Circulating Short-Chain Fatty Acids Are Positively Associated with Adiposity Measures in Chinese Adults
Abstract
1. Introduction
2. Materials and Methods
2.1. Study Sample
2.2. Plasma Short-Chain Fatty Acids (SCFAs)
2.3. Anthropometry
2.4. Diet
2.5. Gut Metagenome
2.6. Other Covariates
2.7. Statistical Analysis
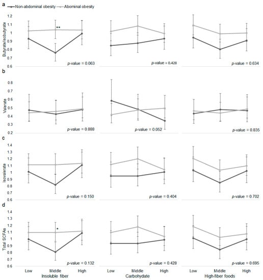
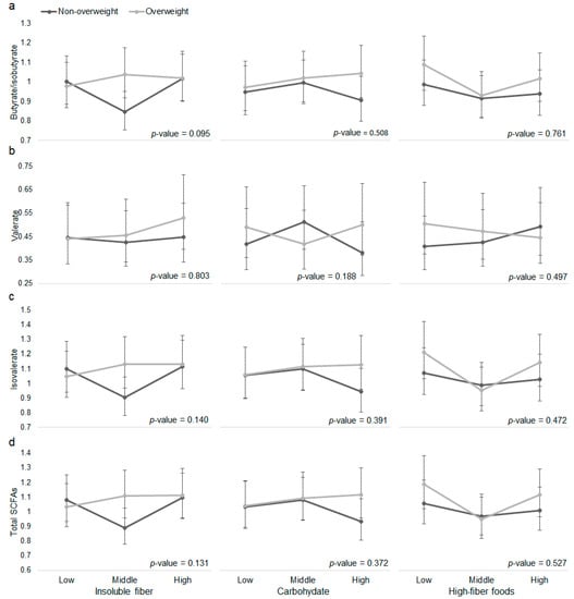
3. Results
4. Discussion
5. Conclusions
Supplementary Materials
Author Contributions
Funding
Acknowledgments
Conflicts of Interest
References
- Aune, D.; Schlesinger, S.; Norat, T.; Riboli, E. Body Mass Index, Abdominal Fatness, and the Risk of Sudden Cardiac Death: A Systematic Review and Dose–Response Meta-Analysis of Prospective Studies; Springer: Berlin, Germany, 2018. [Google Scholar]
- Yeh, T.-L.; Chen, H.-H.; Tsai, S.-Y.; Lin, C.-Y.; Liu, S.-J.; Chien, K.-L. The Relationship between Metabolically Healthy Obesity and the Risk of Cardiovascular Disease: A Systematic Review and Meta-Analysis. J. Clin. Med. 2019, 8, 1228. [Google Scholar] [CrossRef] [PubMed]
- Ashwell, M.; Gibson, S. Waist-to-height ratio as an indicator of ‘early health risk’: Simpler and more predictive than using a ‘matrix’based on BMI and waist circumference. BMJ Open 2016, 6, e010159. [Google Scholar] [CrossRef] [PubMed]
- Chambers, E.S.; Preston, T.; Frost, G.; Morrison, D.J. Role of gut Microbiota-Generated short-chain fatty acids in metabolic and cardiovascular health. Curr. Nutr. Rep. 2018, 7, 198–206. [Google Scholar] [CrossRef] [PubMed]
- Turnbaugh, P.J.; Ley, R.E.; Mahowald, M.A.; Magrini, V.; Mardis, E.R.; Gordon, J.I. An obesity-associated gut microbiome with increased capacity for energy harvest. Nature 2006, 444, 1027. [Google Scholar] [CrossRef]
- Hu, X.; Gao, J.; Zhang, Q.; Fu, Y.; Li, K.; Zhu, S.; Li, D. Soy fiber improves weight loss and lipid profile in overweight and obese adults: A randomized controlled trial. Mol. Nutr. Food Res. 2013, 57, 2147–2154. [Google Scholar] [CrossRef] [PubMed]
- Esposito, K.; Kastorini, C.-M.; Panagiotakos, D.B.; Giugliano, D. Mediterranean diet and weight loss: Meta-analysis of randomized controlled trials. Metab. Syndr. Relat. Disord. 2011, 9, 1–12. [Google Scholar] [CrossRef]
- Mueller, N.T.; Zhang, M.; Juraschek, S.P.; Miller, E.R.; Appel, L.J. Effects of high-fiber diets enriched with carbohydrate, protein, or unsaturated fat on circulating short chain fatty acids: Results from the OmniHeart randomized trial. Am. J. Clin. Nutr. 2020, 111, 545–554. [Google Scholar] [CrossRef]
- De Filippis, F.; Pellegrini, N.; Vannini, L.; Jeffery, I.B.; La Storia, A.; Laghi, L.; Serrazanetti, D.I.; Di Cagno, R.; Ferrocino, I.; Lazzi, C. High-level adherence to a Mediterranean diet beneficially impacts the gut microbiota and associated metabolome. Gut 2016, 65, 1812–1821. [Google Scholar] [CrossRef]
- Chambers, E.S.; Viardot, A.; Psichas, A.; Morrison, D.J.; Murphy, K.G.; Zac-Varghese, S.E.; MacDougall, K.; Preston, T.; Tedford, C.; Finlayson, G.S. Effects of targeted delivery of propionate to the human colon on appetite regulation, body weight maintenance and adiposity in overweight adults. Gut 2015, 64, 1744–1754. [Google Scholar] [CrossRef]
- Byrne, C.; Chambers, E.; Morrison, D.; Frost, G. The role of short chain fatty acids in appetite regulation and energy homeostasis. Int. J. Obes. 2015, 39, 1331–1338. [Google Scholar] [CrossRef]
- Chambers, E.S.; Byrne, C.S.; Aspey, K.; Chen, Y.; Khan, S.; Morrison, D.J.; Frost, G. Acute oral sodium propionate supplementation raises resting energy expenditure and lipid oxidation in fasted humans. Diabetes Obes. Metab. 2018, 20, 1034–1039. [Google Scholar] [CrossRef]
- Goffredo, M.; Mass, K.; Parks, E.J.; Wagner, D.A.; McClure, E.A.; Graf, J.; Savoye, M.; Pierpont, B.; Cline, G.; Santoro, N. Role of gut microbiota and short chain fatty acids in modulating energy harvest and fat partitioning in youth. J. Clin. Endocrinol. Metab. 2016, 101, 4367–4376. [Google Scholar] [CrossRef]
- Brahe, L.K.; Astrup, A.; Larsen, L.H. Is butyrate the link between diet, intestinal microbiota and obesity-related metabolic diseases? Obes. Rev. 2013, 14, 950–959. [Google Scholar] [CrossRef] [PubMed]
- Isken, F.; Klaus, S.; Osterhoff, M.; Pfeiffer, A.F.; Weickert, M.O. Effects of long-term soluble vs. insoluble dietary fiber intake on high-fat diet-induced obesity in C57BL/6J mice. J. Nutr. Biochem. 2010, 21, 278–284. [Google Scholar] [CrossRef]
- Kim, K.N.; Yao, Y.; Ju, S.Y. Short chain fatty acids and fecal microbiota abundance in humans with obesity: A systematic review and meta-analysis. Nutrients 2019, 11, 2512. [Google Scholar] [CrossRef] [PubMed]
- La Cuesta-Zuluaga, D.; Mueller, N.T.; Álvarez-Quintero, R.; Velásquez-Mejía, E.P.; Sierra, J.A.; Corrales-Agudelo, V.; Carmona, J.A.; Abad, J.M.; Escobar, J.S. Higher fecal short-chain fatty acid levels are associated with gut microbiome dysbiosis, obesity, hypertension and cardiometabolic disease risk factors. Nutrients 2019, 11, 51. [Google Scholar] [CrossRef]
- Schwiertz, A.; Taras, D.; Schäfer, K.; Beijer, S.; Bos, N.A.; Donus, C.; Hardt, P.D. Microbiota and SCFA in lean and overweight healthy subjects. Obesity 2010, 18, 190–195. [Google Scholar] [CrossRef] [PubMed]
- Rahat-Rozenbloom, S.; Fernandes, J.; Gloor, G.B.; Wolever, T.M. Evidence for greater production of colonic short-chain fatty acids in overweight than lean humans. Int. J. Obes. 2014, 38, 1525–1531. [Google Scholar] [CrossRef]
- Miranda, V.P.N.; dos Santos Amorim, P.R.; Bastos, R.R.; de Faria, E.R.; de Castro Moreira, M.E.; do Carmo Castro Franceschini, S.; do Carmo Gouveia Peluzio, M.; de Luces Fortes Ferreira, C.L.; Priore, S.E. Abundance of Gut Microbiota, Concentration of Short-Chain Fatty Acids, and Inflammatory Markers Associated with Elevated Body Fat, Overweight, and Obesity in Female Adolescents. Mediat. Inflamm. 2019, 2019. [Google Scholar] [CrossRef] [PubMed]
- Brooks, A.W.; Priya, S.; Blekhman, R.; Bordenstein, S.R. Gut microbiota diversity across ethnicities in the United States. PLoS Biol. 2018, 16, e2006842. [Google Scholar] [CrossRef] [PubMed]
- Popkin, B.M.; Du, S.; Zhai, F.; Zhang, B. Cohort Profile: The China Health and Nutrition Survey—Monitoring and understanding socio-economic and health change in China, 1989–2011. Int. J. Epidemiol. 2009, 39, 1435–1440. [Google Scholar] [CrossRef]
- Evans, A.M.; DeHaven, C.D.; Barrett, T.; Mitchell, M.; Milgram, E. Integrated, nontargeted ultrahigh performance liquid chromatography/electrospray ionization tandem mass spectrometry platform for the identification and relative quantification of the small-molecule complement of biological systems. Anal. Chem. 2009, 81, 6656–6667. [Google Scholar] [CrossRef]
- Long, T.; Hicks, M.; Yu, H.-C.; Biggs, W.H.; Kirkness, E.F.; Menni, C.; Zierer, J.; Small, K.S.; Mangino, M.; Messier, H. Whole-genome sequencing identifies common-to-rare variants associated with human blood metabolites. Nat. Genet. 2017, 49, 568. [Google Scholar] [CrossRef] [PubMed]
- Peng, Y.; Li, W.; Wang, Y.; Bo, J.; Chen, H. The cut-off point and boundary values of waist-to-height ratio as an indicator for cardiovascular risk factors in Chinese adults from the PURE study. PLoS ONE 2015, 10, e0144539. [Google Scholar] [CrossRef] [PubMed]
- Zhou, B.-F. Predictive values of body mass index and waist circumference for risk factors of certain related diseases in Chinese adults—Study on optimal cut-off points of body mass index and waist circumference in Chinese adults. Biomed. Environ. Sci. BES 2002, 15, 83–96. [Google Scholar] [PubMed]
- Du, S.; Neiman, A.; Batis, C.; Wang, H.; Zhang, B.; Zhang, J.; Popkin, B.M. Understanding the patterns and trends of sodium intake, potassium intake, and sodium to potassium ratio and their effect on hypertension in China. Am. J. Clin. Nutr. 2013, 99, 334–343. [Google Scholar] [CrossRef] [PubMed]
- Truong, D.T.; Franzosa, E.A.; Tickle, T.L.; Scholz, M.; Weingart, G.; Pasolli, E.; Tett, A.; Huttenhower, C.; Segata, N. MetaPhlAn2 for enhanced metagenomic taxonomic profiling. Nat. Methods 2015, 12, 902–903. [Google Scholar] [CrossRef]
- Jones, R.B.; Zhu, X.; Moan, E.; Murff, H.J.; Ness, R.M.; Seidner, D.L.; Sun, S.; Yu, C.; Dai, Q.; Fodor, A.A. Inter-niche and inter-individual variation in gut microbial community assessment using stool, rectal swab, and mucosal samples. Sci. Rep. 2018, 8, 1–12. [Google Scholar] [CrossRef]
- Jones-Smith, J.C.; Popkin, B.M. Understanding community context and adult health changes in China: Development of an urbanicity scale. Soc. Sci. Med. 2010, 71, 1436–1446. [Google Scholar] [CrossRef]
- Zou, J.; Chassaing, B.; Singh, V.; Pellizzon, M.; Ricci, M.; Fythe, M.D.; Kumar, M.V.; Gewirtz, A.T. Fiber-mediated nourishment of gut microbiota protects against diet-induced obesity by restoring IL-22-mediated colonic health. Cell Host Microbe 2018, 23, 41–53.e4. [Google Scholar] [CrossRef] [PubMed]
- Inoue, Y.; Howard, A.G.; Thompson, A.L.; Gordon-Larsen, P. Secular change in the association between urbanisation and abdominal adiposity in China (1993–2011). J. Epidemiol. Community Health 2018, 72, 484–490. [Google Scholar] [CrossRef] [PubMed]
- Yan, R.; Li, W.; Yin, L.; Wang, Y.; Bo, J.; Investigators, P.C.; Investigators, P.C.; Liu, L.; Liu, B.; Hu, B. Cardiovascular diseases and risk-factor burden in urban and rural communities in high-, middle-, and low-income regions of china: A large community-based epidemiological study. J. Am. Heart Assoc. 2017, 6, e004445. [Google Scholar] [CrossRef] [PubMed]
- Sun, S.; Wang, H.; Tsilimigras, M.C.; Howard, A.G.; Sha, W.; Du, S.; Sioda, M.; Fodor, A.; Gordon-Larsen, P. Geographic variation profoundly impacts the reproducibility of the associations between host factors and human gut microbiota in China. 2020. Manuscript submitted for publication. [Google Scholar]
- Winglee, K.; Howard, A.G.; Sha, W.; Gharaibeh, R.Z.; Liu, J.; Jin, D.; Fodor, A.A.; Gordon-Larsen, P. Recent urbanization in China is correlated with a Westernized microbiome encoding increased virulence and antibiotic resistance genes. Microbiome 2017, 5, 121. [Google Scholar] [CrossRef] [PubMed]
- Ding, M.; Zeleznik, O.A.; Guasch-Ferre, M.; Hu, J.; Lasky-Su, J.; Lee, I.-M.; Jackson, R.D.; Shadyab, A.H.; LaMonte, M.J.; Clish, C. Metabolome-wide Association Study with Habitual Physical Activity in Four Prospective Cohort Studies. Am. J. Epidemiol. 2019, 188, 1932–1943. [Google Scholar] [CrossRef] [PubMed]
- Anderson, M.J. Permutational multivariate analysis of variance (PERMANOVA). Wiley Statsref Stat. Ref. Online 2014, 1–15. [Google Scholar] [CrossRef]
- Benjamini, Y.; Hochberg, Y. Controlling the false discovery rate: A practical and powerful approach to multiple testing. J. R. Stat. Soc. Ser. B (Methodol.) 1995, 57, 289–300. [Google Scholar] [CrossRef]
- Vogt, J.A.; Wolever, T.M. Fecal acetate is inversely related to acetate absorption from the human rectum and distal colon. J. Nutr. 2003, 133, 3145–3148. [Google Scholar] [CrossRef]
- Oliphant, K.; Allen-Vercoe, E. Macronutrient metabolism by the human gut microbiome: Major fermentation by-products and their impact on host health. Microbiome 2019, 7, 91. [Google Scholar] [CrossRef]
- Heimann, E.; Nyman, M.; Pålbrink, A.-K.; Lindkvist-Petersson, K.; Degerman, E. Branched short-chain fatty acids modulate glucose and lipid metabolism in primary adipocytes. Adipocyte 2016, 5, 359–368. [Google Scholar] [CrossRef]
- Boets, E.; Deroover, L.; Houben, E.; Vermeulen, K.; Gomand, S.V.; Delcour, J.A.; Verbeke, K. Quantification of in vivo colonic short chain fatty acid production from inulin. Nutrients 2015, 7, 8916–8929. [Google Scholar] [CrossRef] [PubMed]
- Layden, B.T.; Yalamanchi, S.K.; Wolever, T.M.; Dunaif, A.; Lowe, W.L., Jr. Negative association of acetate with visceral adipose tissue and insulin levels. Diabetes Metab. Syndr. Obes. Targets Ther. 2012, 5, 49. [Google Scholar] [CrossRef] [PubMed]
- Yang, J.; Keshavarzian, A.; Rose, D.J. Impact of dietary fiber fermentation from cereal grains on metabolite production by the fecal microbiota from normal weight and obese individuals. J. Med. Food 2013, 16, 862–867. [Google Scholar] [CrossRef] [PubMed]
- Salazar, N.; Dewulf, E.M.; Neyrinck, A.M.; Bindels, L.B.; Cani, P.D.; Mahillon, J.; de Vos, W.M.; Thissen, J.-P.; Gueimonde, M.; de Los Reyes-Gavilán, C.G.; et al. Inulin-type fructans modulate intestinal Bifidobacterium species populations and decrease fecal short-chain fatty acids in obese women. Clin. Nutr. 2015, 34, 501–507. [Google Scholar] [CrossRef]
- Baxter, N.T.; Schmidt, A.W.; Venkataraman, A.; Kim, K.S.; Waldron, C.; Schmidt, T.M. Dynamics of human gut microbiota and short-chain fatty acids in response to dietary interventions with three fermentable fibers. MBio 2019, 10, e02566-18. [Google Scholar] [CrossRef] [PubMed]
- Ríos-Covián, D.; Ruas-Madiedo, P.; Margolles, A.; Gueimonde, M.; de los Reyes-Gavilán, C.G.; Salazar, N. Intestinal short chain fatty acids and their link with diet and human health. Front. Microbiol. 2016, 7, 185. [Google Scholar] [CrossRef] [PubMed]
- Cummings, J.; Pomare, E.; Branch, W.; Naylor, C.; Macfarlane, G. Short chain fatty acids in human large intestine, portal, hepatic and venous blood. Gut 1987, 28, 1221–1227. [Google Scholar] [CrossRef] [PubMed]
- Pryde, S.E.; Duncan, S.H.; Hold, G.L.; Stewart, C.S.; Flint, H.J. The microbiology of butyrate formation in the human colon. FEMS Microbiol. Lett. 2002, 217, 133–139. [Google Scholar] [CrossRef]


| Overweight 1 | Abdominal Obesity 1 | |||
|---|---|---|---|---|
| Without | With | Without | With | |
| n (%) | 251 (51.2%) | 239 (48.8%) | 170 (34.8%) | 318 (65.2%) |
| Age, years | 52.3 (9.0) | 52.2 (9.1) | 51.0 (8.8) | 52.9 (9.1) * |
| Women, n (%) | 155 (61.8%) | 135 (56.5%) | 100 (58.8%) | 189 (59.4%) |
| Body mass index (BMI), kg/m2 | 21.8 (1.7) | 26.6 (2.0) *** | 21.1 (2.0) | 25.5 (2.7) *** |
| Waist-to-height-ratio (WHtR) | 0.5 (0.05) | 0.6 (0.05) *** | 0.5 (0.03) | 0.6 (0.04) *** |
| Butyrate/isobutyrate 2 | −0.05 (0.7) | −0.001 (0.8) | −0.2 (0.7) | 0.04 (0.7) ** |
| Valerate 2 | −1.1 (1.8) | −1.1 (1.7) | −1.1 (1.7) | −1.0 (1.8) |
| Isovalerate 2 | 0.07 (0.9) | 0.1 (1.0) | −0.03 (0.9) | 0.2 (0.9) * |
| Total short-chain fatty acids (SCFAs) 2 | 0.04 (0.9) | 0.09 (0.9) | −0.06 (0.9) | 0.1 (0.9) * |
| Hunan province | 159 (63.3%) | 145 (60.7%) | 102 (60.0%) | 200 (62.9%) |
| Urbanization index, n (%) 3 | ||||
| (39.2–64.2) | 89 (35.5%) | 84 (35.1%) | 63 (37.1%) | 110 (34.3%) |
| Middle (64.2–81.5) | 77 (30.7%) | 84 (35.1%) | 51 (30.0%) | 109 (34.3%) |
| High (81.5–99.6) | 85 (33.9%) | 71 (29.7%) | 56 (32.9%) | 99 (31.1%) |
| Completed high school education | 85 (33.9%) | 65 (27.2%) | 52 (30.6%) | 96 (30.2%) |
| Per capita household income, n (%) 4 | ||||
| Low (0–10 k yuan) | 89 (35.5%) | 74 (31.0%) | 60 (35.3%) | 102 (32.1%) |
| Middle (10–22.1 k yuan) | 85 (33.9%) | 79 (33.1%) | 65 (38.2%) | 99 (31.1%) |
| High (22.1–468 k yuan) | 77 (30.7%) | 86 (36.0%) | 45 (26.5%) | 117 (36.8%) |
| Total energy, 1000 kcal 5 | 1.9 (0.6) | 1.9 (0.7) | 1.9 (0.6) | 1.9 (0.7) |
| Insoluble fiber intake, n (%) 5 | ||||
| Low (1.5–8.2 g) | 77 (30.7%) | 87 (36.4%) | 58 (34.1%) | 105 (33.0%) |
| Middle (8.2–12.5 g) | 88 (35.1%) | 75 (31.4%) | 57 (33.5%) | 105 (33.0%) |
| High (12.5–69.7 g) | 86 (34.3%) | 77 (32.2%) | 55 (32.4%) | 108 (34.0%) |
| Carbohydrate intake, n (%) 5 | ||||
| Low (65.2–172 g) | 83 (33.1%) | 81 (33.9%) | 55 (32.4%) | 108 (34.0%) |
| Middle (172–248 g) | 87 (34.7%) | 76 (31.8%) | 61 (35.9%) | 101 (31.8%) |
| High (248–649 g) | 81 (32.3%) | 82 (34.3%) | 54 (31.8%) | 109 (34.3%) |
| High-fiber foods, n (%) 5 | ||||
| Low (0–344 g) | 87 (34.7%) | 77 (32.2%) | 61 (35.9%) | 102 (32.1%) |
| Middle (344–482 g) | 85 (33.9%) | 78 (32.6%) | 55 (32.4%) | 108 (34.0%) |
| High (482–1200 g) | 79 (31.5%) | 84 (35.1%) | 54 (31.8%) | 108 (34.0%) |
| Physical activity, n (%) 6 | * | |||
| Low (0–50 METS/wk), | 76 (30.3%) | 84 (35.1%) | 43 (25.3%) | 117 (36.8%) |
| Middle (50–147 METS/wk) | 82 (32.7%) | 83 (34.7%) | 58 (34.1%) | 106 (33.3%) |
| High (147–1390 METS/wk) | 93 (37.1%) | 72 (30.1%) | 69 (40.6%) | 95 (29.9%) |
| Ever smoking, n (%) | 100 (39.8%) | 93 (38.9%) | 74 (43.5%) | 118 (37.1%) |
| Drank alcohol last year, n (%) | 62 (24.7%) | 64 (26.8%) | 38 (22.4%) | 87 (27.4%) |
| BMI (n = 490) | WHtR (n = 488) | ||||
|---|---|---|---|---|---|
| Mean (SD) | β (95% Confidence Interval) | p-Value | β (95% Confidence Interval) | p-Value | |
| Butyrate/isobutyrate | −0.03 (0.75) | 0.40 (0.01, 0.78) | 0.04 | 0.01 (4 × 10−3, 0.02) | 0.003 |
| Valerate | −1.09 (1.75) | −0.01 (−0.17, 0.16) | 0.93 | 1 × 10−3 (−2 × 10−3, 4 × 10−3) | 0.48 |
| Isovalerate | 0.09 (0.94) | 0.20 (−0.10, 0.52) | 0.18 | 0.01 (3 × 10−4, 0.01) | 0.04 |
| Total SCFAs | 0.07 (0.89) | 0.24 (−0.09, 0.56) | 0.15 | 0.01 (8 × 10−4, 0.01) | 0.03 |
| Overall 1 | Total 2 | |||||
|---|---|---|---|---|---|---|
| n | Mean (SD) | R2 | p-Value | β (95% CI) | p-Value | |
| BMI | 209 | 24.35 (3.21) | 0.008 | 0.05 | −0.04 (−1.7, 1.61) | 0.96 |
| WHtR | 208 | 0.53 (0.06) | 0.005 | 0.30 | 0.00 (−0.03, 0.03) | 0.78 |
© 2020 by the authors. Licensee MDPI, Basel, Switzerland. This article is an open access article distributed under the terms and conditions of the Creative Commons Attribution (CC BY) license (http://creativecommons.org/licenses/by/4.0/).
Share and Cite
Wang, Y.; Wang, H.; Howard, A.G.; Meyer, K.A.; Tsilimigras, M.C.B.; Avery, C.L.; Sha, W.; Sun, S.; Zhang, J.; Su, C.; et al. Circulating Short-Chain Fatty Acids Are Positively Associated with Adiposity Measures in Chinese Adults. Nutrients 2020, 12, 2127. https://doi.org/10.3390/nu12072127
Wang Y, Wang H, Howard AG, Meyer KA, Tsilimigras MCB, Avery CL, Sha W, Sun S, Zhang J, Su C, et al. Circulating Short-Chain Fatty Acids Are Positively Associated with Adiposity Measures in Chinese Adults. Nutrients. 2020; 12(7):2127. https://doi.org/10.3390/nu12072127
Chicago/Turabian StyleWang, Yiqing, Huijun Wang, Annie Green Howard, Katie A. Meyer, Matthew C. B. Tsilimigras, Christy L. Avery, Wei Sha, Shan Sun, Jiguo Zhang, Chang Su, and et al. 2020. "Circulating Short-Chain Fatty Acids Are Positively Associated with Adiposity Measures in Chinese Adults" Nutrients 12, no. 7: 2127. https://doi.org/10.3390/nu12072127
APA StyleWang, Y., Wang, H., Howard, A. G., Meyer, K. A., Tsilimigras, M. C. B., Avery, C. L., Sha, W., Sun, S., Zhang, J., Su, C., Wang, Z., Zhang, B., Fodor, A. A., & Gordon-Larsen, P. (2020). Circulating Short-Chain Fatty Acids Are Positively Associated with Adiposity Measures in Chinese Adults. Nutrients, 12(7), 2127. https://doi.org/10.3390/nu12072127

