDPI stays neutral with regard to jurisdictional claims in published maps and institutional affiliations. |
© 2022 by the authors. Licensee MDPI, Basel, Switzerland. This article is an open access article distributed under the terms and conditions of the Creative Commons Attribution (CC BY) license (https://creativecommons.org/licenses/by/4.0/).
Share and Cite
Kwon, Y.-J.; Lee, H.-S.; Park, G.; Kim, H.-M.; Lee, J.-W. Association of Dietary Fiber Intake with All-Cause Mortality and Cardiovascular Disease Mortality: A 10-Year Prospective Cohort Study. Nutrients 2022, 14, 3089. https://doi.org/10.3390/nu14153089
Kwon Y-J, Lee H-S, Park G, Kim H-M, Lee J-W. Association of Dietary Fiber Intake with All-Cause Mortality and Cardiovascular Disease Mortality: A 10-Year Prospective Cohort Study. Nutrients. 2022; 14(15):3089. https://doi.org/10.3390/nu14153089
Chicago/Turabian StyleKwon, Yu-Jin, Hye-Sun Lee, Goeun Park, Hyung-Mi Kim, and Ji-Won Lee. 2022. "Association of Dietary Fiber Intake with All-Cause Mortality and Cardiovascular Disease Mortality: A 10-Year Prospective Cohort Study" Nutrients 14, no. 15: 3089. https://doi.org/10.3390/nu14153089
APA StyleKwon, Y.-J., Lee, H.-S., Park, G., Kim, H.-M., & Lee, J.-W. (2022). Association of Dietary Fiber Intake with All-Cause Mortality and Cardiovascular Disease Mortality: A 10-Year Prospective Cohort Study. Nutrients, 14(15), 3089. https://doi.org/10.3390/nu14153089

