Amino Acid Composition of Amniotic Fluid during the Perinatal Period Reflects Mother’s Fat and Carbohydrate Intake
Abstract
1. Introduction
2. Materials and Methods
Study Design and Subjects
3. Sample Collection
4. Measurements
5. Statistics
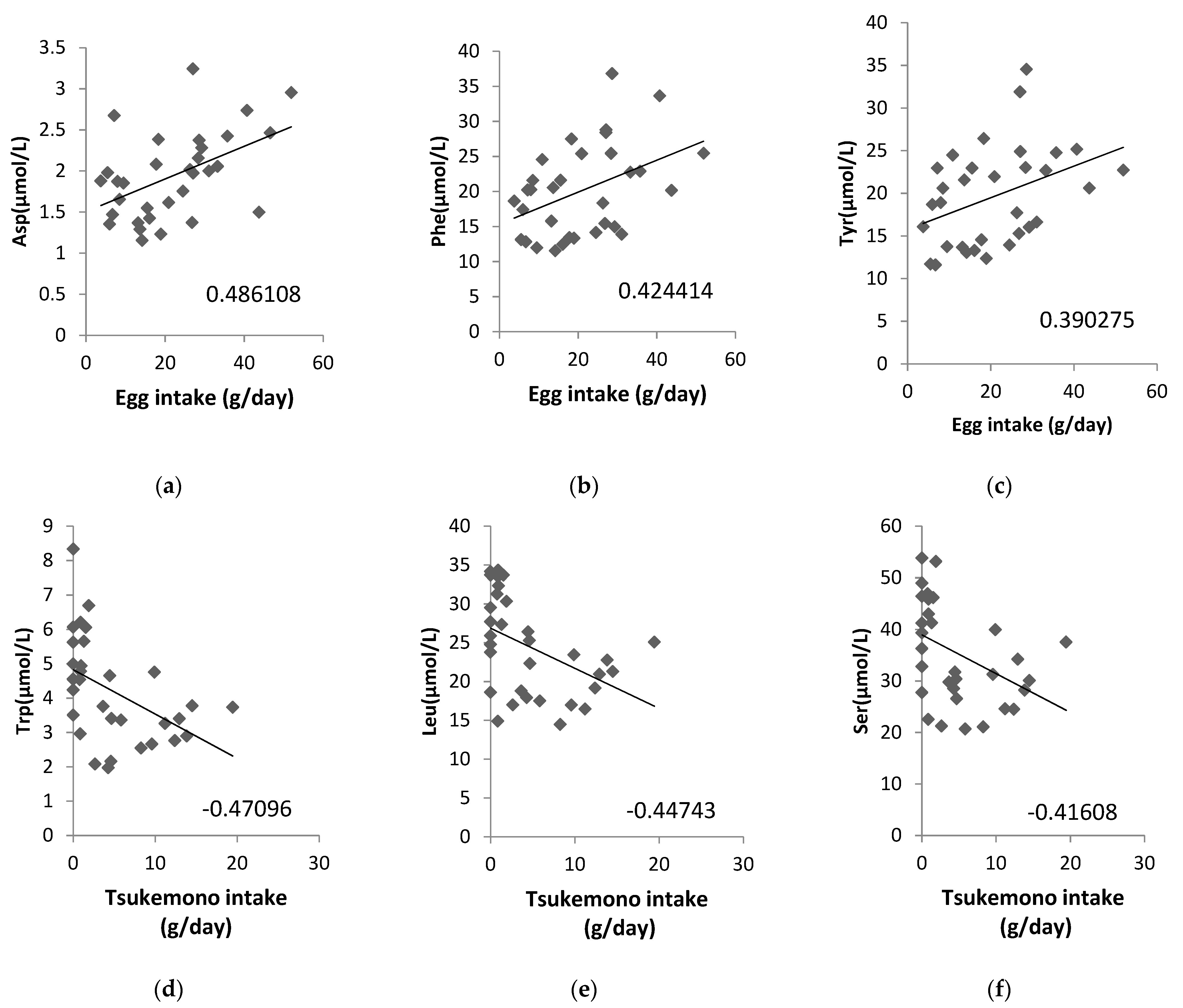
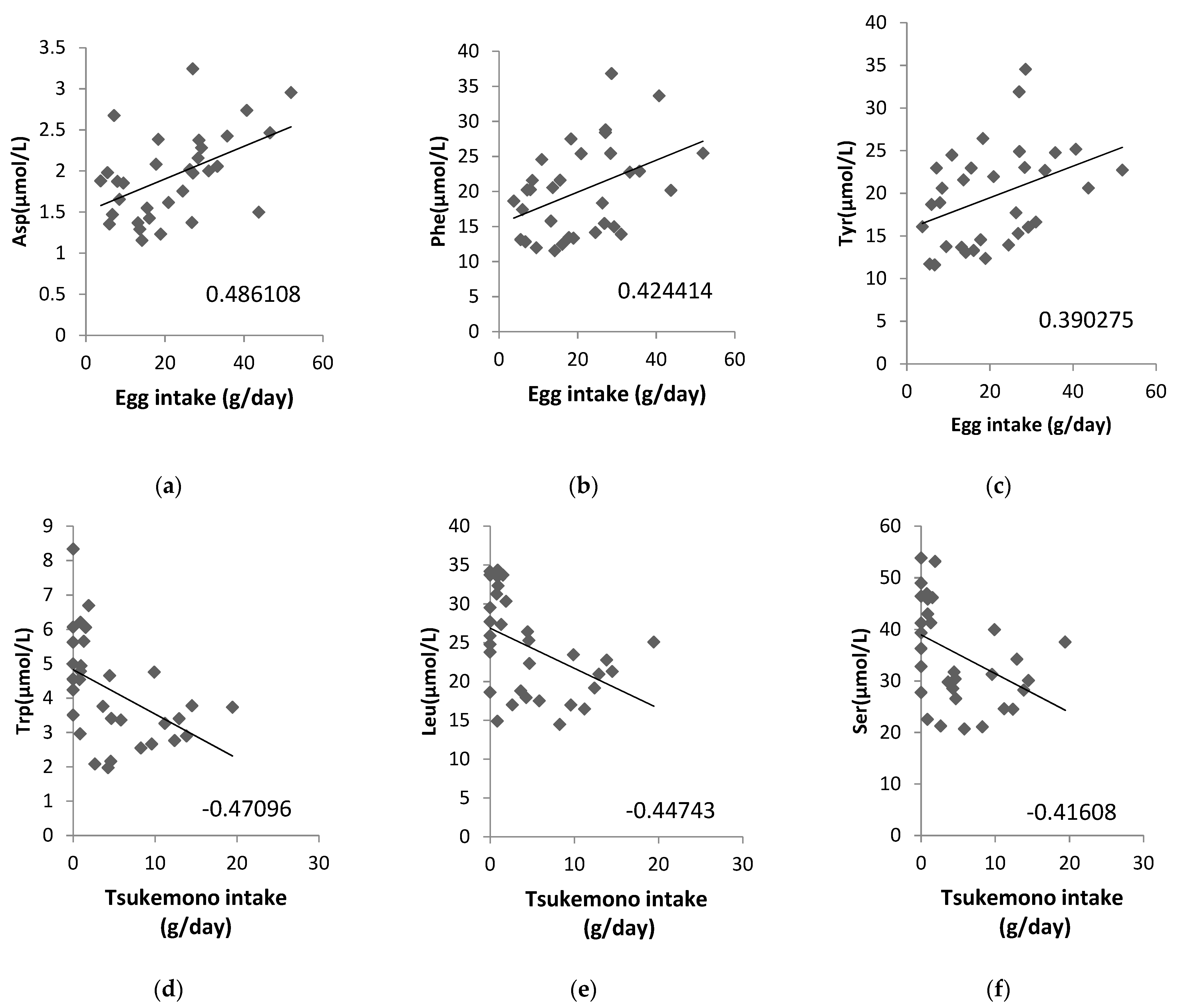
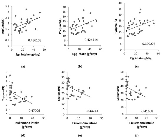
6. Results
7. Discussion
8. Conclusions
Author Contributions
Funding
Institutional Review Board Statement
Informed Consent Statement
Data Availability Statement
Acknowledgments
Conflicts of Interest
References
- Horan, M.K.; McGowan, C.A.; Gibney, E.R.; Donnelly, J.M.; McAuliffe, F.M. The association between maternal dietary micronutrient intake and neonatal anthropometry—Secondary analysis from the ROLO study. Nutr. J. 2015, 14, 1–11. [Google Scholar] [CrossRef]
- Scholl, T.O. Iron status during pregnancy: Setting the stage for mother and infant. Am. J. Clin. Nutr. 2005, 81, 1218S–1222S. [Google Scholar] [CrossRef]
- Horan, M.K.; McGowan, C.A.; Gibney, E.R.; Donnelly, J.M.; McAuliffe, F.M. Maternal low glycaemic index diet, fat intake and post-prandial glucose influences neonatal adiposity—Secondary analysis from the ROLO study. Nutr. J. 2014, 13, 78. [Google Scholar] [CrossRef] [PubMed]
- Barker, D.J.; Osmond, C. Infant mortality, childhood nutrition, and ischaemic heart disease in England and Wales. Lancet 1986, 10, 1077–1081. [Google Scholar] [CrossRef]
- Luyckx, V.A.; Bertram, J.F.; Brenner, B.M.; Fall, C.; Hoy, W.E.; Ozanne, S.E.; Vikse, B.E. Effect of fetal and child health on kidney devel-opment and long-term risk of hypertension and kidney disease. Lancet 2013, 382, 273–283. [Google Scholar] [CrossRef]
- Chong, E.; Yosypiv, I.V. Developmental Programming of Hypertension and Kidney Disease. Int. J. Nephrol. 2012, 2012, 1–15. [Google Scholar] [CrossRef] [PubMed]
- Wang, T.; Huang, T.; Li, Y.; Zheng, Y.; Manson, J.E.; Hu, F.B.; Qi, L. Low birthweight and risk of type 2 diabetes: A Mendelian ran-domization study. Diabetologia 2016, 59, 1920–1927. [Google Scholar] [CrossRef]
- Luyckx, V.A.; Brenner, B.M. The Clinical Importance of Nephron Mass. J. Am. Soc. Nephrol. 2010, 21, 898–910. [Google Scholar] [CrossRef]
- Jiménez-Chillarón, J.C.; Díaz, R.; Martínez, D.; Pentinat, T.; Ramón-Krauel, M.; Ribó, S.; Plösch, T. The role of nutrition on epigenetic modifications and their implications on health. Biochimie 2012, 94, 2242–2263. [Google Scholar] [CrossRef]
- Baker, H.; Frank, O.; Deangelis, B.; Feingold, S.; Kaminetzky, A.H. Role of placental-fetal vitamin transfer in human. Am. J. Obste. Gynecol. 1981, 141, 792–796. [Google Scholar] [CrossRef]
- Bogden, J.D.; Thind, I.S.; Kemp, F.W.; Caterini, H. Plasma concentrations of calcium, chromium, copper, iron, magnesium, and zinc in maternal and cord blood and their relationship to low birth weight. J. Lab. Clin. Med. 1978, 92, 455–462. [Google Scholar] [PubMed]
- Kriesten, K.; Schmidtmann, W.; Murawski, U. Iron and copper concentrations in the maternal and fetal serum, placenta and amniotic fluid during the reproductive stadium as well as in the milk of rabbits. Comp. Biochem. Physiol. Part A Physiol. 1986, 83, 291–296. [Google Scholar] [CrossRef]
- Cornelissen, M.; Steegers-Theunissen, R.; Kollée, L.; Eskes, T.; Motohara, K.; Monnens, L. Supplementation of vitamin K in pregnant women receiving anticonvulsant therapy prevents neonatal vitamin K deficiency. Am. J. Obstet. Gynecol. 1993, 168, 884–888. [Google Scholar] [CrossRef]
- Capper, J.L.; Wilkinson, R.G.; Kasapidou, E.; Pattinson, S.E.; Mackenzie, A.M.; Sinclair, L. The effect of dietary vitamin E and fatty acid supplementation of pregnant and lactating ewes on placental and mammary transfer of vitamin E to the lamb. Br. J. Nutr. 2005, 93, 549–557. [Google Scholar] [CrossRef]
- Herrera, E. Implications of Dietary Fatty Acids During Pregnancy on Placental, Fetal and Postnatal Development—A Review. Placenta 2002, 23, S9–S19. [Google Scholar] [CrossRef]
- Koski, K.G.; Fergusson, M.A. Amniotic Fluid Composition Responds to Changes in Maternal Dietary Carbohydrate and is Related to Metabolic Status in Term Fetal Rats. J. Nutr. 1992, 122, 385–392. [Google Scholar] [CrossRef]
- Underwood, M.A.; Gilbert, W.M.; Sherman, M.P. Amniotic Fluid: Not Just Fetal Urine Anymore. J. Perinatol. 2005, 25, 341–348. [Google Scholar] [CrossRef]
- Wan, J.; Jiang, F.; Zhang, J.; Xu, Q.; Chen, D.; Yu, B.; Mao, X.; Yu, J.; Luo, Y.; He, J. Amniotic fluid metabolomics and biochemistry analysis provides novel insights into the diet-regulated foetal growth in a pig model. Sci. Rep. 2017, 7, srep44782. [Google Scholar] [CrossRef] [PubMed]
- Okubo, H.; Sasaki, S.; Rafamantanantsoa, H.H.; Ishikawa-Takata, K.; Okazaki, H.; Tabata, I. Validation of self-reported energy intake by a self-administered diet history questionnaire using the doubly labeled water method in 140 Japanese adults. Eur. J. Clin. Nutr. 2007, 62, 1343–1350. [Google Scholar] [CrossRef] [PubMed]
- Kobayashi, S.; Murakami, K.; Sasaki, S.; Okubo, H.; Hirota, N.; Notsu, A.; Fukui, M.; Date, C. Comparison of relative validity of food group intakes estimated by comprehensive and brief-type self-administered diet history questionnaires against 16 d dietary records in Japanese adults. Public Heal. Nutr. 2011, 14, 1200–1211. [Google Scholar] [CrossRef]
- Willett, W.C.; Howe, G.R.; Kushi, L. Adjustment for total energy intake in epidemiologic studies. Am. J. Clin. Nutr. 1997, 65, 1220S–1228S. [Google Scholar] [CrossRef]
- Rhee, J.J.; Cho, E.; Willett, W.C. Energy-Adjustment of nutrient intakes is preferable to adjustment using body weight and physical activity in epidemiologic analysis. Public Health Nutr. 2014, 17, 1054–1060. [Google Scholar] [CrossRef] [PubMed]
- Shiraishi, M.; Haruna, M.; Matsuzaki, M.; Murayama, R.; Sasaki, S. Availability of two self-administered diet history questionnaires for pregnant Japanese women: A validation study using 24-hour urinary markers. J. Epidemiol. 2017, 27, 172–179. [Google Scholar] [CrossRef] [PubMed]
- Shibata, K.; Fukuwatari, T.; Sasaki, S.; Sano, M.; Suzuki, K.; Hiratsuka, C.; Aoki, A.; Nagai, C. Urinary excretion levels of water-soluble vitamins in pregnant and lactating women in Japan. J. Nutr. Sci. Vitaminol. 2013, 59, 178–186. [Google Scholar] [CrossRef] [PubMed][Green Version]
- Shiraishi, M.; Haruna, M.; Matsuzaki, M.; Murayama, R.; Sasaki, S. The biomarker-based validity of a brief-type diet history ques-tionnaire for estimating eicosapentaenoic acid and docosahexaenoic acid intakes in pregnant Japanese women. Asia Pac. J. Clin. Nutr. 2015, 24, 316–322. [Google Scholar] [CrossRef] [PubMed]
- Dennis, K.; Bytheway, W.R. Changes in Body Weight after Delivery. J. Obstet. Gynaecol. Br. Commonw. 1965, 72, 94–102. [Google Scholar] [CrossRef]
- Ministry of Agriculture in Japan. 2015. Available online: https://www.maff.go.jp/j/zyukyu/fbs/ (accessed on 15 January 2021).
- Morisaki, N.; Kawachi, I.; Oken, E.; Fujiwara, T. Social and anthropometric factors explaining racial/ethnical differences in birth weight in the United States. Sci. Rep. 2017, 7, 46657. [Google Scholar] [CrossRef]
- Zanardo, V.; Mari, G.; De Luca, F.; Scambia, G.; Guerrini, P.; Straface, G. Lactate in cord blood and its relation to fetal gluconeogenesis in at term deliveries. Early Hum. Dev. 2015, 91, 165–168. [Google Scholar] [CrossRef] [PubMed]
- Hussein, S.M.; Salih, Y.; Rayis, D.A.; Bilal, J.A.; Adam, I. Low neonatal blood glucose levels in cesarean-delivered term newborns at Khartoum Hospital, Sudan. Diagn. Pathol. 2014, 9, 112. [Google Scholar] [CrossRef]
- Muneta, T.; Kawaguchi, E.; Nagai, Y.; Matsumoto, M.; Ebe, K.; Watanabe, H.; Bando, H. Ketone body elevation in placenta, umbilical cord, newborn and mother in normal delivery. Glycative Stress Res. 2016, 3, 133–140. [Google Scholar] [CrossRef]
- Rossary, A.; Farges, M.C.; Lamas, B.; Miles, E.A.; Noakes, P.S.; Kremmyda, L.S.; Vlachava, M.; Diaper, N.D.; Robinson, S.M.; Godfrey, K.M.; et al. Increased consumption of salmon during pregnancy partly prevents the decline of some plasma es-sential amino acid concentrations in pregnant women. Clin. Nutr. 2014, 33, 267–273. [Google Scholar] [CrossRef]
- Dingemanse, M.A.; Lamers, W.H. Expression patterns of ammonia-metabolizing enzymes in the liver, mesonephros, and gut of human embryos and their possible implications. Anat. Rec. Adv. Integr. Anat. Evol. Biol. 1994, 238, 480–490. [Google Scholar] [CrossRef]
- Cuezva, J.; Valcarce, C.; Chamorro, M.; Franco, A.; Mayor, F. Alanine and lactate as gluconeogenic substrates during late gestation. FEBS Lett. 1986, 194, 219–223. [Google Scholar] [CrossRef]
- Sano, M.; Ferchaud-Roucher, V.; Kaeffer, B.; Poupeau, G.; Castellano, B.; Darmaun, D. Maternal and fetal tryptophan metabolism in gestating rats: Effects of intrauterine growth restriction. Amino Acids 2015, 48, 281–290. [Google Scholar] [CrossRef]
- Okumura, J.-I.; Tasaki, I. Effect of Fasting, Refeeding and Dietary Protein Level on Uric Acid and Ammonia Content of Blood, Liver and Kidney in Chickens. J. Nutr. 1969, 97, 316–320. [Google Scholar] [CrossRef]
- Mancini, A.; Imperlini, E.; Nigro, E.; Montagnese, C.; Daniele, A.; Orrù, S.; Buono, P. Biological and Nutritional Properties of Palm Oil and Palmitic Acid: Effects on Health. Molecules 2015, 20, 17339–17361. [Google Scholar] [CrossRef] [PubMed]
- Herring, C.M.; Bazer, F.W.; Johnson, G.A.; Wu, G. Impacts of maternal dietary protein intake on fetal survival, growth, and development. Exp. Biol. Med. 2018, 243, 525–533. [Google Scholar] [CrossRef] [PubMed]
- Cho, H.; Wu, M.; Zhang, L.; Thompson, R.; Nath, A.; Chan, C. Signaling dynamics of palmitate-induced ER stress responses mediated by ATF4 in HepG2 cells. BMC Syst. Biol. 2013, 7, 9. [Google Scholar] [CrossRef]
- DeNicola, G.M.; Chen, P.-H.; Mullarky, E.; Sudderth, J.A.; Hu, Z.; Wu, D.; Tang, H.; Xie, Y.; Asara, J.M.; Huffman, K.E.; et al. NRF2 regulates serine biosynthesis in non–small cell lung cancer. Nat. Genet. 2015, 47, 1475–1481. [Google Scholar] [CrossRef]
- Rosario, F.J.; Kanai, Y.; Powell, T.; Jansson, T. Increased placental nutrient transport in a novel mouse model of maternal obesity with fetal overgrowth. Obesity 2015, 23, 1663–1670. [Google Scholar] [CrossRef]
- Jones, H.N.; Woollett, L.A.; Barbour, N.; Prasad, P.D.; Powell, T.; Jansson, T. High-fat diet before and during pregnancy causes marked up-regulation of placental nutrient transport and fetal overgrowth in C57/BL6 mice. FASEB J. 2008, 23, 271–278. [Google Scholar] [CrossRef] [PubMed]
- Vaughan, O.; Rosario, F.; Powell, T.; Jansson, T. Regulation of Placental Amino Acid Transport and Fetal Growth. Prog. Mol. Biol. Transl. Sci. 2017, 145, 217–251. [Google Scholar] [CrossRef]
- Bröer, S.; Bröer, A. Amino acid homeostasis and signalling in mammalian cells and organisms. Biochem. J. 2017, 474, 1935–1963. [Google Scholar] [CrossRef] [PubMed]
- Lewis, R.M.; Godfrey, K.M.; Jackson, A.A.; Cameron, I.T.; Hanson, M. Low Serine Hydroxymethyltransferase Activity in the Human Placenta Has Important Implications for Fetal Glycine Supply. J. Clin. Endocrinol. Metab. 2005, 90, 1594–1598. [Google Scholar] [CrossRef] [PubMed]


| Amino Acids | Plasma (M) | Plasma (C) | Amniotic Fluid |
|---|---|---|---|
| (μmol/L) | (μmol/L) | (μmol/L) | |
| Essential | 86.5 ± 15.6 a | 129.5 ± 22.7 b | 24.4 ± 6.3 c |
| Leu | 49.5 ± 8.7 a | 72.8 ± 10.5 b | 10.7 ± 3.3 c |
| Ile | 153.7 ± 25.2 a | 235.8 ± 32.0 b | 49.9 ± 16.2 c |
| Val | 163.9 ± 41.2 a | 270.3 ± 57.7 b | 98.7 ± 40.2 c |
| Thr | 39.5 ± 4.8 a | 72.2 ± 6.9 b | 4.2 ± 1.5 c |
| Trp | 51.5 ± 5.8 a | 70.3 ± 8.0 b | 20.1 ± 6.5 c |
| Phe | 24.8 ± 3.5 a | 28.2 ± 3.2 b | 8.3 ± 2.6 c |
| Met | 179.7 ± 34.2 a | 350.8 ± 48.3 b | 104.3 ± 32.1 c |
| Lys | 77.8 ± 13.5 a | 99.3 ± 8.9 b | 35.8 ± 8.9 c |
| His | 39.7 ± 7.9 a | 43.3 ± 5.8 a | 16.7 ± 4.7 b |
| Non-essential | 3.4 ± 0.6 a | 8.0 ± 7.1 b | 1.9 ± 0.5 c |
| Asn | 435.9 ± 74.4 a | 321.8 ± 61.9 b | 145.6 ± 49.2 c |
| Asp | 34.4 ± 9.1 a | 63.6 ± 12.4 b | 13.3 ± 4.5 c |
| Ala | 152.5 ± 34.9 a | 244.6 ± 43.8 b | 141.2 ± 46.6 a |
| Arg | 403.8 ± 66.0 a | 521.3 ± 74.8 b | 207.9 ± 73.0 c |
| Gly | 50.3 ± 13.4 a | 44.1 ± 19.3 a | 15.3 ± 6.1 b |
| Gln | 92.9 ± 18.5 a | 157.9 ± 15.5 b | 35.4 ± 9.8 c |
| Glu | 46.6 ± 7.7 a | 67.5 ± 8.9 b | 19.6 ± 5.8 c |
| Ser | 32.9 ± 6.3 a | 38.8 ± 6.6 b | 29.0 ± 7.3 c |
| Tyr | 1.5 ± 0.6 a | 2.2 ± 0.9 b | 6.8 ± 1.2 c |
| Other | 34.2 ± 5.1 a | 110.3 ± 29.4 b | 109.5 ± 29.8 b |
| Cystine, μmol/L | 1.4 ± 0.4 a | 7.6 ± 5.7 b | 6.3 ± 2.4 b |
| P-Ser, μmol/L | 933.5 ± 767.4 a | 1680.1 ± 1296.1 b | 2873.0 ± 2471.9 c |
| Tau, μmol/L | 1.7 ± 0.8 a | 2.0 ± 0.8 a | 2.0 ± 0.8 a |
| PEA, μmol/L | 921.7 ± 309.3 a | 1748.5 ± 383.2 b | 1501.2 ± 498.8 b |
| Urea, μmol/L | 13.6 ± 2.4 a | 15.9 ± 2.8 b | 5.6 ± 1.6 c |
| Sar, μmol/L | 23.2 ± 5.5 a | 22. 5 ± 4.8 a | 5.5 ± 1.6 b |
| a-AAA, nmol/L | 1.5 ± 0.4 a | 2.3 ± 0.5 b | 1.4 ± 0.4 a |
| Cit, μmol/L | 1.8 ± 0.8 a | 3.7 ± 1.4 b | 3.1 ± 1.1 b |
| a-ABA, μmol/L | 2.6 ± 1.2 a | 3.2 ± 2.2 ab | 4.7 ± 2.8 b |
| Cystathio, μmol/L | 607.9 ± 80.1 a | 814.8 ± 505.3 a | 798.3 ± 211.3 a |
| b-Ala, μmol/L | 4.6 ± 1.2 a | 27.3 ± 5.5 b | 47.1 ± 11.2 c |
| b-AiBA, μmol/L | 61.8 ± 15.5 a | 92.7 ± 25.9 b | 150.8 ± 55.1 c |
| g-ABA, nmol/L | 398.3 ± 298.1 a | 1624.2 ± 488.0 b | 1388.1 ± 415.6 b |
| EOHNH2, μmol/L | 36.6 ± 9.2 a | 81.4 ± 11.6 b | 13.1 ± 3.1 c |
| NH3, μmol/L | ND | 2.9 ± 1.7 a | 3.1 ± 1.6 a |
| Hylys, nmol/L | 1.9 ± 0.6 a | 2.4 ± 0.8 b | 2.0 ± 0.8 ab |
| Orn, μmol/L | ND | 1.7 ± 0.5 | ND |
| 1Mehis, μmol/L | |||
| 3Mehis, μmol/L | |||
| Car, μmol/L |
| Plasma (M) | Plasma (C) | Amniotic fluid | |||||||||
|---|---|---|---|---|---|---|---|---|---|---|---|
| P (E%) | F (E%) | C (E%) | P (E%) | F (E%) | C (E%) | P (E%) | F (E%) | C (E%) | : 1 | ||
| P-Ser | 0.1272 | 0.2419 | −0.2606 | 0.1976 | 0.1910 | −0.3134 | −0.0660 | −0.3674 * | 0.3036 | : 0.75~1.00 | |
| Tau | 0.0214 | 0.3545 | −0.2952 | 0.0539 | −0.1476 | 0.1081 | 0.0481 | 0.1918 | −0.1392 | : 0.50~0.75 | |
| PEA | 0.1204 | −0.2737 | 0.1998 | −0.0633 | 0.0181 | 0.0315 | 0.0167 | −0.1870 | 0.1763 | : 0.25~0.50 | |
| Urea | 0.2584 | 0.1826 | −0.2703 | 0.3004 | 0.0941 | −0.2757 | 0.2422 | 0.0984 | −0.2285 | : 0.00~0.25 | |
| Asp | −0.0101 | −0.1141 | 0.1298 | −0.0389 | −0.0265 | 0.0425 | 0.1824 | 0.4075 * | −0.4709 ** | : −1.00~−0.75 | |
| Thr | 0.0784 | 0.0640 | −0.0536 | 0.2673 | 0.2984 | −0.3149 | 0.3398 | 0.3281 | −0.3502 * | : −0.75~−0.50 | |
| Ser | −0.0461 | −0.0978 | 0.1177 | 0.0781 | 0.3028 | −0.2258 | 0.1105 | 0.3672 * | −0.3049 | : −0.50~−0.25 | |
| Asn | 0.0454 | −0.0371 | 0.0546 | 0.1277 | 0.2450 | −0.2918 | 0.1639 | 0.4763 ** | −0.3985 * | : −0.25~0.00 | |
| Glu | 0.1294 | −0.3172 | 0.1942 | −0.0883 | −0.0963 | 0.1186 | 0.1165 | 0.3936 * | −0.3669 * | ||
| Gln | −0.2495 | 0.0338 | 0.1013 | −0.0020 | −0.0017 | 0.0625 | 0.1489 | 0.4531 ** | −0.3669 * | ||
| Sar | −0.3077 | 0.0490 | −0.0350 | 0.3578 | 0.1368 | −0.2833 | 0.2675 | 0.3130 | −0.3597 | ||
| a-AAA | −0.0299 | −0.3419 | 0.3120 | 0.1961 | 0.2060 | −0.1492 | 0.2838 | 0.0585 | −0.0531 | ||
| Gly | −0.2460 | −0.0485 | 0.2099 | −0.0633 | 0.0715 | −0.0300 | 0.2431 | 0.1612 | −0.1805 | ||
| Ala | 0.0289 | 0.3629 * | −0.3183 | 0.0020 | 0.2198 | −0.2113 | 0.1284 | 0.3420 | −0.3286 | ||
| Cit | 0.0862 | 0.1437 | −0.0920 | 0.0642 | 0.2594 | −0.2310 | 0.1344 | 0.3654 * | −0.3437 | ||
| a-ABA | 0.2919 | −0.0101 | −0.1094 | 0.2860 | 0.0099 | −0.1680 | 0.3963 * | 0.2515 | −0.3421 | ||
| Val | 0.1212 | −0.1579 | 0.0793 | 0.1317 | 0.1020 | −0.2063 | 0.1827 | 0.3304 | −0.3137 | ||
| Cystine | 0.0686 | 0.1227 | −0.0613 | 0.0368 | 0.1967 | −0.1478 | 0.2819 | 0.1343 | −0.1670 | ||
| Met | −0.1197 | −0.0481 | 0.1170 | −0.1302 | 0.1947 | −0.0660 | 0.1555 | 0.4891 ** | −0.3993 * | ||
| Cystathio | −0.0436 | 0.1100 | −0.0764 | −0.1597 | 0.0420 | 0.0353 | 0.4275 * | 0.3545 * | −0.4392 * | ||
| Ile | −0.0684 | 0.0660 | −0.0042 | −0.0055 | −0.0486 | −0.0175 | 0.1006 | 0.3071 | −0.2891 | ||
| Leu | −0.0403 | −0.0847 | 0.0938 | 0.1877 | −0.0737 | −0.0313 | 0.1210 | 0.2874 | −0.2632 | ||
| Tyr | −0.0665 | −0.1047 | 0.1120 | 0.0458 | 0.2324 | −0.2618 | 0.1507 | 0.4565 ** | −0.3978 * | ||
| Phe | −0.0334 | 0.0264 | 0.0237 | 0.2712 | 0.2829 | −0.4035 * | 0.1776 | 0.5083 ** | −0.4482 * | ||
| b-Ala | −0.0526 | 0.0040 | −0.0028 | −0.0842 | −0.0709 | 0.0374 | 0.2700 | 0.0066 | −0.1039 | ||
| b-AiBA | −0.1434 | −0.2377 | 0.3146 | −0.0616 | −0.2650 | 0.3051 | 0.1202 | −0.1749 | 0.1064 | ||
| Trp | −0.2143 | −0.0521 | 0.1835 | 0.2320 | −0.2363 | 0.0852 | 0.0761 | 0.2517 | −0.1802 | ||
| EOHNH2 | −0.2166 | 0.2290 | −0.0775 | −0.2601 | 0.0309 | 0.0781 | −0.0319 | 0.1539 | −0.0732 | ||
| NH3 | −0.0394 | 0.2350 | −0.1371 | 0.1622 | −0.0145 | −0.0692 | −0.0354 | −0.0251 | 0.0423 | ||
| Orn | 0.2112 | −0.1840 | 0.0275 | 0.1128 | 0.0128 | −0.0522 | 0.0983 | 0.1789 | −0.1324 | ||
| Lys | 0.0642 | −0.1629 | 0.1146 | 0.1531 | 0.1618 | −0.1581 | 0.2902 | 0.2276 | −0.2119 | ||
| His | −0.0825 | −0.0461 | 0.1213 | −0.1601 | 0.1637 | −0.0597 | 0.2307 | 0.4235 * | −0.3406 | ||
| His(3-Me) | 0.3588 * | −0.1492 | 0.0590 | 0.3474 * | −0.0926 | 0.0411 | 0.2639 | 0.1081 | −0.0819 | ||
| Arg | −0.2046 | −0.0722 | 0.1394 | 0.1020 | −0.1165 | 0.1690 | 0.0369 | 0.2958 | −0.1978 | ||
| a | ||||||||
| Fat | Animal Fat | Vegetable Fat | Cholesterol | SFAs | MUFAs | PUFAs | ||
| Intake (g/day) | 30.5 | 14.1 | 16.4 | 0.205 | 8.44 | 10.69 | 7.44 | |
| Amino acids | correlation coefficient | |||||||
| P-Ser | −0.3068 | −0.2691 | −0.2339 | −0.1521 | −0.3878 * | −0.3358 | −0.1547 | |
| Tau | 0.1337 | 0.1624 | 0.0943 | 0.1719 | 0.2196 | 0.0976 | 0.0356 | |
| PEA | −0.1347 | −0.0058 | −0.1042 | −0.0244 | −0.0569 | −0.0805 | −0.1817 | |
| Urea | 0.2517 | 0.1731 | 0.1173 | 0.2493 | 0.1862 | 0.2995 | 0.0448 | |
| Asp | 0.5587 ** | 0.3710 * | 0.4216 * | 0.5018 ** | 0.2991 | 0.5418 ** | 0.5198 ** | |
| Thr | 0.4017 * | 0.1875 | 0.2002 | 0.0388 | 0.2574 | 0.3686 * | 0.2299 | |
| Ser | 0.4842 ** | 0.3112 | 0.2848 | 0.1408 | 0.3215 | 0.4941 ** | 0.3229 | |
| Asn | 0.5729 ** | 0.4542 ** | 0.2790 | 0.3556 * | 0.4732 ** | 0.5348 ** | 0.2980 | |
| Glu | 0.4820 ** | 0.4198 * | 0.2677 | 0.3676 * | 0.3399 | 0.4713 ** | 0.3559 * | |
| Gln | 0.4923 ** | 0.4475 ** | 0.2062 | 0.1330 | 0.4756 ** | 0.3920 * | 0.2289 | |
| Sar | 0.1494 | 0.3078 | −0.0364 | 0.1091 | 0.3325 | 0.0286 | 0.1052 | |
| a-AAA | 0.0585 | 0.1523 | −0.1838 | 0.2938 | 0.1785 | 0.0000 | −0.2069 | |
| Gly | 0.2342 | 0.1484 | 0.0934 | 0.1780 | 0.1117 | 0.1994 | 0.1462 | |
| Ala | 0.4806 ** | 0.4439 ** | 0.2266 | 0.2473 | 0.3329 | 0.4920 ** | 0.3476 * | |
| Cit | 0.4161 * | 0.3207 | 0.1848 | 0.0652 | 0.3288 | 0.3794 * | 0.2709 | |
| a-ABA | 0.3349 | 0.3269 | 0.1016 | 0.3419 | 0.2637 | 0.3697 * | 0.1213 | |
| Val | 0.4348 * | 0.2951 | 0.2390 | 0.1481 | 0.3232 | 0.4632 ** | 0.2406 | |
| Cystine | 0.1716 | 0.0445 | −0.0035 | 0.0472 | 0.0891 | 0.1267 | 0.0830 | |
| Met | 0.6239 ** | 0.5022 ** | 0.3021 | 0.2621 | 0.4670 ** | 0.6034 ** | 0.3765 * | |
| Cystathio | 0.3970 * | 0.2031 | 0.2097 | 0.2060 | 0.2782 | 0.3226 | 0.2951 | |
| Ile | 0.4223 * | 0.3438 | 0.1921 | 0.0960 | 0.3479 | 0.4520 ** | 0.1771 | |
| Leu | 0.3688 * | 0.2815 | 0.1287 | 0.1345 | 0.2808 | 0.4128 * | 0.1587 | |
| Tyr | 0.6301 ** | 0.5227 ** | 0.2980 | 0.3944 * | 0.4432 * | 0.6613 ** | 0.3563 * | |
| Phe | 0.6444 ** | 0.5297 ** | 0.3369 | 0.3526 * | 0.4754 ** | 0.6580 ** | 0.3911 * | |
| b-Ala | 0.0005 | 0.0541 | −0.1771 | −0.1354 | 0.1387 | −0.0043 | −0.3082 | |
| b-AiBA | −0.2990 | −0.3586 | −0.1143 | −0.2133 | −0.2394 | −0.2650 | −0.0946 | |
| Trp | 0.4230 * | 0.4032 * | 0.0480 | 0.1349 | 0.3424 | 0.4201 * | 0.1056 | |
| EOHNH2 | 0.1285 | 0.2788 | −0.0909 | 0.2125 | 0.1740 | 0.0665 | −0.0680 | |
| NH3 | 0.0946 | 0.1331 | 0.0521 | −0.0011 | 0.0718 | 0.1639 | −0.0136 | |
| Orn | 0.2108 | 0.0433 | 0.1136 | 0.0590 | 0.0147 | 0.2023 | 0.2078 | |
| Lys | 0.2667 | 0.0572 | 0.1654 | 0.0588 | 0.1491 | 0.2517 | 0.1618 | |
| His | 0.5164 ** | 0.3676 * | 0.3105 | 0.2550 | 0.3937 * | 0.4853 ** | 0.3646 * | |
| His(3-Me) | 0.1724 | 0.0478 | 0.1257 | 0.0416 | −0.0354 | 0.1195 | 0.2707 | |
| Arg | 0.2625 | 0.3504 | 0.0343 | 0.2339 | 0.3423 | 0.2327 | 0.0585 | |
| b | ||||||||
| n-3 FA | n-6 FA | C16:0 | C17:0 | C18:0 | C18:1 | C18:2 (n-6) | C20:3 (n-6) | |
| Intake (g/day) | 1.36 | 6.07 | 4.92 | 0.072 | 1.79 | 9.76 | 5.90 | 0.017 |
| Amino acids | correlation coefficient | |||||||
| P-Ser | 0.0084 | −0.1785 | −0.3622 * | −0.2738 | −0.3486 | −0.3548 * | −0.1734 | −0.3013 |
| Tau | −0.0374 | 0.0490 | 0.1820 | 0.3018 | 0.2483 | 0.1169 | 0.0399 | 0.1603 |
| PEA | −0.2299 | −0.1071 | −0.0496 | 0.1063 | 0.0151 | −0.0964 | −0.1044 | −0.0248 |
| Urea | 0.1668 | 0.0087 | 0.2557 | 0.3633 * | 0.3185 | 0.2620 | 0.0120 | 0.2774 |
| Asp | 0.4186 * | 0.5026 ** | 0.4571 ** | 0.2797 | 0.4351 * | 0.5400 ** | 0.4897 ** | 0.5847 ** |
| Thr | 0.3252 | 0.2032 | 0.3061 | 0.2179 | 0.3178 | 0.3222 | 0.2049 | 0.2958 |
| Ser | 0.3284 | 0.3127 | 0.3827 * | 0.3420 | 0.4102 * | 0.4527 ** | 0.3083 | 0.3952 * |
| Asn | 0.3845 * | 0.2529 | 0.5007 ** | 0.4542 ** | 0.5297 ** | 0.5095 ** | 0.2390 | 0.5095 ** |
| Glu | 0.3168 | 0.3406 | 0.4188 * | 0.3332 | 0.4268 * | 0.4552 ** | 0.3255 | 0.5338 ** |
| Gln | 0.2577 | 0.2226 | 0.4586 ** | 0.4011 * | 0.4739 ** | 0.3723 * | 0.2199 | 0.4111 * |
| Sar | 0.1325 | 0.0649 | 0.2169 | 0.1844 | 0.2273 | 0.0182 | 0.0260 | 0.1961 |
| a-AAA | 0.0538 | −0.2615 | 0.1669 | 0.1485 | 0.1446 | −0.0285 | −0.2962 | 0.1662 |
| Gly | 0.2526 | 0.1261 | 0.1215 | 0.1435 | 0.1407 | 0.1581 | 0.1147 | 0.1896 |
| Ala | 0.3128 | 0.3396 | 0.3757 * | 0.3817 * | 0.3967 * | 0.4576 ** | 0.3232 | 0.4539 ** |
| Cit | 0.4256 * | 0.2262 | 0.3424 | 0.3589 * | 0.3314 | 0.3380 | 0.2254 | 0.3270 |
| a-ABA | 0.2313 | 0.0959 | 0.3600 * | 0.4171 * | 0.4215 * | 0.3235 | 0.0976 | 0.4906 ** |
| Val | 0.2500 | 0.2276 | 0.3580 * | 0.3382 | 0.3914 * | 0.4211 * | 0.2320 | 0.3747 * |
| Cystine | 0.2299 | 0.0634 | 0.0955 | 0.0738 | 0.0765 | 0.0967 | 0.0503 | 0.1031 |
| Met | 0.4417 * | 0.3475 | 0.5198 ** | 0.5055 ** | 0.5411 ** | 0.5649 ** | 0.3332 | 0.5425 ** |
| Cystathio | 0.3013 | 0.3024 | 0.3207 | 0.2577 | 0.3054 | 0.3087 | 0.2724 | 0.3043 |
| Ile | 0.2606 | 0.1620 | 0.3889 * | 0.4065 * | 0.3860 * | 0.4058 * | 0.1584 | 0.3823 * |
| Leu | 0.2416 | 0.1309 | 0.3266 | 0.3457 | 0.3548 * | 0.3603 * | 0.1276 | 0.3486 |
| Tyr | 0.3548 * | 0.3402 | 0.5407 ** | 0.4967 ** | 0.5839 ** | 0.6268 ** | 0.3292 | 0.6309 ** |
| Phe | 0.3578 * | 0.3831 * | 0.5491 ** | 0.5440 ** | 0.5850 ** | 0.6213 ** | 0.3662 * | 0.6063 ** |
| b-Ala | −0.1323 | −0.3134 | 0.1487 | 0.1262 | 0.1083 | −0.0382 | −0.3140 | 0.1183 |
| b-AiBA | −0.0946 | −0.0961 | −0.3232 | −0.2202 | −0.2911 | −0.2552 | −0.1025 | −0.3527 |
| Trp | 0.1976 | 0.0883 | 0.3930 * | 0.3886 * | 0.4227 * | 0.3658 * | 0.0777 | 0.4714 ** |
| EOHNH2 | 0.0796 | −0.1144 | 0.1725 | 0.2193 | 0.2327 | 0.0591 | −0.1276 | 0.2043 |
| NH3 | −0.1309 | 0.0718 | 0.1573 | 0.1107 | 0.1939 | 0.1595 | 0.0975 | 0.1994 |
| Orn | 0.2940 | 0.2038 | 0.0674 | 0.0213 | 0.0660 | 0.1957 | 0.2108 | 0.1056 |
| Lys | 0.1965 | 0.1601 | 0.1725 | 0.1019 | 0.1698 | 0.2430 | 0.1604 | 0.1324 |
| His | 0.2888 | 0.3633 * | 0.3907 * | 0.3737 * | 0.4609 ** | 0.4652 ** | 0.3523 * | 0.3830 * |
| His(3-Me) | 0.3406 | 0.2400 | −0.0171 | −0.0710 | 0.0056 | 0.1141 | 0.2392 | 0.0127 |
| Arg | 0.1710 | 0.0641 | 0.2980 | 0.3972 * | 0.3101 | 0.2238 | 0.0452 | 0.2819 |
| NH3 | Plasma (M) | Plasma (C) | Amniotic Fluid |
|---|---|---|---|
| P (%E) | −0.0394 | 0.1622 | −0.0354 |
| Chicken meat | 0.0318 | −0.0016 | 0.4817 ** |
| Pork & beef meat | 0.0160 | 0.0349 | 0.3959 * |
| Egg | 0.1357 | −0.3099 | 0.1411 |
| Mother | |
|---|---|
| Age, years | 32.4 ± 4.6 |
| Length, cm | 157.1 ± 6.4 |
| Bodyweight, kg | 63.0 ± 12.2 |
| BMI | 25.5 ± 4.4 |
| Parity | 2.2 ± 0.7 |
| Promipara, n (%) | 3 (8.8) |
| Multipara, n (%) | 31 (91) |
| BloodGlucose (mg/dL) | 104.9 ± 21.4 |
| BloodKetone (mmol/L) | 0.1 ± 0.1 |
| Infants | |
| Gestationalage (weeks) | 38.1 ± 0.6 |
| Birthweight (g) | 2967 ± 275 |
| GenderMale, n (%) | 20 (58.8) |
| Female, n (%) | 14 (41.2) |
| CordbloodGlucose (mg/dL) | 63.6 ± 11.0 |
| CordbloodKetone (mmol/L) | 0.6 ± 0.2 |
| Nutrient | Mean±SD |
|---|---|
| Energy, kcal/day | 1565 ± 384 |
| Protein, %E | 15.1 ± 2.1 |
| Fat, %E | 27.4 ± 4.5 |
| Carbohydrate, %E | 57.4 ± 5.6 |
| Fiber, g/1000 kcal | 6.9 ± 1.5 |
| NaCl, g/1000 kcal | 5.8 ± 0.9 |
| Vitamin | 428 ± 191 |
| V.A, μg/1000 kcal | 6.2 ± 3.3 |
| V.D, μg/1000 kcal | 4.0 ± 0.7 |
| V.E, mg/1000 kcal | 0.44 ± 0.06 |
| V.B1, mg/1000 kcal | 0.69 ± 0.14 |
| V.B2, mg/1000 kcal | 8.0 ± 1.6 |
| Niacin, mg/1000 kcal | 0.65 ± 0.11 |
| V.B6, mg/1000 kcal | 4.0 ± 1.3 |
| V.B12, μg/1000 kcal | 170 ± 44 |
| Folate, μg/1000 kcal | 3.74 ± 0.66 |
Publisher’s Note: MDPI stays neutral with regard to jurisdictional claims in published maps and institutional affiliations. |
© 2021 by the authors. Licensee MDPI, Basel, Switzerland. This article is an open access article distributed under the terms and conditions of the Creative Commons Attribution (CC BY) license (https://creativecommons.org/licenses/by/4.0/).
Share and Cite
Sano, M.; Nagura, H.; Ueno, S.; Nakashima, A. Amino Acid Composition of Amniotic Fluid during the Perinatal Period Reflects Mother’s Fat and Carbohydrate Intake. Nutrients 2021, 13, 2136. https://doi.org/10.3390/nu13072136
Sano M, Nagura H, Ueno S, Nakashima A. Amino Acid Composition of Amniotic Fluid during the Perinatal Period Reflects Mother’s Fat and Carbohydrate Intake. Nutrients. 2021; 13(7):2136. https://doi.org/10.3390/nu13072136
Chicago/Turabian StyleSano, Mitsue, Haruna Nagura, Sayako Ueno, and Akira Nakashima. 2021. "Amino Acid Composition of Amniotic Fluid during the Perinatal Period Reflects Mother’s Fat and Carbohydrate Intake" Nutrients 13, no. 7: 2136. https://doi.org/10.3390/nu13072136
APA StyleSano, M., Nagura, H., Ueno, S., & Nakashima, A. (2021). Amino Acid Composition of Amniotic Fluid during the Perinatal Period Reflects Mother’s Fat and Carbohydrate Intake. Nutrients, 13(7), 2136. https://doi.org/10.3390/nu13072136
