Wasting, Stunting, and Anemia in Angolan Children after Deworming with Albendazole or a Test-and-Treat Approach for Intestinal Parasites: Binary Longitudinal Models with Temporal Structure in a Four-Arm Randomized Trial
Abstract
:1. Introduction
2. Materials and Methods
2.1. Study Design, Setting, Sample Size, and Inclusion Criteria
- Arm 1 (A1): deworming with annual single-dose albendazole (400 mg) at the individual level (annual-ALB*individual level);
- Arm 2 (A2): deworming with annual single-dose albendazole (400 mg) at the household level (annual-ALB*household level);
- Arm 3 (A3): four-monthly test-and-treat approach to intestinal parasites at the individual level (4TT*individual);
- Arm 4 (A4): four-monthly test-and-treat approach to intestinal parasites at the household level (4TT*household level).
2.2. Randomization Process, Baseline, and Follow-Up
2.3. Statistical Analysis
3. Results
3.1. Baseline Characterization of Participants
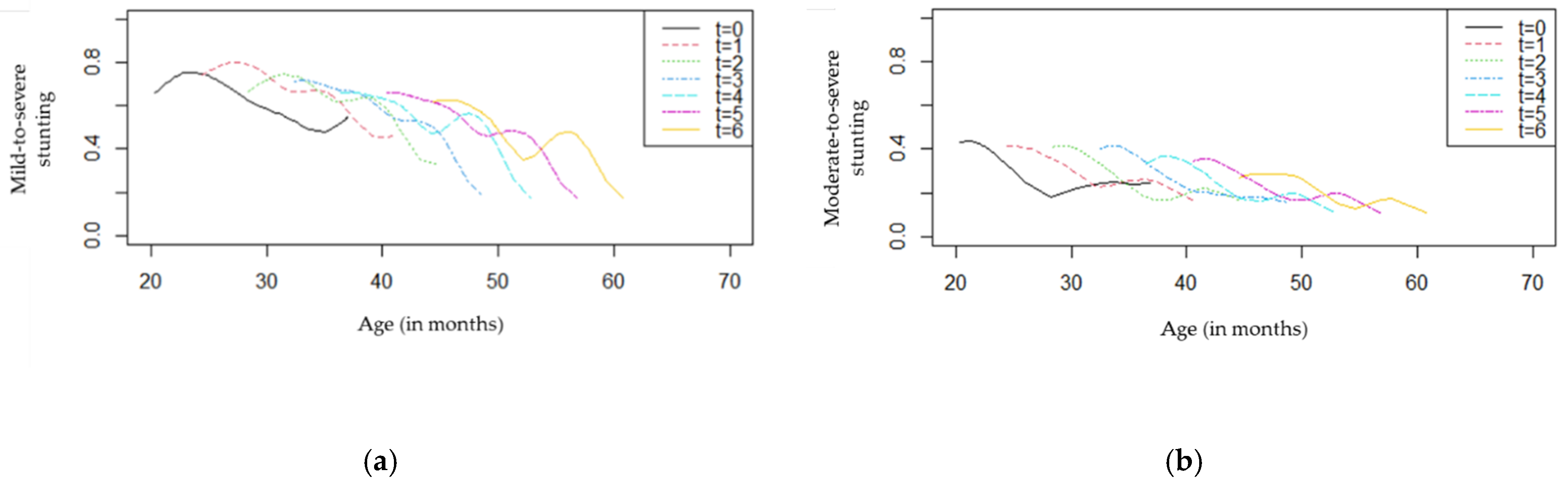
3.2. Mild-to-Severe and Moderate-to-Severe Stunting and Wasting
3.3. Clinical Data: Anemia, Malaria, Diarrhea, and Vomiting
4. Discussion
4.1. Wasting and Stunting
4.2. The Importance of Not Neglecting Mild Forms of Malnutrition
4.3. Anemia and Other Clinical Conditions
4.4. Multiple Causes of Malnutrition and Indirect Health Benefits for Participants
4.5. Marginal Models for Binary Longitudinal Data: Strengths and Limitations
5. Conclusions
Author Contributions
Funding
Institutional Review Board Statement
Informed Consent Statement
Data Availability Statement
Acknowledgments
Conflicts of Interest
Abbreviations
Appendix A
Appendix B

References
- Adair, L.S.; Fall, C.H.; Osmond, C.; Stein, A.D.; Martorell, R.; Ramirez-Zea, M.; Sachdev, H.S.; Dahly, D.L.; Bas, I.; Norris, S.A.; et al. Associations of linear growth and relative weight gain during early life with adult health and human capital in countries of low and middle income: Findings from five birth cohort studies. Lancet 2013, 382, 525–534. [Google Scholar] [CrossRef] [Green Version]
- Black, R.E.; Victora, C.G.; Walker, S.P.; Bhutta, Z.A.; Christian, P.; de Onis, M.; Ezzati, M.; Grantham-McGregor, S.; Katz, J.; Martorell, R.; et al. Maternal and child undernutrition and overweight in low-income and middle-income countries. Lancet 2013, 382, 427–451. [Google Scholar] [CrossRef]
- 2021 Global Nutrition Report: The State of Global Nutrition; Development Initiatives: Bristol, UK, 2021; Available online: https://globalnutritionreport.org/reports/2021-global-nutrition-report/ (accessed on 15 February 2022).
- United Nations Children’s Fund (UNICEF); World Health Organization (WHO); International Bank for Reconstruction and Development/The World Bank. Levels and Trends in Child Malnutrition: Key Findings of the 2021 Edition of the Joint Child Malnutrition Estimates; United Nations Children’s Fund: New York, NY, USA, 2021. [Google Scholar]
- World Health Organization (WHO). Global Nutrition Targets 2025: Policy Brief Series. Available online: https://www.who.int/publications/i/item/WHO-NMH-NHD-14.2 (accessed on 13 June 2021).
- World Health Organization (WHO). WHO Global Anaemia Estimates, 2021 Edition. Anaemia in Women and Children. Available online: https://www.who.int/data/gho/data/themes/topics/anaemia_in_women_and_children (accessed on 18 February 2022).
- Tesema, G.A.; Worku, M.G.; Tessema, Z.T.; Teshale, A.B.; Alem, A.Z.; Yeshaw, Y.; Alamneh, T.S.; Liyew, A.M. Prevalence and determinants of severity levels of anemia among children aged 6-59 months in sub-Saharan Africa: A multilevel ordinal logistic regression analysis. PLoS ONE 2021, 16, e0249978. [Google Scholar] [CrossRef]
- Paulson, K.R.; Kamath, A.M.; Alam, T.; Bienhoff, K.; Abady, G.G.; Abbas, J.; Abbasi-Kangevari, M.; Abbastabar, H.; Abd-Allah, F.; Abd-Elsalam, S.M.; et al. Global, regional, and national progress towards Sustainable Development Goal 3.2 for neonatal and child health: All-cause and cause-specific mortality findings from the Global Burden of Disease Study 2019. Lancet 2021, 398, 870–905. [Google Scholar] [CrossRef]
- Walson, J.L.; Berkley, J.A. The impact of malnutrition on childhood infections. Curr. Opin. Infect. Dis. 2018, 31, 231–236. [Google Scholar] [CrossRef]
- Mwene-Batu, P.; Bisimwa, G.; Baguma, M.; Chabwine, J.; Bapolisi, A.; Chimanuka, C.; Molima, C.; Dramaix, M.; Kashama, N.; Macq, J.; et al. Long-term effects of severe acute malnutrition during childhood on adult cognitive, academic and behavioural development in African fragile countries: The Lwiro cohort study in Democratic Republic of the Congo. PLoS ONE 2020, 15, e0244486. [Google Scholar] [CrossRef]
- United Nations Development Programme (UNDP). Human Development Report 2020. The Next Frontier: Human Development and the Anthropocene. Briefing Note for Countries on the 2020 Human Development Report—Angola. Available online: https://hdr.undp.org/en/content/2020-human-development-report-next-frontier-human-development-and-anthropocene (accessed on 13 July 2021).
- Oxford Poverty and Human Development Initiative (OPHI). Global MPI Country Briefing 2020: Angola (Sub-Saharan Africa). Available online: https://ophi.org.uk/wp-content/uploads/CB_AGO_2020.pdf (accessed on 17 August 2021).
- Instituto Nacional de Estatística (INE). Inquérito de Indicadores Múltiplos e de Saúde em Angola 2015–2016; INE: Luanda, Angola, 2017. [Google Scholar]
- World Health Organization (WHO). WHO Global Anaemia Estimates, 2021 Edition. Prevalence of Anaemia in Children Aged 6–59 Months. Available online: https://www.who.int/data/gho/data/indicators/indicator-details/GHO/prevalence-of-anaemia-in-children-under-5-years-(-) (accessed on 8 March 2022).
- World Health Organization (WHO). Ending the Neglect to Attain the Sustainable Development Goals: A Road Map for Neglected Tropical Diseases 2021–2030; World Health Organization: Geneva, Switzerland, 2020. Available online: https://www.who.int/publications/i/item/9789240010352 (accessed on 10 July 2021).
- World Health Organization (WHO). Guideline: Preventive Chemotherapy to Control Soil-Transmitted Helminth Infections in At-Risk Population Groups; WHO: Geneva, Switzerland, 2017.
- República de Angola and Ministério da Saúde (MINSA); Direcção Nacional de Saúde Pública; Departamento de Controlo de Doenças; Secção Nacional de Controlo das Doenças Tropicais Negligenciadas. Plano Estratégico Nacional de Doenças Tropicais Negligenciadas 2017–2021; MINSA: Luanda, Angola, 2017. [Google Scholar]
- Gasparinho, C.; Mirante, M.C.; Centeno-Lima, S.; Istrate, C.; Mayer, A.C.; Tavira, L.; Nery, S.V.; Brito, M. Etiology of Diarrhea in Children Younger than 5 Years Attending the Bengo General Hospital in Angola. Pediatr. Infect. Dis. J. 2016, 35, e28–e34. [Google Scholar] [CrossRef]
- Sousa-Figueiredo, J.C.; Gamboa, D.; Pedro, J.M.; Fançony, C.; Langa, A.J.; Magalhães, R.J.S.; Stothard, J.R.; Nery, S.V. Epidemiology of malaria, schistosomiasis, geohelminths, anemia and malnutrition in the context of a demographic surveillance system in northern Angola. PLoS ONE 2012, 7, e33189. [Google Scholar] [CrossRef] [Green Version]
- Fançony, C.; Soares, Â.; Lavinha, J.; Barros, H.; Brito, M. Iron deficiency anaemia among 6-to-36-month children from northern Angola. BMC Pediatrics 2020, 20, 298. [Google Scholar] [CrossRef]
- Gasparinho, C.; Kanjungo, A.; Zage, F.; Clemente, I.; Santos-Reis, A.; Brito, M.; Sousa-Figueiredo, J.C.; Fortes, F.; Gonçalves, L. Impact of Annual Albendazole versus Four-Monthly Test-and-Treat Approach of Intestinal Parasites on Children Growth—A Longitudinal Four-Arm Randomized Parallel Trial during Two Years of a Community Follow-Up in Bengo, Angola. Pathogens 2021, 10, 309. [Google Scholar] [CrossRef]
- World Health Organization (WHO). WHO Child Growth Standards: Length/Height-for-Age, Weight-for-Age, Weight-for-Length, Weight-for-Height and Body Mass Index-for-Age: Methods and Development; WHO: Geneva, Switzerland, 2006.
- World Health Organization (WHO). Nutritional Anaemias: Tools for Effective Prevention and Control; World Health Organization: Geneva, Switzerland, 2017.
- Moher, D.; Hopewell, S.; Schulz, K.F.; Montori, V.; Gøtzsche, P.C.; Devereaux, P.J.; Elbourne, D.; Egger, M.; Altman, D.G. CONSORT 2010 explanation and elaboration: Updated guidelines for reporting parallel group randomised trials. BMJ 2010, 340, c869. [Google Scholar] [CrossRef] [PubMed] [Green Version]
- Gonçalves, M.H.; Cabral, M.S.; Azzalini, A. The R Package bild for the Analysis of Binary Longitudinal Data. J. Stat. Softw. 2012, 46, 1–17. [Google Scholar] [CrossRef] [Green Version]
- Dziak, J.J.; Coffman, D.L.; Lanza, S.T.; Li, R. Sensitivity and specificity of information criteria. Brief. Bioinform. 2020, 21, 553–565. [Google Scholar] [CrossRef] [PubMed]
- Kinyoki, D.K.; Berkley, J.A.; Moloney, G.M.; Odundo, E.O.; Kandala, N.-B.; Noor, A.M. Space–time mapping of wasting among children under the age of five years in Somalia from 2007 to 2010. Spat. Spatio-Temporal Epidemiol. 2016, 16, 77–87. [Google Scholar] [CrossRef] [Green Version]
- Mutunga, M.; Rutishauser-Perera, A.; Laillou, A.; Prak, S.; Berger, J.; Wieringa, F.T.; Bahwere, P. The relationship between wasting and stunting in Cambodian children: Secondary analysis of longitudinal data of children below 24 months of age followed up until the age of 59 months. PLoS ONE 2021, 16, e0259765. [Google Scholar] [CrossRef]
- The Lancet. Thinking beyond deworming. Lancet 2004, 364, 1993–1994. [Google Scholar] [CrossRef]
- Dacal, E.; Saugar, J.M.; de Lucio, A.; Hernández-de-Mingo, M.; Robinson, E.; Köster, P.C.; Aznar-Ruiz-de-Alegría, M.L.; Espasa, M.; Ninda, A.; Gandasegui, J.; et al. Prevalence and molecular characterization of Strongyloides stercoralis, Giardia duodenalis, Cryptosporidium spp., and Blastocystis spp. isolates in school children in Cubal, Western Angola. Parasites Vectors 2018, 11, 67. [Google Scholar] [CrossRef] [Green Version]
- Andrews, J.R.; Bogoch, I.I.; Utzinger, J. The benefits of mass deworming on health outcomes: New evidence synthesis, the debate persists. Lancet Glob. Health 2017, 5, e4–e5. [Google Scholar] [CrossRef] [Green Version]
- Clarke, N.E.; Ng-Nguyen, D.; Traub, R.J.; Clements, A.C.A.; Halton, K.; Anderson, R.M.; Gray, D.J.; Coffeng, L.E.; Kaldor, J.M.; Vaz Nery, S. A cluster-randomised controlled trial comparing school and community-based deworming for soil transmitted helminth control in school-age children: The CoDe-STH trial protocol. BMC Infect. Dis. 2019, 19, 822. [Google Scholar] [CrossRef]
- Bauhofer, A.F.L.; Cossa-Moiane, I.L.C.; Marques, S.D.A.; Guimarães, E.L.A.M.; Munlela, B.A.; Anapakala, E.M.; Chiláule, J.J.; Cassocera, M.; Langa, J.S.; Chissaque, A.; et al. Intestinal protozoa in hospitalized under-five children with diarrhoea in Nampula—A cross-sectional analysis in a low-income setting in northern Mozambique. BMC Infect. Dis. 2021, 21, 201. [Google Scholar] [CrossRef]
- Siwila, J.; Mwaba, F.; Chidumayo, N.; Mubanga, C. Food and waterborne protozoan parasites: The African perspective. Food Waterborne Parasitol. 2020, 20, e00088. [Google Scholar] [CrossRef]
- Nkengasong, J.N.; Yao, K.; Onyebujoh, P. Laboratory medicine in low-income and middle-income countries: Progress and challenges. Lancet 2018, 391, 1873–1875. [Google Scholar] [CrossRef] [Green Version]
- Victora, C.G.; Christian, P.; Vidaletti, L.P.; Gatica-Domínguez, G.; Menon, P.; Black, R.E. Revisiting maternal and child undernutrition in low-income and middle-income countries: Variable progress towards an unfinished agenda. Lancet 2021, 397, 1388–1399. [Google Scholar] [CrossRef]
- Thurstans, S.; Opondo, C.; Seal, A.; Wells, J.; Khara, T.; Dolan, C.; Briend, A.; Myatt, M.; Garenne, M.; Sear, R.; et al. Boys are more likely to be undernourished than girls: A systematic review and meta-analysis of sex differences in undernutrition. BMJ Glob. Health 2020, 5, e004030. [Google Scholar] [CrossRef] [PubMed]
- Costa, J.C.; Blumenberg, C.; Victora, C. Growth patterns by sex and age among under-5 children from 87 low-income and middle-income countries. BMJ Glob. Health 2021, 6, e007152. [Google Scholar] [CrossRef]
- Stevens, G.A.; Finucane, M.M.; Paciorek, C.J.; Flaxman, S.R.; White, R.A.; Donner, A.J.; Ezzati, M. Trends in mild, moderate, and severe stunting and underweight, and progress towards MDG 1 in 141 developing countries: A systematic analysis of population representative data. Lancet 2012, 380, 824–834. [Google Scholar] [CrossRef] [Green Version]
- Hossain, M.S.; Das, S.; Gazi, M.A.; Mahfuz, M.; Ahmed, T. Ascaris lumbricoides infection: Still a threat for iron deficiency anaemia in 2-year-old Bangladeshi slum-dwelling children. J. Infect. Dev. Ctries. 2019, 13. [Google Scholar] [CrossRef] [PubMed] [Green Version]
- Das, S.; Gulshan, J. Different forms of malnutrition among under five children in Bangladesh: A cross sectional study on prevalence and determinants. BMC Nutr. 2017, 3, 1. [Google Scholar] [CrossRef] [Green Version]
- Khan, S.; Zaheer, S.; Safdar, N.F. Determinants of stunting, underweight and wasting among children < 5 years of age: Evidence from 2012–2013 Pakistan demographic and health survey. BMC Public Health 2019, 19, 358. [Google Scholar]
- Vaivada, T.; Akseer, N.; Akseer, S.; Somaskandan, A.; Stefopulos, M.; Bhutta, Z.A. Stunting in childhood: An overview of global burden, trends, determinants, and drivers of decline. Am. J. Clin. Nutr. 2020, 112, 777S–791S. [Google Scholar] [CrossRef]
- Bhutta, Z.A.; Akseer, A.; Keats, E.C.; Vaivada, T.; Baker, S.; Horton, S.E.; Katz, J.; Menon, P.; Piwoz, E. How countries can reduce child stunting at scale: Lessons from exemplar countries. Am. J. Clin. Nutr. 2020, 112, 894S–904S. [Google Scholar] [CrossRef] [PubMed]
- Ersino, G.; Henry, C.J.; Zello, G.A. Suboptimal Feeding Practices and High Levels of Undernutrition Among Infants and Young Children in the Rural Communities of Halaba and Zeway, Ethiopia. Food Nutr. Bull. 2016, 37, 409–424. [Google Scholar] [CrossRef] [PubMed] [Green Version]
- Akombi, B.J.; Agho, K.E.; Hall, J.J.; Wali, N.; Renzaho, A.M.N.; Merom, D. Stunting, Wasting and Underweight in Sub-Saharan Africa: A Systematic Review. Int. J. Environ. Res. Public Health 2017, 14, 863. [Google Scholar] [CrossRef] [PubMed] [Green Version]
- Zegeye, B.; Adjei, N.K.; Olorunsaiye, C.Z.; Ahinkorah, B.O.; Ameyaw, E.K.; Budu, E.; Seidu, A.-A.; Yaya, S. Time trends in socio-economic and geographic-based inequalities in childhood wasting in Guinea over 2 decades: A cross-sectional study. Int. Health 2022, 1–9. [Google Scholar] [CrossRef] [PubMed]
- Kang, Y.; Cho, M.; Rahman, M.M.; Cho, Y.; Han, S.; Dutta, M.L. Design of a collaborative monitoring and evaluation system for a community-based nutrition project in rural Bangladesh. Eval. Program Plan. 2021, 84, 101892. [Google Scholar] [CrossRef]
- Shrestha, S.S. Essays on Childhood Nutritional Deprivation in Nepal and Off-Farm Employment in the United States: Multi-level and Spatial Econometric Modeling Approach. Ph.D. Thesis, The Pennsylvania State University, State College, PA, USA, 2007. [Google Scholar]
- Miguel, E.; Kremer, M. Worms: Identifying impacts on education and health in the presence of treatment externalities. Econometrica 2004, 72, 159–217. [Google Scholar] [CrossRef]
- Hamory, J.; Miguel, E.; Walker, M.; Kremer, M.; Baird, S. Twenty-year economic impacts of deworming. Proc. Natl. Acad. Sci. USA 2021, 118, e2023185118. [Google Scholar] [CrossRef]
- Rosário, E.V.N.; Costa, D.; Francisco, D.; Brito, M. HDSS Profile: The Dande Health and Demographic Surveillance System (Dande HDSS, Angola). Int. J. Epidemiol. 2017, 46, 1094–1094g. [Google Scholar] [CrossRef]
- Wickham, R.J. Secondary Analysis Research. J. Adv. Pract. Oncol. 2019, 10, 395. [Google Scholar]
- Szmaragd, C.; Clarke, P.; and Steele, F. Subject specific and population average models for binary longitudinal data: A tutorial. Longit. Life Course Stud. 2013, 4, 19. [Google Scholar]






| Stunting | ||||||||||
|---|---|---|---|---|---|---|---|---|---|---|
| Arms | A1 | A2 | A3 | A4 | Total | |||||
| Severity | Mild- to-Sev | Mod- to-Sev | Mild- to-Sev | Mod- to-Sev | Mild- to-Sev | Mod- to-Sev | Mild- to-Sev | Mod- to-Sev | Mild- to-Sev | Mod- to-Sev |
| Follow-Up (Fu) | n (%) | n (%) | n (%) | n (%) | n (%) | n (%) | n (%) | n (%) | n (%) | n (%) |
| Fu1 | 21 (72.4) | 7 (24.1) | 21 (67.7) | 11(35.5) | 21 (67.7) | 8 (25.8) | 20 (66.7) | 11 (36.7) | 83 (68.6) | 37 (30.6) |
| Fu2 | 15 (51.7) | 7 (24.1) | 20 (64.5) | 10(32.3) | 21 (67.7) | 7 (22.6) | 20 (66.7) | 10 (33.3) | 76 (62.8) | 34 (28.1) |
| Fu3 | 15 (51.7) | 8 (27.6) | 17 (54.8) | 6 (19.4) | 20 (64.5) | 9 (29.0) | 18 (60.0) | 11 (36.7) | 70 (57.9) | 34 (28.1) |
| Fu4 | 15 (51.7) | 7 (24.1) | 16 (51.6) | 7 (22.6) | 19 (61.3) | 7 (22.6) | 16 (53.3) | 10 (33.3) | 66 (54.5) | 31 (25.6) |
| Fu5 | 15 (51.7) | 7 (24.1) | 17 (54.8) | 6 (19.4) | 17 (54.8) | 8 (25.8) | 14 (46.7) | 9 (30.0) | 63 (52.1) | 30 (24.8) |
| Fu6 | 13 (44.8) | 6 (20.7) | 15 (48.4) | 6 (19.4) | 17 (54.8) | 7 (22.6) | 14 (46.7) | 8 (26.7) | 59 (48.8) | 27 (22.3) |
| Wasting | ||||||||||
|---|---|---|---|---|---|---|---|---|---|---|
| Arms | A1 | A2 | A3 | A4 | Total | |||||
| Severity | Mild- to-Sev | Mod- to-Sev | Mild- to-Sev | Mod- to-Sev | Mild- to-Sev | Mod- to-Sev | Mild- to-Sev | Mod- to-Sev | Mild- to-Sev | Mod- to-Sev |
| Follow-Up (Fu) | n (%) | n (%) | n (%) | n (%) | n (%) | n (%) | n (%) | n (%) | n (%) | n (%) |
| Fu1 | 8 (27.6) | 1 (3.4) | 7(22.6) | 2 (6.5) | 1 (3.2) | 0 (0.0) | 4 (13.3) | 1 (3.3) | 20 (16.5) | 4 (3.3) |
| Fu2 | 7 (24.1) | 1 (3.4) | 3 (9.7) | 0 (0.0) | 3 (9.7) | 0 (0.0) | 5 (16.7) | 0 (0.0) | 18 (14.9) | 1 (0.8) |
| Fu3 | 7 (24.1) | 1 (3.4) | 4 (12.9) | 1 (3.2) | 2 (6.5) | 1 (3.2) | 4 (13.3) | 2 (6.7) | 17 (14.0) | 5 (4.1) |
| Fu4 | 5 (17.2) | 1 (3.4) | 4 (12.9) | 1 (3.2) | 3 (9.7) | 1 (3.2) | 6 (20.0) | 1 (3.3) | 18 (14.9) | 4 (3.3) |
| Fu5 | 6 (20.7) | 2 (6.9) | 4 (12.9) | 2 (6.5) | 2 (6.5) | 0 (0.0) | 8 (26.7) | 0 (0.0) | 20 (16.5) | 4 (3.3) |
| Fu6 | 11 (37.9) | 2 (6.9) | 7 (22.6) | 0 (0.0) | 3 (9.7) | 0 (0.0) | 6 (20.0) | 2 (6.7) | 27 (22.3) | 4 (3.3) |
| Model (M) | Structure | Effect | Mild-to-Severe Stunting | Moderate-to-Severe Stunting | ||||
| AIC | BIC | LogLike | AIC | BIC | LogLike | |||
| M1 | Independent | Arm + Time | 1144.90 | 1202.32 | −567.45 | 992.79 | 1050.21 | −491.39 |
| M2 | Independent | Arm + Time + Age | 1096.96 | 1165.86 | −542.48 | 959.53 | 1028.43 | −473.76 |
| M3 | Independent | Arm + Time + Age + Sex | 1091.30 | 1171.69 | −538.65 | 957.82 | 1038.20 | −471.91 |
| M4 | MC1-Dependent | Arm + Time | 580.72 | 649.62 | −284.36 | 489.56 | 558.46 | −238.78 |
| M5 | MC1-Dependent | Arm + Time + Age | 573.31 | 653.69 | −279.65 | 485.34 | 565.72 | −235.67 |
| M6 | MC1-Dependent | Arm + Time + Age + Sex | 574.29 | 666.16 | −279.14 | 485.95 | 577.81 | −234.97 |
| M7 | MC2-Dependent | Arm + Time | 551.32 | 631.70 | −268.66 | 440.39 | 520.78 | −213.20 |
| M8 | MC2-Dependent | Arm + Time + Age | 544.83 | 636.70 | −264.42 | 437.23 | 529.10 | −210.61 |
| M9 | MC2-Dependent | Arm + Time + Age + Sex | 545.87 | 649.22 | −263.93 | 438.56 | 541.91 | −210.28 |
| Model (M) | Structure | Effect | Mild-to-Severe Wasting | Moderate-to-Severe Wasting | ||||
| AIC | BIC | LogLike | AIC | BIC | LogLike | |||
| M1 | Independent | Arm + Time | 791.52 | 848.94 | −390.76 | 268.06 | 325.48 | −129.03 |
| M2 | Independent | Arm + Time + Age | 790.21 | 859.11 | −389.11 | 267.75 | 336.65 | −127.87 |
| M3 | Independent | Arm + Time + Age + Sex | 787.04 | 867.42 | −386.52 | 265.51 | 345.90 | −125.76 |
| M4 | MC1-Dependent | Arm + Time | 605.60 | 674.05 | −296.80 | 238.37 | 307.27 | −113.18 |
| M5 | MC1-Dependent | Arm + Time + Age | 606.96 | 687.35 | −296.48 | 239.66 | 320.05 | −112.83 |
| M6 | MC1-Dependent | Arm + Time + Age + Sex | 607.40 | 699.27 | −295.70 | 239.85 | 331.71 | −111.92 |
| M7 | MC2-Dependent | Arm + Time | 580.55 | 660.93 | −283.27 | 236.91 | 317.30 | −111.46 |
| M8 | MC2-Dependent | Arm + Time + Age | 582.25 | 674.12 | −283.12 | 238.41 | 330.28 | −111.21 |
| M9 | MC2-Dependent | Arm + Time + Age + Sex | 582.85 | 686.20 | −282.43 | 239.19 | 342.55 | −110.60 |
| Model M8 | Mild-to-Severe Stunting | Moderate-to-Severe Stunting | ||||||
| Fixed Effect Parameter | Estimate | SE | ORadj | p-Value | Estimate | SE | ORadj | p-Value |
| Intercept | 3.130 | 0.9611 | - | 0.001 | 1.398 | 1.0922 | - | 0.201 |
| A2 | 0.401 | 0.4669 | 1.494 | 0.390 | 0.319 | 0.5323 | 1.375 | 0.550 |
| A3 | 0.348 | 0.4611 | 1.417 | 0.450 | −0.009 | 0.5345 | 0.991 | 0.987 |
| A4 | 0.379 | 0.4684 | 1.461 | 0.418 | 0.539 | 0.5308 | 1.714 | 0.310 |
| Time | −0.031 | 0.0082 | 0.969 | <0.001 | −0.019 | 0.0076 | 0.982 | 0.015 |
| Age | −0.100 | 0.0347 | 0.905 | 0.004 | −0.090 | 0.0408 | 0.914 | 0.027 |
| Dependence Parameter: | ||||||||
| log.psi1 | 4.786 | 0.3551 | - | <0.001 | 4.971 | 0.4332 | - | <0.001 |
| log.psi2 | 2.244 | 0.3856 | - | <0.001 | 3.060 | 0.4204 | - | <0.001 |
| Model M7 | Mild-to-Severe Wasting | Moderate-to-Severe Wasting | ||||||
| Fixed effect parameter | Estimate | SE | ORadj | p-value | Estimate | SE | ORadj | p-value |
| Intercept | −0.604 | 0.3297 | - | 0.067 | −2.331 | 0.5482 | - | <0.001 |
| A2 | −0.674 | 0.4441 | 0.510 | 0.130 | −0.562 | 0.7011 | 0.570 | 0.423 |
| A3 | −1.319 | 0.4858 | 0.268 | 0.007 | −1.476 | 0.8436 | 0.229 | 0.080 |
| A4 | −0.562 | 0.4398 | 0.570 | 0.202 | −0.305 | 0.6796 | 0.737 | 0.654 |
| Time | −0.015 | 0.0126 | 0.986 | 0.248 | −0.036 | 0.0272 | 0.965 | 0.190 |
| Dependence Parameter: | ||||||||
| log.psi1 | 3.101 | 0.3223 | - | <0.001 | 3.106 | 0.6310 | - | <0.001 |
| log.psi2 | 1.767 | 0.3252 | - | <0.001 | 1.539 | 0.7608 | - | 0.043 |
| Clinical Data | Anemia | Malaria—Plasmodium falciparum | ||||||||
|---|---|---|---|---|---|---|---|---|---|---|
| Arms | A1 | A2 | A3 | A4 | Total | A1 | A2 | A3 | A4 | Total |
| Follow-Up (Fu) | n (%) | n (%) | n (%) | n (%) | n (%) | n (%) | n (%) | n (%) | n (%) | n (%) |
| Baseline | 16 (59.3) | 16 (51.6) | 13 (41.9) | 19 (63.3) | 64 (53.8) | 4 (13.8) | 3 (9.7) | 2 (6.5) | 2 (6.7) | 11 (9.1) |
| Fu1 | 11 (39.3) | 11 (40.7) | 8 (29.6) | 10 (34.5) | 40 (36.0) | 2 (7.1) | 0 (0.0) | 2 (7.4) | 2 (6.9) | 6 (5.4) |
| Fu2 | 9 (32.1) | 7 (25.0) | 6 (23.1) | 4 (13.8) | 26 (23.4) | 2 (7.1) | 0 (0.0) | 2 (7.7) | 1 (3.6) | 5 (4.5) |
| Fu3 | 9 (32.1) | 5 (19.2) | 8 (30.8) | 10 (34.5) | 32 (29.4) | 2 (7.1) | 0 (0.0) | 0 (0.0) | 1 (3.7) | 3 (2.8) |
| Fu4 | 5 (20.8) | 6 (23.1) | 6 (24.0) | 6 (20.7) | 23 (22.1) | 0 (0.0) | 0 (0.0) | 2 (8.0) | 4 (13.8) | 6 (5.7) |
| Fu5 | 4 (15.4) | 7 (26.9) | 7 (26.9) | 9 (34.6) | 27 (26.0) | 2 (7.7) | 1 (3.7) | 2 (7.7) | 3 (11.5) | 8 (7.6) |
| Fu6 | 9 (33.3) | 8 (29.6) | 7 (26.9) | 7 (25.9) | 31 (29.0) | 3 (11.1) | 3 (11.1) | 2 (7.7) | 1 (3.7) | 9 (8.4) |
| Clinical Data | Diarrhea | Vomiting | ||||||||
|---|---|---|---|---|---|---|---|---|---|---|
| Arms | A1 | A2 | A3 | A4 | Total | A1 | A2 | A3 | A4 | Total |
| Follow-Up (Fu) | n (%) | n (%) | n (%) | n (%) | n (%) | n (%) | n (%) | n (%) | n (%) | n (%) |
| Baseline | 15 (51.7) | 10 (32.3) | 16 (51.6) | 17 (56.7) | 58 (47.9) | 4 (13.8) | 7 (22.6) | 5 (16.1) | 2 (6.7) | 18 (14.9) |
| Fu1 | 5 (17.9) | 6 (22.2) | 6 (22.2) | 6 (20.7) | 23 (20.7) | 2 (7.1) | 0 (0.0) | 0 (0.0) | 0 (0.0) | 2 (1.8) |
| Fu2 | 6 (21.4) | 5 (17.2) | 5 (20.0) | 7 (24.1) | 23 (20.7) | 1 (3.6) | 0 (0.0) | 0 (0.0) | 0 (0.0) | 1 (0.9) |
| Fu3 | 5 (17.9) | 6 (21.4) | 3 (11.1) | 4 (13.8) | 18 (16.1) | 0 (0.0) | 0 (0.0) | 0 (0.0) | 0 (0.0) | 0 (0.0) |
| Fu4 | 5 (20.8) | 6 (22.2) | 4 (16.0) | 3 (10.3) | 18 (17.1) | 1 (4.2) | 0 (0.0) | 1 (4.0) | 0 (0.0) | 2 (1.9) |
| Fu5 | 4 (15.4) | 3 (11.1) | 1 (3.8) | 3 (11.5) | 11 (10.5) | 0 (0.0) | 0 (0.0) | 0 (0.0) | 0 (0.0) | 0 (0.0) |
| Fu6 | 1 (3.7) | 2 (7.4) | 3 (11.5) | 4 (14.8) | 10 (9.3) | 0 (0.0) | 0 (0.0) | 1 (3.8) | 0 (0.0) | 1 (0.9) |
Publisher’s Note: MDPI stays neutral with regard to jurisdictional claims in published maps and institutional affiliations. |
© 2022 by the authors. Licensee MDPI, Basel, Switzerland. This article is an open access article distributed under the terms and conditions of the Creative Commons Attribution (CC BY) license (https://creativecommons.org/licenses/by/4.0/).
Share and Cite
Gasparinho, C.; Gonçalves, M.H.; Chissaque, A.; Silva, G.L.; Fortes, F.; Gonçalves, L. Wasting, Stunting, and Anemia in Angolan Children after Deworming with Albendazole or a Test-and-Treat Approach for Intestinal Parasites: Binary Longitudinal Models with Temporal Structure in a Four-Arm Randomized Trial. Nutrients 2022, 14, 2185. https://doi.org/10.3390/nu14112185
Gasparinho C, Gonçalves MH, Chissaque A, Silva GL, Fortes F, Gonçalves L. Wasting, Stunting, and Anemia in Angolan Children after Deworming with Albendazole or a Test-and-Treat Approach for Intestinal Parasites: Binary Longitudinal Models with Temporal Structure in a Four-Arm Randomized Trial. Nutrients. 2022; 14(11):2185. https://doi.org/10.3390/nu14112185
Chicago/Turabian StyleGasparinho, Carolina, Maria Helena Gonçalves, Assucênio Chissaque, Giovani L. Silva, Filomeno Fortes, and Luzia Gonçalves. 2022. "Wasting, Stunting, and Anemia in Angolan Children after Deworming with Albendazole or a Test-and-Treat Approach for Intestinal Parasites: Binary Longitudinal Models with Temporal Structure in a Four-Arm Randomized Trial" Nutrients 14, no. 11: 2185. https://doi.org/10.3390/nu14112185
APA StyleGasparinho, C., Gonçalves, M. H., Chissaque, A., Silva, G. L., Fortes, F., & Gonçalves, L. (2022). Wasting, Stunting, and Anemia in Angolan Children after Deworming with Albendazole or a Test-and-Treat Approach for Intestinal Parasites: Binary Longitudinal Models with Temporal Structure in a Four-Arm Randomized Trial. Nutrients, 14(11), 2185. https://doi.org/10.3390/nu14112185

