Higher Cardiorespiratory Fitness Levels May Attenuate the Detrimental Association between Weight Status, Metabolic Phenotype and C-Reactive Protein in Adolescents—A Multi-Cohort Study
Abstract
1. Introduction
2. Materials and Methods
2.1. Design and Study Population
2.2. Anthropometrics
2.3. Cardiorespiratory Fitness (CRF)
2.4. Cardiometabolic Outcomes
2.5. Pubertal Stage
2.6. Definition of Metabolically Healthy and Metabolically Unhealthy Status
2.7. Statistical Analysis
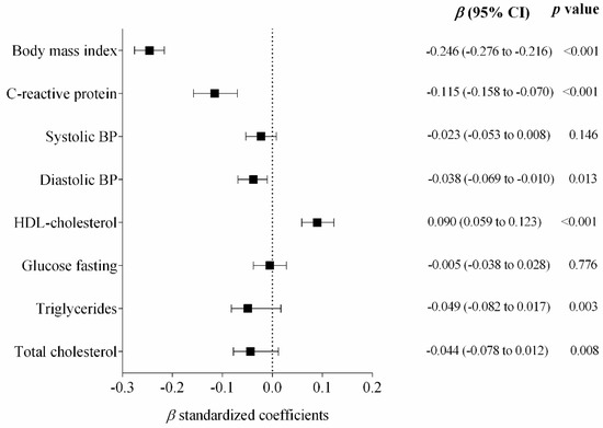
3. Results
4. Discussion
5. Conclusions
Author Contributions
Funding
Conflicts of Interest
References
- Stefan, N.; Häring, H.-U.; Hu, F.B.; Schulze, M.B. Metabolically healthy obesity: Epidemiology, mechanisms, and clinical implications. Lancet Diabetes Endocrinol. 2013, 1, 152–162. [Google Scholar] [CrossRef]
 - Phillips, C.M.; Perry, I.J. Does inflammation determine metabolic health status in obese and nonobese adults? J. Clin. Endocrinol. Metab. 2013, 98, E1610–E1619. [Google Scholar] [CrossRef] [PubMed]
 - Balagopal, P.B.; De Ferranti, S.D.; Cook, S.; Daniels, S.R.; Gidding, S.S.; Hayman, L.L.; McCrindle, B.W.; Mietus-Snyder, M.L.; Steinberger, J. Nontraditional risk factors and biomarkers for cardiovascular disease: Mechanistic, research, and clinical considerations for youth: A scientific statement from the American Heart Association. Circulation 2011, 123, 2749–2769. [Google Scholar] [CrossRef] [PubMed]
 - Collaboration, T.E.R.F.; Kaptoge, S.; Di Angelantonio, E.; Lowe, G.; Pepys, M.B.; Thompson, S.G.; Collins, R.; Danesh, J. C-reactive protein concentration and risk of coronary heart disease, stroke, and mortality: An individual participant meta-analysis. Lancet 2010, 375, 132–140. [Google Scholar]
 - Yousuf, O.; Mohanty, B.D.; Martin, S.S.; Joshi, P.H.; Blaha, M.J.; Nasir, K.; Blumenthal, R.S.; Budoff, M.J. High-sensitivity C-reactive protein and cardiovascular disease: A resolute belief or an elusive link? J. Am. Coll. Cardiol. 2013, 62, 397–408. [Google Scholar] [CrossRef]
 - Agostinis-Sobrinho, C.; Ruiz, J.R.; Moreira, C.; Abreu, S.; Lopes, L.; Oliveira-Santos, J.; Mota, J.; Santos, R. Ability of Nontraditional Risk Factors and Inflammatory Biomarkers for Cardiovascular Disease to Identify High Cardiometabolic Risk in Adolescents: Results From the LabMed Physical Activity Study. J. Adolesc. Heal. 2018, 62, 320–326. [Google Scholar] [CrossRef]
 - Pillsbury, L.; Oria, M.; Pate, R. Fitness measures and Health Outcomes in Youth; National Academies Press: Washington, DC, USA, 2013; ISBN 0309262844. [Google Scholar]
 - Eisenmann, J.C.; Welk, G.J.; Ihmels, M.; Dollman, J. Fatness, fitness, and cardiovascular disease risk factors in children and adolescents. Med. Sci. Sport. Exerc. 2007, 39, 1251–1256. [Google Scholar] [CrossRef]
 - Hirschler, V.; Oestreicher, K.; Maccallini, G.; Aranda, C. Relationship between obesity and metabolic syndrome among Argentinean elementary school children. Clin. Biochem. 2010, 43, 435–441. [Google Scholar] [CrossRef]
 - Saldanha Filho, N.; Reuter, C.P.; Renner, J.D.P.; Barbian, C.D.; de Castro Silveira, J.F.; de Borba Schneiders, L.; Pohl, H.H. Low levels of cardiorespiratory fitness and abdominal resistance are associated with metabolic risk in schoolchildren. J. Pediatr. Endocrinol. Metab. 2019, 32, 455–460. [Google Scholar] [CrossRef]
 - Agostinis-Sobrinho, C.; Ramírez-Vélez, R.; García-Hermoso, A.; Rosário, R.; Moreira, C.; Lopes, L.; Martinkenas, A.; Mota, J.; Santos, R. The combined association of adherence to Mediterranean diet, muscular and cardiorespiratory fitness on low-grade inflammation in adolescents: A pooled analysis. Eur. J. Nutr. 2019, 58, 1–8. [Google Scholar] [CrossRef]
 - Mintjens, S.; Menting, M.D.; Daams, J.G.; van Poppel, M.N.M.; Roseboom, T.J.; Gemke, R.J.B.J. Cardiorespiratory fitness in childhood and adolescence affects future cardiovascular risk factors: A systematic review of longitudinal studies. Sport. Med. 2018, 48, 2577–2605. [Google Scholar] [CrossRef]
 - Wang, P.; Gong, J.; Wang, S.; Talbott, E.O.; Zhang, B.; He, Q. Relationship of body fat and cardiorespiratory fitness with cardiovascular risk in Chinese children. PLoS ONE 2011, 6, 1–5. [Google Scholar] [CrossRef] [PubMed]
 - Ruiz, J.R.; Ortega, F.B.; Loit, H.M.; Veidebaum, T.; Sjöström, M. Body fat is associated with blood pressure in school-aged girls with low cardiorespiratory fitness: The European Youth Heart Study. J. Hypertens. 2007, 25, 2027–2034. [Google Scholar] [CrossRef] [PubMed]
 - Ramírez-Vélez, R.; García-Hermoso, A.; Agostinis-Sobrinho, C.; Mota, J.; Santos, R.; Correa-Bautista, J.E.J.E.; Peña-Guzmán, C.A.C.A.C.A.; Domínguez-Sánchez, M.A.M.A.; Schmidt-Riovalle, J.; González-Jiménez, E.; et al. Pubertal stage, body mass index, and cardiometabolic risk in children and adolescents in Bogotá, Colombia: The cross-sectional fuprecol study. Nutrients 2017, 9, 644. [Google Scholar] [CrossRef] [PubMed]
 - Agostinis-Sobrinho, C.; Santos, R.; Moreira, C.; Abreu, S.; Lopes, L.; Oliveira-Santos, J.; Rosário, R.; Póvoas, S.; Mota, J. Association between serum adiponectin levels and muscular fitness in Portuguese adolescents: LabMed Physical Activity Study. Nutr. Metab. Cardiovasc. Dis. 2016, 6, 517–524. [Google Scholar] [CrossRef]
 - Agostinis-Sobrinho, C.C.; Brand, C.; Moreira, C.; Lopes, L.L.; Oliveira-santos, J.J.; Silva, P.; Reis Gaya, A.; Gaya, A.; Mota, J.; Santos, R.; et al. Muscular fitness, Southern European Atlantic Diet and inflammation in adolescents. Azorean Physical Activity and Health Study II. Eur. J. Sport Sci. 2018, 18, 104–111. [Google Scholar] [CrossRef]
 - Ramírez-Vélez, R.; Morales, O.; Peña-Ibagon, J.C.; Palacios-López, A.; Prieto-Benavides, D.H.; Vivas, A.; Correa-Bautista, J.E.; Lobelo, F.; Alonso-Martínez, A.M.; Izquierdo, M. Normative Reference Values for Handgrip Strength in Colombian Schoolchildren. J. Strength Cond. Res. 2017, 31, 217–226. [Google Scholar] [CrossRef]
 - Ramírez-Vélez, R.; Rodrigues-Bezerra, D.; Correa-Bautista, J.E.; Izquierdo, M.; Lobelo, F. Reliability of health-related physical fitness tests among Colombian children and adolescents: The Fuprecol study. PLoS ONE 2015, 10, 1–12. [Google Scholar] [CrossRef]
 - Leger, L.A.; Mercier, D.; Gadoury, C.; Lambert, J. The multistage 20 metre shuttle run test for aerobic fitness. J Sport. Sci 1988, 6, 93–101. [Google Scholar] [CrossRef]
 - Ruiz, J.R.; Cavero-Redondo, I.; Ortega, F.B.; Welk, G.J.; Andersen, L.B.; Martinez-Vizcaino, V. Cardiorespiratory fitness cut points to avoid cardiovascular disease risk in children and adolescents; what level of fitness should raise a red flag? A systematic review and meta-analysis. Br. J. Sports Med. 2016, 50, 1451–1458. [Google Scholar] [CrossRef]
 - Tanner, J.M.; Whitehouse, R.H. Clinical longitudinal standards for height, weight, height velocity, weight velocity, and stages of puberty. Arch. Dis. Child. 1976, 51, 170–179. [Google Scholar] [CrossRef] [PubMed]
 - Jolliffe, C.J.; Janssen, I. Development of age-specific adolescent metabolic syndrome criteria that are linked to the Adult Treatment Panel III and International Diabetes Federation criteria. J. Am. Coll. Cardiol. 2007, 49, 891–898. [Google Scholar] [CrossRef] [PubMed]
 - Alberti, S.G.; Zimmet, P. The IDF Consensus definition of the Metabolic Syndrome in Children and Adolescents. Int. Diabetes Fed. 2007, 24. [Google Scholar]
 - Cadenas-Sanchez, C.; Ruiz, J.R.; Labayen, I.; Huybrechts, I.; Manios, Y.; González-Gross, M.; Breidenassel, C.; Kafatos, A.; De Henauw, S.; Vanhelst, J. Prevalence of metabolically healthy but overweight/obese phenotype and its association with sedentary time, physical activity, and fitness. J. Adolesc. Heal. 2017, 61, 107–114. [Google Scholar] [CrossRef] [PubMed]
 - Masquio, D.C.L.; de Piano Ganen, A.; da Silveir Campos, R.M.; de Lima Sanches, P.; Corgosinho, F.C.; Caranti, D.; Tock, L.; de Mell, M.T.; Tufik, S.; Damaso, A.R. Cut-off values of waist circumference to predict metabolic syndrome in obese adolescents. Nutr. Hosp. 2015, 31, 1540–1550. [Google Scholar] [PubMed]
 - Kim, J.Y.; Tfayli, H.; Michaliszyn, S.F.; Lee, S.; Arslanian, S. Distinguishing characteristics of metabolically healthy versus metabolically unhealthy obese adolescent girls with polycystic ovary syndrome. Fertil. Steril. 2016, 105, 1603–1611. [Google Scholar] [CrossRef]
 - WHO. WHO Child Growth Standards: Length/Height-for-Age, Weight-for-Age, Weight-for-Length, Weight-for-Height and Body Mass Index-for-Age: Methods and Development; WHO: Geneva, Switzerland, 2006. [Google Scholar]
 - Camhi, S.M.; Waring, M.E.; Sisson, S.B.; Hayman, L.L.; Must, A. Physical activity and screen time in metabolically healthy obese phenotypes in adolescents and adults. J. Obes. 2013, 2013, 984613. [Google Scholar] [CrossRef]
 - Sénéchal, M.; Wicklow, B.; Wittmeier, K.; Hay, J.; MacIntosh, A.C.; Eskicioglu, P.; Venugopal, N.; McGavock, J.M. Cardiorespiratory fitness and adiposity in metabolically healthy overweight and obese youth. Pediatrics 2013, 132, 85–92. [Google Scholar] [CrossRef]
 - Ortega, F.B.; Cadenas-Sánchez, C.; Sui, X.; Blair, S.N.; Lavie, C.J. Role of fitness in the metabolically healthy but obese phenotype: A review and update. Prog. Cardiovasc. Dis. 2015, 58, 76–86. [Google Scholar] [CrossRef]
 - Hiura, M.; Kikuchi, T.; Nagasaki, K.; Uchiyama, M. Elevation of serum C-reactive protein levels is associated with obesity in boys. Hypertens. Res. 2003, 26, 541–546. [Google Scholar] [CrossRef]
 - Christodoulos, A.D.; Douda, H.T.; Tokmakidis, S.P. Cardiorespiratory fitness, metabolic risk, and inflammation in children. Int. J. Pediatr. 2012, 2012, 270515. [Google Scholar] [CrossRef] [PubMed]
 - Forouhi, N.G.; Sattar, N.; McKeigue, P.M. Relation of C-reactive protein to body fat distribution and features of the metabolic syndrome in Europeans and South Asians. Int. J. Obes. 2001, 25, 1327–1331. [Google Scholar] [CrossRef] [PubMed]
 - Van Wijk, D.F.; Boekholdt, S.M.; Arsenault, B.J.; Ahmadi-Abhari, S.; Wareham, N.J.; Stroes, E.S.G.; Khaw, K. C-Reactive Protein Identifies Low-Risk Metabolically Healthy Obese Persons: The European Prospective Investigation of Cancer–Norfolk Prospective Population Study. J. Am. Heart Assoc. 2016, 5, e002823. [Google Scholar] [CrossRef] [PubMed]
 - González-Gil, E.M.; Cadenas-Sanchez, C.; Santabarbara, J.; Bueno-Lozano, G.; Iglesia, I.; Gonzalez-Gross, M.; Molnar, D.; Gottrand, F.; De Henauw, S.; Kafatos, A. Inflammation in metabolically healthy and metabolically abnormal adolescents: The HELENA study. Nutr. Metab. Cardiovasc. Dis. 2018, 28, 77–83. [Google Scholar] [CrossRef] [PubMed]
 - Mason, C.; Craig, C.L.; Katzmarzyk, P.T. Influence of central and extremity circumferences on all-cause mortality in men and women. Obesity 2008, 16, 2690–2695. [Google Scholar] [CrossRef] [PubMed]
 - Isasi, C.R.; Deckelbaum, R.J.; Tracy, R.P.; Starc, T.J.; Berglund, L.; Shea, S. Physical fitness and C-reactive protein level in children and young adults: The Columbia University BioMarkers Study. Pediatrics 2003, 111, 332–338. [Google Scholar] [CrossRef]
 - Ball, G.D.C.; Shaibi, G.Q.; Cruz, M.L.; Watkins, M.P.; Weigensberg, M.J.; Goran, M.I. Insulin sensitivity, cardiorespiratory fitness, and physical activity in overweight Hispanic youth. Obes. Res. 2004, 12, 77–85. [Google Scholar] [CrossRef]
 - Agostinis-Sobrinho, C.; Moreira, C.M.M.; Mota, J.; Santos, R.M. C-reactive protein, physical activity and cardiorespiratory fitness in Portuguese adolescents: A cross-sectional study. Cad. Saude Publica 2015, 31, 1907–1915. [Google Scholar]
 - Mathur, N.; Pedersen, B.K. Exercise as a mean to control low-grade systemic inflammation. Mediators Inflamm. 2008, 2008, 109502. [Google Scholar] [CrossRef]
 - Wedell-Neergaard, A.-S.; Eriksen, L.; Grønbæk, M.; Pedersen, B.K.; Krogh-Madsen, R.; Tolstrup, J. Low fitness is associated with abdominal adiposity and low-grade inflammation independent of BMI. PLoS ONE 2018, 13, 76–84. [Google Scholar] [CrossRef]
 - García-Hermoso, A.; Ramírez-Vélez, R.; Saavedra, J.M. Exercise, health outcomes, and pædiatric obesity: A systematic review of meta-analyses. J. Sci. Med. Sport 2019, 22, 76–84. [Google Scholar] [CrossRef] [PubMed]
 



| Characteristics | Non-Overweight (n = 1188)  | Overweight (n = 383)  | Obese (n = 135)  | |||
|---|---|---|---|---|---|---|
| Metabolically Healthy (MHNO) (n = 1030)  | Metabolically Unhealthy (MUNO) (n = 158)  | Metabolically Healthy (MHOV) (n = 299)  | Metabolically Unhealthy (MUOV) (n = 84)  | Metabolically Healthy (MHOB) (n = 87)  | Metabolically Unhealthy (MUOB) (n = 48)  | |
| Age (year) | 14.9 (1.7) | 14.9 (1.6) | 14.8 (1.7) | 14.5 (1.6) | 14.6 (1.8) | 14.7 (1.8) | 
| Weight (kg) | 50.6 (9.1) | 53.8 (9.9) | 60 (9.3) | 66.7 (12) | 76.1 (13) | 78.8 (15.1) | 
| Height (cm) | 161 (09) | 164 (09) | 158 (08) | 163 (08) | 160 (09) | 162 (10) | 
| Body mass index | 19.6 (2.0) | 19.9 (1.9) | 23.7 (1.9) | 24.7 (1.9) | 29.1 (3.1) | 30.2 (3.2) | 
| Triglycerides (mg/dL) | 69.1 (27.1) | 102.5 (53.1) | 69.2 (24.2) | 111.5 (58.9) | 78.4 (41.9) | 117.6 (63.8) | 
| Glucose (mg/dL) | 85.7 (13) | 91.7 (20) | 85.7 (11.8) | 87.7 (17) | 88.3 (9.1) | 90.3 (13.1) | 
| Systolic blood pressure (mmHg) | 112.6 (12.6) | 122.3 (12.8) | 115.8 (11.5) | 124.7 (13.1) | 121.0 (13.6) | 131.1(12.5) | 
| Diastolic blood pressure (mmHg) | 65.4 (8.6) | 72.4 (9.6) | 66.0 (8.4) | 72.5 (8.9) | 66.7 (8.9) | 73.0 (9.2) | 
| HDL-Cholesterol (mg/dL) | 54.7 (12.3) | 42.7 (10.5) | 53.1 (12.3) | 41.5 (7.9) | 47.8 (8.5) | 42.0 (8.5) | 
| high-sensitive CRP (mg/L) | 0.7 (0.07) | 1.7 (0.2) | 1.1 (0.15) | 1.5 (0.2) | 1.5 (0.2) | 1.4 (0.2) | 
| CRF VO2 peak (mL/kg/min) | 42.07 (6.3) | 40.1 (6.1) | 38.6 (6) | 37.9 (5.6) | 36.6 (5.2) | 35.7 (5.1) | 
| CRF Number of Laps  | 50.4 (24.1) | 42.5 (23.6) | 39.5 (21.6) | 31.7 (18.2) | 27.7(22.4) | 24.7 (15) | 
| Pubertal stages | ||||||
| Pubic hair development: ≤III/IV/V (%)  | Girls  55.4/34.3/10.3  | Boys  53.2/37.3/9.5  | Total  54.3/35.8/9.9  | |||
| Breast–genital development: ≤III/IV/V (%)  | 57.1/37.3/5.6 | 59.7/31.1/9.2 | 58.3/34.4/7.3 | |||
© 2020 by the authors. Licensee MDPI, Basel, Switzerland. This article is an open access article distributed under the terms and conditions of the Creative Commons Attribution (CC BY) license (http://creativecommons.org/licenses/by/4.0/).
Share and Cite
Agostinis-Sobrinho, C.; Rosário, R.; Santos, R.; Norkiene, S.; Mota, J.; Rauckienė-Michaelsson, A.; González-Ruíz, K.; Izquierdo, M.; Garcia-Hermoso, A.; Ramírez-Vélez, R. Higher Cardiorespiratory Fitness Levels May Attenuate the Detrimental Association between Weight Status, Metabolic Phenotype and C-Reactive Protein in Adolescents—A Multi-Cohort Study. Nutrients 2020, 12, 1461. https://doi.org/10.3390/nu12051461
Agostinis-Sobrinho C, Rosário R, Santos R, Norkiene S, Mota J, Rauckienė-Michaelsson A, González-Ruíz K, Izquierdo M, Garcia-Hermoso A, Ramírez-Vélez R. Higher Cardiorespiratory Fitness Levels May Attenuate the Detrimental Association between Weight Status, Metabolic Phenotype and C-Reactive Protein in Adolescents—A Multi-Cohort Study. Nutrients. 2020; 12(5):1461. https://doi.org/10.3390/nu12051461
Chicago/Turabian StyleAgostinis-Sobrinho, Cesar, Rafaela Rosário, Rute Santos, Sigute Norkiene, Jorge Mota, Alona Rauckienė-Michaelsson, Katherine González-Ruíz, Mikel Izquierdo, Antonio Garcia-Hermoso, and Robinson Ramírez-Vélez. 2020. "Higher Cardiorespiratory Fitness Levels May Attenuate the Detrimental Association between Weight Status, Metabolic Phenotype and C-Reactive Protein in Adolescents—A Multi-Cohort Study" Nutrients 12, no. 5: 1461. https://doi.org/10.3390/nu12051461
APA StyleAgostinis-Sobrinho, C., Rosário, R., Santos, R., Norkiene, S., Mota, J., Rauckienė-Michaelsson, A., González-Ruíz, K., Izquierdo, M., Garcia-Hermoso, A., & Ramírez-Vélez, R. (2020). Higher Cardiorespiratory Fitness Levels May Attenuate the Detrimental Association between Weight Status, Metabolic Phenotype and C-Reactive Protein in Adolescents—A Multi-Cohort Study. Nutrients, 12(5), 1461. https://doi.org/10.3390/nu12051461
        
