Trait Energy and Fatigue Modify the Effects of Caffeine on Mood, Cognitive and Fine-Motor Task Performance: A Post-Hoc Study
Abstract
1. Introduction
2. Methodology
2.1. Study Design and Study Products
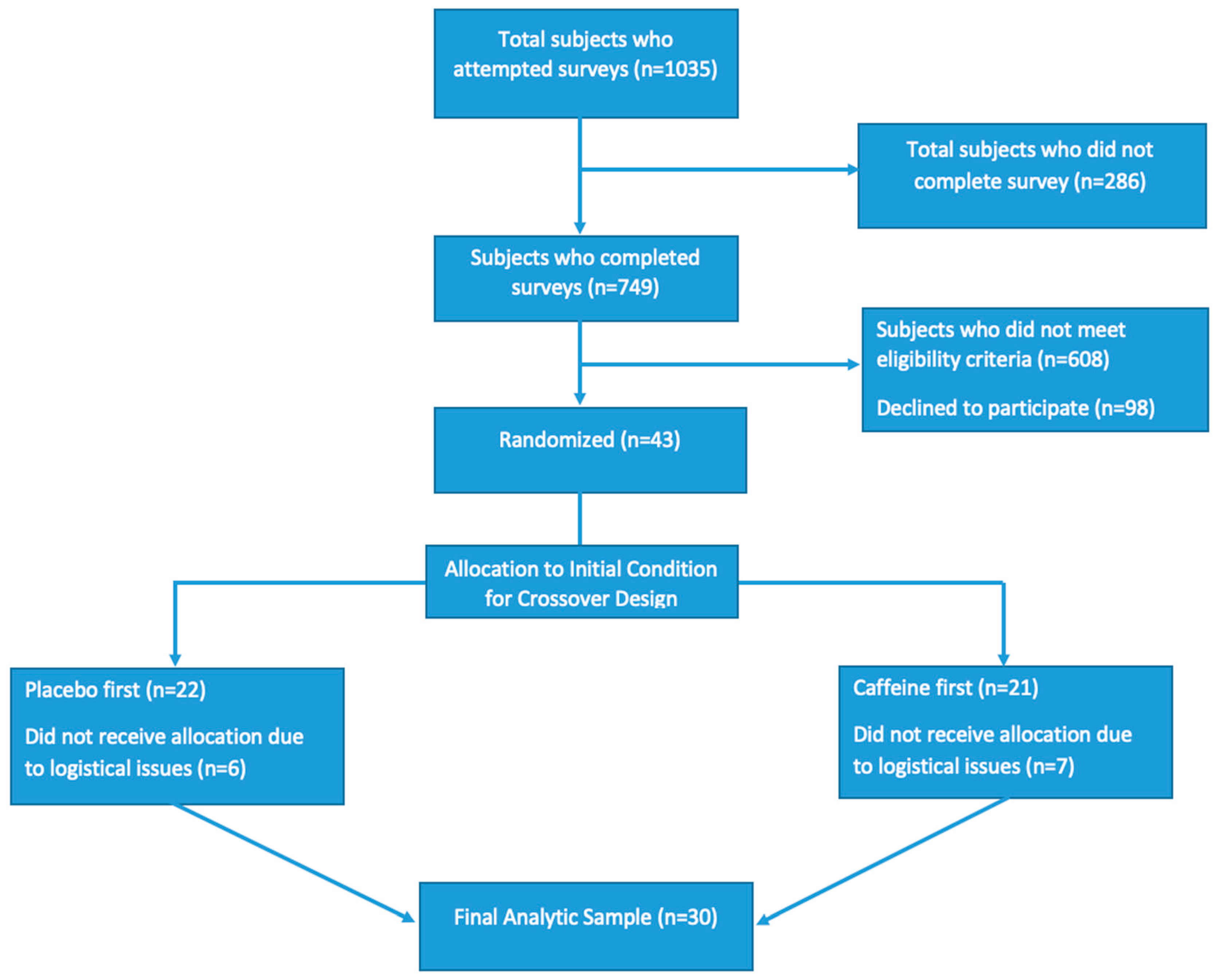
2.2. Screening and Participants
2.3. Measures
2.3.1. Pre-Testing Measure
2.3.2. Testing Day Measures
2.4. Procedure
2.5. Data Treatment and Statistics
2.5.1. Data Handling
2.5.2. Primary Analysis
3. Results
3.1. Trait Influence on State Mood
3.2. Trait Influence on Cognitive Task Performance
3.3. Trait Influence on Fine Motor Task Performance
3.4. Post-Hoc Salivary Analysis
4. Discussion
4.1. Trait Influence on State Moods
4.2. Trait Influence on Cognitive Task Performance
4.3. Trait Influence on Fine Motor Task Performance
4.4. Implications
4.5. Limitations
5. Conclusions
Supplementary Materials
Author Contributions
Funding
Institutional Review Board Statement
Informed Consent Statement
Data Availability Statement
Acknowledgments
Conflicts of Interest
References
- Chen, M.K. The epidemiology of self-perceived fatigue among adults. Prev. Med. 1986, 15, 74–81. [Google Scholar] [CrossRef]
- Ricci, J.A.; Chee, E.; Lorandeau, A.L.; Berger, J. Fatigue in the US workforce: Prevalence and implications for lost productive work time. J. Occup. Environ. Med. 2007, 49, 1–10. [Google Scholar] [CrossRef] [PubMed]
- Taylor, A.H.; Dorn, L. Stress, fatigue, health, and risk of road traffic accidents among professional drivers: The contribution of physical inactivity. Annu. Rev. Publ. Health 2006, 27, 371–391. [Google Scholar] [CrossRef] [PubMed]
- Van Drongelen, A.; Boot, C.R.; Hlobil, H.; Smid, T.; van der Beek, A.J. Risk factors for fatigue among airline pilots. Int. Archiv. Occup. Environ. Health 2017, 90, 39–47. [Google Scholar] [CrossRef] [PubMed]
- Samkoff, J.S.; Jacques, C.H. A review of studies concerning effects of sleep deprivation and fatigue on residents’ performance. Acad. Med. 1991, 66, 687–693. [Google Scholar] [CrossRef] [PubMed]
- Fukuda, S.; Yamano, E.; Joudoi, T.; Mizuno, K.; Tanaka, M.; Kawatani, J.; Takano, M.; Tomoda, A.; Imai-Matsumura, K.; Miike, T.; et al. Effort-reward imbalance for learning is associated with fatigue in school children. Behav. Med. 2010, 36, 53–62. [Google Scholar] [CrossRef]
- Verbrugge, L.M.; Ascione, F.J. Exploring the iceberg: Common symptoms and how people care for them. Med. Care 1987, 25, 539–569. [Google Scholar] [CrossRef]
- Lewis, G.; Wessely, S. The epidemiology of fatigue: More questions than answers. J. Epidemiol. Commun. Health 1992, 46, 92. [Google Scholar] [CrossRef]
- Loy, B.D.; Cameron, M.H.; O’Connor, P.J. Perceived fatigue and energy are independent unipolar states: Supporting evidence. Med. Hypotheses 2018, 113, 46–51. [Google Scholar] [CrossRef]
- Boolani, A.; O’Connor, P.J.; Reid, J.; Ma, S.; Mondal, S. Predictors of feelings of energy differ from predictors of fatigue. Fatigue Biomed. Health Behav. 2019, 7, 12–28. [Google Scholar] [CrossRef]
- Dupree, E.J.; Goodwin, A.; Darie, C.C.; Boolani, A. A Pilot exploratory proteomics investigation of mental fatigue and mental energy. In Advancements of Mass Spectrometry in Biomedical Research; Springer: Berlin, Germany, 2019; pp. 601–611. [Google Scholar]
- Boolani, A.; Ryan, J.; Vo, T.; Wong, B.; Banerjee, N.; Banerjee, S.; Fulk, G.; Smith, L.M.; Martin, R. Do changes in mental energy and fatigue impact functional assessments associated with fall risks? An exploratory study using machine learning. Phys. Occup. Ther. Geriatr. 2020, 38, 283–301. [Google Scholar] [CrossRef]
- Boolani, A.; Manierre, M. An exploratory multivariate study examining correlates of trait mental and physical fatigue and energy. Fatigue Biomed. Health Behav. 2019, 7, 29–40. [Google Scholar] [CrossRef]
- Manierre, M.; Jansen, E.; Boolani, A. Sleep quality and sex modify the relationships between trait energy and fatigue on state energy and fatigue. PLoS ONE 2020, 15, e0227511. [Google Scholar] [CrossRef] [PubMed]
- Loy, B.D.; O’Connor, P.J.; Dishman, R.K. The effect of a single bout of exercise on energy and fatigue states: A systematic review and meta-analysis. Fatigue Biomed. Health Behav. 2013, 1, 223–242. [Google Scholar] [CrossRef]
- Maridakis, V.; O’Connor, P.J.; Tomporowski, P.D. Sensitivity to change in cognitive performance and mood measures of energy and fatigue in response to morning caffeine alone or in combination with carbohydrate. Int. J. Neurosci. 2009, 119, 1239–1258. [Google Scholar] [CrossRef] [PubMed]
- Maridakis, V.; Herring, M.P.; O’Connor, P.J. Sensitivity to change in cognitive performance and mood measures of energy and fatigue in response to differing doses of caffeine or breakfast. Int. J. Neurosci. 2009, 119, 975–994. [Google Scholar] [CrossRef]
- Herring, M.P.; Monroe, D.C.; Kline, C.E.; O’Connor, P.J.; MacDonncha, C. Sleep quality moderates the association between physical activity frequency and feelings of energy and fatigue in adolescents. Eur. Child Adolesc. Psych. 2018, 27, 1425–1432. [Google Scholar] [CrossRef]
- White, J.R., Jr.; Padowski, J.M.; Zhong, Y.; Chen, G.; Luo, S.; Lazarus, P.; McPherson, S. Pharmacokinetic analysis and comparison of caffeine administered rapidly or slowly in coffee chilled or hot versus chilled energy drink in healthy young adults. Clin. Toxic. 2016, 54, 308–312. [Google Scholar] [CrossRef]
- Childs, E.; de Wit, H. Subjective, behavioral, and physiological effects of acute caffeine in light, nondependent caffeine users. Psychopharmacology 2006, 185, 514. [Google Scholar] [CrossRef]
- Rogers, P.J.; Hohoff, C.; Heatherley, S.V.; Mullings, E.L.; Maxfield, P.J.; Evershed, R.P.; Deckert, J.; Nutt, D.J. Association of the anxiogenic and alerting effects of caffeine with ADORA2A and ADORA1 polymorphisms and habitual level of caffeine consumption. Neuropsychopharmacology 2010, 35, 1973–1983. [Google Scholar] [CrossRef]
- Davis, J.M.; Zhao, Z.; Stock, H.S.; Mehl, K.A.; Buggy, J.; Hand, G.A. Central nervous system effects of caffeine and adenosine on fatigue. Am. J. Phys. Regul. Int. Comp. Phys. 2003. [Google Scholar] [CrossRef] [PubMed]
- Loy, B.D.; O’Connor, P.J.; Lindheimer, J.B.; Covert, S.F. Caffeine is ergogenic for adenosine A2A receptor gene (ADORA2A) T allele homozygotes: A pilot study. J. Caffeine Res. 2015, 5, 73–81. [Google Scholar] [CrossRef]
- Childs, E.; Hohoff, C.; Deckert, J.; Xu, K.; Badner, J.; De Wit, H. Association between ADORA2A and DRD2 polymorphisms and caffeine-induced anxiety. Neuropsychopharmacology 2008, 33, 2791–2800. [Google Scholar] [CrossRef] [PubMed]
- O’Connor, P.J. Mental energy: Developing a model for examining nutrition-related claims. Nutr. Rev. 2006, 6, 2–6. [Google Scholar] [CrossRef]
- Scholey, A.B.; French, S.J.; Morris, P.J.; Kennedy, D.O.; Milne, A.L.; Haskell, C.F. Consumption of cocoa flavanols results in acute improvements in mood and cognitive performance during sustained mental effort. J. Psychopharm. 2010, 24, 1505–1514. [Google Scholar] [CrossRef] [PubMed]
- Haskell, C.F.; Kennedy, D.O.; Wesnes, K.A.; Scholey, A.B. Cognitive and mood improvements of caffeine in habitual consumers and habitual non-consumers of caffeine. Psychopharmacology 2005, 179, 813–825. [Google Scholar] [CrossRef]
- Boolani, A.; Fuller, D.T.; Mondal, S.; Wilkinson, T.; Darie, C.C.; Gumpricht, E. Caffeine-containing, adaptogenic-rich drink Modulates the effects of caffeine on mental performance and cognitive parameters: A double-blinded, placebo-controlled, randomized trial. Nutrients 2020, 12, 1922. [Google Scholar] [CrossRef]
- Boolani, A.; Lindheimer, J.B.; Loy, B.D.; Crozier, S.; O’Connor, P.J. Acute effects of brewed cocoa consumption on attention, motivation to perform cognitive work and feelings of anxiety, energy and fatigue: A randomized, placebo-controlled crossover experiment. BMC Nutr. 2017, 3, 8. [Google Scholar] [CrossRef]
- O’Connor, P. Mental and Physical State and Trait Energy and Fatigue Scales; University of Georgia: Athens, GA, USA, 2006. [Google Scholar]
- Curran, S.L.; Andrykowski, M.A.; Studts, J.L. Short form of the profile of mood states (POMS-SF): Psychometric information. Psychol. Assess. 1995, 7, 80. [Google Scholar] [CrossRef]
- Mathiowetz, V.; Weber, K.; Kashman, N.; Volland, G. Adult norms for the nine hole peg test of finger dexterity. Occup. Ther. J. Res. 1985, 5, 24–38. [Google Scholar] [CrossRef]
- Pilcher, J.J.; Huffcutt, A.I. Effects of sleep deprivation on performance: A meta-analysis. Sleep 1996, 19, 318–326. [Google Scholar] [CrossRef] [PubMed]
- Kuznetsova, A.; Brockhoff, P.B.; Christensen, R.H. lmerTest package: Tests in linear mixed effects models. J. Stat. Softw. 2017, 82, 1–26. [Google Scholar] [CrossRef]
- Kuznetsova, A.; Christensen, R.H.; Bavay, C.; Brockhoff, P.B. Automated mixed ANOVA modeling of sensory and consumer data. Food Qual. Pref. 2015, 40, 31–38. [Google Scholar] [CrossRef]
- Lieberman, H.R.; Tharion, W.J.; Shukitt-Hale, B.; Speckman, K.L.; Tulley, R. Effects of caffeine, sleep loss, and stress on cognitive performance and mood during US Navy SEAL training. Psychopharmacology 2002, 164, 250–261. [Google Scholar] [CrossRef]
- Smith, A. Effects of caffeine on human behavior. Food Chem. Toxicol. 2002, 40, 1243–1255. [Google Scholar] [CrossRef]
- Dawkins, L.; Shahzad, F.-Z.; Ahmed, S.S.; Edmonds, C.J. Expectation of having consumed caffeine can improve performance and mood. Appetite 2011, 57, 597–600. [Google Scholar] [CrossRef]
- Franco-Alvarenga, P.E.; Brietzke, C.; Canestri, R.; Goethel, M.F.; Hettinga, F.; Santos, T.M.; Pires, F.O. Caffeine improved cycling trial performance in mentally fatigued cyclists, regardless of alterations in prefrontal cortex activation. Physiol. Behav. 2019, 204, 41–48. [Google Scholar] [CrossRef]
- Shields, K.A.; Silva, J.E.; Rauch, J.T.; Lowery, R.P.; Ormes, J.A.; Sharp, M.H.; McCleary, S.A.; Georges, J.; Joy, J.M.; Purpura, M.; et al. The effects of a multi-ingredient cognitive formula on alertness, focus, motivation, calmness and psychomotor performance in comparison to caffeine and placebo. J. Int. Soc. Sports Nutr. 2014, 11, 1–2. [Google Scholar] [CrossRef]
- Jacobson, B.H.; Thurman-Lacey, S.R. Effect of caffeine on motor performance by caffeine-naive and-familiar subjects. Percept. Motor Skills 1992, 74, 151–157. [Google Scholar] [CrossRef]
- Jacobson, B.H.; Winter-Roberts, K.; Gemmell, H.A. Influence of caffeine on selected manual manipulation skills. Percept. Motor Skills 1991, 72 (Suppl. 3), 1175–1181. [Google Scholar] [CrossRef]
- Mednick, S.C.; Cai, D.J.; Kanady, J.; Drummond, S.P. Comparing the benefits of caffeine, naps and placebo on verbal, motor and perceptual memory. Behav. Brain Res. 2008, 193, 79–86. [Google Scholar] [CrossRef] [PubMed]
- Fillmore, M.; Vogel-Sprott, M. Expected effect of caffeine on motor performance predicts the type of response to placebo. Psychopharmacology 1992, 106, 209–214. [Google Scholar] [CrossRef] [PubMed]
- Jacobson, B.H.; Edgley, B.M. Effects of caffeine in simple reaction time and movement time. Aviat. Space Environ. Med. 1987, 58, 1153–1156. [Google Scholar] [PubMed]





| Sex (Males/Females) | 13/17 |
|---|---|
| Age (years) | 21.8 ± 4.4 |
| Height (cm) | 169.6 ± 12.4 |
| Weight (kg) | 67.6 ± 11.0 |
| Body Mass Index (kg/m2) | 23.5 ± 2.5 |
| Race | |
| White | 21 |
| Asian | 4 |
| Black | 4 |
| More than one race | 1 |
| Trait Physical Energy | 6.5 ± 2.1 |
| Trait Physical Fatigue | 3.5 ± 2.0 |
| Trait Mental Energy | 5.7 ± 1.7 |
| Trait Mental Fatigue | 3.8 ± 1.9 |
| Amount of sleep on a typical night in the past month (hrs) | 7.6 ± 0.8 |
| Consumption of High-Flavanol Foods or Beverages during the Past Month | |
| Caffeine drinks (servings) per week | 4.2 ± 3.8 |
| Caffeine drinks (mg caffeine) per day | 60 ± 54.3 |
| Cocoa (servings) per month | 0.7 ± 1.3 |
| Fruits (servings) per month | 12.3 ± 12.4 |
| Vegetables (servings) per month | 25.1 ± 14.5 |
| Factor | Measure | Beta | 2.5% | 97.5% | t stat | p Value |
|---|---|---|---|---|---|---|
| TPE | Vigor | −3.234 | −5.686 | −0.783 | −2.586 | 0.014 |
| Caffeine | Vigor | 1.300 | 0.211 | 2.389 | 2.341 | 0.022 |
| Caffeine | Vigor | 1.437 | 0.396 | 2.479 | 2.706 | 0.008 |
| TMF × Caffeine | Vigor | −1.866 | −3.390 | −0.342 | −2.400 | 0.019 |
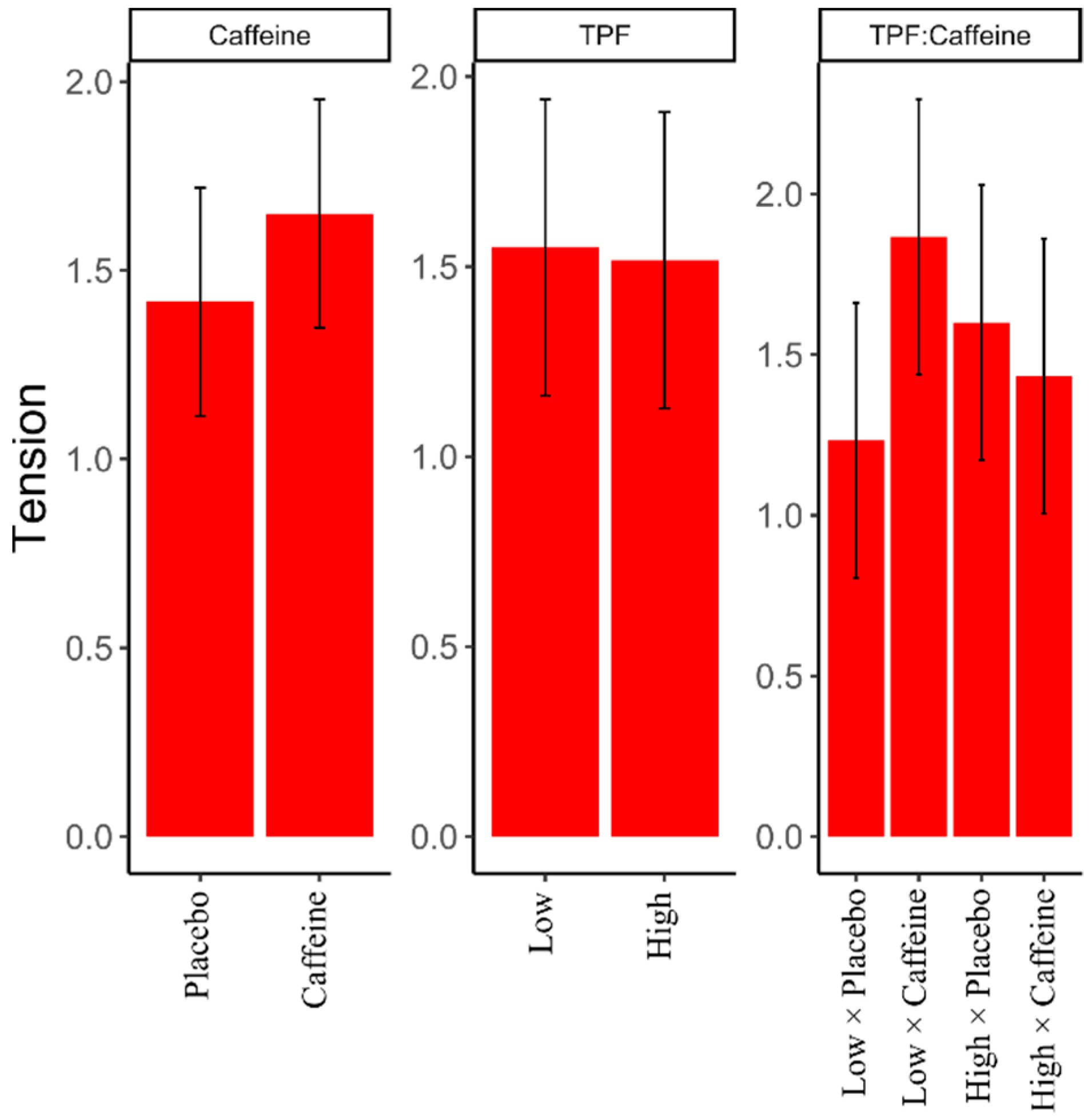
| Caffeine | Tension | 0.633 | 0.265 | 1.001 | 3.372 | 0.001 |
| TPF × Caffeine | Tension | −0.800 | −1.321 | −0.279 | −3.012 | 0.003 |
| Caffeine | Anger | 0.400 | 0.013 | 0.787 | 2.028 | 0.046 |
| Caffeine | Anger | 0.364 | 0.045 | 0.683 | 2.234 | 0.028 |
| TMF × Caffeine | Depression | −0.339 | −0.632 | −0.047 | −2.276 | 0.025 |
| TPE | Confusion | 0.830 | 0.033 | 1.628 | 2.040 | 0.047 |
| TPE | Motivation | −1.469 | −2.827 | −0.111 | −2.121 | 0.040 |
| Caffeine | Motivation | 0.812 | 0.094 | 1.531 | 2.215 | 0.029 |
| TMF × Caffeine | Motivation | −1.312 | −2.365 | −0.260 | −2.444 | 0.017 |
| TPE | Physical Fatigue | −4.926 | −8.137 | −1.715 | −3.007 | 0.004 |
| TME × Caffeine | Physical Fatigue | 5.369 | 1.502 | 9.237 | 2.721 | 0.008 |
| TPE | Mental Fatigue | −4.483 | −7.678 | −1.289 | −2.751 | 0.008 |
| TME × Caffeine | Mental Fatigue | 5.199 | 1.306 | 9.092 | 2.617 | 0.010 |
| TPF × Caffeine | Sub3total | 4.400 | 0.796 | 8.004 | 2.393 | 0.019 |
| TME | Sub3total | 9.222 | 2.045 | 16.398 | 2.519 | 0.017 |
| TME × Caffeine | Sub3total | −6.244 | −10.242 | −2.247 | −3.062 | 0.003 |
| Caffeine | Sub3total | −2.875 | −5.290 | −0.46 | −2.334 | 0.022 |
| TMF × Caffeine | Sub3total | 5.661 | 2.126 | 9.196 | 3.139 | 0.002 |
| Caffeine | Sub7total | 2.632 | 0.518 | 4.746 | 2.440 | 0.017 |
| TME | Sub7total | 6.858 | 1.106 | 12.61 | 2.337 | 0.025 |
| Caffeine | Sub7total | 2.886 | 0.933 | 4.840 | 2.896 | 0.005 |
| TMF × Caffeine | Sub7total | 4.964 | 1.751 | 8.178 | 3.028 | 0.003 |
| TPF × Caffeine | DH | −9.433 | −15.295 | −3.572 | −3.154 | 0.002 |
| TMF × Caffeine | DH | −8.862 | −14.777 | −2.947 | −2.936 | 0.004 |
| TPF × Caffeine | NDH | −8.033 | −13.744 | −2.322 | −2.757 | 0.007 |
| TMF × Caffeine | NDH | −7.978 | −13.706 | −2.250 | −2.730 | 0.008 |
Publisher’s Note: MDPI stays neutral with regard to jurisdictional claims in published maps and institutional affiliations. |
© 2021 by the authors. Licensee MDPI, Basel, Switzerland. This article is an open access article distributed under the terms and conditions of the Creative Commons Attribution (CC BY) license (http://creativecommons.org/licenses/by/4.0/).
Share and Cite
Fuller, D.T.; Smith, M.L.; Boolani, A. Trait Energy and Fatigue Modify the Effects of Caffeine on Mood, Cognitive and Fine-Motor Task Performance: A Post-Hoc Study. Nutrients 2021, 13, 412. https://doi.org/10.3390/nu13020412
Fuller DT, Smith ML, Boolani A. Trait Energy and Fatigue Modify the Effects of Caffeine on Mood, Cognitive and Fine-Motor Task Performance: A Post-Hoc Study. Nutrients. 2021; 13(2):412. https://doi.org/10.3390/nu13020412
Chicago/Turabian StyleFuller, Daniel T., Matthew Lee Smith, and Ali Boolani. 2021. "Trait Energy and Fatigue Modify the Effects of Caffeine on Mood, Cognitive and Fine-Motor Task Performance: A Post-Hoc Study" Nutrients 13, no. 2: 412. https://doi.org/10.3390/nu13020412
APA StyleFuller, D. T., Smith, M. L., & Boolani, A. (2021). Trait Energy and Fatigue Modify the Effects of Caffeine on Mood, Cognitive and Fine-Motor Task Performance: A Post-Hoc Study. Nutrients, 13(2), 412. https://doi.org/10.3390/nu13020412

