Characterization of Individualized Glycemic Excursions during a Standardized Bout of Hypoglycemia-Inducing Exercise and Subsequent Hypoglycemia Treatment—A Pilot Study
Abstract
:1. Introduction
2. Material and Methods
2.1. Study Participants
2.2. Study Protocol
2.3. Statistical Analysis
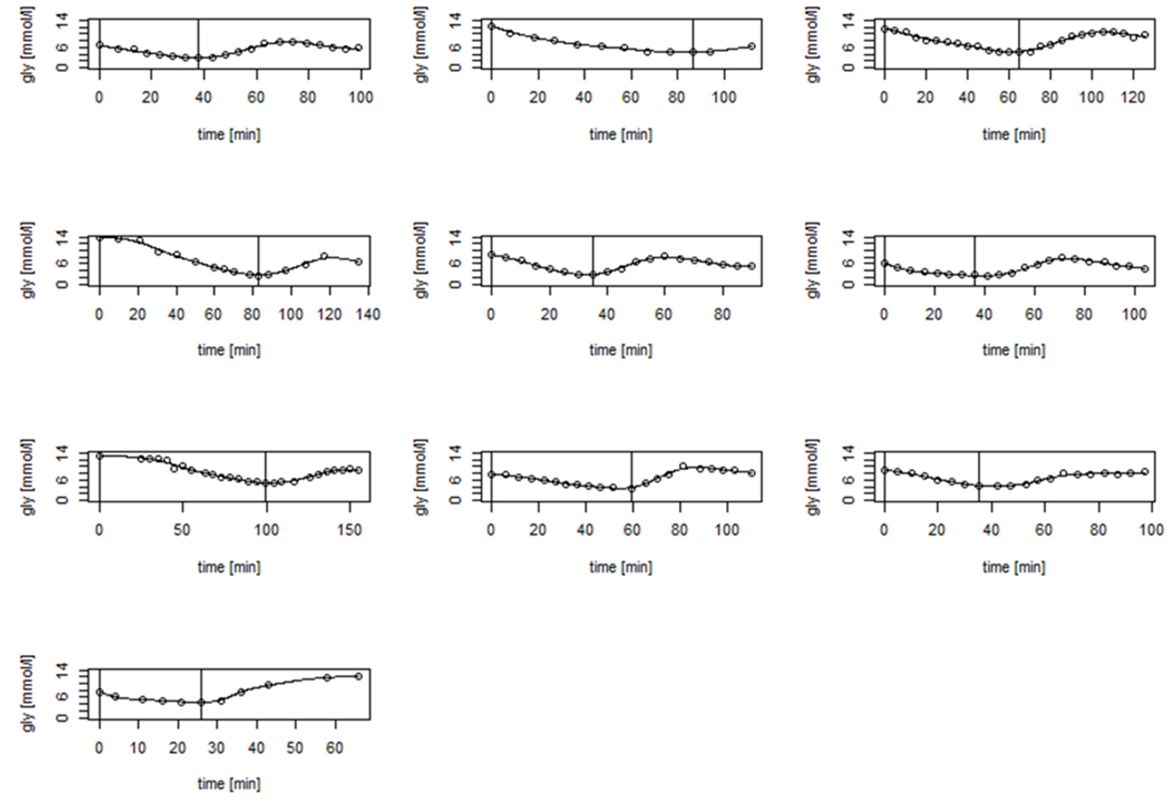
3. Results
4. Discussion
5. Conclusions
Supplementary Materials
Author Contributions
Funding
Institutional Review Board Statement
Informed Consent Statement
Data Availability Statement
Acknowledgments
Conflicts of Interest
References
- Campbell, M.D.; Kime, N.; McKenna, J. Exercise and physical activity in type 1 diabetes. Lancet Diabetes Endocrinol. 2017, 5, 493. [Google Scholar] [CrossRef] [Green Version]
- Brazeau, A.S.; Rabasa-Lhoret, R.; Strychar, I.; Mircescu, H. Barriers to physical activity among patients with type 1 diabetes. Diabetes Care 2008, 31, 2108–2109. [Google Scholar] [CrossRef] [Green Version]
- Scott, S.; Kempf, P.; Bally, L.; Stettler, C. Carbohydrate Intake in the Context of Exercise in People with Type 1 Diabetes. Nutrients 2019, 11, 3017. [Google Scholar] [CrossRef] [Green Version]
- Younk, L.M.; Mikeladze, M.; Tate, D.; Davis, S.N. Exercise-related hypoglycemia in diabetes mellitus. Expert Rev. Endocrinol. Metab. 2011, 6, 93–108. [Google Scholar] [CrossRef] [PubMed] [Green Version]
- Campbell, M.D.; Walker, M.; Trenell, M.I.; Jakovljevic, D.G.; Stevenson, E.J.; Bracken, R.M.; Bain, S.C.; West, D.J. Large Pre-and Postexercise Rapid-Acting Insulin Reductions Preserves Glycemia and Prevents Early-but Not Late-Onset Hypoglycemia in Patients with Type 1 Diabetes. Diabetes Care. 2013, 36, 2217–2224. [Google Scholar] [CrossRef] [PubMed] [Green Version]
- Campbell, M.D.; Walker, M.; Trenell, M.I.; Stevenson, E.J.; Turner, D.; Bracken, R.M.; Shaw, J.A.; West, D.J. Insulin therapy and dietary adjustments to normalize glycaemia and prevent nocturnal hypoglycaemia after evening exercise in type 1 diabetes: A randomized controlled trial. BMJ Open Diabetes Res. Care 2015, 12, e000085. [Google Scholar] [CrossRef] [PubMed] [Green Version]
- Campbell, M.D.; Walker, M.; Trenell, M.I.; Luzio, S.C.; Dunseath, G.; Tuner, D.; Bracken, R.M.; Bain, S.C.; Russell, M.; Stevenson, E.J.; et al. Metabolic implications when employing heavy pre- and post-exercise rapid-acting insulin reduction to prevent hypoglycaemia in type 1 diabetes patients: A randomised clinical trial. PLoS ONE 2014, 9, e97143. [Google Scholar] [CrossRef]
- Campbell, M.D.; Walker, M.; Trenell, M.I.; Stevenson, E.J.; Turner, D.; Bracken, R.M.; Shaw, J.A.; West, D.J. A low glycemic index meal and bedtime snack prevents postprandial hyperglycemia and associated rises in inflammatory markers, providing protection from early but not late nocturnal hypoglycemia following evening exercise in type 1 diabetes patients. Diabetes Care. 2014, 37, 1845–1853. [Google Scholar] [CrossRef] [Green Version]
- Adolfsson, P.; Mattsson, S.; Jendle, J. Evaluation of glucose control when a new strategy of increased carbohydrate supply is implemented during prolonged physical exercise in type 1 diabetes. Eur. J. Appl. Physiol. 2015, 115, 2599–2607. [Google Scholar] [CrossRef]
- Standards of Care. Glycemic Targets: Standards of Medical Care in Diabetes—2021 American Diabetes Association. Diabetes Care 2021, 44 (Suppl. 1), S73–S84. [Google Scholar] [CrossRef]
- Van der Weerdt, A.P.; Klein, L.J.; Visser, C.A.; Visser, F.C.; Lammertsma, A.A. Use of arterialised venous instead of arterial blood for measurement of myocardial glucose metabolism during euglycaemic-hyperinsulinaemic clamping. Eur. J. Nucl. Med. Mol. Imaging. 2002, 29, 663–669. [Google Scholar] [CrossRef] [PubMed]
- Malmud, L.S.; Fisher, R.S.; Knight, L.C.; Rock, E. Scintigraphic evaluation of gastric emptying. Semin Nucl. Med. 1982, 12, 116–125. [Google Scholar] [CrossRef]
- Karvonen, M.J.; Kentala, E.; Mustala, O. The effects of training on heart rate: A longitudinal study. Ann. Mcd. Exp. Bid. Fenn. 1957, 35, 307–315. [Google Scholar]
- McAulay, V.; Deary, I.J.; Frier, B.M. Symptoms of hypoglycaemia in people with diabetes. Diabet. Med. 2001, 18, 690–705. [Google Scholar] [CrossRef]
- Al Khalifah, R.A.; Suppère, C.; Haidar, A.; Rabasa-Lhoret, R.; Ladouceur, M.; Legault, L. Association of aerobic fitness level with exercise-induced hypoglycaemia in Type 1 diabetes. Diabet. Med. 2016, 33, 1686–1690. [Google Scholar] [CrossRef]
- Wood, S.N. Generalized Additive Models: An Introduction with R, 2nd ed.; Chapman & Hall/CRC: Boca Raton, FL, USA, 2017. [Google Scholar]
- Eilers, P.H.C.; Marx, B. Flexible smoothing with B-splines and penalties. Stat. Sci. 1996, 11, 89–121. [Google Scholar] [CrossRef]
- García-García, F.; Kumareswaran, K.; Hovorka, R.; Hernando, M.E. Quantifying the acute changes in glucose with exercise in type 1 diabetes: A systematic review and meta-analysis. Sports Med. 2015, 45, 587–599. [Google Scholar] [CrossRef] [Green Version]
- Soo, K.; Furler, S.M.; Samaras, K.; Jenkins, A.B.; Campbell, L.V.; Chisholm, D.J. Glycemic responses to exercise in IDDM after simple and complex carbohydrate supplementation. Diabetes Care 1996, 19, 575–579. [Google Scholar] [CrossRef]
- Slama, G.; Traynard, P.Y.; Desplanque, N.; Pudar, H.; Dhunputh, I.; Letanoux, M.; Bornet, F.R.; Tchobroutsky, G. The search for an optimized treatment of hypoglycemia. Carbohydrates in tablets, solutin, or gel for the correction of insulin reactions. Arch. Intern. Med. 1990, 150, 589–593. [Google Scholar] [CrossRef]
- Costill, D.L.; Saltin, B. Factors limiting gastric emptying during rest and exercise. Appl. Physiol. 1974, 7, 679–683. [Google Scholar] [CrossRef]
- Fordtran, J.S.; Saltin, B. Gastric emptying intestinal absorption during prolonged severe exercise. J. Appl. Physiol. 1967, 23, 331–335. [Google Scholar] [CrossRef] [PubMed]


| Subject | BG at the Beginning of Exercise (mmol/L) | Rate of BG Decrease during Exercise (mmol/L·min−1) | Duration of BG Decrease until the End of Exercise (min) | BG at the End of Exercise (mmol/L) | Duration of BG) Increase per the First 1 mol/L Since Glucose Ingestion (min) | Rate of BG Increase Since Glucose Ingestion until the Maximal BG Value (mmol/L·min−1) | Glycemia Difference after 15 min Since Glucose Ingestion (mmol/L) | Duration of BG Increase Since Glucose Ingestion to Maximal Glycemic Value (min) *** | Maximal BG within 60 min after Glucose Ingestion (mmol/L) *** |
|---|---|---|---|---|---|---|---|---|---|
| 1 | 7.4 | 0.10 | 45.3 | 2.9 | 14.5 | 0.14 | 1.03 | 34.8 | 7.7 |
| 2 | 14.0 | 0.10 | 93.0 | 4.6 | 25.8 | 0.06 | 0.58 | 28.0 * | 6.4 * |
| 3 | 11.8 | 0.10 | 72.0 | 4.6 | 13.2 | 0.14 | 1.14 | 44.0 | 10.6 |
| 4 | 14.2 | 0.12 | 93.8 | 2.6 | 13.0 | 0.14 | 1.15 | 36.7 | 7.7 |
| 5 | 9.1 | 0.17 | 38.7 | 2.7 | 9.2 | 0.19 | 1.60 | 28.0 | 7.9 |
| 6 | 7.2 | 0.10 | 47.7 | 2.5 | 24.2 | 0.15 | 0.62 | 33.7 | 7.9 |
| 7 | 13.2 | 0.07 | 108.8 | 5.1 | 18.2 | 0.08 | 0.82 | 53.2 | 9.2 |
| 8 | 8.2 | 0.08 | 63.2 | 3.5 | 16.0 | 0.18 | 0.94 | 34.0 | 9.8 |
| 9 | 9.9 | 0.12 | 47.5 | 4.1 | 14.2 | 0.07 | 1.06 | 55.5 | 8.2 |
| 10 | 8.6 | 0.14 | 27.8 | 4.4 | 14.7 | 0.18 | 1.02 | 42.2 ** | 12.0 ** |
| Statistical characteristics | |||||||||
| Mean | 10.57 | 0.107 | 67.8 | 3.63 | 16.5 | 0.136 | 0.996 | 40.0 | 8.62 |
| Median | 9.94 | 0.100 | 63.3 | 3.53 | 14.5 | 0.138 | 1.02 | 35.8 | 8.07 |
| SD | 2.79 | 0.028 | 25.5 | 1.00 | 5.4 | 0.042 | 0.291 | 9.9 | 1.11 |
| Min | 7.2 | 0.074 | 38.7 | 2.45 | 9.2 | 0.074 | 0.58 | 28.0 | 7.70 |
| Max | 14.2 | 0.166 | 108.8 | 5.11 | 25.8 | 0.186 | 1.60 | 55.5 | 10.60 |
Publisher’s Note: MDPI stays neutral with regard to jurisdictional claims in published maps and institutional affiliations. |
© 2021 by the authors. Licensee MDPI, Basel, Switzerland. This article is an open access article distributed under the terms and conditions of the Creative Commons Attribution (CC BY) license (https://creativecommons.org/licenses/by/4.0/).
Share and Cite
Brož, J.; Campbell, M.D.; Urbanová, J.; Nunes, M.A.; Brunerová, L.; Rahelić, D.; Janíčková Žďárská, D.; Taniwall, A.; Brabec, M.; Berka, V.; et al. Characterization of Individualized Glycemic Excursions during a Standardized Bout of Hypoglycemia-Inducing Exercise and Subsequent Hypoglycemia Treatment—A Pilot Study. Nutrients 2021, 13, 4165. https://doi.org/10.3390/nu13114165
Brož J, Campbell MD, Urbanová J, Nunes MA, Brunerová L, Rahelić D, Janíčková Žďárská D, Taniwall A, Brabec M, Berka V, et al. Characterization of Individualized Glycemic Excursions during a Standardized Bout of Hypoglycemia-Inducing Exercise and Subsequent Hypoglycemia Treatment—A Pilot Study. Nutrients. 2021; 13(11):4165. https://doi.org/10.3390/nu13114165
Chicago/Turabian StyleBrož, Jan, Matthew D. Campbell, Jana Urbanová, Marisa A. Nunes, Ludmila Brunerová, Dario Rahelić, Denisa Janíčková Žďárská, Arian Taniwall, Marek Brabec, Vojtěch Berka, and et al. 2021. "Characterization of Individualized Glycemic Excursions during a Standardized Bout of Hypoglycemia-Inducing Exercise and Subsequent Hypoglycemia Treatment—A Pilot Study" Nutrients 13, no. 11: 4165. https://doi.org/10.3390/nu13114165
APA StyleBrož, J., Campbell, M. D., Urbanová, J., Nunes, M. A., Brunerová, L., Rahelić, D., Janíčková Žďárská, D., Taniwall, A., Brabec, M., Berka, V., Michalec, J., & Polák, J. (2021). Characterization of Individualized Glycemic Excursions during a Standardized Bout of Hypoglycemia-Inducing Exercise and Subsequent Hypoglycemia Treatment—A Pilot Study. Nutrients, 13(11), 4165. https://doi.org/10.3390/nu13114165

