Prospective Association of Maternal Educational Level with Child’s Physical Activity, Screen Time, and Diet Quality
Abstract
:1. Introduction
2. Materials and Methods
2.1. Study Population
2.2. Meassurement of Exposure
2.3. Measssurement of Outcomes
2.3.1. Dietary Behaviors
2.3.2. Physical Activity
2.3.3. Screen-Time
2.4. Statistical Analysis
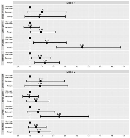
3. Results
4. Discussion
Author Contributions
Funding
Institutional Review Board Statement
Informed Consent Statement
Data Availability Statement
Acknowledgments
Conflicts of Interest
References
- Garrido-Miguel, M.; Cavero-Redondo, I.; Álvarez-Bueno, C.; Rodríguez-Artalejo, F.; Moreno, L.A.; Ruiz, J.R.; Ahrens, W.; Martínez-Vizcaíno, V. Prevalence and Trends of Overweight and Obesity in European Children From 1999 to 2016: A Systematic Review and Meta-Analysis. JAMA Pediatr. 2019, 173, e192430. [Google Scholar] [CrossRef]
- Garrido-Miguel, M.; Oliveira, A.; Cavero-Redondo, I.; Álvarez-Bueno, C.; Pozuelo-Carrascosa, D.P.; Soriano-Cano, A.; Martínez-Vizcaíno, V. Prevalence of Overweight and Obesity among European Preschool Children: A Systematic Review and Meta-Regression by Food Group Consumption. Nutrients 2019, 11, 1698. [Google Scholar] [CrossRef] [PubMed] [Green Version]
- Abarca-Gómez, L.; Abdeen, Z.A.; Hamid, Z.A.; Abu-Rmeileh, N.M.; Acosta-Cazares, B.; Acuin, C.; Adams, R.J.; Aekplakorn, W.; Afsana, K.; Aguilar-Salinas, C.A.; et al. Worldwide Trends in Body-Mass Index, Underweight, Overweight, and Obesity from 1975 to 2016: A Pooled Analysis of 2416 Population-Based Measurement Studies in 128·9 Million Children, Adolescents, and Adults. Lancet 2017, 390, 2627–2642. [Google Scholar] [CrossRef] [Green Version]
- Santos-Beneit, G.; Marrodán Serrano, M.D. ¿Estamos en el camino correcto para reducir la obesidad infantil? Rev. Esp. Cardiol. 2020, 73, 277–279. [Google Scholar] [CrossRef]
- Jago, R.; Salway, R.; Emm-Collison, L.; Sebire, S.J.; Thompson, J.L.; Lawlor, D.A. Association of BMI Category with Change in Children’s Physical Activity between Ages 6 and 11 Years: A Longitudinal Study. Int. J. Obes. 2020, 44, 104–113. [Google Scholar] [CrossRef] [PubMed] [Green Version]
- Cooper, A.R.; Goodman, A.; Page, A.S.; Sherar, L.B.; Esliger, D.W.; van Sluijs, E.M.; Andersen, L.B.; Anderssen, S.; Cardon, G.; Davey, R.; et al. Objectively Measured Physical Activity and Sedentary Time in Youth: The International Children’s Accelerometry Database (ICAD). Int. J. Behav. Nutr. Phys. Act. 2015, 12, 113. [Google Scholar] [CrossRef] [Green Version]
- Leech, R.M.; McNaughton, S.A.; Timperio, A. Clustering of Diet, Physical Activity and Sedentary Behaviour among Australian Children: Cross-Sectional and Longitudinal Associations with Overweight and Obesity. Int. J. Obes. 2015, 39, 1079–1085. [Google Scholar] [CrossRef]
- An, R. Diet Quality and Physical Activity in Relation to Childhood Obesity. Int. J. Adolesc. Med. Health 2015, 2015. [Google Scholar] [CrossRef]
- Mitchell, J.A.; Rodriguez, D.; Schmitz, K.H.; Audrain-McGovern, J. Greater Screen Time Is Associated with Adolescent Obesity: A Longitudinal Study of the BMI Distribution from Ages 14 to 18. Obesity 2013, 21, 572–575. [Google Scholar] [CrossRef] [Green Version]
- Fang, K.; Mu, M.; Liu, K.; He, Y. Screen Time and Childhood Overweight/Obesity: A Systematic Review and Meta-Analysis. Child Care Health Dev. 2019, 45, 744–753. [Google Scholar] [CrossRef]
- D’Souza, N.J.; Kuswara, K.; Zheng, M.; Leech, R.; Downing, K.L.; Lioret, S.; Campbell, K.J.; Hesketh, K.D. A Systematic Review of Lifestyle Patterns and Their Association with Adiposity in Children Aged 5–12 Years. Obes. Rev. 2020, 21, e13029. [Google Scholar] [CrossRef] [PubMed]
- Liberali, R.; Del Castanhel, F.; Kupek, E.; Assis, M.A.A. de Latent Class Analysis of Lifestyle Risk Factors and Association with Overweight and/or Obesity in Children and Adolescents: Systematic Review. Child. Obes. 2021, 17, 2–15. [Google Scholar] [CrossRef] [PubMed]
- Guthold, R.; Stevens, G.A.; Riley, L.M.; Bull, F.C. Worldwide Trends in Insufficient Physical Activity from 2001 to 2016: A Pooled Analysis of 358 Population-Based Surveys with 1·9 Million Participants. Lancet Glob. Health 2018, 6, e1077–e1086. [Google Scholar] [CrossRef] [Green Version]
- Williams, J.; Buoncristiano, M.; Nardone, P.; Rito, A.I.; Spinelli, A.; Hejgaard, T.; Kierkegaard, L.; Nurk, E.; Kunešová, M.; Musić Milanović, S.; et al. A Snapshot of European Children’s Eating Habits: Results from the Fourth Round of the WHO European Childhood Obesity Surveillance Initiative (COSI). Nutrients 2020, 12, 2481. [Google Scholar] [CrossRef]
- Monzani, A.; Ricotti, R.; Caputo, M.; Solito, A.; Archero, F.; Bellone, S.; Prodam, F. A Systematic Review of the Association of Skipping Breakfast with Weight and Cardiometabolic Risk Factors in Children and Adolescents. What Should We Better Investigate in the Future? Nutrients 2019, 11, 387. [Google Scholar] [CrossRef] [PubMed] [Green Version]
- Kristiansen, H.; Júlíusson, P.B.; Eide, G.E.; Roelants, M.; Bjerknes, R. TV Viewing and Obesity among Norwegian Children: The Importance of Parental Education. Acta Paediatr. 2013, 102, 199–205. [Google Scholar] [CrossRef] [PubMed]
- Wärnberg, J.; Pérez-Farinós, N.; Benavente-Marín, J.C.; Gómez, S.F.; Labayen, I.; Zapico, A.G.; Gusi, N.; Aznar, S.; Alcaraz, P.E.; González-Valeiro, M.; et al. Screen Time and Parents’ Education Level Are Associated with Poor Adherence to the Mediterranean Diet in Spanish Children and Adolescents: The PASOS Study. J. Clin. Med. 2021, 10, 795. [Google Scholar] [CrossRef] [PubMed]
- Pons, M.; Bennasar-Veny, M.; Yañez, A.M. Maternal Education Level and Excessive Recreational Screen Time in Children: A Mediation Analysis. Int. J. Environ. Res. Public Health 2020, 17, 8930. [Google Scholar] [CrossRef] [PubMed]
- Cabanas-Sánchez, V.; Esteban-Cornejo, I.; Izquierdo-Gómez, R.; Padilla-Moledo, C.; Castro-Piñero, J.; Veiga, Ó.L. How Socio-Demographic and Familiar Circumstances Are Associated with Total and Domain-Specific Sedentary Behaviour in Youth? The UP&DOWN Study. Eur. J. Sport Sci. 2020, 20, 1102–1112. [Google Scholar] [CrossRef] [PubMed]
- Mutz, M.; Albrecht, P. Parents’ Social Status and Children’s Daily Physical Activity: The Role of Familial Socialization and Support. J. Child Fam. Stud. 2017, 26, 3026–3035. [Google Scholar] [CrossRef] [Green Version]
- van Ansem, W.J.; Schrijvers, C.T.; Rodenburg, G.; van de Mheen, D. Maternal Educational Level and Children’s Healthy Eating Behaviour: Role of the Home Food Environment (Cross-Sectional Results from the INPACT Study). Int. J. Behav. Nutr. Phys. Act. 2014, 11, 113. [Google Scholar] [CrossRef] [PubMed] [Green Version]
- Craig, L.C.A.; McNeill, G.; Macdiarmid, J.I.; Masson, L.F.; Holmes, B.A. Dietary Patterns of School-Age Children in Scotland: Association with Socio-Economic Indicators, Physical Activity and Obesity. Br. J. Nutr. 2010, 103, 319–334. [Google Scholar] [CrossRef] [PubMed] [Green Version]
- Tandon, P.S.; Zhou, C.; Sallis, J.F.; Cain, K.L.; Frank, L.D.; Saelens, B.E. Home Environment Relationships with Children’s Physical Activity, Sedentary Time, and Screen Time by Socioeconomic Status. Int. J. Behav. Nutr. Phys. Act. 2012, 9, 88. [Google Scholar] [CrossRef] [PubMed] [Green Version]
- Salway, R.E.; Emm-Collison, L.; Sebire, S.; Thompson, J.L.; Jago, R. Associations between Socioeconomic Position and Changes in Children’s Screen-Viewing between Ages 6 and 9: A Longitudinal Study. BMJ Open 2019, 9, e027481. [Google Scholar] [CrossRef] [PubMed] [Green Version]
- Totland, T.H.; Bjelland, M.; Lien, N.; Bergh, I.H.; Gebremariam, M.K.; Grydeland, M.; Ommundsen, Y.; Andersen, L.F. Adolescents’ Prospective Screen Time by Gender and Parental Education, the Mediation of Parental Influences. Int. J. Behav. Nutr. Phys. Act. 2013, 10, 89. [Google Scholar] [CrossRef] [PubMed] [Green Version]
- Huppertz, C.; Bartels, M.; de Geus, E.J.C.; van Beijsterveldt, C.E.M.; Rose, R.J.; Kaprio, J.; Silventoinen, K. The Effects of Parental Education on Exercise Behavior in Childhood and Youth: A Study in Dutch and Finnish Twins. Scand. J. Med. Sci. Sports 2017, 27, 1143–1156. [Google Scholar] [CrossRef]
- Maric, D.; Kvesic, I.; Lujan, I.K.; Bianco, A.; Zenic, N.; Separovic, V.; Terzic, A.; Versic, S.; Sekulic, D. Parental and Familial Factors Influencing Physical Activity Levels in Early Adolescence: A Prospective Study. Healthcare 2020, 8, 532. [Google Scholar] [CrossRef] [PubMed]
- Fernández-Alvira, J.M.; Börnhorst, C.; Bammann, K.; Gwozdz, W.; Krogh, V.; Hebestreit, A.; Barba, G.; Reisch, L.; Eiben, G.; Iglesia, I.; et al. Prospective Associations between Socio-Economic Status and Dietary Patterns in European Children: The Identification and Prevention of Dietary- and Lifestyle-Induced Health Effects in Children and Infants (IDEFICS) Study. Br. J. Nutr. 2015, 113, 517–525. [Google Scholar] [CrossRef] [Green Version]
- Rashid, V.; Weijs, P.J.M.; Engberink, M.F.; Verhoeff, A.P.; Nicolaou, M. Beyond Maternal Education: Socio-Economic Inequalities in Children’s Diet in the ABCD Cohort. PLoS ONE 2020, 15, e0240423. [Google Scholar] [CrossRef]
- Gomez, S.F.; Casas, R.; Palomo, V.T.; Martin Pujol, A.; Fíto, M.; Schröder, H. Study Protocol: Effects of the THAO-Child Health Intervention Program on the Prevention of Childhood Obesity—The POIBC Study. BMC Pediatr. 2014, 14, 215. [Google Scholar] [CrossRef] [Green Version]
- de Vries, H.; Dijkstra, M.; Kuhlman, P. Self-Efficacy: The Third Factor besides Attitude and Subjective Norm as a Predictor of Behavioural Intentions. Health Educ. Res. 1988, 3, 273–282. [Google Scholar] [CrossRef]
- Grier, S.; Bryant, C.A. Social Marketing in Public Health. Annu. Rev. Public Health 2005, 26, 319–339. [Google Scholar] [CrossRef] [Green Version]
- Koplan, J.P.; Liverman, C.T.; Kraak, V.I. Committee on Prevention of Obesity in Children and Youth Preventing Childhood Obesity: Health in the Balance: Executive Summary. J. Am. Diet. Assoc. 2005, 105, 131–138. [Google Scholar] [CrossRef]
- World Health Organization. Population-Based Approaches to Childhood Obesity Prevention; World Health Organization: Geneva, Switzerland, 2012; ISBN 978-92-4-150478-2. [Google Scholar]
- Serra-Majem, L.; Ribas, L.; Ngo, J.; Ortega, R.M.; García, A.; Pérez-Rodrigo, C.; Aranceta, J. Food, Youth and the Mediterranean Diet in Spain. Development of KIDMED, Mediterranean Diet Quality Index in Children and Adolescents. Public Health Nutr. 2004, 7, 931–935. [Google Scholar] [CrossRef] [PubMed]
- Moore, J.B.; Hanes, J.C.; Barbeau, P.; Gutin, B.; Treviño, R.P.; Yin, Z. Validation of the Physical Activity Questionnaire for Older Children in Children of Different Races. Pediatr. Exerc. Sci. 2007, 19, 6–19. [Google Scholar] [CrossRef] [PubMed] [Green Version]
- Rey-López, J.P.; Ruiz, J.R.; Ortega, F.B.; Verloigne, M.; Vicente-Rodriguez, G.; Gracia-Marco, L.; Gottrand, F.; Molnar, D.; Widhalm, K.; Zaccaria, M.; et al. Reliability and Validity of a Screen Time-Based Sedentary Behaviour Questionnaire for Adolescents: The HELENA Study. Eur. J. Public Health 2012, 22, 373–377. [Google Scholar] [CrossRef] [PubMed] [Green Version]
- American Academy of Pediatrics. Committee on Public Education American Academy of Pediatrics: Children, Adolescents, and Television. Pediatrics 2001, 107, 423–426. [Google Scholar] [CrossRef] [PubMed] [Green Version]
- Ruiz, J.R.; Ortega, F.B.; Martínez-Gómez, D.; Labayen, I.; Moreno, L.A.; De Bourdeaudhuij, I.; Manios, Y.; Gonzalez-Gross, M.; Mauro, B.; Molnar, D.; et al. Objectively Measured Physical Activity and Sedentary Time in European Adolescents: The HELENA Study. Am. J. Epidemiol. 2011, 174, 173–184. [Google Scholar] [CrossRef] [Green Version]
- Sherar, L.B.; Griffin, T.P.; Ekelund, U.; Cooper, A.R.; Esliger, D.W.; van Sluijs, E.M.F.; Andersen, L.B.; Cardon, G.; Davey, R.; Froberg, K.; et al. Association between Maternal Education and Objectively Measured Physical Activity and Sedentary Time in Adolescents. J. Epidemiol. Community Health 2016, 70, 541–548. [Google Scholar] [CrossRef] [PubMed] [Green Version]
- Antonogeorgos, G.; Panagiotakos, D.B.; Grigoropoulou, D.; Papadimitriou, A.; Anthracopoulos, M.; Nicolaidou, P.; Priftis, K.N. The Mediating Effect of Parents’ Educational Status on the Association between Adherence to the Mediterranean Diet and Childhood Obesity: The PANACEA Study. Int. J. Public Health 2013, 58, 401–408. [Google Scholar] [CrossRef]
- Bawaked, R.A.; Gomez, S.F.; Homs, C.; Casas Esteve, R.; Cardenas, G.; Fíto, M.; Schröder, H. Association of Eating Behaviors, Lifestyle, and Maternal Education with Adherence to the Mediterranean Diet in Spanish Children. Appetite 2018, 130, 279–285. [Google Scholar] [CrossRef] [PubMed]
- Yannakoulia, M.; Lykou, A.; Kastorini, C.M.; Saranti Papasaranti, E.; Petralias, A.; Veloudaki, A.; Linos, A.; DIATROFI Program Research Team. Socio-Economic and Lifestyle Parameters Associated with Diet Quality of Children and Adolescents Using Classification and Regression Tree Analysis: The DIATROFI Study. Public Health Nutr. 2016, 19, 339–347. [Google Scholar] [CrossRef] [PubMed] [Green Version]
- Iguacel, I.; Fernández-Alvira, J.M.; Bammann, K.; Clercq, B.D.; Eiben, G.; Gwozdz, W.; Molnar, D.; Pala, V.; Papoutsou, S.; Russo, P.; et al. Associations between Social Vulnerabilities and Dietary Patterns in European Children: The Identification and Prevention of Dietary- and Lifestyle-Induced Health EFfects in Children and InfantS (IDEFICS) Study. Br. J. Nutr. 2016, 116, 1288–1297. [Google Scholar] [CrossRef]
- Yee, A.Z.H.; Lwin, M.O.; Ho, S.S. The Influence of Parental Practices on Child Promotive and Preventive Food Consumption Behaviors: A Systematic Review and Meta-Analysis. Int. J. Behav. Nutr. Phys. Act. 2017, 14, 47. [Google Scholar] [CrossRef]
- Guryan, J.; Hurst, E.; Kearney, M. Parental Education and Parental Time with Children. J. Econ. Perspect. 2008, 22, 23–46. [Google Scholar] [CrossRef] [Green Version]
- Parkes, A.; Sweeting, H.; Wight, D. Parenting Stress and Parent Support among Mothers with High and Low Education. J. Fam. Psychol. 2015, 29, 907–918. [Google Scholar] [CrossRef] [PubMed]
- Renzaho, A.M.N.; Dau, A.; Cyril, S.; Ayala, G.X. The Influence of Family Functioning on the Consumption of Unhealthy Foods and Beverages among 1- to 12-y-Old Children in Victoria, Australia. Nutrition 2014, 30, 1028–1033. [Google Scholar] [CrossRef] [PubMed]
- Jansen, P.W.; Derks, I.P.M.; Mou, Y.; van Rijen, E.H.M.; Gaillard, R.; Micali, N.; Voortman, T.; Hillegers, M.H.J. Associations of Parents’ Use of Food as Reward with Children’s Eating Behaviour and BMI in a Population-Based Cohort. Pediatr. Obes. 2020, 15, e12662. [Google Scholar] [CrossRef] [PubMed]
- Fedewa, A.L. How Food as a Reward Is Detrimental to Children’s Health, Learning, and Behavior. J. Sch. Health 2015, 85, 648–658. [Google Scholar] [CrossRef] [PubMed]
- Schröder, H.; Gomez, S.F.; Ribas-Barba, L.; Pérez-Rodrigo, C.; Bawaked, R.A.; Fíto, M.; Serra-Majem, L. Monetary Diet Cost, Diet Quality, and Parental Socioeconomic Status in Spanish Youth. PLoS ONE 2016, 11, e0161422. [Google Scholar] [CrossRef] [PubMed]
- Fernández-Alvira, J.M.; De Bourdeaudhuij, I.; Singh, A.S.; Vik, F.N.; Manios, Y.; Kovacs, E.; Jan, N.; Brug, J.; Moreno, L.A. Clustering of Energy Balance-Related Behaviors and Parental Education in European Children: The ENERGY-Project. Int. J. Behav. Nutr. Phys. Act. 2013, 10, 5. [Google Scholar] [CrossRef] [PubMed] [Green Version]
- Yang-Huang, J.; van Grieken, A.; Wang, L.; Jansen, W.; Raat, H. Clustering of Sedentary Behaviours, Physical Activity, and Energy-Dense Food Intake in Six-Year-Old Children: Associations with Family Socioeconomic Status. Nutrients 2020, 12, 1722. [Google Scholar] [CrossRef] [PubMed]
- Miguel-Berges, M.L.; Zachari, K.; Santaliestra-Pasias, A.M.; Mouratidou, T.; Androutsos, O.; Iotova, V.; Galcheva, S.; De Craemer, M.; Cardon, G.; Koletzko, B.; et al. Clustering of Energy Balance-Related Behaviours and Parental Education in European Preschool Children: The ToyBox Study. Br. J. Nutr. 2017, 118, 1089–1096. [Google Scholar] [CrossRef] [Green Version]
- del Pozo-Cruz, B.; Perales, F.; Parker, P.; Lonsdale, C.; Noetel, M.; Hesketh, K.D.; Sanders, T. Joint Physical-Activity/Screen-Time Trajectories during Early Childhood: Socio-Demographic Predictors and Consequences on Health-Related Quality-of-Life and Socio-Emotional Outcomes. Int. J. Behav. Nutr. Phys. Act. 2019, 16, 55. [Google Scholar] [CrossRef] [PubMed]
- Liu, M.; Wu, L.; Yao, S. Dose-Response Association of Screen Time-Based Sedentary Behaviour in Children and Adolescents and Depression: A Meta-Analysis of Observational Studies. Br. J. Sports Med. 2016, 50, 1252–1258. [Google Scholar] [CrossRef] [PubMed] [Green Version]
- Riley, A.W. Evidence That School-Age Children Can Self-Report on Their Health. Ambul. Pediatr. 2004, 4, 371–376. [Google Scholar] [CrossRef] [PubMed]
- Ravens-Sieberer, U.; Erhart, M.; Wille, N.; Wetzel, R.; Nickel, J.; Bullinger, M. Generic Health-Related Quality-of-Life Assessment in Children and Adolescents: Methodological Considerations. Pharmacoeconomics 2006, 24, 1199–1220. [Google Scholar] [CrossRef] [PubMed]

| Maternal Education | ||||
|---|---|---|---|---|
| Primary n = 371 | Secondary n = 553 | University n = 481 | P for Linear Trend | |
| Sex (%) | ||||
| Girls | 183 (49.3) | 273 (49.4) | 243 (50.5) | 0.72 |
| Boys | 188 (50.7) | 280 (50.6) | 238 (49.5) | |
| Age (years) | 10.2 (10.1 to 10.2) | 10.1 (10.0 to 10.1) | 10.1 (10.0 to 10.1) | 0.004 |
| zBMI b | 0.71 (0.59 to 0.83) | 0.73 (0.64 to 0.83) | 0.65 (0.54 to 0.76) | 0.483 |
| PAQ-C score (unit) c | 3.0 (2.9 to 3.0) | 2.9 (2.9 to 3.0) | 3.0 (3.0 to 3.1) | 0.114 |
| Screen time (minutes per day) d | 102.9 (49.3 to 200.0) | 87.9 (49.3 to 167.9) | 81.4 (45.0 to 128.6) | <0.001 |
| Screen time recommendation (%) e | 43.3 (38.5 to 48.3) | 38.5 (34.5 to 42.5) | 28.7(24.3 to 33.0) | <0.001 |
| Skips breakfast (%) | 4.0 (1.9 to 6.2) | 5.4 (3.7 to 7.2) | 4.0 (2.0 to 5.8) | 0.949 |
| Has commercially baked goods or pastries for breakfast (%) | 28.8 (24.7 to 33.0) | 20.3 (16.8 to 23.7) | 18.1 (14.4 to 21.8) | <0.001 |
| Goes more than once a week to a fast-food restaurant (%) | 25.6 (21.9 to 29.3) | 20.1 (16.9 to 23.3) | 10.4 (7.0 to 13.8) | <0.001 |
| Takes sweets and candies several times every day (%) | 25.6 (21.9 to 29.4) | 17.4 (14.7 to 20.4) | 8.3 (5.1 to 11.6) | <0.001 |
| Maternal Education | ||||
|---|---|---|---|---|
| Primary | Secondary | University | P Linear Trend | |
| n = 371 | n = 553 | n = 481 | ||
| PAQ-C score (unit) b | 3.0 (2.9 to 3.1) | 3.1 (3.0 to 3.2) | 3.1 (3.0 to 3.2) | 0.324 |
| Screen time (min/d) c | 294.9 (180.2 to 209.6) | 173.4 (161.7 to 185.2) | 147.0 (134.1 to 160.0) | <0.001 |
Publisher’s Note: MDPI stays neutral with regard to jurisdictional claims in published maps and institutional affiliations. |
© 2021 by the authors. Licensee MDPI, Basel, Switzerland. This article is an open access article distributed under the terms and conditions of the Creative Commons Attribution (CC BY) license (https://creativecommons.org/licenses/by/4.0/).
Share and Cite
Cárdenas-Fuentes, G.; Homs, C.; Ramírez-Contreras, C.; Juton, C.; Casas-Esteve, R.; Grau, M.; Aguilar-Palacio, I.; Fitó, M.; Gomez, S.F.; Schröder, H. Prospective Association of Maternal Educational Level with Child’s Physical Activity, Screen Time, and Diet Quality. Nutrients 2022, 14, 160. https://doi.org/10.3390/nu14010160
Cárdenas-Fuentes G, Homs C, Ramírez-Contreras C, Juton C, Casas-Esteve R, Grau M, Aguilar-Palacio I, Fitó M, Gomez SF, Schröder H. Prospective Association of Maternal Educational Level with Child’s Physical Activity, Screen Time, and Diet Quality. Nutrients. 2022; 14(1):160. https://doi.org/10.3390/nu14010160
Chicago/Turabian StyleCárdenas-Fuentes, Gabriela, Clara Homs, Catalina Ramírez-Contreras, Charlotte Juton, Rafael Casas-Esteve, Maria Grau, Isabel Aguilar-Palacio, Montserrat Fitó, Santiago F. Gomez, and Helmut Schröder. 2022. "Prospective Association of Maternal Educational Level with Child’s Physical Activity, Screen Time, and Diet Quality" Nutrients 14, no. 1: 160. https://doi.org/10.3390/nu14010160
APA StyleCárdenas-Fuentes, G., Homs, C., Ramírez-Contreras, C., Juton, C., Casas-Esteve, R., Grau, M., Aguilar-Palacio, I., Fitó, M., Gomez, S. F., & Schröder, H. (2022). Prospective Association of Maternal Educational Level with Child’s Physical Activity, Screen Time, and Diet Quality. Nutrients, 14(1), 160. https://doi.org/10.3390/nu14010160

