Promising Potential of Crude Polysaccharides from Sparassis crispa against Colon Cancer: An In Vitro Study
Abstract
1. Introduction
2. Materials and Methods
2.1. Materials
2.2. Chemicals and Apparatus
2.3. Extraction of Crude Polysaccharides (CPS)
2.4. Chemical Composition of Crude Polysaccharides
2.4.1. Sugar Content Determination
2.4.2. Protein Content Determination
2.4.3. Total Phenolic Content Determination
2.5. Structural Analysis
2.5.1. Sugar Composition
2.5.2. NMR Spectroscopy
2.6. α- and β-Glucan Determination
2.7. Anticancer Potential—In Vitro Studies
2.7.1. Cell Lines
2.7.2. MTT Assay
2.7.3. BrdU Assay
2.7.4. LDH Assay
2.8. Anti-Inflammatory Activity
2.8.1. Inhibition of COX Activity
2.8.2. Inhibition of LOX Activity
2.9. Antioxidant Activity
2.9.1. Antiradical Activity against ABTS•+
2.9.2. Reducing Power
2.9.3. Inhibition of Lipid Peroxidation
2.9.4. Metal Chelating Activity
2.9.5. Oxygen Radical Absorbance Capacity (ORAC) Assay
2.9.6. Catalase Activity Assay
2.9.7. Inhibition of Xanthine Oxidase Activity
2.10. Statistical Analysis
3. Results
3.1. Chemical Composition of S. crispa Crude Polysaccharides and Contents of α- and β-Glucans
3.2. Biological Activity of CPS
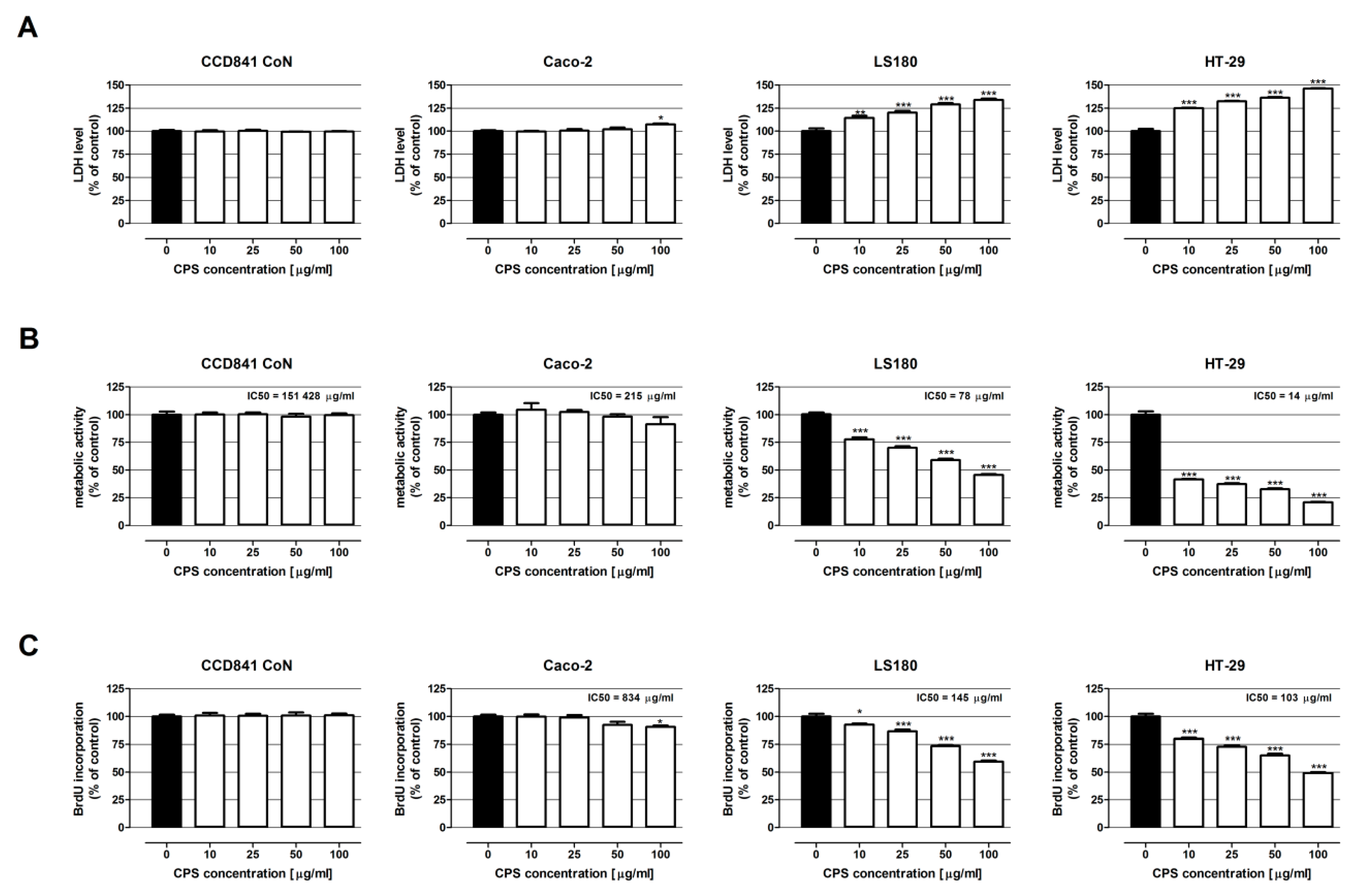
3.2.1. Anticancer Potential—In Vitro Studies
3.2.2. Antioxidant Activity
3.2.3. Anti-Inflammatory Activity
4. Discussion
4.1. Chemical Composition of CPS
4.2. Biological Activity of CPS
5. Conclusions
Author Contributions
Funding
Institutional Review Board Statement
Informed Consent Statement
Data Availability Statement
Conflicts of Interest
References
- Meng, X.; Liang, H.; Luo, L. Antitumor polysaccharides from mushrooms: A review on the structural characteristics, antitumor mechanisms and immunomodulating activities. Carbohydr. Res. 2016, 424, 30–41. [Google Scholar] [CrossRef] [PubMed]
- Kalač, P. Chemical composition and nutritional value of European species of wild growing mushrooms: A review. Food Chem. 2009, 113, 9–16. [Google Scholar] [CrossRef]
- Wasser, S.P. Medicinal mushrooms as a source of antitumor and immunomodulating polysaccharides. Appl. Microbiol. Biotechnol. 2003, 60, 258–274. [Google Scholar]
- Global Beta Glucan Market-Growth, Trends and Forecasts (2017–2022). Available online: https://www.orbisresearch.com/reports/index/global-beta-glucan-market-growth-trends-and-forecasts-2017-2022 (accessed on 15 September 2020).
- Rathore, H.; Prasad, S.; Sharma, S. Mushroom nutraceuticals for improved nutrition and better hu1man health: A review. PharmaNutrition 2017, 5, 35–46. [Google Scholar] [CrossRef]
- Kothari, D.; Patel, S.; Kim, S.K. Anticancer and other therapeutic relevance of mushroom polysaccharides: A holistic appraisal. Biomed. Pharmacother. 2018, 105, 377–394. [Google Scholar] [CrossRef]
- Nowak, R.; Nowacka-Jechalke, N.; Juda, M.; Malm, A. The preliminary study of prebiotic potential of Polish wild mushroom polysaccharides: The stimulation effect on Lactobacillus strains growth. Eur. J. Nutr. 2018, 57, 1511–1521. [Google Scholar] [CrossRef]
- Singdevsachan, S.K.; Auroshree, P.; Mishra, J.; Baliyarsingh, B.; Tayung, K.; Thatoi, H. Mushroom polysaccharides as potential prebiotics with their antitumor and immunomodulating properties: A review. Bioact. Carbohydr. Diet. Fibre 2016, 7, 1–14. [Google Scholar] [CrossRef]
- Wasser, S.P. Medicinal mushroom science: Current perspectives, advances, evidences, and challenges. Biomed. J. 2014, 37, 345–356. [Google Scholar] [CrossRef]
- Nowacka-Jechalke, N.; Nowak, R.; Juda, M.; Malm, A.; Lemieszek, M.; Rzeski, W.; Kaczyński, Z. New biological activity of the polysaccharide fraction from Cantharellus cibarius and its structural characterization. Food Chem. 2018, 268, 355–361. [Google Scholar] [CrossRef]
- Chihara, G.; Hamuro, J.; Maeda, Y.Y.; Arai, Y.; Fukuoka, F. Fractionation and Purification of the Polysaccharides with Marked Antitumor Activity, Especially Lentinan, from Lentinus edodes (Berk.) Sing. (an Edible Mushroom). Cancer Res. 1970, 30, 2776–2781. [Google Scholar]
- Fang, J.; Wang, Y.; Lv, X.; Shen, X.; Ni, X.; Ding, K. Structure of a β-glucan from Grifola frondosa and its antitumor effect by activating Dectin-1/Syk/NF-κB signaling. Glycoconj. J. 2012, 29, 365–377. [Google Scholar] [CrossRef] [PubMed]
- Kobayashi, H.; Matsunaga, K.; Oguchi, Y. Antimetastatic Effects of PSK (Krestin), a Protein-bound Polysaccharide Obtained from Basidiomycetes: An Overview. Cancer Epidemiol. Biomark. Prev. 1995, 4, 275–281. [Google Scholar]
- Zhu, F.; Du, B.; Bian, Z.; Xu, B. β-Glucans from edible and medicinal mushrooms: Characteristics, physicochemical and biological activities. J. Food Compos. Anal. 2016, 41, 165–173. [Google Scholar] [CrossRef]
- Nowak, R.; Olech, M.; Nowacka, N. Plant Polyphenols as Chemopreventive Agents. In Polyphenols in Human Health and Disease; Watson, R.R., Preedy, V.R., Zibadi, S., Eds.; Elsevier: New York, NY, USA, 2013; Volume 2, pp. 1289–1307. ISBN 9780123984562. [Google Scholar]
- Chen, J.; Zhang, X.D.; Jiang, Z. The Application of Fungal Beta-glucans for the Treatment of Colon Cancer. Anticancer Agents Med. Chem. 2013, 13, 725–730. [Google Scholar] [CrossRef]
- Du, B.; Meenu, M.; Liu, H.; Xu, B. A concise review on the molecular structure and function relationship of β-glucan. Int. J. Mol. Sci. 2019, 20. [Google Scholar] [CrossRef]
- Chandrasekaran, G.; Oh, D.S.; Shin, H.J. Properties and potential applications of the culinary-medicinal cauliflower mushroom, Sparassis crispa Wulf.:Fr. (Aphyllophoromycetideae): A review. Int. J. Med. Mushrooms 2011, 13, 177–183. [Google Scholar] [CrossRef]
- Kimura, T. Natural products and biological activity of the pharmacologically active cauliflower mushroom Sparassis crispa. Biomed. Res. Int. 2013, 2013, 982317. [Google Scholar] [CrossRef]
- Staub, A.M. Removeal of protein-Sevag method. Methods Carbohydr. Chem. 1965, 5, 5–6. [Google Scholar]
- Dubois, M.; Gilles, K.A.; Hamilton, J.K.; Rebers, P.A.; Smith, F. Colorimetric method for determination of sugars and related substances. Anal. Chem. 1956, 28, 350–356. [Google Scholar] [CrossRef]
- Bradford, M.M. A rapid and sensitive method for the quantitation of microgram quantities of protein utilizing the principle of protein-dye binding. Anal. Biochem. 1976, 72, 248–254. [Google Scholar] [CrossRef]
- Olech, M.; Nowak, R. Influence of different extraction procedures on the antiradical activity and phenolic profile of Rosa rugosa petals. Acta Pol. Pharm. Drug Res. 2012, 69, 501–507. [Google Scholar]
- Szpakowska, N.; Kowalczyk, A.; Jafra, S.; Kaczyński, Z. The chemical structure of polysaccharides isolated from the Ochrobactrum rhizosphaerae PR17T. Carbohydr. Res. 2020, 497, 15–18. [Google Scholar] [CrossRef] [PubMed]
- Maiga, A.; Malterud, K.E.; Diallo, D.; Paulsen, B.S. Antioxidant and 15-lipoxygenase inhibitory activities of the Malian medicinal plants Diospyros abyssinica (Hiern) F. White (Ebenaceae), Lannea velutina A. Rich (Anacardiaceae) and Crossopteryx febrifuga (Afzel) Benth. (Rubiaceae). J. Ethnopharmacol. 2006, 104, 132–137. [Google Scholar] [CrossRef] [PubMed]
- Olech, M.; Łyko, L.; Nowak, R. Influence of accelerated solvent extraction conditions on the LC-ESI-MS/MS polyphenolic profile, triterpenoid content, and antioxidant and anti-lipoxygenase activity of rhododendron luteum sweet leaves. Antioxidants 2020, 9, 822. [Google Scholar] [CrossRef]
- Oyaizu, M. Studies on Products of Browning Reactions: Antioxidative Activities of Product of Browning Reaction Prepared from Glucosamine. Jpn. J. Nutr. 1986, 44, 307–315. [Google Scholar] [CrossRef]
- Kuo, J.M.; Yeh, D.B.; Pan, B.S. Rapid photometric assay evaluating antioxidative activity in edible plant material. J. Agric. Food Chem. 1999, 47, 3206–3209. [Google Scholar] [CrossRef]
- Gawlik-Dziki, U.; Dziki, D.; Baraniak, B.; Lin, R. The effect of simulated digestion in vitro on bioactivity of wheat bread with Tartary buckwheat flavones addition. LWT Food Sci. Technol. 2009, 42, 137–143. [Google Scholar] [CrossRef]
- Guo, J.T.; Lee, H.L.; Chiang, S.H.; Lin, F.I.; Chang, C.Y. Antioxidant Properties of the Extracts from Different Parts of Broccoli in Taiwan. J. Food Drug Anal. 2001, 9, 96–101. [Google Scholar] [CrossRef]
- Dienaitė, L.; Pukalskas, A.; Pukalskienė, M.; Pereira, C.V.; Matias, A.A.; Venskutonis, P.R. Phytochemical composition, antioxidant and antiproliferative activities of defatted sea buckthorn (Hippophaë rhamnoides L.) berry pomace fractions consecutively recovered by pressurized ethanol and water. Antioxidants 2020, 9, 274. [Google Scholar] [CrossRef]
- Claiborne, A. Catalase activity. In CRC Handbook of Methods for Oxygen Radical Research; Greenwald, R.A., Ed.; CRC Press: Boca Raton, FL, USA, 1985; pp. 283–284. [Google Scholar]
- Sweeney, A.P.; Wyllie, S.G.; Shalliker, R.A.; Markham, J.L. Xanthine oxidase inhibitory activity of selected Australian native plants. J. Ethnopharmacol. 2001, 75, 273–277. [Google Scholar] [CrossRef]
- Litchfield, J.T., Jr.; Wilcoxon, F. A simplified method of evaluating does-effect experiments. J. Pharmacol. Exp. Ther. 1949, 96, 99–113. [Google Scholar]
- Blat, Y. Non-competitive inhibition by active site binders. Chem. Biol. Drug Des. 2010, 75, 535–540. [Google Scholar] [CrossRef] [PubMed]
- Gong, P.; Wang, S.; Liu, M.; Chen, F.; Yang, W.; Chang, X.; Liu, N.; Zhao, Y.; Wang, J.; Chen, X. Extraction methods, chemical characterizations and biological activities of mushroom polysaccharides: A mini-review. Carbohydr. Res. 2020, 494, 108037. [Google Scholar] [CrossRef] [PubMed]
- Tada, R.; Harada, T.; Nagi-Miura, N.; Adachi, Y.; Nakajima, M.; Yadomae, T.; Ohno, N. NMR characterization of the structure of a β-(1→3)-d-glucan isolate from cultured fruit bodies of Sparassis crispa. Carbohydr. Res. 2007, 342, 2611–2618. [Google Scholar] [CrossRef] [PubMed]
- Kimura, T.; Dombo, M. Sparassis crispa. In Biological Activities and Functions of Mushrooms; Kawagishi, H., Ed.; CMC Press: Tokyo, Japan, 2005; pp. 167–178. [Google Scholar]
- Dai, Y.C.; Wang, Z.; Binder, M.; Hibbett, D.S. Phylogeny and a new species of Sparassis (Polyporales, Basidiomycota): Evidence from mitochondrial atp6, nuclear rDNA and rpb2 genes. Mycologia 2006, 98, 584–592. [Google Scholar] [CrossRef]
- Ryoo, R.; Sou, H.D.; Ka, K.H.; Park, H. Phylogenetic relationships of Korean Sparassis latifolia based on morphological and ITS rDNA characteristics. J. Microbiol. 2013, 51, 43–48. [Google Scholar] [CrossRef]
- Ohno, N.; Nagi-Miura, N.; Nakajima, M.; Yadomae, T. Antitumor 1, 3-β-Glucan from Cultured Fruit Body of Sparassis crispa. Biol. Pharm. Bull. 2000, 23, 866–872. [Google Scholar] [CrossRef]
- Yamamoto, K.; Kimura, T.; Sugitachi, A.; Matsuura, N. Anti-angiogenic and anti-metastatic effects of β-1,3-d-glucan purified from hanabiratake, Sparassis crispa. Biol. Pharm. Bull. 2009, 32, 259–263. [Google Scholar] [CrossRef]
- Ahmed, D.; Eide, P.W.; Eilertsen, I.A.; Danielsen, S.A.; Eknæs, M.; Hektoen, M.; Lind, G.E.; Lothe, R.A. Epigenetic and genetic features of 24 colon cancer cell lines. Oncogenesis 2013, 2, e71. [Google Scholar] [CrossRef]
- Shabahang, M.; Buras, R.R.; Davoodi, F.; Schumaker, L.M.; Nauta, R.J.; Evans, S.R.T. 1,25-Dihydroxyvitamin D3 Receptor as a Marker of Human Colon Carcinoma Cell Line Differentiation and Growth Inhibition. Cancer Res. 1993, 53, 3712–3718. [Google Scholar]
- Elsayed, E.A.; El Enshasy, H.; Wadaan, M.A.M.; Aziz, R. Mushrooms: A potential natural source of anti-inflammatory compounds for medical applications. Mediat. Inflamm. 2014, 2014, 805841. [Google Scholar] [CrossRef] [PubMed]
- Terzić, J.; Grivennikov, S.; Karin, E.; Karin, M. Inflammation and Colon Cancer. Gastroenterology 2010, 138, 2101–2114. [Google Scholar] [CrossRef] [PubMed]
- Taofiq, O.; Martins, A.; Barreiro, M.F.; Ferreira, I.C.F.R. Anti-inflammatory potential of mushroom extracts and isolated metabolites. Trends Food Sci. Technol. 2016, 50, 193–210. [Google Scholar] [CrossRef]
- Han, J.M.; Lee, E.K.; Gong, S.Y.; Sohng, J.K.; Kang, Y.J.; Jung, H.J. Sparassis crispa exerts anti-inflammatory activity via suppression of TLR-mediated NF-κB and MAPK signaling pathways in LPS-induced RAW264.7 macrophage cells. J. Ethnopharmacol. 2019, 231, 10–18. [Google Scholar] [CrossRef] [PubMed]
- Kim, H.H.; Lee, S.; Singh, T.S.K.; Choi, J.K.; Shin, T.Y.; Kim, S.H. Sparassis crispa suppresses mast cell-mediated allergic inflammation: Role of calcium, mitogen-activated protein kinase and nuclear factor-κB. Int. J. Mol. Med. 2012, 30, 344–350. [Google Scholar] [CrossRef]
- Yoshikawa, K.; Kokudo, N.; Hashimoto, T.; Yamamoto, K.; Inose, T.; Kimura, T. Novel phthalide compounds from Sparassis crispa (Hanabiratake), Hanabiratakelide A-C, exhibiting anti-cancer related activity. Biol. Pharm. Bull. 2010, 33, 1355–1359. [Google Scholar] [CrossRef]
- Harada, T.; Ohno, N. Contribution of dectin-1 and granulocyte macrophage-colony stimulating factor (GM-CSF) to immunomodulating actions of β-glucan. Int. Immunopharmacol. 2008, 8, 556–566. [Google Scholar] [CrossRef]
- Migliore, L.; Coppedé, F. Environmental-induced oxidative stress in neurodegenerative disorders and aging. Mutat. Res. 2009, 674, 73–84. [Google Scholar] [CrossRef]
- Zhang, W.; Guo, Y.; Cheng, Y.; Zhao, W.; Zheng, Y.; Qian, H. Ultrasonic-assisted enzymatic extraction ofSparassis crispapolysaccharides possessing protective ability against H2O2-induced oxidative damage in mouse hippocampal HT22 cells. RSC Adv. 2020, 10, 22164–22175. [Google Scholar] [CrossRef]
- Liu, Y.; Li, Y.; Zhang, H.; Li, C.; Zhang, Z.; Liu, A.; Chen, H.; Hu, B.; Luo, Q.; Lin, B.; et al. Polysaccharides from Cordyceps miltaris cultured at different pH: Sugar composition and antioxidant activity. Int. J. Biol. Macromol. 2020, 162, 349–358. [Google Scholar] [CrossRef]
- Tai, A.; Sawano, T.; Yazama, F.; Ito, H. Evaluation of antioxidant activity of vanillin by using multiple antioxidant assays. Biochim. Biophys. Acta Gen. Subj. 2011, 1810, 170–177. [Google Scholar] [CrossRef] [PubMed]
- Olech, M.; Nowacka-Jechalke, N.; Maslyk, M.; Martyna, A.; Pietrzak, W.; Kubínski, K.; Zaluski, D.; Nowak, R. Polysaccharide-rich fractions from rosa rugosa thunb.-composition and chemopreventive potential. Molecules 2019, 24, 1354. [Google Scholar] [CrossRef] [PubMed]
- Lavelli, V. Antioxidant activity of minimally processed red chicory (Cichorium intybus L.) evaluated in xanthine oxidase-, myeloperoxidase-, and diaphorase-catalyzed reactions. J. Agric. Food Chem. 2008, 56, 7194–7200. [Google Scholar] [CrossRef] [PubMed]
- Shahraki, S.; Samareh Delarami, H.; Saeidifar, M. Catalase inhibition by two Schiff base derivatives. Kinetics, thermodynamic and molecular docking studies. J. Mol. Liq. 2019, 287, 111003. [Google Scholar] [CrossRef]
- Smith, P.S.; Zhao, W.; Spitz, D.R.; Robbins, M.E. Inhibiting catalase activity sensitizes 36B10 rat glioma cells to oxidative stress. Free Radic. Biol. Med. 2007, 42, 787–797. [Google Scholar] [CrossRef]
- Yekta, R.; Dehghan, G.; Rashtbari, S.; Ghadari, R.; Moosavi-Movahedi, A.A. The inhibitory effect of farnesiferol C against catalase; Kinetics, interaction mechanism and molecular docking simulation. Int. J. Biol. Macromol. 2018, 113, 1258–1265. [Google Scholar] [CrossRef] [PubMed]





| Sugar Content (% of CPS) | Protein Content (% of CPS) | TPC (% of CPS) |
|---|---|---|
| 60.5 ± 0.98 | 0.48 ± 0.01 | 0.15 ± 0.00 |
| Total Glucan (g/100 g d.w.) | α-Glucan (g/100 g d.w.) | β-Glucan (g/100 g d.w.) |
|---|---|---|
| 29.96 ± 0.59 | 2.44 ± 0.03 | 27.52 ± 0.32 |
| Antioxidant Assay | CPS Antioxidant Activity EC50 ± SD [mg/mL] |
|---|---|
| ABTS•+ | 16.27 ± 3.42 |
| RP | 0.82 ± 0.01 |
| LPO | 2.76 ± 0.02 |
| CHP | 0.76 ± 0.19 |
| Enzymatic Assay | CPS Activity |
|---|---|
| XO | not detected |
| CAT | 32.74 ± 0.49% of inhibition |
Publisher’s Note: MDPI stays neutral with regard to jurisdictional claims in published maps and institutional affiliations. |
© 2021 by the authors. Licensee MDPI, Basel, Switzerland. This article is an open access article distributed under the terms and conditions of the Creative Commons Attribution (CC BY) license (http://creativecommons.org/licenses/by/4.0/).
Share and Cite
Nowacka-Jechalke, N.; Nowak, R.; Lemieszek, M.K.; Rzeski, W.; Gawlik-Dziki, U.; Szpakowska, N.; Kaczyński, Z. Promising Potential of Crude Polysaccharides from Sparassis crispa against Colon Cancer: An In Vitro Study. Nutrients 2021, 13, 161. https://doi.org/10.3390/nu13010161
Nowacka-Jechalke N, Nowak R, Lemieszek MK, Rzeski W, Gawlik-Dziki U, Szpakowska N, Kaczyński Z. Promising Potential of Crude Polysaccharides from Sparassis crispa against Colon Cancer: An In Vitro Study. Nutrients. 2021; 13(1):161. https://doi.org/10.3390/nu13010161
Chicago/Turabian StyleNowacka-Jechalke, Natalia, Renata Nowak, Marta Kinga Lemieszek, Wojciech Rzeski, Urszula Gawlik-Dziki, Nikola Szpakowska, and Zbigniew Kaczyński. 2021. "Promising Potential of Crude Polysaccharides from Sparassis crispa against Colon Cancer: An In Vitro Study" Nutrients 13, no. 1: 161. https://doi.org/10.3390/nu13010161
APA StyleNowacka-Jechalke, N., Nowak, R., Lemieszek, M. K., Rzeski, W., Gawlik-Dziki, U., Szpakowska, N., & Kaczyński, Z. (2021). Promising Potential of Crude Polysaccharides from Sparassis crispa against Colon Cancer: An In Vitro Study. Nutrients, 13(1), 161. https://doi.org/10.3390/nu13010161

