Abstract
Along with the increasing overweight and obesity trends among adults and children globally, numerous studies have suggested a strong association between maternal overweight and obesity among their offspring. We sought to report the prevalence and associated factors of intergenerational overweight and obesity among mother–child pairs in Malaysia from 2006 to 2015. Data were analysed from three waves of the Malaysian National Health and Morbidity Survey, a population-based cross-sectional study conducted in 2006, 2011 and 2015. A mother and the youngest child from each household formed ‘mother–child pairs’ and were grouped according to their body mass index categories. A multivariable logistic regression model was performed to determine the factors associated with overweight mother/overweight child pairs (OWM/OWC), with normal weight mother/normal weight child pairs (NWM/NWC) as the reference group. The prevalence of OWM/OWC increased from 15.3% to 21.7%, while the prevalence of NWM/NWC decreased from 28.4% to 23.8% between 2006 and 2015. Older maternal age and having primary and secondary education levels were positively associated with OWM/OWC. Conversely, older child age, Chinese ethnicity, large household size and low-income households were inversely associated with OWM/OWC. In conclusion, intergenerational weight gain is a worrisome trend in Malaysia. These findings may help in guiding priority setting for obesity prevention strategies in Malaysia.
1. Introduction
The epidemic of overweight and obesity has become one of the most significant challenges to public health globally. It has been estimated that 120 million disability-adjusted life-years and 4 million of all of the deaths in the population worldwide were attributed to overweight and obesity []. Recent findings reported that there was a 50% to 80% increase in the prevalence of overweight and obesity across the globe over the past 35 years, with a higher prevalence in women []. The number of overweight and obese children has also risen from 4% to 18% over the past four decades [].
Overweight or obesity has been observed among both adults and children living in the same household, and this trend is apparent particularly among parents and children. A strong relationship between maternal obesity and obesity among their offspring has been reported in numerous studies [,,,,]. The intergenerational overweight and obesity can occur either through the shared environment or genetic inheritance [,,]. There are a few theories that support the intergenerational overweight and obesity, such as the theory of Developmental Origins of Health and Disease, which posits that early-life exposure to the maternal environment may promote the development of chronic diseases through foetal programming []. On the other hand, the Maternal Resources Hypothesis suggests that childhood obesity is the consequence of socioeconomic evolution over the past century, such as a decrease in maternal physical activity and improved nutrition []. As a result, maternal energy resources, both body mass and adiposity, are accumulated together with a reduction in maternal metabolic function. The offspring of a mother with obesity will be born with impaired metabolic function, which is linked to obesity []. The undesirable intergenerational cycle of obesity may take place because the process of intergenerational overweight and obesity starts in early life and continues through childhood. Children with obesity are prone to developing overweight or obesity during adulthood, which is linked to a higher risk of cardiometabolic diseases [,].
Evaluating the intergenerational overweight and obesity, specifically related to mothers and offspring, is critical, as this would be an important point of intervention for future prevention of cardiometabolic diseases for mothers and their children. Until recently, there have been a limited number of studies that have reported the prevalence of overweight among mothers and offspring living in the same household [,,,,,,,,], including Malaysia. Most of these studies were conducted in low- and middle-income countries, except for one study that included data from 12 countries of different income levels []. Based on the existing literature, the prevalence was from 0.6% in the Gaza Strip to 40.0% in Mexico [,].
In Malaysia, only a single study has reported the prevalence of overweight among mother–child pairs []. This study was conducted in Segamat, a small district located in the southern part of the country; however, the samples did not include the entire Malaysian population. Besides, no study to date has evaluated trends in the prevalence of overweight mother–child pairs. Additionally, there is limited literature on the factors associated with overweight and obesity in mother–child pairs []. Therefore, in this study, we aimed to determine the prevalence and associated factors of overweight and obesity among mother–child pairs using data from three waves of a nationally representative survey in Malaysia from 2006 to 2015.
2. Materials and Methods
2.1. Study Design
The Malaysian National Health and Morbidity Survey (NHMS) is a repeated cross-sectional survey. Initially, it was a ten-yearly survey. It was first conducted in 1986 in Peninsular Malaysia. The second and third surveys were carried out in Sabah and Sarawak in 1996 and 2006. The survey became a five-yearly survey after the NHMS 2006 []. It is a household-based survey to obtain information on health status, health needs and expenditures of the Malaysian population. Each respective survey was conducted in a different household. The survey applied a two-stage stratified random sampling scheme, consisting of Enumeration Blocks (EB) and Living Quarters (LQ). Detailed procedures of data collection for the NHMS have been described previously [,,].
2.2. Ethical Approval
Ethical approval for this study was granted by the Medical Research Ethics Committee (MREC), the Ministry of Health Malaysia (NMRR-17-2714-38075) and the Human Research Ethics Committee of Universiti Sains Malaysia (USM/JEPeM/17110579).
2.3. Study Sample
Generally, Malaysia consists of two main regions: Peninsular Malaysia and East Malaysia. East Malaysia is comprised of the states Sabah and Sarawak. Data from the year 1986 survey were not included because it was only conducted in Peninsular Malaysia. The second survey was conducted in the year 1996 including Sabah and Sarawak. Even so, there was a ten-year gap between the second and the third survey, which was conducted in 2006 due to the financial constraints for conducting the survey. In 2010, the Minister of Health Malaysia started to recommend and allocate specific budgets for annual surveys to provide updated information for policymakers. Hence, the following surveys were carried out every five years. During this study, the Director General of Health Malaysia granted us approval and permission to analyse the data in 2018.
Data were pooled from three waves of the NHMS, from 2006, 2011 and 2015. All extracted data were re-identified and anonymised. In order to match the mother–child pairs, ‘mother’ and ‘child’ were determined manually based on their relationship to the head of the household, sex and age. In Malaysian culture, men are usually acknowledged as the head of the household. Hence, for a woman who was married to the head of the household, she would be recorded as ‘mother’. However, in certain single-headed families, the head of the household is a woman if a single mother is responsible for decision-making in the household. Households were excluded if: (1) there was no information on mother or child available in the household, (2) the person living in the household was living alone or with friends, (3) the youngest child in the family was older than 17 years, (4) there was a single father living in the household, (5) the relationship to the head of the household could not be determined or (6) individuals with incomplete data on height and weight.
A child was defined as a person aged less than 18 years []. In this study, only the youngest child between 5 to 17 years in the household was selected and paired with their mother to be included. If there were more than one child aged 5 to 17 years in the household, the youngest was chosen, similarly to the previous mother–child pair studies [,,]. The youngest child of the family was selected because the previous studies have reported that they were at a higher risk of being overweight or obese compared to the oldest and middle child [,,]. Moreover, it has been suggested that the parents tend to be more indulgent when feeding their youngest child than the oldest child []. A previous study has demonstrated that an indulgent parenting style was significantly associated with a higher BMI of the children []. Most of the household studies used the youngest child in the family due to their vulnerabilities toward food insecurity, which is detrimental to their nutritional status. The children less than five years of age were not included because of the differences in the definition of underweight, overweight and obesity in this age group [].
The majority of the households were excluded because the child data were not available for each household. The other reasons for exclusion are listed in Table A1. Finally, a total of 6005 mother–child pairs were obtained for the year 2006, while 2957 and 2871 mother–child pairs were acquired for the years 2011 and 2015, respectively.
2.4. Body Mass Index (BMI) of the Participants
As part of the NHMS purposes, the body weight of the mothers and their child were measured using a Tanita Personal Scale HD 319, while height was measured using a SECA 206 Body Meter. All tools were validated and calibrated prior to data collection [,,]. Body mass index (BMI) was calculated using the index of height and weight (weight in kilogram/(height in meter)2). The classification of maternal BMI was based on the World Health Organisation []. Mothers were grouped into three BMI categories: underweight (BMI less than 18.5 kg/m2), normal weight (BMI between 18.5 and 24.9 kg/m2) and overweight (BMI of 25 kg/m2 and above). The BMI of children was categorised based on the World Health Organisation Growth Reference, using BMI-for-age z-scores []. The children were categorised into underweight (BMI z-score < –2SD), normal weight (BMI z-score between –2SD and +1SD) and overweight (BMI z-score > +1SD).
As the national survey was not explicitly designed to evaluate the intergenerational transmission of weight status from mother to child, maternal BMI data were matched to offspring BMI data to create a mother–child pair variable as an outcome of the study. Ultimately, nine mother–child BMI categories were created: (1) underweight mother/underweight child (UWM/UWC), (2) underweight mother/normal weight child (UWM/NWC), (3) underweight mother/overweight child (UWM/OWC), (4) normal weight mother/underweight child (NWM/UWC), (5) normal weight mother/normal weight child (NWM/NWC), (6) normal weight mother/overweight child (NWM/OWC), (7) overweight mother/underweight child (OWM/UWC), (8) overweight mother/normal weight child (OWM/NWC) and (9) overweight mother/overweight child (OWM/OWC).
2.5. Statistical Analyses
Data were analysed using SPSS, version 24 (IBM, Chicago, IL, USA). All sociodemographic information was analysed as categorical variables and presented as frequencies (n) and percentage (%). The continuous variables such as age, BMI and household size were reported as mean and standard deviation (SD). One-way ANOVA was performed to compare means of maternal and child BMI across three survey years. Post hoc analysis using Dunnett’s C procedure was selected because the variances were unequal. It was conducted to identify specific pairs of survey years showing significant differences in means of maternal and child BMI.
Household size was divided into three groups: small (less than five persons in the household), medium (five to seven persons in the household) and large (more than seven persons in the household) []. Ethnicity was categorised into four groups based on the predominant ethnic groups in the country: Malay, Chinese, Indian and Other. Maternal education level was divided into four categories: no education, primary education, secondary education and tertiary education []. Household income was categorised into five quintiles for each survey, where Quintile 1 represented 20% of the lowest household income (the most impoverished household), and Quintile 5 indicated the top 20% of the highest household income (the most affluent household). Detailed household income ranges for each quintile group for each survey are described in Table A2.
Family structure was divided into single-parent or dual-parent households. Single-parent refers to the household with a single-mother, while dual-parent refers to a household with both a father and a mother. The residential area of the participants was categorised into urban (area with at least 10,000 people living in the area) and rural (less than 10,000 people living in the appointed area) by the Department of Statistics of Malaysia [,].
Simple and multivariable logistic regression models were conducted to determine the factors associated with OWM/OWC with NWM/NWC as the reference group []. The independent variables included in the analysis were maternal age, child age, child sex, household size, ethnicity, parental education level, household income, family structure and residential area. The selection of the potential variables was based on the previous study which investigated factors associated with nutritional status of mother–child dyads []. All the variables with a p-value < 0.25 in the simple logistic regression analysis were included in the multivariable logistic regression models [,,]. Multicollinearity and interaction terms were checked. Multicollinearity was checked with the variance inflation factor (VIF). Values of VIF of more than 10 indicate that multicollinearity exists between the independent variables. The interaction terms were checked by testing possible two-way interactions of the independent variables, such as maternal education level with household income and maternal age with maternal education level. Possible interactions were checked based on the literature and expert opinion. In this study, potential interactions between maternal education level with household income were checked. Based on the literature, we postulated that the association between education level and OWM/OWC would be different across household income based on the previous studies [,]. We also examined the potential interactions between maternal age and maternal education level. Again, based on the previous evidence, we postulated that the association between maternal education and OWM/OWC would be varied by their age. Previous studies have reported that there was a significant association between age and education level [,]. A previous study also demonstrated that the frequency of low education was higher in the oldest group, while high education levels predominated in the youngest group []. Model fitness was tested using a classification table and the Hosmer–Lemeshow goodness-of-fit test []. The findings were reported as adjusted odds ratios (AOR) with 95% confidence intervals (CI), and p-values. Findings with a p-value < 0.05 were considered statistically significant.
3. Results
3.1. Characteristics of Mother–Child Pairs
Table 1 presents the sociodemographic characteristics of the mother–child pairs in this study by survey year. For each survey year, the majority of mothers were 41 to 50 years of age (2006 = 41.5%, 2011 = 42.2%, 2015 = 40.8%), Malay (2006 = 60.9%, 2011 = 62.3%, 2015 = 66.7%), had completed a secondary education level (2006 = 54.3%, 2011 = 56.6%, 2015 = 56.4%), living in a medium household size (2006 = 50.5%, 2011 = 54.0%, 2015 = 48.6%), had a monthly household income within the 5th quintile category (2006 = 24.5%, 2011 = 22.5%, 2015 = 23.6%), had a dual-parent family (2006 = 94.7%, 201 = 94.8%, 2015 = 93.0%) and resided in an urban area (2006 = 56.5%, 2011 = 57.2%, 2015 = 57.1%). Among children, the majority were aged 5 to 9 years (2006 = 59.7%, 2011 = 55.1%, 2015 = 55.8%), with an equal proportion of boys and girls across each survey year.

Table 1.
Sociodemographic characteristics of mother–child pairs in the National Health and Morbidity Survey of Malaysia in 2006, 2011 and 2015.
The BMI characteristics of mother–child pairs are shown in Table 2. Among the mothers, there was a significant difference in mean maternal BMI across survey years (p < 0.001). Findings from the post hoc analysis revealed that the mean of maternal BMI in 2015 (27.36 kg/m2, SD = 5.55) was significantly higher than the mean of maternal BMI in 2006 (26.19 kg/m2, SD 5.19, p < 0.001). The prevalence of underweight mothers was 4.1% in 2006, 3.4% in 2011 and 2.8% in 2015. Among normal weight mothers, the prevalence was 40.6% in 2006, 38.2% in 2011 and 33.8% in 2015. In 2006, the prevalence of overweight mothers was 34.3%, while in 2011 and 2015, the prevalence was 35.2% and 34.9%, respectively. The prevalence of mothers with obesity was 21.0% in 2006, 23.2% in 2011 and 28.5% in 2015.

Table 2.
Body mass index characteristics of mother–child pairs in the National Health and Morbidity Survey of Malaysia in 2006, 2011 and 2015.
Similar to the mother, the mean of child BMI was significantly different across the survey years (p < 0.001). The mean of child BMI in 2015 (18.28 kg/m2, SD = 5.05) was significantly greater than the mean BMI in 2006 (17.26 kg/m2, SD = 4.45, p < 0.001). In this study, we found that the prevalence of underweight children was 10.2% in 2006, 10.1% in 2011 and 7.6% in 2015. Besides that, the prevalence of normal weight children for the years 2006, 2011 and 2015 was 67.2%, 66.3% and 64.1%, respectively. Among overweight children, the prevalence was 12.9% in 2006, 12.4% in 2011 and 13.0% in 2015. In contrast, the prevalence of children with obesity was 9.7%, 11.2% and 15.3% in 2006, 2011 and 2015.
3.2. The Prevalence of Different BMI Categories by Mother–Child Pair
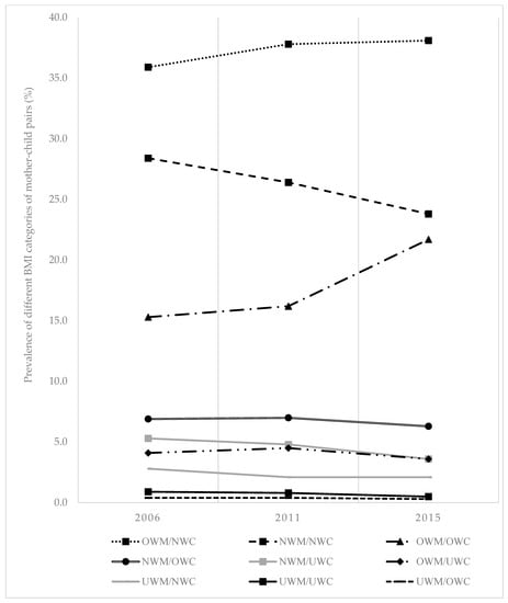
Figure 1 and Table 3 show the trend of prevalence of different BMI categories of mother–child pairs across the three survey years. The majority of mother–child pairs across all survey years were categorised as OWM/NWC. The prevalence of OWM/NWC was 35.9% in 2006, 37.8% in 2011 and 38.1% in 2015. In contrast, the prevalence of NWM/NWC decreased from 28.4% to 23.8% over the period. There was a marked increase in OWM/OWC from 15.3% in 2006, 16.2% in 2011 and 21.7% in 2015. The other BMI categories for mother–child pairs (NWM/OWC, NWM/UWC, OWM/UWC, UWM/NWC, UWM/UWC and UWM/OWC) showed a decrease in prevalence.

Figure 1.
Prevalence of different BMI categories of mother–child pairs (UWM/UWC = underweight mother/underweight child; UWM/NWC = underweight mother/normal weight child; UWM/OWC = underweight mother/overweight child; NWM/UWC = normal weight mother/underweight child; NWM/NWC = normal weight mother/normal weight child; NWM/OWC = normal weight mother/overweight child; OWM/UWC = overweight mother/underweight child; OWM/NWC = overweight mother/normal weight child; OWM/OWC = overweight mother/overweight child).

Table 3.
Prevalence of mother–child pairs by BMI categories for years 2006, 2011 and 2015.
3.3. Factors Associated with Overweight Mother/Overweight Child Pair (OWM/OWC)
Table 4 presents the findings of a simple logistic regression analysis for the factors associated with OWM/OWC in Malaysia for the years 2006, 2011 and 2015. In 2006, maternal age greater than 50 years (OR = 3.21, 95% CI = 2.12–4.87, p < 0.001), child age between 10 and 14 years (OR = 2.13, 95% CI = 1.78–2.55, p < 0.001), Indian (OR = 1.39, 95% CI = 1.03–1.88, p = 0.031) and primary education level of the mother (OR = 1.77, 95% CI = 1.26–2.50, p = 0.001) were positively associated with OWM/OWC. However, large household size (OR = 0.64, 95% CI = 0.47–0.87, p = 0.005), Chinese ethnicity (OR = 0.43, 95% CI = 0.34–0.55, p < 0.001) and Quintile 1 of household income (OR = 0.53, 95% CI = 0.39–0.72, p < 0.001) were inversely associated with OWM/OWC.

Table 4.
Simple logistic regression model for the factors associated with overweight mother/overweight child pairs in Malaysia for 2006, 2011 and 2015.
In the 2011 survey, maternal age more than 50 years old (OR = 2.07, 95% CI = 1.15–3.74, p = 0.015), child age between 10 and 14 years old (OR = 1.96, 95% CI = 1.52–2.53, p < 0.001) and no education (OR = 1.74, 95% CI = 1.01–2.99, p = 0.044) were positively associated with OWM/OWC. Chinese ethnicity had a 62% less probability to become OWM/OWC in comparison to Malay (OR = 0.38, 95% CI = 0.27–0.53, p < 0.001).
In addition, in the 2015 survey, maternal age above 50 years (OR = 2.01, 95% CI = 1.20–3.38, p = 0.008), child age between 10 and 14 years (OR = 1.47, 95% CI= 1.15–1.88, p = 0.002) and primary education level of the mother (OR = 1.62, 95% CI = 1.15–2.29, p = 0.006) showed positive association with OWM/OWC. Meanwhile, large household size (OR = 0.52, 95% CI = 0.31–0.87, p = 0.013), Chinese ethnicity (OR = 0.43, 95% CI = 0.31–0.61, p < 0.001) and living in an urban area (OR = 0.77, 95% CI = 0.62–0.96, p = 0.019) were less likely to be associated with OWM/OWC.
Findings from the multivariable logistic regression model of the factors associated with OWM/OWC in Malaysia for the years 2006, 2011 and 2015 are shown in Table 5. For the 2006 survey, maternal age greater than 50 years (AOR = 2.87, 95% CI = 1.77–4.66, p < 0.001), child age between 10 and 14 years (AOR = 1.59, 95% CI = 1.30–1.96, p < 0.001) and primary education level of the mother (AOR = 2.24, 95% CI = 1.49–3.36, p < 0.001) were positively associated with OWM/OWC. In contrast, large household size (AOR = 0.62, 95% CI = 0.44–0.86, p = 0.005), Chinese ethnicity (AOR = 0.33, 95% CI = 0.25–0.43, p < 0.001) and Quintile 1 of household income (AOR = 0.45, 95% CI = 0.31–0.64, p < 0.001) were inversely associated with OWM/OWC.

Table 5.
Multivariable logistic regression analysis for the factors associated with overweight mother/overweight child pairs in Malaysia for 2006, 2011 and 2015.
In the 2011 survey, only child age between 10 and 14 years old (AOR = 1.76, 95% CI = 1.30–2.36, p < 0.001) was positively associated with OWM/OWC. In addition, we found an inverse association between large household size (AOR = 0.56, 95% CI = 0.34–0.91, p = 0.019) and Chinese ethnicity (AOR = 0.30, 95% CI = 0.21–0.43, p < 0.001) with OWM/OWC.
In 2015, maternal age over 50 years (AOR = 2.11, 95% CI = 1.16–3.84, p = 0.015) and primary education level of the mother (AOR = 2.00, 95% CI = 1.32–3.03, p = 0.001) were positively associated with OWM/OWC. In contrast, child age between 15 and 17 years (AOR = 0.60, 95% CI = 0.40–0.89, p = 0.012), large household size (AOR = 0.44, 95% CI = 0.25–0.76, p = 0.003), Chinese ethnicity (AOR = 0.44, 95% CI = 0.31–0.63, p < 0.001) and Quintile 2 of household income (AOR = 0.61, 95% CI = 0.41–0.92, p = 0.017) were inversely associated with OWM/OWC.
4. Discussion
Based on our analysis of a national sample from Malaysia, the prevalence of intergenerational overweight and obesity from mother to offspring increased over ten years, while the prevalence of normal weight mother–child pairs decreased.
In low- and middle-income countries (LMICs), the prevalence of overweight and obesity has increased rapidly over a relatively short period [,]. These trends have been driven in part by rapid economic growth and urbanisation in many LMICs, which have resulted in nutrition and lifestyle transitions linked to weight gain [,,,]. With increasing incomes, food and lifestyle habits have changed as people were able to obtain more income and purchasing power to buy various types of food []. Consequently, traditional diets which were high in vegetables and whole grains have been replaced with foods high in refined grains, added sugar, animal products and saturated fats [].
Dietary changes from the consumption of whole foods to high intake of processed foods that are high in calories but lack nutrients have been observed in many countries, including Malaysia []. Malaysia has also been undergoing a nutrition transition towards a high intake of fat, sugar and animal products since the 1960s []. Food availability of calories from animal products and total sugars in Malaysia has increased over four decades []. The accessibility of high-calorie food with a low nutrient quality combined with a low level of physical activity owing to economic development and globalisation has accelerated the rate of obesity in Malaysia [], which may in part explain the rise in maternal–child overweight that we observed in this study.
In the year 2006, the prevalence of OWM/OWC in this study was 15.3%, which was lower than the overweight mother–child pairs reported in Croatia (25.3%) over the same period []. A decade later, the prevalence of OWM/OWC in the 2015 survey (21.7%) was found to be higher than the findings reported in other developing countries, such as Colombia (12.4%), China (13.4%), Samoa (16.9%) and India (20.7%) [,]. However, the prevalence of OWM/OWC found in our study was lower in comparison to that reported in South Africa (22.4%), Brazil (28.4%) and Mexico (40.0%) [,].
In this study, the association of intergenerational overweight and obesity was positively associated with maternal age. This finding might be due to young mothers who were more physically active and conscious of their health than older mothers. Besides, as adults age, they tend to gain weight despite having usual dietary intakes and behaviour because of lower energy requirements, reductions in physical activity and a lower metabolic rate [].
In contrast, an inverse association of intergenerational overweight and obesity was observed among younger children. Mothers also have a crucial role in shaping dietary intake habits in their children. It has been shown that dietary resemblance between parents and children was stronger among young children []. As children grow, it has been hypothesised that they become more aware and influenced by their body image, and they may participate in more recreational physical activities in comparison to younger children []. In our finding, children aged between 15 and 17 years were at high risk of intergenerational overweight and obesity in the 2011 survey. However, this association was not significant. In the 2015 survey, the children aged between 15 and 17 had a lower risk of intergenerational overweight and obesity. It is difficult to explain these findings, and hence, further studies are needed to identify the factors that lead to such differences.
In this study, large household size and low household income were inversely associated with intergenerational obesity, consistent with the findings in another mother–child pair study []. As reported earlier, the household income can influence dietary intake and behaviours of household members []. The increase of income is the main contributor to the rise in food availability, which has been related to a higher incidence of obesity []. Low-income households may have challenges in purchasing food due to higher costs. In contrast, individuals from high-income households can spend more money on various types of foods []. It is possible that OWM/OWC was less likely to occur in large or low-income households due to limited income available to purchase food.
Our study also found that Chinese ethnicity was inversely associated with intergenerational overweight and obesity. This finding is consistent with previous studies that have reported Chinese ethnicity to be inversely associated with the risk of overweight and obesity compared to other ethnicities [,,]. It is possible that the difference could be due in part to the different ethnic-dietary basis. The Chinese population in Malaysia were found to have healthy dietary patterns with higher daily intakes of fruits and vegetables compared to other ethnicities [,]. In another study, a greater number of Chinese children had achieved the recommended vegetable intake compared to Malay children [].
Our study also found that the increased risk of intergenerational overweight and obesity was associated with mothers who had a lower education level. Mothers with a lower education level may have a lack of knowledge on healthy eating and lifestyle. In contrast, mothers with higher education levels tend to place more attention on healthy dietary behaviours, particularly vegetable and fruit intakes []. It has also been shown that women with higher education levels had better diet quality as compared to their counterparts [].
The strategies to prevent intergenerational overweight and obesity could be more efficient when focusing on the specific group. Based on the findings from this study, preventive measures of intergenerational overweight and obesity could be targeted to older mothers, children aged between 10 and 14 years and mothers with primary and secondary education levels.
The main strength of this study is the use of repeated measurements of nationally representative data, which allowed us to examine the trend of intergenerational overweight and obesity in Malaysia across ten years. However, several limitations should be acknowledged. The data utilised in this study were cross-sectional data. Hence, we were not able to infer causality. We used repeated cross-sectional data, and as such, the change in BMI category for each mother–child pair could not be assessed because different mother–child pairs were included in each cross-sectional assessment. Besides that, the data were not adjusted for other obesity risk factors such as physical activity, dietary quality and smoking status. Potential residual confounding may have influenced the findings of this study.
5. Conclusions
In conclusion, there is a worrying trend in the prevalence of intergenerational overweight and obesity in Malaysia. Until recently, one in five households in Malaysia had an overweight mother and an overweight child. The determinants of intergenerational overweight and obesity were older maternal age and lower education level. Older children, large household size, low household income and Chinese ethnicity were inversely associated with overweight mother–child pairs. Given that the prevalence of overweight and obese mother–child pairs is on the rise, intervention programmes for weight management should be implemented at the household level among mothers and their children.
Author Contributions
Conceptualisation, N.N.M., A.J.R. and N.A.A.H.; data cleaning and analysis, N.N.M.; writing—original draft preparation, N.N.M.; writing—review and editing, A.J.R., N.A.A.H., F.B.H., V.S.M., M.F.M.Y. and T.A.; supervision, A.J.R. and N.A.A.H. All authors have read and agreed to the published version of the manuscript.
Funding
This research was funded by the Universiti Sains Malaysia (USM) Bridging Grant (grant number: 304/PPSP/6316152) and the Research University Individual (RUI) Grant (grant number: 1001/PPSP/8012255).
Institutional Review Board Statement
Ethical approval for this study was granted by the Medical Research Ethics Committee (MREC), the Ministry of Health Malaysia (NMRR-17-2714-38075) and the Human Research Ethics Committee of Universiti Sains Malaysia (USM/JEPeM/17110579). The study was conducted in accordance with the Declaration of Helsinki.
Informed Consent Statement
Informed consent was obtained from all subjects involved in the study.
Data Availability Statement
The National Health and Morbidity Survey data analysed in this study are not publicly available due to privacy and ethical issues. The data can be requested from the Institute of Public Health, Medical Research Ethics Committee (MREC), and the Ministry of Health Malaysia.
Acknowledgments
We would like to thank the Director General of Health Malaysia for his permission to publish this article. Our sincere gratitude is directed to the Universiti Sains Malaysia (USM) for the USM Bridging Grant (Grant number: 304/PPSP/6316152) and the Research University Individual (RUI) Grant (Grant number: 1001/PPSP/8012255) for the financial supports. We also would like to thank our colleagues in the Global Nutrition and Epidemiologic Transition (GNET) Initiative at the Harvard T.H. Chan School of Public Health for their technical support and also contribution to ideas in this study. A. J. Rohana, Noor Aman A Hamid, Frank B. Hu and Vasanti S. Malik are members of GNET.
Conflicts of Interest
The authors declare no conflict of interest.
Appendix A

Table A1.
Exclusion criteria of the households.
Table A1.
Exclusion criteria of the households.
Description | 2006 | 2011 | 2015 |
---|---|---|---|
Total number of households (N) | 15,316 | 7638 | 8427 |
Reasons for exclusion | |||
No data on child in the household | 3797 | 1893 | 2063 |
Living alone | 2144 | 1015 | 1325 |
Child’s age above 17 years old in the household | 1373 | 890 | 1062 |
Living with friends | 207 | 167 | 142 |
Relationship to the head of the household cannot be determined | 1216 | 441 | 992 |
Missing data on height and weight | 574 | 275 | 258 |
Mother–child pairs obtained | 6005 | 2957 | 2871 |
Appendix B

Table A2.
Household income range for every quintile.
Table A2.
Household income range for every quintile.
Quintile Income | Household Income Range (RM) | ||
---|---|---|---|
2006 | 2011 | 2015 | |
Quintile 1 (lowest income) | <500 | <950 | <1200 |
Quintile 2 | 500–949 | 950–1727 | 1200–1999 |
Quintile 3 | 950–1499 | 1728–2799 | 2000–3181 |
Quintile 4 | 1500–2499 | 2800–4599 | 3182–5299 |
Quintile 5 (highest income) | 2500 and above | 4600 and above | 5300 and above |
Note: RM = Ringgit Malaysia (1 USD = RM 4.22).
References
- Global Burden of Disease 2015 Obesity Collaborators Health Effects of Overweight and Obesity in 195 Countries over 25 Years. N. Engl. J. Med. 2017, 377, 13–27. [CrossRef]
- Chooi, Y.C.; Ding, C.; Magkos, F. The Epidemiology of Obesity. Metab. Clin. Exp. 2019, 92, 6–10. [Google Scholar] [CrossRef] [PubMed] [Green Version]
- World Health Organization Global Health Observatory (GHO) Data: Prevalence of Overweight among Children and Adolescents, Ages 5–19, 1975–2016 (Crude Estimate): Both Sexes. Available online: http://www.who.int/gho/ncd/risk_factors/overweight_obesity/overweight_adolescents/en/ (accessed on 12 May 2020).
- Dolton, P.; Xiao, M. The Intergenerational Transmission of Body Mass Index across Countries. Econ. Hum. Biol. 2017, 24, 140–152. [Google Scholar] [CrossRef] [PubMed]
- Wang, M.; Wen, X.; Zhang, Y.; Jiang, C.; Wang, F. Is Economic Environment Associated with the Physical Activity Levels and Obesity in Chinese Adults? A Cross-Sectional Study of 30 Regions in China. BMC Public Health 2017, 17, 701–708. [Google Scholar] [CrossRef] [Green Version]
- Heslehurst, N.; Vieira, R.; Akhter, Z.; Bailey, H.; Slack, E.; Ngongalah, L.; Pemu, A.; Rankin, J. The Association between Maternal Body Mass Index and Child Obesity: A Systematic Review and Meta-Analysis. PLoS Med. 2019, 16, 1–20. [Google Scholar] [CrossRef]
- Xu, R.Y.; Zhou, Y.Q.; Zhang, X.M.; Wan, Y.P.; Gao, X. A Two-Year Study of Parental Obesity Status and Childhood Obesity in China. Nutr. Metab. Cardiovasc. Dis. 2019, 29, 260–267. [Google Scholar] [CrossRef]
- Paduano, S.; Borsari, L.; Salvia, C.; Arletti, S.; Tripodi, A.; Pinca, J.; Borella, P. Risk Factors for Overweight and Obesity in Children Attending the First Year of Primary Schools in Modena, Italy. J. Community Health 2020, 45, 301–309. [Google Scholar] [CrossRef]
- Classen, T.J.; Thompson, O. Genes and the Intergenerational Transmission of BMI and Obesity. Econ. Hum. Biol. 2016, 23, 121–133. [Google Scholar] [CrossRef]
- Cheng, T.L.; Johnson, S.B.; Goodman, E. Breaking the Intergenerational Cycle of Disadvantage: The Three Generation Approach. Pediatrics 2016, 137, e20152467. [Google Scholar] [CrossRef] [Green Version]
- Newnham, J.P.; Ross, M.G. Early Life Origins of Human Health and Disease; Karger Medical and Scientific Publishers: Basel, Switzerland, 2009; ISBN 978-3-8055-9139-3. [Google Scholar]
- Archer, E. The Childhood Obesity Epidemic as a Result of Nongenetic Evolution: The Maternal Resources Hypothesis. Mayo Clin. Proc. 2015, 90, 77–92. [Google Scholar] [CrossRef] [Green Version]
- Archer, E.; Lavie, C.J.; Hill, J.O. The Contributions of ‘Diet’, ‘Genes’, and Physical Activity to the Etiology of Obesity: Contrary Evidence and Consilience. Prog. Cardiovasc. Dis. 2018, 61, 89–102. [Google Scholar] [CrossRef] [PubMed]
- Xu, S.; Xue, Y. Pediatric Obesity: Causes, Symptoms, Prevention and Treatment (Review). Exp. Ther. Med. 2016, 11, 15–20. [Google Scholar] [CrossRef] [Green Version]
- Flieh, S.M.; Miguel-Berges, M.L.; González-Gil, E.M.; Gottrand, F.; Censi, L.; Widhalm, K.; Manios, Y.; Kafatos, A.; Molnár, D.; Dallongeville, J.; et al. The Association between Portion Sizes from High-Energy-Dense Foods and Body Composition in European Adolescents: The HELENA Study. Nutrients 2021, 13, 954. [Google Scholar] [CrossRef]
- Muthuri, S.K.; Onywera, V.O.; Tremblay, M.S.; Broyles, S.T.; Chaput, J.-P.; Fogelholm, M.; Hu, G.; Kuriyan, R.; Kurpad, A.; Lambert, E.V.; et al. Relationships between Parental Education and Overweight with Childhood Overweight and Physical Activity in 9–11 Year Old Children: Results from a 12-Country Study. PLoS ONE 2016, 11, e0147746. [Google Scholar] [CrossRef]
- Choy, C.C.; Desai, M.M.; Park, J.J.; Frame, E.A.; Thompson, A.A.; Naseri, T.; Reupena, M.S.; Duckham, R.L.; Deziel, N.C.; Hawley, N.L. Child, Maternal and Household-Level Correlates of Nutritional Status: A Cross-Sectional Study among Young Samoan Children. Public Health Nutr. 2017, 20, 1–13. [Google Scholar] [CrossRef] [Green Version]
- Partap, U.; Young, E.H.; Allotey, P.; Sandhu, M.S.; Reidpath, D.D. Anthropometric and Cardiometabolic Risk Factors in Parents and Child Obesity in Segamat, Malaysia. Int. J. Epidemiol. 2017, 46, 1523–1532. [Google Scholar] [CrossRef] [PubMed] [Green Version]
- John, C.; Ichikawa, T.; Abdu, H.; Ocheke, I.; Diala, U.; Modise-Letsatsi, V.; Wada, T.; Okolo, S.; Yamamoto, T. Maternal Overweight/Obesity Characteristics and Child Anthropometric Status in Jos, Nigeria. Niger. Med. J. 2015, 56, 236–239. [Google Scholar] [CrossRef] [PubMed] [Green Version]
- El Kishawi, R.R.; Soo, K.L.; Abed, Y.A.; Muda, W.A.M.W. Prevalence and Associated Factors for Dual Form of Malnutrition in Mother-Child Pairs at the Same Household in the Gaza Strip-Palestine. PLoS ONE 2016, 11, e0151494. [Google Scholar] [CrossRef] [PubMed] [Green Version]
- Cauich-Viñas, P.; Azcorra, H.; Rodríguez, L.; Datta Banik, S.; Varela-Silva, M.I.; Dickinson, F. Body Mass Index in Mother and Child Dyads and Its Association with Household Size and Parents’ Education in 2 Urban Settings of Yucatan, Mexico. Food Nutr. Bull. 2019, 40, 383–392. [Google Scholar] [CrossRef] [Green Version]
- Watts, A.W.; Mâsse, L.C.; Barr, S.I.; Lovato, C.Y.; Hanning, R.M. Parent-Child Associations in Selected Food Group and Nutrient Intakes among Overweight and Obese Adolescents. J. Acad. Nutr. Diet. 2014, 114, 1580–1586. [Google Scholar] [CrossRef]
- Pawloski, L.R.; Curtin, K.M.; Gewa, C.; Attaway, D. Maternal-Child Overweight/Obesity and Undernutrition in Kenya: A Geographic Analysis. Public Health Nutr. 2012, 15, 2140–2147. [Google Scholar] [CrossRef] [PubMed] [Green Version]
- Bralić, I.; Vrdoljak, J.; Kovačić, V. Associations between Parental and Child Overweight and Obesity. Coll. Antropol. 2005, 29, 481–486. [Google Scholar] [PubMed]
- Institute for Public Health. National Health and Morbidity Survey 2015 (NHMS 2015). Vol. I: Methodology and General Findings; Ministry of Health: Putrajaya, Malaysia, 2015; Volume I.
- Institute for Public Health. National Health and Morbidity Survey 2011 (NHMS 2011). Vol. I: Methodology and General Findings; Ministry of Health Malaysia: Putrajaya, Malaysia, 2011; Volume I.
- Institute for Public Health. The Third National Health and Morbidity Survey 2006 (NHMS III): General Findings; Ministry of Health: Putrajaya, Malaysia, 2008.
- United Nations Children’s Fund (UNICEF). Convention on the Rights of the Child; United Nations: New York, NY, USA, 1989. [Google Scholar]
- Yamaoka, Y.; Tamiya, N.; Izumida, N.; Kawamura, A.; Takahashi, H.; Noguchi, H. The Relationship between Raising a Child with a Disability and the Mental Health of Mothers Compared to Raising a Child without Disability in Japan. SSM Popul. Health 2016, 2, 542–548. [Google Scholar] [CrossRef] [PubMed] [Green Version]
- Ihab, A.N.; Rohana, A.J.; Wan Manan, W.M.; Wan Suriati, W.N.; Zalilah, M.S.; Rusli, A.M. The Coexistence of Dual Form of Malnutrition in a Sample of Rural Malaysia. Int. J. Prev. Med. 2013, 4, 690–699. [Google Scholar] [PubMed]
- Sellers, R.; Hammerton, G.; Harold, G.T.; Mahedy, L.; Potter, R.; Langley, K.; Thapar, A.; Rice, F.; Thapar, A.; Collishaw, S. Examining Whether Offspring Psychopathology Influences Illness Course in Mothers with Recurrent Depression Using a High-Risk Longitudinal Sample. J. Abnorm. Psychol. 2016, 125, 256–266. [Google Scholar] [CrossRef] [Green Version]
- Ochiai, H.; Shirasawa, T.; Ohtsu, T.; Nishimura, R.; Morimoto, A.; Obuchi, R.; Hoshino, H.; Tajima, N.; Kokaze, A. Number of Siblings, Birth Order, and Childhood Overweight: A Population-Based Cross-Sectional Study in Japan. BMC Public Health 2012, 12, 1–7. [Google Scholar] [CrossRef] [Green Version]
- Martinovic, M.; Belojevic, G.; Evans, G.W.; Lausevic, D.; Asanin, B.; Samardzic, M.; Terzic, N.; Pantovic, S.; Jaksic, M.; Boljevic, J. Prevalence of and Contributing Factors for Overweight and Obesity among Montenegrin Schoolchildren. Eur. J. Public Health 2015, 25, 833–839. [Google Scholar] [CrossRef] [Green Version]
- Mosli, R.H.; Miller, A.L.; Pterson, K.E.; Kaciroti, N.; Rosenblum, K.; Baylin, A.; Lumeng, J.C. Birth Order and Sibship Composition as Predictors of Overweight or Obesity among Low-Income 4- to 8-Year-Old Children. Pediatr. Obes. 2016, 11, 40–46. [Google Scholar] [CrossRef] [Green Version]
- Park, S.H.; Cormier, E. Influence of Siblings on Child Health Behaviors and Obesity: A Systematic Review. J. Child Fam. Stud. 2018, 27, 2069–2081. [Google Scholar] [CrossRef]
- Shloim, N.; Edelson, L.R.; Martin, N.; Hetherington, M.M. Parenting Styles, Feeding Styles, Feeding Practices, and Weight Status in 4–12 Year-Old Children: A Systematic Review of the Literature. Front. Psychol. 2015, 6, 1–20. [Google Scholar] [CrossRef] [Green Version]
- de Onis, M.; Lobstein, T. Defining Obesity Risk Status in the General Childhood Population: Which Cut-Offs Should We Use? Int. J. Pediatr. Obes. 2010, 5, 458–460. [Google Scholar] [CrossRef] [PubMed]
- World Health Organization. Obesity: Preventing and Managing the Global Epidemic. Report of a WHO Consultation on Obesity; World Health Organization: Geneva, Switzerland, 1998. [Google Scholar]
- de Onis, M.; Onyango, A.W.; Borghi, E.; Siyam, A.; Nishida, C.; Siekmann, J. Development of a WHO Growth Reference for School-Aged Children and Adolescents. Bull. World Health Organ. 2007, 85, 660–667. [Google Scholar] [CrossRef] [PubMed]
- Mok, T.P.; Maclean, G.; Dalziel, P. Household Size Economies: Malaysian Evidence. Econ. Anal. Policy 2011, 41, 203–223. [Google Scholar] [CrossRef]
- International Labour Organization; The Commissioner of Law Revision. Laws of Malaysia: Education Act 1996 (Act 550). Available online: http://www.ilo.org/dyn/natlex/docs/ELECTRONIC/95631/112655/F1187461074/MYS95631.pdf (accessed on 12 May 2020).
- Hosmer, D.W.; Lemeshow, S.; Sturdivant, R.X. Applied Logistic Regression, 3rd ed.; John Wiley & Sons, Inc.: Hoboken, NJ, USA, 2013; ISBN 9780470582473. [Google Scholar]
- Bursac, Z.; Gauss, C.H.; Williams, D.K.; Hosmer, D.W. Purposeful Selection of Variables in Logistic Regression. Source Code Biol. Med. 2008, 3, 1–8. [Google Scholar] [CrossRef] [Green Version]
- Zhang, Z. Model Building Strategy for Logistic Regression: Purposeful Selection. Ann. Transl. Med. 2016, 4, 1–7. [Google Scholar] [CrossRef] [Green Version]
- Aitsi-Selmi, A.; Chandola, T.; Friel, S.; Nouraei, R.; Shipley, M.J.; Marmot, M.G. Interaction between Education and Household Wealth on the Risk of Obesity in Women in Egypt. PLoS ONE 2012, 7, 4–11. [Google Scholar] [CrossRef]
- Liu, Y.; Ma, Y.; Jiang, N.; Song, S.; Fan, Q.; Wen, D. Interaction between Parental Education and Household Wealth on Children’s Obesity Risk. Int. J. Environ. Res. Public Health Artic. 2018, 15, 1754. [Google Scholar] [CrossRef] [Green Version]
- Kolodziejczyk, J.K.; Norman, G.J.; Rock, C.L.; Arredondo, E.M.; Roesch, S.C.; Madanat, H.; Patrick, K. Reliability and Concurrent and Construct Validity of the Strategies for Weight Management Measure for Adults. Obes. Res. Clin. Pract. 2016, 10, 291–303. [Google Scholar] [CrossRef] [Green Version]
- Jonsson, K.; Hartvigsson, O.; Sandin, A.; Wold, A.E.; Sandberg, A.-S.; Barman, M. Food and Nutrient Intake during Pregnancy in Relation to Maternal Characteristics: Results from the NICE Birth Cohort in Northern Sweden. Nutrients 2019, 11, 1680. [Google Scholar] [CrossRef] [Green Version]
- Fichman, H.C.; Fernandes, C.S.; Nitrini, R.; Lourenço, R.A.; de Paiva Paradela, E.M.; Carthery-Goulart, M.T.; Caramelli, P. Age and Educational Level Effects on the Performance of Normal Elderly on Category Verbal Fluency Tasks. Dement. e Neuropsychol. 2009, 3, 49–54. [Google Scholar] [CrossRef]
- Ford, N.D.; Patel, S.A.; Venkat Narayan, K.M. Obesity in Low- and Middle-Income Countries: Burden, Drivers, and Emerging Challenges. Annu. Rev. Public Health 2017, 38, 11.1–11.20. [Google Scholar] [CrossRef] [PubMed] [Green Version]
- Swinburn, B.A.; Sacks, G.; Hall, K.D.; McPherson, K.; Finegood, D.T.; Moodie, M.L.; Gortmaker, S.L. The Global Obesity Pandemic: Shaped by Global Drivers and Local Environments. Lancet 2011, 378, 804–814. [Google Scholar] [CrossRef]
- Popkin, B.M.; Adair, L.S.; Ng, S.W. Global Nutrition Transition and the Pandemic of Obesity in Developing Countries. Nutr. Rev. 2012, 70, 3–21. [Google Scholar] [CrossRef] [PubMed] [Green Version]
- Tzioumis, E.; Adair, L.S. Childhood Dual Burden of Under-and Overnutrition in Low-and Middle-Income Countries: A Critical Review. Food Nutr. Bull. 2014, 35, 230–243. [Google Scholar] [CrossRef] [PubMed] [Green Version]
- Chong, P.N.; Teh, C.P.W.; Poh, B.K.; Noor, M.I. Etiology of Obesity over the Life Span: Ecological and Genetic Highlights from Asian Countries. Curr. Obes. Rep. 2014, 3, 16–37. [Google Scholar] [CrossRef]
- Ogunsina, K.; Dibaba, D.T.; Akinyemiju, T. Association between Life-Course Socio-Economic Status and Prevalence of Cardio-Metabolic Risk Ractors in Five Middle-Income Countries. J. Glob. Health 2018, 8, 1–10. [Google Scholar] [CrossRef]
- Boonchoo, W.; Takemi, Y.; Hayashi, F.; Koiwai, K.; Ogata, H. Dietary Intake and Weight Status of Urban Thai Preadolescents in the Context of Food Environment. Prev. Med. Reports 2017, 8, 153–157. [Google Scholar] [CrossRef]
- Sharkawi, I.; Mohamed, Z.; Rezai, G. Healthy Eating: The Preventive Factors among Malaysians. J. Econ. Bus. Manag. 2014, 2, 257–261. [Google Scholar] [CrossRef]
- World Health Organization. Overweight and Obesity in the Western Pacific Region: An Equity Perspective; World Health Organization Regional Office for the Western Pacific: Manila, Philippines, 2017. [Google Scholar]
- Ismail, M.N. The Nutrition and Health Transition in Malaysia. Public Health Nutr. 2002, 5, 191–195. [Google Scholar] [CrossRef] [Green Version]
- Khor, G.-L. Food Availability and the Rising Obesity Prevalence in Malaysia. Int. e-J. Sci. Med. Educ. 2012, 6, S61–S68. [Google Scholar]
- Davey, T.M.; Allotey, P.; Reidpath, D.D. Is Obesity an Ineluctable Consequence of Development? A Case Study of Malaysia. Public Health 2013, 127, 1057–1062. [Google Scholar] [CrossRef] [PubMed]
- Gouda, J.; Prusty, R.K. Overweight and Obesity among Women by Economic Stratum in Urban India. J. Health. Popul. Nutr. 2014, 32, 79–88. [Google Scholar] [PubMed]
- Wang, Y.; Beydoun, M.A.; Li, J.; Liu, Y.; Moreno, L.A. Do Children and Their Parents Eat a Similar Diet? Resemblance in Child and Parental Dietary Intake: Systematic Review and Meta-Analysis. J. Epidemiol. Community Health 2011, 65, 177–189. [Google Scholar] [CrossRef] [PubMed]
- Smetanina, N.; Albaviciute, E.; Babinska, V.; Karinauskiene, L.; Albertsson-Wikland, K.; Petrauskiene, A.; Verkauskiene, R. Prevalence of Overweight/Obesity in Relation to Dietary Habits and Lifestyle among 7–17 Years Old Children and Adolescents in Lithuania. BMC Public Health 2015, 15, 1001–1010. [Google Scholar] [CrossRef] [Green Version]
- Ahmad, A.; Zulaily, N.; Shahril, M.R.; Abdullah, E.F.H.S.; Ahmed, A. Association between Socioeconomic Status and Obesity among 12-Year-Old Malaysian Adolescents. PLoS ONE 2018, 13, e0200577. [Google Scholar] [CrossRef] [Green Version]
- Zobel, E.H.; Hansen, T.W.; Rossing, P.; von Scholten, B.J. Global Changes in Food Supply and the Obesity Epidemic. Curr. Obes. Rep. 2016, 5, 449–455. [Google Scholar] [CrossRef]
- French, S.A.; Wall, M.; Mitchell, N.R. Household Income Differences in Food Sources and Food Items Purchased. Int. J. Behav. Nutr. Phys. Act. 2010, 7, 77. [Google Scholar] [CrossRef] [Green Version]
- Pell, C.; Allotey, P.; Evans, N.; Hardon, A.; Imelda, J.D.; Soyiri, I.; Reidpath, D.D. Coming of Age, Becoming Obese: A Cross-Sectional Analysis of Obesity among Adolescents and Young Adults in Malaysia. BMC Public Health 2016, 16, 1082–1092. [Google Scholar] [CrossRef] [Green Version]
- Mariapun, J.; Ng, C.-W.; Hairi, N.N. The Gradual Shift of Overweight, Obesity, and Abdominal Obesity towards the Poor in a Multi-Ethnic Developing Country: Findings from the Malaysian National Health and Morbidity Surveys. J. Epidemiol. 2018, 28, 279–286. [Google Scholar] [CrossRef] [Green Version]
- Fournier, T.; Tibère, L.; Laporte, C.; Mognard, E.; Ismail, M.N.; Sharif, S.P.; Poulain, J.-P. Eating Patterns and Prevalence of Obesity. Lessons Learned from the Malaysian Food Barometer. Appetite 2016, 107, 362–371. [Google Scholar] [CrossRef]
- Abdullah, N.F.; Teo, P.S.; Foo, L.H. Ethnic Differences in the Food Intake Patterns and Its Associated Factors of Adolescents in Kelantan, Malaysia. Nutrients 2016, 8, 551. [Google Scholar] [CrossRef] [PubMed] [Green Version]
- Chong, K.H.; Lee, S.T.; Ng, S.A.; Khouw, I.; Poh, B.K. Fruit and Vegetable Intake Patterns and Their Associations with Sociodemographic Characteristics, Anthropometric Status and Nutrient Intake Profiles among Malaysian Children Aged 1–6 Years. Nutrients 2017, 9, 723. [Google Scholar] [CrossRef] [PubMed] [Green Version]
- Koo, H.C.; Poh, B.K.; Lee, S.T.; Chong, K.H.; Bragt, M.C.E.; Abd Talib, R. Are Malaysian Children Achieving Dietary Guideline Recommendations? Asia Pacific J. Public Health 2016, 28, 8S–20S. [Google Scholar] [CrossRef] [PubMed]
- Wolnicka, K.; Taraszewska, A.M.; Jaczewska-Schuetz, J.; Jarosz, M. Factors within the Family Environment Such as Parents’ Dietary Habits and Fruit and Vegetable Availability Have the Greatest Influence on Fruit and Vegetable Consumption by Polish Children. Public Health Nutr. 2015, 18, 2705–2711. [Google Scholar] [CrossRef] [PubMed] [Green Version]
- Bhurosy, T.; Jeewon, R. Food Habits, Socioeconomic Status and Body Mass Index among Premenopausal and Post-Menopausal Women in Mauritius. J. Hum. Nutr. Diet. 2013, 26, 114–122. [Google Scholar] [CrossRef]
Publisher’s Note: MDPI stays neutral with regard to jurisdictional claims in published maps and institutional affiliations. |
© 2022 by the authors. Licensee MDPI, Basel, Switzerland. This article is an open access article distributed under the terms and conditions of the Creative Commons Attribution (CC BY) license (https://creativecommons.org/licenses/by/4.0/).