Characterization of the Luminal and Mucosa-Associated Microbiome along the Gastrointestinal Tract: Results from Surgically Treated Preterm Infants and a Murine Model
Abstract
1. Introduction
2. Materials and Methods
2.1. Human Measurements
2.2. Murine Measurements
2.3. Total DNA Isolation, Library Preparation and Sequencing
2.4. 16S Data Analysis
3. Results
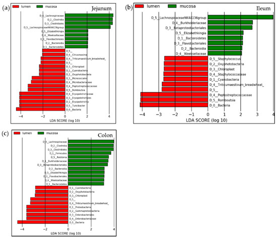
3.1. Human-Derived Samples: Bacterial Pattern in the Mucosa and Corresponding Luminal Samples
3.2. Mouse-Derived Samples: Differences in Tissue Type and Characterization along Intestinal Passages
4. Discussion
Supplementary Materials
Author Contributions
Funding
Institutional Review Board Statement
Informed Consent Statement
Acknowledgments
Conflicts of Interest
References
- Human Microbiome Project Consortium. A Framework for Human Microbiome Research. Nature 2012, 486, 215–221. [Google Scholar] [CrossRef]
- Dekaboruah, E.; Suryavanshi, M.V.; Chettri, D.; Verma, A.K. Human Microbiome: An Academic Update on Human Body Site Specific Surveillance and its Possible Role. Arch. Microbiol. 2020, 202, 2147–2167. [Google Scholar] [CrossRef]
- Milani, C.; Duranti, S.; Bottacini, F.; Casey, E.; Turroni, F.; Mahony, J.; Belzer, C.; Delgado Palacio, S.; Arboleya Montes, S.; Mancabelli, L.; et al. The First Microbial Colonizers of the Human Gut: Composition, Activities, and Health Implications of the Infant Gut Microbiota. Microbiol. Mol. Biol. Rev. 2017, 81. [Google Scholar] [CrossRef]
- Yang, I.; Corwin, E.J.; Brennan, P.A.; Jordan, S.; Murphy, J.R.; Dunlop, A. The Infant Microbiome: Implications for Infant Health and Neurocognitive Development. Nurs. Res. 2016, 65, 76–88. [Google Scholar] [CrossRef] [PubMed]
- Willis, A.D.; Minot, S.S. Strategies to Facilitate Translational Advances from Microbiome Surveys. Trends Microbiol. 2020, 28, 329–330. [Google Scholar] [CrossRef]
- Diaz Heijtz, R. Fetal, Neonatal, and Infant Microbiome: Perturbations and Subsequent Effects on Brain Development and Behavior. Semin. Fetal. Neonatal Med. 2016, 21, 410–417. [Google Scholar] [CrossRef]
- Miqdady, M.; Al Mistarihi, J.; Azaz, A.; Rawat, D. Prebiotics in the Infant Microbiome: The Past, Present, and Future. Pediatr. Gastroenterol. Hepatol. Nutr. 2020, 23, 1–14. [Google Scholar] [CrossRef] [PubMed]
- Selma-Royo, M.; Tarrazo, M.; Garcia-Mantrana, I.; Gomez-Gallego, C.; Salminen, S.; Collado, M.C. Shaping Microbiota during the First 1000 Days of Life. Adv. Exp. Med. Biol. 2019, 1125, 3–24. [Google Scholar] [PubMed]
- Plaza-Diaz, J.; Ruiz-Ojeda, F.J.; Gil-Campos, M.; Gil, A. Immune-Mediated Mechanisms of Action of Probiotics and Synbiotics in Treating Pediatric Intestinal Diseases. Nutrients 2018, 10, 42. [Google Scholar] [CrossRef] [PubMed]
- Fassarella, M.; Blaak, E.E.; Penders, J.; Nauta, A.; Smidt, H.; Zoetendal, E.G. Gut Microbiome Stability and Resilience: Elucidating the Response to Perturbations in Order to Modulate Gut Health. Gut 2021, 70, 595–605. [Google Scholar] [CrossRef]
- Hill, C.J.; Lynch, D.B.; Murphy, K.; Ulaszewska, M.; Jeffery, I.B.; O’Shea, C.A.; Watkins, C.; Dempsey, E.; Mattivi, F.; Tuohy, K.; et al. Evolution of Gut Microbiota Composition from Birth to 24 Weeks in the INFANTMET Cohort. Microbiome 2017, 5. [Google Scholar] [CrossRef]
- Gritz, E.C.; Bhandari, V. The Human Neonatal Gut Microbiome: A Brief Review. Front. Pediatr. 2015, 3, 17. [Google Scholar] [PubMed]
- Kim, G.; Bae, J.; Kim, M.J.; Kwon, H.; Park, G.; Kim, S.J.; Choe, Y.H.; Kim, J.; Park, S.H.; Choe, B.H.; et al. Delayed Establishment of Gut Microbiota in Infants Delivered by Cesarean Section. Front. Microbiol. 2020, 11, 2099. [Google Scholar] [CrossRef] [PubMed]
- Van den Elsen, L.W.J.; Garssen, J.; Burcelin, R.; Verhasselt, V. Shaping the Gut Microbiota by Breastfeeding: The Gateway to Allergy Prevention? Front. Pediatr. 2019, 7, 47. [Google Scholar] [CrossRef] [PubMed]
- O’Neill, I.J.; Sanchez Gallardo, R.; Saldova, R.; Murphy, E.F.; Cotter, P.D.; McAuliffe, F.M.; van Sinderen, D. Maternal and Infant Factors that Shape Neonatal Gut Colonization by Bacteria. Expert Rev. Gastroenterol. Hepatol. 2020, 14, 651–664. [Google Scholar] [CrossRef]
- Peterson, J.A.; Patton, S.; Hamosh, M. Glycoproteins of the Human Milk Fat Globule in the Protection of the Breast-Fed Infant against Infections. Biol. Neonate 1998, 74, 143–162. [Google Scholar] [CrossRef]
- Shang, J.; Piskarev, V.E.; Xia, M.; Huang, P.; Jiang, X.; Likhosherstov, L.M.; Novikova, O.S.; Newburg, D.S.; Ratner, D.M. Identifying Human Milk Glycans that Inhibit Norovirus Binding using Surface Plasmon Resonance. Glycobiology 2013, 23, 1491–1498. [Google Scholar] [CrossRef]
- Backhed, F.; Roswall, J.; Peng, Y.; Feng, Q.; Jia, H.; Kovatcheva-Datchary, P.; Li, Y.; Xia, Y.; Xie, H.; Zhong, H.; et al. Dynamics and Stabilization of the Human Gut Microbiome during the First Year of Life. Cell. Host Microbe 2015, 17, 690–703. [Google Scholar] [CrossRef]
- Ximenez, C.; Torres, J. Development of Microbiota in Infants and its Role in Maturation of Gut Mucosa and Immune System. Arch. Med. Res. 2017, 48, 666–680. [Google Scholar] [CrossRef]
- Tanaka, M.; Nakayama, J. Development of the Gut Microbiota in Infancy and its Impact on Health in Later Life. Allergol. Int. 2017, 66, 515–522. [Google Scholar] [CrossRef]
- Thiemann, S.; Smit, N.; Roy, U.; Lesker, T.R.; Galvez, E.J.C.; Helmecke, J.; Basic, M.; Bleich, A.; Goodman, A.L.; Kalinke, U.; et al. Enhancement of IFNgamma Production by Distinct Commensals Ameliorates Salmonella-Induced Disease. Cell. Host Microbe 2017, 21, 682–694.e5. [Google Scholar] [CrossRef] [PubMed]
- Vuik, F.; Dicksved, J.; Lam, S.Y.; Fuhler, G.M.; van der Laan, L.; van de Winkel, A.; Konstantinov, S.R.; Spaander, M.; Peppelenbosch, M.P.; Engstrand, L.; et al. Composition of the Mucosa-Associated Microbiota along the Entire Gastrointestinal Tract of Human Individuals. United. Eur. Gastroenterol. J. 2019, 7, 897–907. [Google Scholar] [CrossRef]
- Bashir, M.; Prietl, B.; Tauschmann, M.; Mautner, S.I.; Kump, P.K.; Treiber, G.; Wurm, P.; Gorkiewicz, G.; Hogenauer, C.; Pieber, T.R. Effects of High Doses of Vitamin D3 on Mucosa-Associated Gut Microbiome Vary between Regions of the Human Gastrointestinal Tract. Eur. J. Nutr. 2016, 55, 1479–1489. [Google Scholar] [CrossRef]
- Liu, H.; Zeng, X.; Zhang, G.; Hou, C.; Li, N.; Yu, H.; Shang, L.; Zhang, X.; Trevisi, P.; Yang, F.; et al. Maternal Milk and Fecal Microbes Guide the Spatiotemporal Development of Mucosa-Associated Microbiota and Barrier Function in the Porcine Neonatal Gut. BMC Biol. 2019, 17. [Google Scholar] [CrossRef]
- Kurath-Koller, S.; Neumann, C.; Moissl-Eichinger, C.; Kraschl, R.; Kanduth, C.; Hopfer, B.; Pausan, M.R.; Urlesberger, B.; Resch, B. Hospital Regimens Including Probiotics Guide the Individual Development of the Gut Microbiome of very Low Birth Weight Infants in the First Two Weeks of Life. Nutrients 2020, 12, 1256. [Google Scholar] [CrossRef]
- Combellick, J.L.; Shin, H.; Shin, D.; Cai, Y.; Hagan, H.; Lacher, C.; Lin, D.L.; McCauley, K.; Lynch, S.V.; Dominguez-Bello, M.G. Differences in the Fecal Microbiota of Neonates Born at Home or in the Hospital. Sci. Rep. 2018, 8. [Google Scholar] [CrossRef]
- Lundgren, S.N.; Madan, J.C.; Emond, J.A.; Morrison, H.G.; Christensen, B.C.; Karagas, M.R.; Hoen, A.G. Maternal Diet during Pregnancy is Related with the Infant Stool Microbiome in a Delivery Mode-Dependent Manner. Microbiome 2018, 6. [Google Scholar] [CrossRef] [PubMed]
- Senn, V.; Bassler, D.; Choudhury, R.; Scholkmann, F.; Righini-Grunder, F.; Vuille-Dit-Bile, R.N.; Restin, T. Microbial Colonization from the Fetus to Early Childhood-A Comprehensive Review. Front. Cell. Infect. Microbiol. 2020, 10, 573735. [Google Scholar] [CrossRef]
- Hodzic, Z.; Bolock, A.M.; Good, M. The Role of Mucosal Immunity in the Pathogenesis of Necrotizing Enterocolitis. Front. Pediatr. 2017, 5, 40. [Google Scholar] [CrossRef] [PubMed]
- Klymiuk, I.; Bilgilier, C.; Stadlmann, A.; Thannesberger, J.; Kastner, M.T.; Hogenauer, C.; Puspok, A.; Biowski-Frotz, S.; Schrutka-Kolbl, C.; Thallinger, G.G.; et al. The Human Gastric Microbiome is Predicated upon Infection with Helicobacter Pylori. Front. Microbiol. 2017, 8, 2508. [Google Scholar] [CrossRef] [PubMed]
- McKenna, P.; Hoffmann, C.; Minkah, N.; Aye, P.P.; Lackner, A.; Liu, Z.; Lozupone, C.A.; Hamady, M.; Knight, R.; Bushman, F.D. The Macaque Gut Microbiome in Health, Lentiviral Infection, and Chronic Enterocolitis. PLoS Pathog. 2008, 4, e20. [Google Scholar] [CrossRef] [PubMed]
- Callahan, B.J.; McMurdie, P.J.; Rosen, M.J.; Han, A.W.; Johnson, A.J.; Holmes, S.P. DADA2: High-Resolution Sample Inference from Illumina Amplicon Data. Nat. Methods 2016, 13, 581–583. [Google Scholar] [CrossRef]
- Bolyen, E.; Rideout, J.R.; Dillon, M.R.; Bokulich, N.A.; Abnet, C.C.; Al-Ghalith, G.A.; Alexander, H.; Alm, E.J.; Arumugam, M.; Asnicar, F.; et al. Author Correction: Reproducible, Interactive, Scalable and Extensible Microbiome Data Science using QIIME. Nat. Biotechnol. 2019, 37, 852–857. [Google Scholar] [CrossRef]
- Afgan, E.; Baker, D.; Batut, B.; van den Beek, M.; Bouvier, D.; Cech, M.; Chilton, J.; Clements, D.; Coraor, N.; Gruning, B.A.; et al. The Galaxy Platform for Accessible, Reproducible and Collaborative Biomedical Analyses: 2018 Update. Nucleic Acids Res. 2018, 46, W537–W544. [Google Scholar] [CrossRef] [PubMed]
- Quast, C.; Pruesse, E.; Yilmaz, P.; Gerken, J.; Schweer, T.; Yarza, P.; Peplies, J.; Glockner, F.O. The SILVA Ribosomal RNA Gene Database Project: Improved Data Processing and Web-Based Tools. Nucleic Acids Res. 2013, 41, D590–D596. [Google Scholar] [CrossRef] [PubMed]
- Price, M.N.; Dehal, P.S.; Arkin, A.P. FastTree 2—Approximately Maximum-Likelihood Trees for Large Alignments. PLoS ONE 2010, 5, e9490. [Google Scholar] [CrossRef] [PubMed]
- Chen, L.; Reeve, J.; Zhang, L.; Huang, S.; Wang, X.; Chen, J. GMPR: A Robust Normalization Method for Zero-Inflated Count Data with Application to Microbiome Sequencing Data. PeerJ 2018, 6, e4600. [Google Scholar] [CrossRef]
- Love, M.I.; Huber, W.; Anders, S. Moderated Estimation of Fold Change and Dispersion for RNA-Seq Data with DESeq2. Genome Biol. 2014, 15. [Google Scholar] [CrossRef]
- Nguyen, T.T.B.; Chung, H.J.; Kim, H.J.; Hong, S.T. Establishment of an Ideal Gut Microbiota to Boost Healthy Growth of Neonates. Crit. Rev. Microbiol. 2019, 45, 118–129. [Google Scholar] [CrossRef]
- Robertson, R.C.; Manges, A.R.; Finlay, B.B.; Prendergast, A.J. The Human Microbiome and Child Growth-First 1000 Days and Beyond. Trends Microbiol. 2019, 27, 131–147. [Google Scholar] [CrossRef]
- Barrett, E.; Guinane, C.M.; Ryan, C.A.; Dempsey, E.M.; Murphy, B.P.; O’Toole, P.W.; Fitzgerald, G.F.; Cotter, P.D.; Ross, R.P.; Stanton, C. Microbiota Diversity and Stability of the Preterm Neonatal Ileum and Colon of Two Infants. Microbiologyopen 2013, 2, 215–225. [Google Scholar] [CrossRef]
- Zhang, Z.; Deng, W.; Wang, S.; Xu, L.; Yan, L.; Liao, P. First Case Report of Infection Caused by Cupriavidus Gilardii in a Non-Immunocompromised Chinese Patient. IDCases 2017, 10, 127–129. [Google Scholar] [CrossRef] [PubMed]
- Yahya, R.; Alyousef, W.; Omara, A.; Alamoudi, S.; Alshami, A.; Abdalhamid, B. First Case of Pneumonia Caused by Cupriavidus Pauculus in an Infant in the Gulf Cooperation Council. J. Infect. Dev. Ctries 2017, 11, 196–198. [Google Scholar] [CrossRef]
- Smith, B.; Bode, S.; Petersen, B.L.; Jensen, T.K.; Pipper, C.; Kloppenborg, J.; Boye, M.; Krogfelt, K.A.; Molbak, L. Community Analysis of Bacteria Colonizing Intestinal Tissue of Neonates with Necrotizing Enterocolitis. BMC Microbiol. 2011, 11, 1–12. [Google Scholar] [CrossRef]
- Dziuban, E.J.; Franks, J.L.; So, M.; Peacock, G.; Blaney, D.D. Elizabethkingia in Children: A Comprehensive Review of Symptomatic Cases Reported from 1944 to 2017. Clin. Infect. Dis. 2018, 67, 144–149. [Google Scholar] [CrossRef] [PubMed]
- Cuiv, P.O.; Klaassens, E.S.; Durkin, A.S.; Harkins, D.M.; Foster, L.; McCorrison, J.; Torralba, M.; Nelson, K.E.; Morrison, M. Draft Genome Sequence of Turicibacter Sanguinis PC909, Isolated from Human Feces. J. Bacteriol. 2011, 193, 1288–1289. [Google Scholar] [CrossRef] [PubMed]
- Wu, M.; Li, P.; Li, J.; An, Y.; Wang, M.; Zhong, G. The Differences between Luminal Microbiota and Mucosal Microbiota in Mice. J. Microbiol. Biotechnol. 2020, 30, 287–295. [Google Scholar] [CrossRef]
- Safari, Z.; Bruneau, A.; Monnoye, M.; Mariadassou, M.; Philippe, C.; Zatloukal, K.; Gerard, P. Murine Genetic Background Overcomes Gut Microbiota Changes to Explain Metabolic Response to High-Fat Diet. Nutrients 2020, 12, 287. [Google Scholar] [CrossRef] [PubMed]
- Gerritsen, J.; Hornung, B.; Renckens, B.; van Hijum, S.A.F.T.; Martins Dos Santos, V.A.P.; Rijkers, G.T.; Schaap, P.J.; de Vos, W.M.; Smidt, H. Genomic and Functional Analysis of Romboutsia Ilealis CRIB(T) Reveals Adaptation to the Small Intestine. PeerJ 2017, 5, e3698. [Google Scholar] [CrossRef]
- Gerritsen, J.; Umanets, A.; Staneva, I.; Hornung, B.; Ritari, J.; Paulin, L.; Rijkers, G.T.; de Vos, W.M.; Smidt, H. Romboutsia Hominis Sp. Nov., the First Human Gut-Derived Representative of the Genus Romboutsia, Isolated from Ileostoma Effluent. Int. J. Syst. Evol. Microbiol. 2018, 68, 3479–3486. [Google Scholar] [CrossRef]
- Van den Beld, M.J.C.; Warmelink, E.; Friedrich, A.W.; Reubsaet, F.A.G.; Schipper, M.; de Boer, R.F.; Notermans, D.W.; Petrignani, M.W.F.; van Zanten, E.; Rossen, J.W.A.; et al. Incidence, Clinical Implications and Impact on Public Health of Infections with Shigella Spp. and Entero-Invasive Escherichia Coli (EIEC): Results of a Multicenter Cross-Sectional Study in the Netherlands during 2016–2017. BMC Infect. Dis. 2019, 19. [Google Scholar] [CrossRef] [PubMed]





| Patient ID | Gender | Gestational Age (weeks) | Birth Weight (g) | Diagnosis | Age at Creation Stoma | GI Region | Age at Closure Stoma |
|---|---|---|---|---|---|---|---|
| 1 | male | 27 + 6 | 720 | Meconium-related ileus | 5 days | ileostomy | 2 months |
| 3 | female | 25 | 600 | Spontaneous perforation in ileum | 4 days | ileostomy | 3 months |
| 4 | male | 29 + 2 | 650 | Meconium-related ileus | 3 days | ileostomy | 4 months |
| 5 | male | 24 + 5 | 720 | Necrotizing enterocolitis | 27 days | ileostomy | 9 months |
| Jejunum (MU vs. LU) | R2 | p-Value | adj. p-Value |
|---|---|---|---|
| Shannon div. index | 0.148 | 0.445 | |
| Observed species | 0.016 * | 0.047 * | |
| PD.faith | 0.844 | ||
| Adonis (weighted UniFrac) | 0.265 | 0.015 * | 0.045 * |
| Ileum (MU vs. LU) | |||
| Shannon div. index | 0.547 | 0.742 | |
| Observed species | 0.055 | 0.080 | |
| PD.faith | 0.844 | ||
| Adonis (weighted UniFrac) | 0.657 | 0.201 | 0.302 |
| Colon (MU vs. LU) | |||
| Shannon div. index | 0.742 | 0.742 | |
| Observed species | 0.195 | 0.195 | |
| PD.faith | 0.383 | ||
| Adonis (weighted UniFrac) | 0.057 | 0.437 | 0.437 |
| MUCOSA Shannon | 0.046 * | ||
| Jejunum vs. Ileum | 0.250 | 0.330 | |
| Jejunum vs. Colon | 0.039 * | 0.156 | |
| Ileum vs. Colon | 0.078 | 0.156 | |
| Colon vs. feces | 0.640 | 0.640 | |
| MUCOSA observed species | 0.745 | ||
| MUCOSA Adonis weighted UniFrac | 0.366 | 0.002 * | |
| Jejunum vs. Ileum | 0.350 | 0.155 | 0.200 |
| Jejunum vs. Colon | 0.400 | 0.001 * | 0.004 * |
| Ileum vs. Colon | 0.103 | 0.002 * | 0.004 * |
| Colon vs. feces | 0.074 | 0.324 | 0.324 |
| LUMEN Shannon | 0.005 * | ||
| Jejunum vs. Ileum | 0.945 | 0.945 | |
| Jejunum vs. Colon | 0.023 * | 0.047 * | |
| Ileum vs. Colon | 0.016 * | 0.047 * | |
| Colon vs. feces | 0.844 | 0.945 | |
| LUMEN observed species | 0.083 | ||
| LUMEN Adonis weighted UniFrac | 0.495 | 0.001 * | |
| Jejunum vs. Ileum | 0.075 | 0.260 | 0.347 |
| Jejunum vs. Colon | 0.578 | 0.001 * | 0.004 * |
| Ileum vs. Colon | 0.486 | 0.002 * | 0.004 * |
| Colon vs. feces | 0.009 | 0.895 | 0.895 |
Publisher’s Note: MDPI stays neutral with regard to jurisdictional claims in published maps and institutional affiliations. |
© 2021 by the authors. Licensee MDPI, Basel, Switzerland. This article is an open access article distributed under the terms and conditions of the Creative Commons Attribution (CC BY) license (http://creativecommons.org/licenses/by/4.0/).
Share and Cite
Klymiuk, I.; Singer, G.; Castellani, C.; Trajanoski, S.; Obermüller, B.; Till, H. Characterization of the Luminal and Mucosa-Associated Microbiome along the Gastrointestinal Tract: Results from Surgically Treated Preterm Infants and a Murine Model. Nutrients 2021, 13, 1030. https://doi.org/10.3390/nu13031030
Klymiuk I, Singer G, Castellani C, Trajanoski S, Obermüller B, Till H. Characterization of the Luminal and Mucosa-Associated Microbiome along the Gastrointestinal Tract: Results from Surgically Treated Preterm Infants and a Murine Model. Nutrients. 2021; 13(3):1030. https://doi.org/10.3390/nu13031030
Chicago/Turabian StyleKlymiuk, Ingeborg, Georg Singer, Christoph Castellani, Slave Trajanoski, Beate Obermüller, and Holger Till. 2021. "Characterization of the Luminal and Mucosa-Associated Microbiome along the Gastrointestinal Tract: Results from Surgically Treated Preterm Infants and a Murine Model" Nutrients 13, no. 3: 1030. https://doi.org/10.3390/nu13031030
APA StyleKlymiuk, I., Singer, G., Castellani, C., Trajanoski, S., Obermüller, B., & Till, H. (2021). Characterization of the Luminal and Mucosa-Associated Microbiome along the Gastrointestinal Tract: Results from Surgically Treated Preterm Infants and a Murine Model. Nutrients, 13(3), 1030. https://doi.org/10.3390/nu13031030

