Awareness of Fluid Losses Does Not Impact Thirst during Exercise in the Heat: A Double-Blind, Cross-Over Study
Abstract
1. Introduction
2. Materials and Methods
2.1. Subjects
2.2. Procedures
2.3. Statistical Analysis
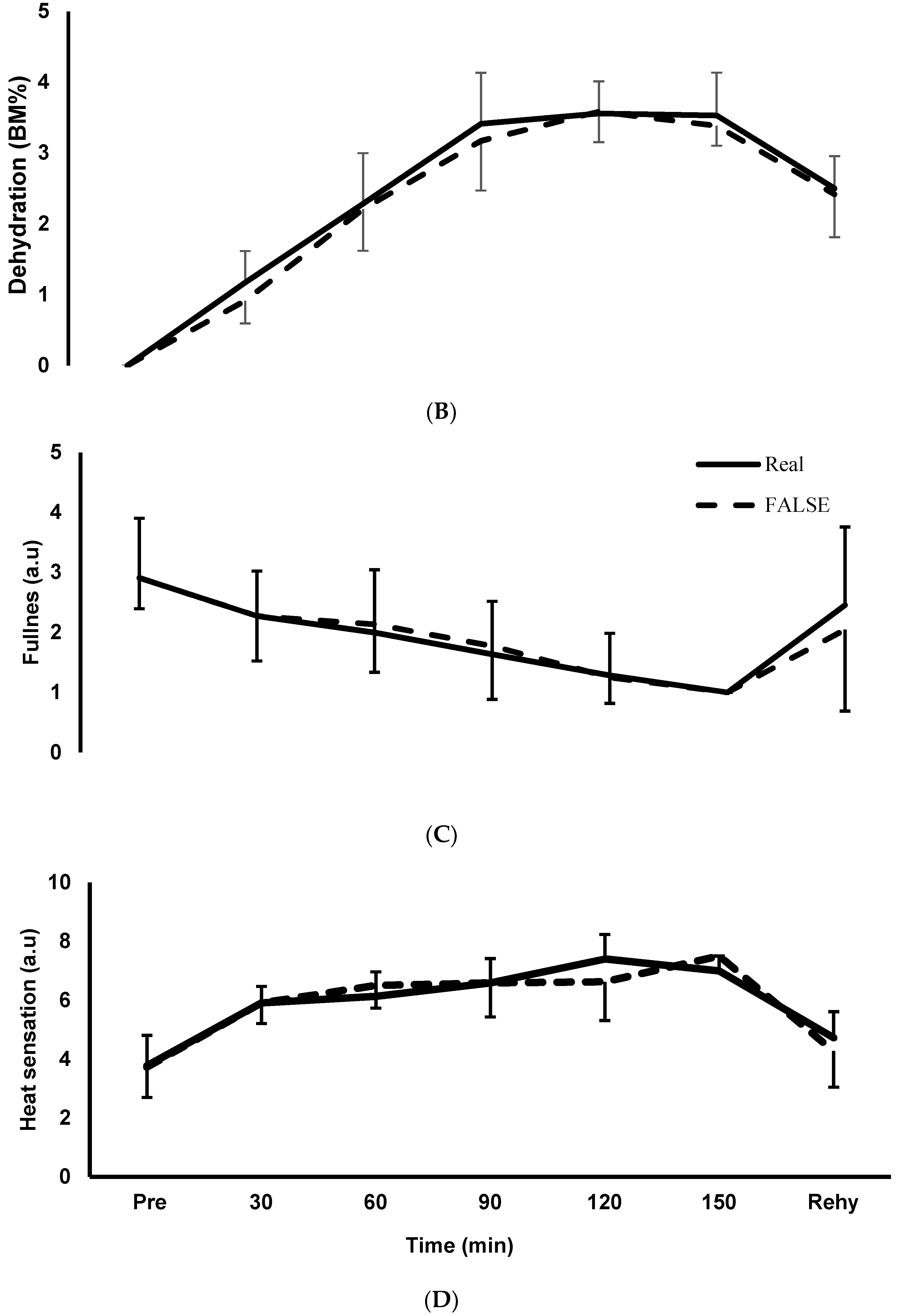
3. Results
4. Discussion
5. Conclusions
Author Contributions
Funding
Institutional Review Board Statement
Data Availability Statement
Conflicts of Interest
References
- Cotter, D.J.; Thornton, N.S.; Lee, K.J.; Laursen, B.P. Are we being drowned in hydration advice? Thirsty for more? Extrem. Physiol. Med. 2014, 3, 18. [Google Scholar] [CrossRef] [PubMed]
- Mears, S.A.; Watson, P.; Shirreffs, S.M. Thirst responses following high intensity intermittent exercise when access to ad libitum water intake was permitted, not permitted or delayed. Physiol. Behav. 2016, 157, 47–54. [Google Scholar] [CrossRef] [PubMed][Green Version]
- Noakes, T.D. Drinking guidelines for exercise: What evidence is there that athletes should drink “as much as tolerable”, “to replace the weight lost during exercise” or “ad libitum”? J. Sports Sci. 2007, 25, 781–796. [Google Scholar] [CrossRef] [PubMed]
- Noakes, T.D. Is Drinking to Thirst Optimum? Ann. Nutr. Metab. 2010, 57, 9–17. [Google Scholar] [CrossRef] [PubMed]
- Armstrong, L.E.; Johnson, E.C.; Kunces, L.J.; Ganio, M.S.; Judelson, D.A.; Kupchak, B.R.; Vingren, J.L.; Munoz, C.X.; Huggins, R.A.; Hydren, J.R.; et al. Drinking to Thirst Versus Drinking Ad Libitum During Road Cycling. J. Athl. Train. 2014, 49, 624–631. [Google Scholar] [CrossRef] [PubMed]
- Kenefick, R.W. Drinking Strategies: Planned Drinking Versus Drinking to Thirst. Sports Med. 2018, 48, 31–37. [Google Scholar] [CrossRef] [PubMed]
- Adams, J.D.; Sekiguchi, Y.; Suh, H.G.; Seal, A.D.; Sprong, C.A.; Kirkland, T.W.; Kavouras, S.A. Dehydration Impairs Cycling Performance, Independently of Thirst: A Blinded Study. Med. Sci. Sports Exerc. 2018, 50, 1697–1703. [Google Scholar] [CrossRef] [PubMed]
- James, L.J.; Moss, J.; Henry, J.; Papadopoulou, C.; Mears, S.A. Hypohydration impairs endurance performance: A blinded study. Physiol. Rep. 2017, 5, e13315. [Google Scholar] [CrossRef] [PubMed]
- McCarney, R.; Warner, J.; Iliffe, S.; van Haselen, R.; Griffin, M.; Fisher, P. The Hawthorne Effect: A randomised, controlled trial. BMC Med. Res. Methodol. 2007, 7, 30. [Google Scholar] [CrossRef] [PubMed]
- Capitán-Jiménez, C.; Aragón-Vargas, L.F. Percepción de la sed durante el ejercicio y en la rehidratación ad libitum post ejercicio en calor húmedo y seco. Pensar Mov. Rev. Cienc. Ejerc. Salud 2018, 16, e31479. [Google Scholar] [CrossRef]
- Capitán-Jiménez, C.; Aragón-Vargas, Y.L. Thirst response to post-exercise fluid replacement needs and controlled drinking. Pensar Mov. Rev. Cienc. Ejerc. Salud 2016, 14, 1–16. [Google Scholar] [CrossRef]
- Berkulo, M.A.R.; Bol, S.; Levels, K.; Lamberts, R.P.; Daanen, H.A.M.; Noakes, T.D. Ad-libitum drinking and performance during a 40-km cycling time trial in the heat. Eur. J. Sport Sci. 2016, 16, 213–220. [Google Scholar] [CrossRef] [PubMed]
- Hew-Butler, T.; Hummel, J.; Rider, B.C.; Verbalis, J.G. Characterization of the effects of the vasopressin V2 receptor on sweating, fluid balance, and performance during exercise. Am. J. Physiol. Regul. Integr. Comp. Physiol. 2014, 307, R366–R375. [Google Scholar] [CrossRef] [PubMed]
- Wall, B.A.; Watson, G.; Peiffer, J.J.; Abbiss, C.R.; Siegel, R.; Laursen, P.B. Current hydration guidelines are erroneous: Dehydration does not impair exercise performance in the heat. Br. J. Sports Med. 2015, 49, 1077–1083. [Google Scholar] [CrossRef] [PubMed]
- Armstrong, L.E.; Johnson, E.C.; McKenzie, A.L.; Ellis, L.A.; Williamson, K.H. Endurance Cyclist Fluid Intake, Hydration Status, Thirst, and Thermal Sensations: Gender Differences. Int. J. Sport Nutr. Exerc. Metab. 2016, 26, 161–167. [Google Scholar] [CrossRef] [PubMed]
- Cheung, S.S.; McGarr, G.W.; Mallette, M.M.; Wallace, P.J.; Watson, C.L.; Kim, I.M.; Greenway, M.J. Separate and combined effects of dehydration and thirst sensation on exercise performance in the heat. Scand. J. Med. Sci. Sports 2015, 25, 104–111. [Google Scholar] [CrossRef] [PubMed]
- Peyrot des Gachons, C.; Avrillier, J.; Gleason, M.; Algarra, L.; Zhang, S.; Mura, E.; Breslin, P.A.S. Oral Cooling and Carbonation Increase the Perception of Drinking and Thirst Quenching in Thirsty Adults. PLoS ONE 2016, 11, e0162261. [Google Scholar] [CrossRef] [PubMed]



| Variable | Real Information (RI) | False Information (FI) | t | p |
|---|---|---|---|---|
| Body Mass (kg) | 77.1 ± 4.9 | 77.1 ± 5.0 | −0.389 | 0.706 |
| USG (a.u) | 1.017 ± 0.007 | 1.017 ± 0.007 | 0.135 | 0.895 |
| Uosm (mmol·kg−1) | 654.3 ± 296.4 | 663.2 ± 297.4 | 0.279 | 0.786 |
| Thirst perception (mm) | 12.8 ± 10.8 | 14.1 ± 7.5 | −1.38 | 0.199 |
| WBGT (°C) | 28.8 ± 0.1 | 28.9 ± 0.3 | −0.814 | 0.461 |
| Fullness | 2.9 ± 1.0 | 2.9 ± 0.5 | −1.27 | 0.232 |
| Heat sensation | 3.8 ± 1.0 | 3.7 ± 1.0 | 1.02 | 0.860 |
Publisher’s Note: MDPI stays neutral with regard to jurisdictional claims in published maps and institutional affiliations. |
© 2021 by the authors. Licensee MDPI, Basel, Switzerland. This article is an open access article distributed under the terms and conditions of the Creative Commons Attribution (CC BY) license (https://creativecommons.org/licenses/by/4.0/).
Share and Cite
Capitán-Jiménez, C.; Aragón-Vargas, L.F. Awareness of Fluid Losses Does Not Impact Thirst during Exercise in the Heat: A Double-Blind, Cross-Over Study. Nutrients 2021, 13, 4357. https://doi.org/10.3390/nu13124357
Capitán-Jiménez C, Aragón-Vargas LF. Awareness of Fluid Losses Does Not Impact Thirst during Exercise in the Heat: A Double-Blind, Cross-Over Study. Nutrients. 2021; 13(12):4357. https://doi.org/10.3390/nu13124357
Chicago/Turabian StyleCapitán-Jiménez, Catalina, and Luis F. Aragón-Vargas. 2021. "Awareness of Fluid Losses Does Not Impact Thirst during Exercise in the Heat: A Double-Blind, Cross-Over Study" Nutrients 13, no. 12: 4357. https://doi.org/10.3390/nu13124357
APA StyleCapitán-Jiménez, C., & Aragón-Vargas, L. F. (2021). Awareness of Fluid Losses Does Not Impact Thirst during Exercise in the Heat: A Double-Blind, Cross-Over Study. Nutrients, 13(12), 4357. https://doi.org/10.3390/nu13124357

