All-Cause Mortality and Cardiovascular Death between Statins and Omega-3 Supplementation: A Meta-Analysis and Network Meta-Analysis from 55 Randomized Controlled Trials
Abstract
1. Introduction
2. Materials and Methods
2.1. Search Strategy
2.2. Study Eligibility
2.3. Statistical Analyses
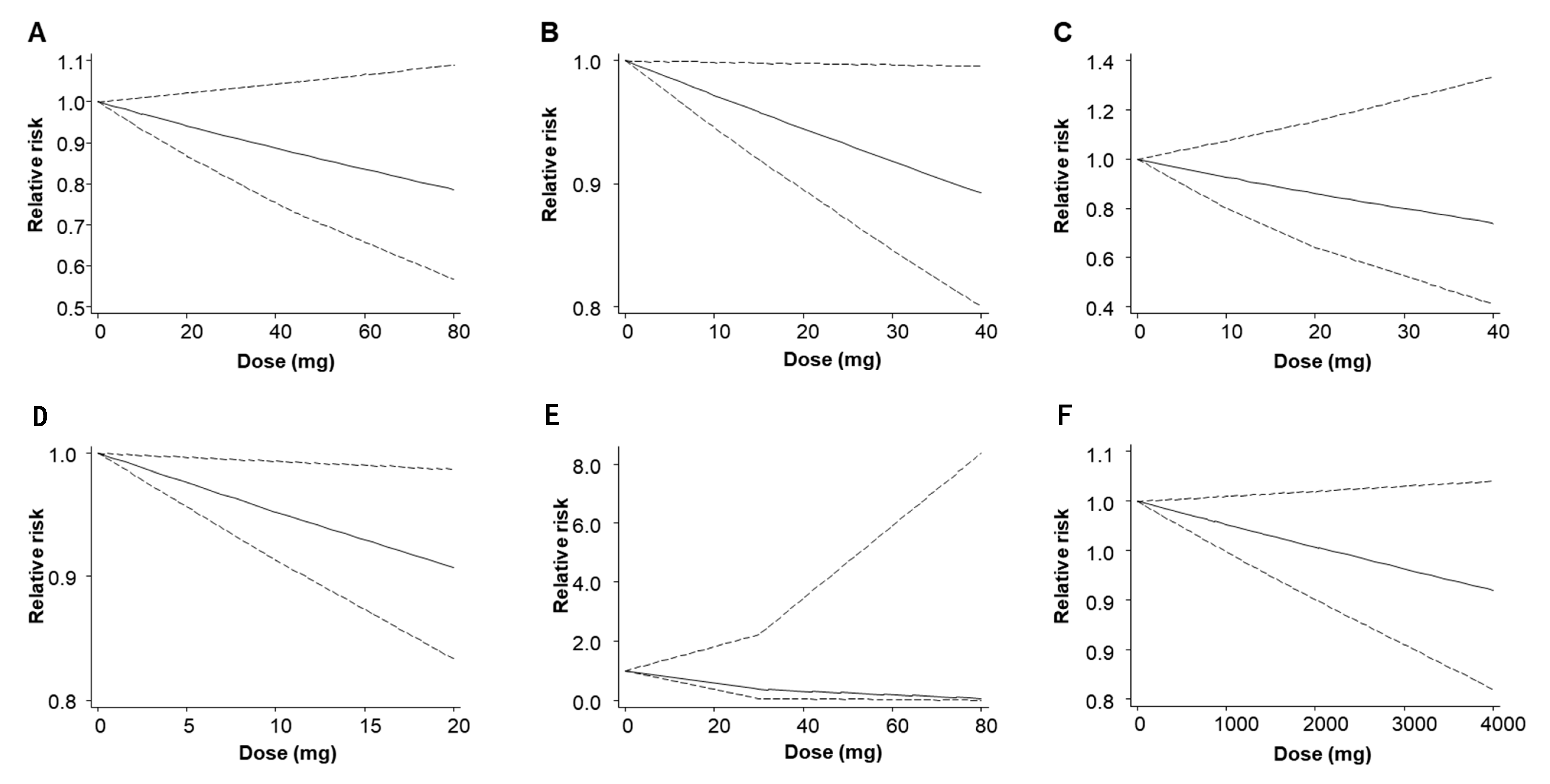
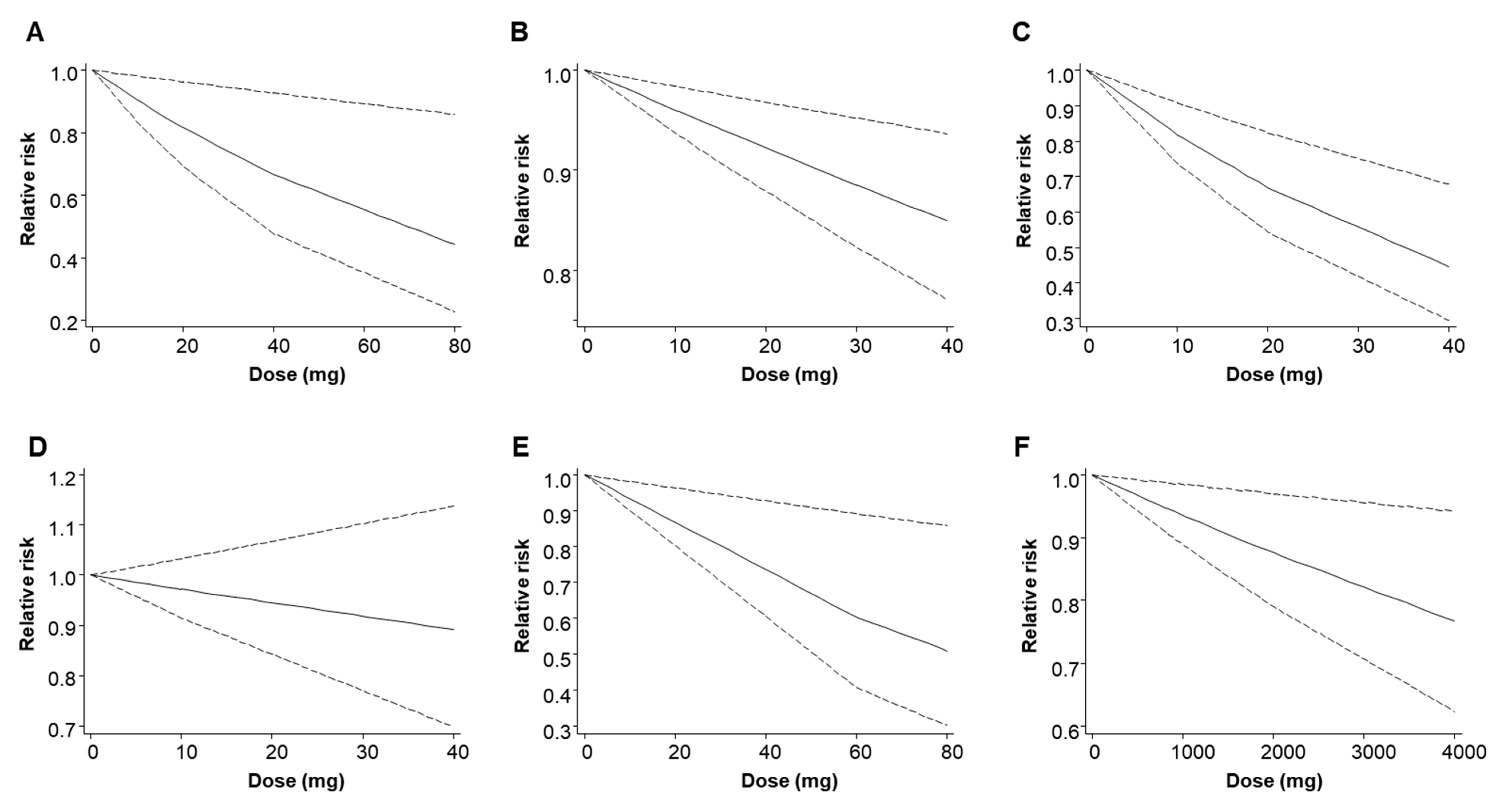
3. Results
3.1. Literature Search
3.2. Descriptive Characteristics
3.3. Meta-Analysis
3.4. Network Meta-Analysis
4. Discussion
5. Conclusions
Author Contributions
Funding
Conflicts of Interest
Appendix A
| Study | Countries | Period | Sample Size | Age (Years) | Male | Follow-Up (Years) | Body Mass Index (kg/m2) |
|---|---|---|---|---|---|---|---|
| Statins | |||||||
| Primary prevention | |||||||
| Bestehorn 1997 (CIS) | Germany | 1989–1992 | 254 | 49.8 | 254 (100%) | 2.3 | |
| Blankenhorn 1993 (MARS) | 1985–1989 | 247 | 58 | 225 (91%) | 2.2 | ||
| Colhoun 2004 (CARDS) | United Kingdom and Ireland | 1997–2001 | 2838 | 62 | 1930 (68%) | 3.9 | |
| Knopp 2006 (ASPEN) | 14 countries | 1996–1999 | 2410 | 61 | 1598 (66.3%) | 4 | 28.9 |
| Sever 2004 (ASCOT-LLA) | United Kingdom and Ireland | 1998–2000 | 10305 | 63 | 8347 (81%) | 5 | 28.6 |
| Teo 2000 (SCAT) | Canada | 1996–1998 | 460 | 61 | 409 (89%) | 4 | |
| Wanner 2005 | Germany | 1998–2002 | 1255 | 65.7 | 676 (53.9%) | 4 | 27.5 |
| Secondary prevention | |||||||
| Kjekshus 2007 (CORONA) | 21 countries | 2003–2005 | 5011 | 73 | 3808 (76%) | 2.7 | 27 |
| Koren 2004 (ALLIANCE) | United States | 1995–2002 | 2442 | 61.2 | 2007 (82.2%) | 4.5 | |
| Liem 2002 (FLORIDA) | Netherlands | 1997–1999 | 540 | 60.5 | 448 (83%) | 1 | |
| Mixed population | |||||||
| Amarenco 2006 (SPARCL) | Multi-centers | 1998–2001 | 4731 | 62.7 | 2824 (59.7%) | 4.9 | 27.4 |
| Asselbergs 2004 (PREVEND IT) | 864 | 51.3 | 562 (65%) | 3.8 | 24.1 | ||
| Blankenhorn 1993 (MARS) | 1985–1989 | 247 | 58 | 225 (91%) | 2.2 | 26 | |
| Chan 2010 (ASTRONOMER) | Canada | 2002–2005 | 269 | 58 | 166 (61.7%) | 3.5 | 28.1 |
| Davis 2002 (ALLHAT-LTT) | North America | 1994–2002 | 10355 | 66.4 | 5312 (51.3%) | 4.8 | 29.9 |
| Downs 1998 (AFCAPS/TexCAPS) | United States | 1990–1993 | 6605 | 58 | 5608 (84.9%) | 5.2 | 25 |
| Emberson 2011 (MRC/BHF) | United Kingdom | 1994–1997 | 20536 | 64 | 16244 (79.1%) | 5 | 27.6 |
| Fellstrom 2009 (AURORA) | 25 countries | 2003–2004 | 2773 | 64.2 | 1722 (62.1%) | 3.8 | 25.4 |
| Ford 2016 (WOSCOPS) | Scotland | 1989–1991 | 6595 | 55 | 6595 (100%) | 4.9 | |
| Furberg 1994 (ACAPS) | United States | 1989–1990 | 919 | 62 | 478 (52%) | 2.8 | 25.9 |
| Furberg 1995 (PLAC-I and -II) | 559 | 58 | 159 (28.4%) | 3 | |||
| Makuuchi 2005 (PCABG) | Japan | 1991–1994 | 303 | 58.9 | 255 (84.2%) | 4.5 | 23.7 |
| Nakagawa 2004 (PCS) | Japan | 1991–1995 | 120 | 55 | 109 (91.2%) | 5.4 | |
| Nakamura 2006 (MEGA) | Japan | 1994–1999 | 7832 | 58.3 | 2428 (31%) | 5.3 | 23.8 |
| Ostadal 2010 (FACS) | Czech Republic | 2003–2006 | 156 | 62.1 | 106 (68%) | 1 | |
| Pedersen 1994 (4S) | Scandinavia | 1988–1989 | 4444 | 58.6 | 3617 (81.4%) | 5.4 | 26 |
| Ridker 2008 (JUPITER) | 26 countries | 2003–2006 | 17802 | 66 | 11002 (61.8%) | 1.9 | 28.4 |
| Riegger 1999 | Germany and Czech Republic | 365 | 59.8 | 225 (61.6%) | 1 | ||
| Sawayama 2002 (FAST) | Japan | 1996–2000 | 164 | 66.3 | 52 (31.7%) | 2 | 23.2 |
| Serruys 2002 (LIPS) | Europe, Canada, and Brazil | 1996–1998 | 1677 | 60 | 1405 (83.8%) | 3.9 | 26.6 |
| Shepherd 2002 (PROSPER) | Ireland and Netherlands | 1997–1999 | 5804 | 75.3 | 3825 (65.9%) | 3.2 | 26.8 |
| Takano 2013 (PEARL) | Japan | 2006–2008 | 574 | 62.6 | 468 (81.5%) | 3 | |
| Tavazzi 2008 (GISSI-HF) | Italy | 2002–2005 | 4574 | 68 | 3540 (77.4%) | 3.9 | 27.1 |
| Tonkin 1998 (LIPID) | Australia and New Zealand | 1990–1992 | 9014 | 62 | 7482 (83%) | 6.1 | |
| Yokoi 2005 (ATHEROMA) | Japan | 1994–1997 | 288 | 59.3 | 239 (83%) | 3 | |
| Yusuf 2016 (HOPE-3) | 21 countries | 2007–2010 | 12705 | 63.8 | 6835 (53.8%) | 5.6 | 27.1 |
| Omega-3 supplementation | |||||||
| Primary prevention | |||||||
| Andrieu 2017 (MAPT) | France and Monaco | 2008–2011 | 1652 | 75.3 | 595 (36%) | 3 | 26.1 |
| Bhatt 2019 (REDUCE_IT) | 11 countries | 2011–2016 | 8159 | 64 | 5809 (71.2%) | 4.9 | |
| Bowman 2018 (ASCEND) | United Kingdom | 2005–2011 | 15480 | 63.3 | 9690 (62.6%) | 7.4 | 29.8 |
| Roncaglioni 2013 (Risk and Prevention) | Italy | 2004–2007 | 12505 | 64 | 7691 (61.5%) | 5 | 30.8 |
| Bosch 2012 (ORIGIN) | 40 countries | 2003–2005 | 12536 | 63.5 | 8148 (65%) | 6.2 | |
| Secondary prevention | |||||||
| Kromhout 2010 (AlphaOmega) | Netherlands | 2002–2006 | 4837 | 69 | 3783 (78.2%) | 3.4 | 27.8 |
| Tavazzi 2008 (GISSI-HF) | Italy | 2002–2005 | 6975 | 68 | 5454 (78.2%) | 3.9 | 27 |
| Mixed population | |||||||
| Bonds 2014 (AREDS2) | United States | 2006–2008 | 4203 | 74 | 1816 (43.2%) | 4.8 | |
| Brouwer 2006 (SOFA) | European countries | 2001–2004 | 546 | 61.5 | 459 (84.1%) | 1 | 26.9 |
| Dangour 2010 (OPAL) | England and Wales | 2005–2006 | 867 | 75 | 477 (55%) | 2 | 27.1 |
| Einvik 2010 (DO IT) | Norwegian | 563 | 70 | 563 (100%) | 3 | ||
| Galan 2010 (SU.FOL.OM3) | France | 2003–2007 | 2501 | 61.4 | 1986 (79.4%) | 4.7 | 27.2 |
| Macchia 2013 (FORWARD) | 2008–2011 | 586 | 66.1 | 321 (54.8%) | 1 | ||
| Manson 2019 (VITAL) | United States | 2010–2018 | 25871 | 67.1 | 12780 (49.4%) | 5.3 | |
| Nilsen 2001 | Norway | 1995–1996 | 300 | 64 | 238 (79.3%) | 1.5 | 26 |
| Raitt 2005 | United States | 1999–2003 | 200 | 62.5 | 172 (86%) | 2 | |
| Rauch 2009 (OMEGA) | German | 2003–2007 | 3804 | 64 | 2830 (74.4%) | 1 | 27.5 |
| Valagussa 1999 (GISSI-P) | Italy | 1993–1995 | 11334 | 59.4 | 9668 (85.3%) | 3.5 | 26.5 |
| Yokoyama 2007 (JELIS) | Japan | 1996–1999 | 18645 | 61 | 5855 (31.4%) | 4.6 | 24 |
| Study | Cardiovascular Disease | Coronary Heart Disease | Myocardial Infarction | Heart Failure | Hypertension | Dyslipidemia | Diabetes | Smoking | Obesity |
|---|---|---|---|---|---|---|---|---|---|
| Statins | |||||||||
| Primary prevention | |||||||||
| Bestehorn 1997 (CIS) | 214 (84.3%) | ||||||||
| Blankenhorn 1993 (MARS) | 148 (60%) | 114 (46%) | 198 (80%) | ||||||
| Colhoun 2004 (CARDS) | 2838 (100%) | 1853 (65.3%) | 1053 (37.1%) | ||||||
| Knopp 2006 (ASPEN) | 395 (16.4%) | 1328 (55.1%) | 711 (29.5%) | 2410 (100%) | 299 (12.4%) | ||||
| Sever 2004 (ASCOT-LLA) | 10305 (100%) | 2535 (24.6%) | 3370 (32.7%) | ||||||
| Teo 2000 (SCAT) | 322 (70%) | 166 (36%) | 51 (11%) | 377 (82%) | |||||
| Wanner 2005 | 221 (17.6%) | 444 (35.4%) | 1255 (100%) | 507 (40.4%) | |||||
| Secondary prevention | |||||||||
| Kjekshus 2007 (CORONA) | 3007 (60%) | 5011 (100%) | 3157 (63%) | 1478 (29.5%) | 431 (8.6%) | ||||
| Koren 2004 (ALLIANCE) | 2442 (100%) | 1411 (57.8%) | 161 (6.6%) | 540 (22.1%) | 476 (19.5%) | ||||
| Liem 2002 (FLORIDA) | 540 (100%) | ||||||||
| Mixed population | |||||||||
| Amarenco 2006 (SPARCL) | 2791 (59%) | ||||||||
| Arthros 2002 (GREACE) | 1299 (81.2%) | 686 (42.9%) | 314 (19.6%) | ||||||
| Asselbergs 2004 (PREVEND IT) | 29 (3.4%) | 3 (0.4%) | 0 (0%) | 22 (2.6%) | 629 (72.8%) | ||||
| Chan 2010 (ASTRONOMER) | 130 (48.3%) | ||||||||
| Davis 2002 (ALLHAT-LTT) | 1470 (14.2%) | 3635 (35.1%) | 2402 (23.2%) | 4401 (42.5%) | |||||
| Downs 1998 (AFCAPS/TexCAPS) | 1446 (21.9%) | 152 (2.3%) | 819 (12.4%) | ||||||
| Emberson 2011 (MRC/BHF) | 13677 (66.6%) | 8933 (43.5%) | 6243 (30.4%) | 15361 (74.8%) | |||||
| Fellstrom 2009 (AURORA) | 1104 (39.8%) | 283 (10.2%) | 732 (26.4%) | 430 (15.5%) | |||||
| Ford 2016 (WOSCOPS) | 0 (0%) | 2902 (44%) | |||||||
| Furberg 1994 (ACAPS) | 265 (28.8%) | 519 (56.5%) | |||||||
| Furberg 1995 (PLAC-I and -II) | 271 (48.5%) | 226 (40.5%) | 4 (0.7%) | 87 (15.5%) | |||||
| Makuuchi 2005 (PCABG) | 188 (62%) | 156 (51.5%) | 101 (33.3%) | 127 (41.9%) | |||||
| Nakagawa 2004 (PCS) | 71 (59.2%) | 0 (0%) | 21 (17.5%) | 81 (67.5%) | |||||
| Nakamura 2006 (MEGA) | 0 (0%) | 3274 (41.8%) | 1629 (20.8%) | 1613 (20.6%) | |||||
| Ostadal 2010 (FACS) | 12 (7.7%) | 80 (51.3%) | 18 (11.5%) | 30 (19.2%) | 46 (29.2%) | ||||
| Pedersen 1994 (4S) | 1155 (26%) | 200 (4.5%) | 3324 (74.8%) | ||||||
| Ridker 2008 (JUPITER) | 0 (0%) | 0 (0%) | 0 (0%) | 0 (0%) | 2813 (15.8%) | ||||
| Riegger 1999 | 130 (35.6%) | 107 (29.3%) | 365 (100%) | 20 (5.5%) | 35 (9.6%) | ||||
| Sawayama 2002 (FAST) | 68 (41.5%) | 65 (39.6%) | 41 (25%) | 95 (57.8%) | |||||
| Serruys 2002 (LIPS) | 745 (44.4%) | 647 (38.6%) | 201 (12%) | 1199 (71.5%) | |||||
| Shepherd 2002 (PROSPER) | 2565 (44.2%) | 778 (13.4%) | 3593 (61.9%) | 621 (10.7%) | 1555 (26.8%) | ||||
| Takano 2013 (PEARL) | 144 (25.1%) | 260 (45.3%) | 157 (27.4%) | ||||||
| Tavazzi 2008 (GISSI-HF) | 2484 (54.3%) | 645 (14.1%) | |||||||
| Tonkin 1998 (LIPID) | 1604 (17.8%) | 3759 (41.7%) | 784 (8.7%) | 6607 (73.3%) | 1614 (17.9%) | ||||
| Yokoi 2005 (ATHEROMA) | 131 (45.5%) | 121 (42%) | 54 (18.8%) | ||||||
| Yusuf 2016 (HOPE-3) | 0 (0%) | 0 (0%) | 0 (0%) | 0 (0%) | 4815 (37.9%) | 4587 (36.1%) | 737 (5.8%) | 3519 (27.7%) | |
| Omega-3 supplementation | |||||||||
| Primary prevention | |||||||||
| Andrieu 2017 (MAPT) | |||||||||
| Bhatt 2019 (REDUCE_IT) | 8159 (100%) | 4781 (58.6%) | 4683 (57.4%) | ||||||
| Bosch 2012 (ORIGIN) | 7371 (58.8%) | 9966 (79.5%) | 1554 (12.4%) | ||||||
| Bowman 2018 (ASCEND) | 0 (0%) | 0 (0%) | 0 (0%) | 0 (0%) | 7647 (49.4%) | 15480 (100%) | 8328 (53.8%) | 7198 (46.5%) | |
| Roncaglioni 2013 (Risk and Prevention) | 400 (3.2%) | 10579 (84.6%) | 8904 (71.2%) | 7490 (59.9%) | 2714 (21.7%) | 6077 (48.6%) | |||
| Secondary prevention | |||||||||
| Kromhout 2010 (AlphaOmega) | 4837 (100%) | 4339 (89.7%) | 4160 (86%) | 1016 (21%) | 817 (16.9%) | 1171 (24.2%) | |||
| Tavazzi 2008 (GISSI-HF) | 990 (14.2%) | 6975 (100%) | 3808 (54.6%) | 1576 (22.6%) | 1974 (28.3%) | 990 (14.2%) | |||
| Mixed population | |||||||||
| Bonds 2014 (AREDS2) | 807 (19.2%) | 147 (3.5%) | 294 (7%) | 147 (3.5%) | 248 (5.9%) | 1849 (44%) | 546 (13%) | 2379 (56.6%) | |
| Brouwer 2006 (SOFA) | 384 (70.3%) | 342 (62.6%) | 277 (50.7%) | 87 (15.9%) | 366 (67%) | ||||
| Dangour 2010 (OPAL) | 34 (3.9%) | 485 (55.9%) | 201 (23.2%) | ||||||
| Einvik 2010 (DO IT) | 155 (27.5%) | 158 (28%) | 110 (19.5%) | 82 (14.5%) | 191 (34%) | ||||
| Galan 2010 (SU.FOL.OM3) | 1150 (46%) | 1821 (72.8%) | |||||||
| Macchia 2013 (FORWARD) | 69 (11.7%) | 83 (14.1%) | 536 (91.4%) | 274 (46.7%) | 76 (12.9%) | 247 (42.2%) | |||
| Manson 2019 (VITAL) | 0 (0%) | 12884 (49.8%) | 9702 (37.5%) | 3544 (13.7%) | 1863 (7.2%) | ||||
| Nilsen 2001 | 70 (23.3%) | 26 (8.7%) | 73 (24.3%) | 31 (10.3%) | 227 (75.7%) | ||||
| Raitt 2005 | 146 (73%) | 111 (55.5%) | 101 (50.5%) | 47 (23.5%) | |||||
| Rauch 2009 (OMEGA) | 548 (14.4%) | 2530 (66.5%) | 1883 (49.5%) | 1027 (27%) | 1396 (36.7%) | ||||
| Valagussa 1999 (GISSI-P) | 1360 (12%) | 4035 (35.6%) | 1677 (14.8%) | 8750 (77.2%) | 1643 (14.5%) | ||||
| Yokoyama 2007 (JELIS) | 1044 (5.6%) | 6619 (35.5%) | 3039 (16.3%) | 3524 (18.9%) |
| Intervention Arm | Comparison Arm | |||||||
|---|---|---|---|---|---|---|---|---|
| Study | Daily Dose | Sample Size | All-Cause Mortality | CVD Death | Daily Dose | Sample Size | All-Cause Mortality | CVD Death |
| Statins | ||||||||
| Primary prevention | ||||||||
| Bestehorn 1997 (CIS) | Simvastatin 40 mg | 129 | 1 (0.8%) | Placebo | 125 | 2 (1.6%) | ||
| Blankenhorn 1993 (MARS) | Lovastatin 80 mg | 123 | 1 (0.8%) | Placebo | 124 | 2 (1.6%) | ||
| Colhoun 2004 (CARDS) | Atorvastatin 10 mg | 1428 | 61 (4.3%) | 134 (9.4%) | Placebo | 1410 | 82 (5.8%) | 189 (13.4%) |
| Knopp 2006 (ASPEN) | Atorvastatin 10 mg | 1211 | 70 (5.8%) | Placebo | 1199 | 68 (5.7%) | ||
| Sever 2004 (ASCOT-LLA) | Atorvastatin 10 mg | 5168 | 185 (3.6%) | 74 (1.4%) | Placebo | 5137 | 212 (4.1%) | 82 (1.6%) |
| Teo 2000 (SCAT) | Simvastatin 10 mg | 230 | 13 (5.7%) | 7 (3%) | Placebo | 230 | 6 (2.6%) | 4 (1.7%) |
| Wanner 2005 | Atorvastatin 20 mg | 619 | 297 (48%) | 121 (19.5%) | Placebo | 636 | 320 (50.3%) | 149 (23.4%) |
| Secondary prevention | ||||||||
| Kjekshus 2007 (CORONA) | Rosuvastatin 10 mg | 2514 | 728 (29%) | 581 (23.1%) | Placebo | 2497 | 759 (30.4%) | 593 (23.7%) |
| Koren 2004 (ALLIANCE) | Atorvastatin up to 80 mg | 1217 | 121 (9.9%) | 43 (3.5%) | Usual care | 1225 | 127 (10.4%) | 61 (5%) |
| Liem 2002 (FLORIDA) | Fluvastatin 80 mg | 265 | 7 (2.6%) | 6 (2.3%) | Placebo | 275 | 11 (4%) | 11 (4%) |
| Mixed population | ||||||||
| Amarenco 2006 (SPARCL) | Atorvastatin 80 mg | 2365 | 216 (9.1%) | 78 (3.3%) | Placebo | 2366 | 211 (8.9%) | 98 (4.1%) |
| Arthros 2002 (GREACE) | Atorvastatin 10-80 mg | 800 | 23 (2.9%) | Usual care | 800 | 40 (5%) | ||
| Asselbergs 2004 (PREVEND IT) | Pravastatin 40 mg | 433 | 4 (0.9%) | Placebo | 431 | 4 (0.9%) | ||
| Chan 2010 (ASTRONOMER) | Rosuvastatin 40 mg | 134 | 2 (1.5%) | Placebo | 135 | 5 (3.7%) | ||
| Davis 2002 (ALLHAT-LTT) | Pravastatin 40 mg | 5170 | 631 (12.2%) | 295 (5.7%) | Usual care | 5185 | 641 (12.4%) | 300 (5.8%) |
| Downs 1998 (AFCAPS/TexCAPS) | Lovastatin 20 mg | 3304 | 17 (0.5%) | Placebo | 3301 | 25 (0.8%) | ||
| Emberson 2011 (MRC/BHF) | Simvastatin 40 mg | 10269 | 1328 (12.9%) | Placebo | 10267 | 1507 (14.7%) | ||
| Fellstrom 2009 (AURORA) | Rosuvastatin 10 mg | 1389 | 636 (45.8%) | 324 (23.3%) | Placebo | 1384 | 660 (47.7%) | 324 (23.4%) |
| Ford 2016 (WOSCOPS) | Pravastatin 40 mg | 3302 | 619 (18.7%) | 252 (7.6%) | Placebo | 3293 | 674 (20.5%) | 297 (9%) |
| Furberg 1994 (ACAPS) | Lovastatin 20-40 mg (± warfarin 1 mg) | 460 | 1 (0.2%) | Placebo (± warfarin 1 mg) | 459 | 8 (1.7%) | ||
| Furberg 1995 (PLAC-I and -II) | Pravastatin 20 or 40 mg | 281 | 7 (2.5%) | 5 (1.8%) | Placebo | 278 | 11 (4%) | 5 (1.8%) |
| Makuuchi 2005 (PCABG) | Pravastatin 10-20 mg | 152 | 6 (3.9%) | 4 (2.6%) | No lipid lowering agent | 151 | 11 (7.3%) | 4 (2.6%) |
| Nakagawa 2004 (PCS) | Pravastatin 10 mg | 54 | 17 (31.5%) | 2 (3.7%) | Dietary control | 66 | 23 (34.8%) | 1 (1.5%) |
| Nakamura 2006 (MEGA) | Pravastatin 10-20 mg | 3866 | 55 (1.4%) | 11 (0.3%) | Dietary control | 3966 | 79 (2%) | 18 (0.5%) |
| Ostadal 2010 (FACS) | Fluvastatin 80 mg | 78 | 1 (1.3%) | Placebo | 78 | 4 (5.1%) | ||
| Pedersen 1994 (4S) | Simvastatin 20 mg | 2221 | 182 (8.2%) | 136 (6.1%) | Placebo | 2223 | 256 (11.5%) | 207 (9.3%) |
| Ridker 2008 (JUPITER) | Rosuvastatin 20 mg | 8901 | 198 (2.2%) | Placebo | 8901 | 247 (2.8%) | ||
| Riegger 1999 | Fluvastatin 40 or 80 mg | 187 | 2 (1.1%) | Placebo | 178 | 4 (2.2%) | ||
| Sawayama 2002 (FAST) | Pravastatin 10 mg | 83 | 5 (6%) | Dietary control | 81 | 9 (11.1%) | ||
| Serruys 2002 (LIPS) | Fluvastatin 80 mg | 844 | 36 (4.3%) | 13 (1.5%) | Placebo | 833 | 49 (5.9%) | 24 (2.9%) |
| Shepherd 2002 (PROSPER) | Pravastatin 40 mg | 2891 | 298 (10.3%) | Placebo | 2913 | 306 (10.5%) | ||
| Takano 2013 (PEARL) | Pitavastatin 2 mg | 288 | 27 (9.4%) | 24 (8.3%) | No statin | 286 | 37 (12.9%) | 22 (7.7%) |
| Tavazzi 2008 (GISSI-HF) | Rosuvastatin 10 mg | 2285 | 657 (28.8%) | 478 (20.9%) | Placebo | 2289 | 644 (28.1%) | 488 (21.3%) |
| Tonkin 1998 (LIPID) | Pravastatin 40 mg | 4512 | 498 (11%) | 331 (7.3%) | Placebo | 4502 | 633 (14.1%) | 433 (9.6%) |
| Yokoi 2005 (ATHEROMA) | Pravastatin 10-20 mg + diet | 142 | 1 (0.7%) | Dietary control | 146 | 2 (1.4%) | ||
| Yusuf 2016 (HOPE-3) | Rosuvastatin 10 mg | 6361 | 334 (5.3%) | 154 (2.4%) | Placebo | 6344 | 357 (5.6%) | 171 (2.7%) |
| Omega-3 supplementation | ||||||||
| Primary prevention | ||||||||
| Andrieu 2017 (MAPT) | EPA + DHA up to 300/1300 mg | 820 | 20 (2.4%) | Placebo | 832 | 20 (2.4%) | ||
| Bhatt 2019 (REDUCE_IT) | Icosapent ethyl 4 g | 4069 | 274 (6.7%) | 174 (4.3%) | Placebo | 4090 | 310 (7.6%) | 213 (5.2%) |
| Bosch 2012 (ORIGIN) | EPA + DHA 465/375 mg | 6281 | 951 (15.1%) | 574 (9.1%) | Olive oil | 6255 | 964 (15.4%) | 581 (9.3%) |
| Bowman 2018 (ASCEND) | EPA + DHA 460/380 mg | 7740 | 752 (9.7%) | 186 (2.4%) | Olive oil | 7740 | 788 (10.2%) | 228 (2.9%) |
| Roncaglioni 2013 (Risk and Prevention) | EPA + DHA 1 g (ratio 0.9:1 to 1.5:1) | 6239 | 348 (5.6%) | 142 (2.3%) | Olive oil | 6266 | 337 (5.4%) | 137 (2.2%) |
| Secondary prevention | ||||||||
| Kromhout 2010 (AlphaOmega) | EPA+DHA 400 mg (± ALA 2 g) | 2404 | 186 (7.7%) | 80 (3.3%) | Control (± ALA 2 g) | 2433 | 184 (7.6%) | 82 (3.4%) |
| Tavazzi 2008 (GISSI-HF) | EPA + DHA 850 to 882 mg | 3494 | 2157 (61.7%) | 712 (20.4%) | Placebo | 3481 | 2202 (63.3%) | 765 (22%) |
| Mixed population | ||||||||
| Bonds 2014 (AREDS2) | EPA + DHA 650/350 mg | 2147 | 200 (9.3%) | 14 (0.7%) | Placebo | 2056 | 168 (8.2%) | 13 (0.6%) |
| Brouwer 2006 (SOFA) | EPA + DHA 464/335 mg | 273 | 8 (2.9%) | 6 (2.2%) | Sunflower oil | 273 | 14 (5.1%) | 13 (4.8%) |
| Einvik 2010 (DO IT) | EPA + DHA 1176/840 mg | 282 | 14 (5%) | 7 (2.5%) | Placebo | 281 | 24 (8.5%) | 11 (3.9%) |
| Galan 2010 (SU.FOL.OM3) | EPA + DHA 400/200 mg | 1253 | 58 (4.6%) | Placebo | 1248 | 59 (4.7%) | ||
| Dangour 2010 (OPAL) | EPA + DHA 400/1000 mg | 434 | 9 (2.1%) | Placebo | 433 | 8 (1.8%) | ||
| Macchia 2013 (FORWARD) | EPA + DHA 850 to 882 mg | 289 | 4 (1.4%) | Olive oil | 297 | 5 (1.7%) | ||
| Manson 2019 (VITAL) | EPA + DHA 460/380 mg | 12933 | 371 (2.9%) | 142 (1.1%) | Placebo | 12938 | 381 (2.9%) | 148 (1.1%) |
| Nilsen 2001 | EPA + DHA 850 to 882 mg (ratio 1:2) | 150 | 11 (7.3%) | 8 (5.3%) | Corn oil | 150 | 11 (7.3%) | 8 (5.3%) |
| Raitt 2005 | EPA + DHA 756/540 mg | 100 | 4 (4%) | 2 (2%) | Placebo | 100 | 10 (10%) | 5 (5%) |
| Rauch 2009 (OMEGA) | EPA + DHA 460/380 mg | 1919 | 88 (4.6%) | 67 (3.5%) | Olive oil | 1885 | 70 (3.7%) | 51 (2.7%) |
| Valagussa 1999 (GISSI-P) | EPA + DHA 850 to 882 mg (± vitamin E 300 mg) | 5666 | 472 (8.3%) | 291 (5.1%) | Control (± vitamin E 300 mg) | 5668 | 545 (9.6%) | 348 (6.1%) |
| Yokoyama 2007 (JELIS) | EPA 1800 mg + statin | 9326 | 286 (3.1%) | Statin only | 9319 | 265 (2.8%) | ||
| All-Cause Mortality | Cardiovascular Death | ||||
|---|---|---|---|---|---|
| Intervention | RR (95% CI) | p-Value | Intervention | RR (95% CI) | p-Value |
| Atorvastatin | 0.97 (0.93–1.01) | 0.15 | Atorvastatin | 0.90 (0.83–0.98) | 0.02 |
| Pravastatin | 0.97 (0.95–1.00) | 0.05 | Pravastatin | 0.96 (0.94–0.98) | 0.001 |
| Simvastatin | 0.93 (0.80–1.07) | 0.32 | Simvastatin | 0.82 (0.74–0.91) | < 0.001 |
| Rosuvastatin | 0.91 (0.80–0.99) | 0.02 | Rosuvastatin | 0.97 (0.91–1.03) | 0.36 |
| Lovastatin | 0.93 (0.40-1.30) | 0.28 | Fluvastatin | 0.92 (0.86–0.98) | 0.01 |
| Omega-3 supplementation | 0.98 (0.95–1.01) | 0.11 | Omega-3 supplementation | 0.94 (0.89–0.99) | 0.01 |













References
- GBD Causes of Death Collaborators. Global, regional, and national age-sex-specific mortality for 282 causes of death in 195 countries and territories, 1980–2017: A systematic analysis for the Global Burden of Disease Study 2017. Lancet 2018, 392, 1736–1788. [Google Scholar] [CrossRef]
- Khavjou, O.; Phelps, D.; Leib, A.; RITI International. Projections of Cardiovascular Disease Prevalence and Costs: 2015–2035. Available online: https://healthmetrics.heart.org/wp-content/uploads/2017/10/Projections-of-Cardiovascular-Disease.pdf (accessed on 16 February 2020).
- GBD DALYs Hale Collaborators. Global, regional, and national disability-adjusted life-years (DALYs) for 359 diseases and injuries and healthy life expectancy (HALE) for 195 countries and territories, 1990–2017: A systematic analysis for the Global Burden of Disease Study 2017. Lancet 2018, 392, 1859–1922. [Google Scholar] [CrossRef]
- Muller, C.J.; Noonan, C.J.; MacLehose, R.F.; Stoner, J.A.; Lee, E.T.; Best, L.G.; Calhoun, D.; Jolly, S.E.; Devereux, R.B.; Howard, B.V. Trends in cardiovascular disease morbidity and mortality in American Indians over 25 years: The Strong Heart Study. J. Am. Heart Assoc. 2019, 8, e012289. [Google Scholar] [CrossRef]
- Fellstrom, B.C.; Jardine, A.G.; Schmieder, R.E.; Holdaas, H.; Bannister, K.; Beutler, J.; Chae, D.W.; Chevaile, A.; Cobbe, S.M.; Gronhagen-Riska, C.; et al. Rosuvastatin and cardiovascular events in patients undergoing hemodialysis. N. Engl. J. Med. 2009, 360, 1395–1407. [Google Scholar] [CrossRef]
- Arnett, D.K.; Blumenthal, R.S.; Albert, M.A.; Buroker, A.B.; Goldberger, Z.D.; Hahn, E.J.; Himmelfarb, C.D.; Khera, A.; Lloyd-Jones, D.; McEvoy, J.W.; et al. 2019 ACC/AHA guideline on the primary prevention of cardiovascular disease: A report of the American College of Cardiology/American Heart Association Task Force on clinical practice guidelines. Circulation 2019, 140, e596–e646. [Google Scholar] [CrossRef]
- Piepoli, M.F.; Hoes, A.W.; Agewall, S.; Albus, C.; Brotons, C.; Catapano, A.L.; Cooney, M.T.; Corra, U.; Cosyns, B.; Deaton, C.; et al. 2016 European Guidelines on cardiovascular disease prevention in clinical practice: The sixth joint task force of the European Society of Cardiology and Other Societies on Cardiovascular Disease Prevention in Clinical Practice (constituted by representatives of 10 societies and by invited experts) developed with the special contribution of the European Association for Cardiovascular Prevention & Rehabilitation (EACPR). Eur. Heart J. 2016, 37, 2315–2381. [Google Scholar] [CrossRef]
- Yebyo, H.G.; Aschmann, H.E.; Kaufmann, M.; Puhan, M.A. Comparative effectiveness and safety of statins as a class and of specific statins for primary prevention of cardiovascular disease: A systematic review, meta-analysis, and network meta-analysis of randomized trials with 94,283 participants. Am. Heart J. 2019, 210, 18–28. [Google Scholar] [CrossRef]
- Eckel, R.H.; Jakicic, J.M.; Ard, J.D.; de Jesus, J.M.; Houston Miller, N.; Hubbard, V.S.; Lee, I.M.; Lichtenstein, A.H.; Loria, C.M.; Millen, B.E.; et al. 2013 AHA/ACC guideline on lifestyle management to reduce cardiovascular risk: A report of the American College of Cardiology/American Heart Association Task Force on Practice Guidelines. Circulation 2014, 129, S76–S99. [Google Scholar] [CrossRef]
- Alexander, D.D.; Miller, P.E.; Van Elswyk, M.E.; Kuratko, C.N.; Bylsma, L.C. A meta-analysis of randomized controlled trials and prospective cohort studies of eicosapentaenoic and docosahexaenoic long-chain omega-3 fatty acids and coronary heart disease risk. Mayo Clin. Proc. 2017, 92, 15–29. [Google Scholar] [CrossRef]
- Mohebi-Nejad, A.; Bikdeli, B. Omega-3 supplements and cardiovascular diseases. Tanaffos 2014, 13, 6–14. [Google Scholar]
- Siscovick, D.S.; Barringer, T.A.; Fretts, A.M.; Wu, J.H.; Lichtenstein, A.H.; Costello, R.B.; Kris-Etherton, P.M.; Jacobson, T.A.; Engler, M.B.; Alger, H.M.; et al. Omega-3 polyunsaturated fatty acid (fish oil) supplementation and the prevention of clinical cardiovascular disease: A science advisory from the American Heart Association. Circulation 2017, 135, e867–e884. [Google Scholar] [CrossRef] [PubMed]
- Abdelhamid, A.S.; Brown, T.J.; Brainard, J.S.; Biswas, P.; Thorpe, G.C.; Moore, H.J.; Deane, K.H.; AlAbdulghafoor, F.K.; Summerbell, C.D.; Worthington, H.V.; et al. Omega-3 fatty acids for the primary and secondary prevention of cardiovascular disease. Cochrane Database Syst. Rev. 2018, 7, CD003177. [Google Scholar] [CrossRef] [PubMed]
- Hu, Y.; Hu, F.B.; Manson, J.E. Marine omega-3 supplementation and cardiovascular disease: An updated meta-analysis of 13 randomized controlled trials involving 127,477 participants. J. Am. Heart Assoc. 2019, 8, e013543. [Google Scholar] [CrossRef] [PubMed]
- Hoang, T.; Kim, J. Comparative effect of statins and omega-3 supplementation on cardiovascular events: Meta-analysis and network meta-analysis of 63 randomized controlled trials including 264,516 participants. Nutrients 2020, 12, 2218. [Google Scholar] [CrossRef] [PubMed]
- DerSimonian, R.; Laird, N. Meta-analysis in clinical trials. Control. Clin. Trials 1986, 7, 177–188. [Google Scholar] [CrossRef]
- Shim, S.; Yoon, B.H.; Shin, I.S.; Bae, J.M. Network meta-analysis: Application and practice using Stata. Epidemiol. Health 2017, 39, e2017047. [Google Scholar] [CrossRef]
- Higgins, J.P.; Thompson, S.G.; Deeks, J.J.; Altman, D.G. Measuring inconsistency in meta-analyses. BMJ 2003, 327, 557–560. [Google Scholar] [CrossRef]
- Sterne, J.A.; Egger, M. Funnel plots for detecting bias in meta-analysis: Guidelines on choice of axis. J. Clin. Epidemiol. 2001, 54, 1046–1055. [Google Scholar] [CrossRef]
- Egger, M.; Davey Smith, G.; Schneider, M.; Minder, C. Bias in meta-analysis detected by a simple, graphical test. BMJ 1997, 315, 629–634. [Google Scholar] [CrossRef]
- Sterne, J.A.; Sutton, A.J.; Ioannidis, J.P.; Terrin, N.; Jones, D.R.; Lau, J.; Carpenter, J.; Rucker, G.; Harbord, R.M.; Schmid, C.H.; et al. Recommendations for examining and interpreting funnel plot asymmetry in meta-analyses of randomised controlled trials. BMJ 2011, 343, d4002. [Google Scholar] [CrossRef]
- Orsini, N.; Li, R.; Wolk, A.; Khudyakov, P.; Spiegelman, D. Meta-analysis for linear and nonlinear dose-response relations: Examples, an evaluation of approximations, and software. Am. J. Epidemiol. 2012, 175, 66–73. [Google Scholar] [CrossRef] [PubMed]
- Andrieu, S.; Guyonnet, S.; Coley, N.; Cantet, C.; Bonnefoy, M.; Bordes, S.; Bories, L.; Cufi, M.N.; Dantoine, T.; Dartigues, J.F.; et al. Effect of long-term omega 3 polyunsaturated fatty acid supplementation with or without multidomain intervention on cognitive function in elderly adults with memory complaints (MAPT): A randomised, placebo-controlled trial. Lancet Neurol. 2017, 16, 377–389. [Google Scholar] [CrossRef]
- Ascend Study Collaborative Group; Bowman, L.; Mafham, M.; Wallendszus, K.; Stevens, W.; Buck, G.; Barton, J.; Murphy, K.; Aung, T.; Haynes, R.; et al. Effects of n-3 fatty acid supplements in diabetes mellitus. N. Engl. J. Med. 2018, 379, 1540–1550. [Google Scholar] [CrossRef] [PubMed]
- Asselbergs, F.W.; Diercks, G.F.; Hillege, H.L.; van Boven, A.J.; Janssen, W.M.; Voors, A.A.; de Zeeuw, D.; de Jong, P.E.; van Veldhuisen, D.J.; van Gilst, W.H.; et al. Effects of fosinopril and pravastatin on cardiovascular events in subjects with microalbuminuria. Circulation 2004, 110, 2809–2816. [Google Scholar] [CrossRef]
- Athyros, V.G.; Papageorgiou, A.A.; Mercouris, B.R.; Athyrou, V.V.; Symeonidis, A.N.; Basayannis, E.O.; Demitriadis, D.S.; Kontopoulos, A.G. Treatment with atorvastatin to the National Cholesterol Educational Program goal versus ‘usual’ care in secondary coronary heart disease prevention. The GREek Atorvastatin and Coronary-heart-disease Evaluation (GREACE) study. Curr. Med. Res. Opin. 2002, 18, 220–228. [Google Scholar] [CrossRef]
- Bestehorn, H.P.; Rensing, U.F.; Roskamm, H.; Betz, P.; Benesch, L.; Schemeitat, K.; Blumchen, G.; Claus, J.; Mathes, P.; Kappenberger, L.; et al. The effect of simvastatin on progression of coronary artery disease. The Multicenter coronary Intervention Study (CIS). Eur. Heart J. 1997, 18, 226–234. [Google Scholar] [CrossRef]
- Bhatt, D.L.; Steg, P.G.; Miller, M.; Brinton, E.A.; Jacobson, T.A.; Ketchum, S.B.; Doyle, R.T., Jr.; Juliano, R.A.; Jiao, L.; Granowitz, C.; et al. Cardiovascular risk reduction with icosapent ethyl for hypertriglyceridemia. N. Engl. J. Med. 2019, 380, 11–22. [Google Scholar] [CrossRef]
- Blankenhorn, D.H.; Azen, S.P.; Kramsch, D.M.; Mack, W.J.; Cashin-Hemphill, L.; Hodis, H.N.; DeBoer, L.W.; Mahrer, P.R.; Masteller, M.J.; Vailas, L.I.; et al. Coronary angiographic changes with lovastatin therapy. The Monitored Atherosclerosis Regression Study (MARS). Ann. Intern. Med. 1993, 119, 969–976. [Google Scholar] [CrossRef]
- Brouwer, I.A.; Zock, P.L.; Camm, A.J.; Bocker, D.; Hauer, R.N.; Wever, E.F.; Dullemeijer, C.; Ronden, J.E.; Katan, M.B.; Lubinski, A.; et al. Effect of fish oil on ventricular tachyarrhythmia and death in patients with implantable cardioverter defibrillators: The Study on Omega-3 Fatty Acids and Ventricular Arrhythmia (SOFA) randomized trial. JAMA 2006, 295, 2613–2619. [Google Scholar] [CrossRef]
- Chan, K.L.; Teo, K.; Dumesnil, J.G.; Ni, A.; Tam, J.; Investigators, A. Effect of lipid lowering with rosuvastatin on progression of aortic stenosis: Results of the aortic stenosis progression observation: Measuring effects of rosuvastatin (ASTRONOMER) trial. Circulation 2010, 121, 306–314. [Google Scholar] [CrossRef]
- Colhoun, H.M.; Betteridge, D.J.; Durrington, P.N.; Hitman, G.A.; Neil, H.A.; Livingstone, S.J.; Thomason, M.J.; Mackness, M.I.; Charlton-Menys, V.; Fuller, J.H.; et al. Primary prevention of cardiovascular disease with atorvastatin in type 2 diabetes in the Collaborative Atorvastatin Diabetes Study (CARDS): Multicentre randomised placebo-controlled trial. Lancet 2004, 364, 685–696. [Google Scholar] [CrossRef]
- Dangour, A.D.; Allen, E.; Elbourne, D.; Fasey, N.; Fletcher, A.E.; Hardy, P.; Holder, G.E.; Knight, R.; Letley, L.; Richards, M.; et al. Effect of 2-y n-3 long-chain polyunsaturated fatty acid supplementation on cognitive function in older people: A randomized, double-blind, controlled trial. Am. J. Clin. Nutr. 2010, 91, 1725–1732. [Google Scholar] [CrossRef]
- Downs, J.R.; Clearfield, M.; Weis, S.; Whitney, E.; Shapiro, D.R.; Beere, P.A.; Langendorfer, A.; Stein, E.A.; Kruyer, W.; Gotto, A.M., Jr. Primary prevention of acute coronary events with lovastatin in men and women with average cholesterol levels: Results of AFCAPS/TexCAPS. Air Force/Texas Coronary Atherosclerosis Prevention Study. JAMA 1998, 279, 1615–1622. [Google Scholar] [CrossRef] [PubMed]
- Einvik, G.; Klemsdal, T.O.; Sandvik, L.; Hjerkinn, E.M. A randomized clinical trial on n-3 polyunsaturated fatty acids supplementation and all-cause mortality in elderly men at high cardiovascular risk. Eur. J. Cardiovasc. Prev. Rehabil. 2010, 17, 588–592. [Google Scholar] [CrossRef] [PubMed]
- Ford, I.; Murray, H.; McCowan, C.; Packard, C.J. Long-term safety and efficacy of lowering low-density lipoprotein cholesterol with statin therapy: 20-year follow-up of West of Scotland Coronary Prevention Study. Circulation 2016, 133, 1073–1080. [Google Scholar] [CrossRef]
- Furberg, C.D.; Adams, H.P., Jr.; Applegate, W.B.; Byington, R.P.; Espeland, M.A.; Hartwell, T.; Hunninghake, D.B.; Lefkowitz, D.S.; Probstfield, J.; Riley, W.A.; et al. Effect of lovastatin on early carotid atherosclerosis and cardiovascular events. Asymptomatic Carotid Artery Progression Study (ACAPS) Research Group. Circulation 1994, 90, 1679–1687. [Google Scholar] [CrossRef]
- Furberg, C.D.; Pitt, B.; Byington, R.P.; Park, J.S.; McGovern, M.E. Reduction in coronary events during treatment with pravastatin. PLAC I and PLAC II Investigators. Pravastatin Limitation of Atherosclerosis in the Coronary Arteries. Am. J. Cardiol. 1995, 76, 60C–63C. [Google Scholar] [CrossRef]
- Galan, P.; Kesse-Guyot, E.; Czernichow, S.; Briancon, S.; Blacher, J.; Hercberg, S.; SU.FOL.OM3 Collaborative Group. Effects of B vitamins and omega 3 fatty acids on cardiovascular diseases: A randomised placebo controlled trial. BMJ 2010, 341, c6273. [Google Scholar] [CrossRef]
- Gissi, P.I. Dietary supplementation with n-3 polyunsaturated fatty acids and vitamin E after myocardial infarction: Results of the GISSI-Prevenzione trial. Gruppo Italiano per lo Studio della Sopravvivenza nell’Infarto miocardico. Lancet 1999, 354, 447–455. [Google Scholar]
- Jonathan, E.; Derrick, B.; Emma, L.; Sarah, P.; John, D.; Jane, A.; Rory, C.; Heart Protection Study Collaborative Group. C-reactive protein concentration and the vascular benefits of statin therapy: An analysis of 20,536 patients in the Heart Protection Study. Lancet 2011, 377, 469–476. [Google Scholar] [CrossRef]
- Investigators, O.T.; Bosch, J.; Gerstein, H.C.; Dagenais, G.R.; Diaz, R.; Dyal, L.; Jung, H.; Maggiono, A.P.; Probstfield, J.; Ramachandran, A.; et al. n-3 fatty acids and cardiovascular outcomes in patients with dysglycemia. N. Engl. J. Med. 2012, 367, 309–318. [Google Scholar] [CrossRef]
- Kjekshus, J.; Apetrei, E.; Barrios, V.; Bohm, M.; Cleland, J.G.; Cornel, J.H.; Dunselman, P.; Fonseca, C.; Goudev, A.; Grande, P.; et al. Rosuvastatin in older patients with systolic heart failure. N. Engl. J. Med. 2007, 357, 2248–2261. [Google Scholar] [CrossRef] [PubMed]
- Knopp, R.H.; D’Emden, M.; Smilde, J.G.; Pocock, S.J. Efficacy and safety of atorvastatin in the prevention of cardiovascular end points in subjects with type 2 diabetes: The Atorvastatin Study for Prevention of Coronary Heart Disease Endpoints in non-insulin-dependent diabetes mellitus (ASPEN). Diabetes Care 2006, 29, 1478–1485. [Google Scholar] [CrossRef] [PubMed]
- Koren, M.J.; Hunninghake, D.B.; Investigators, A. Clinical outcomes in managed-care patients with coronary heart disease treated aggressively in lipid-lowering disease management clinics: The alliance study. J. Am. Coll Cardiol. 2004, 44, 1772–1779. [Google Scholar] [CrossRef]
- Kromhout, D.; Giltay, E.J.; Geleijnse, J.M.; Alpha Omega Trial, G. n-3 fatty acids and cardiovascular events after myocardial infarction. N. Engl. J. Med. 2010, 363, 2015–2026. [Google Scholar] [CrossRef]
- Liem, A.H.; van Boven, A.J.; Veeger, N.J.; Withagen, A.J.; Robles de Medina, R.M.; Tijssen, J.G.; van Veldhuisen, D.J. Effect of fluvastatin on ischaemia following acute myocardial infarction: A randomized trial. Eur. Heart J. 2002, 23, 1931–1937. [Google Scholar] [CrossRef]
- Long-Term Intervention with Pravastatin in Ischaemic Disease (LIPID) Study Group. Prevention of cardiovascular events and death with pravastatin in patients with coronary heart disease and a broad range of initial cholesterol levels. N. Engl. J. Med. 1998, 339, 1349–1357. [Google Scholar] [CrossRef] [PubMed]
- Macchia, A.; Grancelli, H.; Varini, S.; Nul, D.; Laffaye, N.; Mariani, J.; Ferrante, D.; Badra, R.; Figal, J.; Ramos, S.; et al. Omega-3 fatty acids for the prevention of recurrent symptomatic atrial fibrillation: Results of the FORWARD (Randomized Trial to Assess Efficacy of PUFA for the Maintenance of Sinus Rhythm in Persistent Atrial Fibrillation) trial. J. Am. Coll. Cardiol. 2013, 61, 463–468. [Google Scholar] [CrossRef] [PubMed]
- Makuuchi, H.; Furuse, A.; Endo, M.; Nakamura, H.; Daida, H.; Watanabe, M.; Ohashi, Y.; Hosoda, Y.; Hosoda, S.; Yamaguchi, H.; et al. Effect of pravastatin on progression of coronary atherosclerosis in patients after coronary artery bypass surgery. Circ. J. 2005, 69, 636–643. [Google Scholar] [CrossRef][Green Version]
- Manson, J.E.; Cook, N.R.; Lee, I.M.; Christen, W.; Bassuk, S.S.; Mora, S.; Gibson, H.; Albert, C.M.; Gordon, D.; Copeland, T.; et al. Marine n-3 fatty acids and prevention of cardiovascular disease and cancer. N. Engl. J. Med. 2019, 380, 23–32. [Google Scholar] [CrossRef]
- Nakagawa, T.; Kobayashi, T.; Awata, N.; Sato, S.; Reiber, J.H.; Nakajima, H.; Toyama, Y.N.; Hiraoka, H.; Kato, O.; Kirino, M.; et al. Randomized, controlled trial of secondary prevention of coronary sclerosis in normocholesterolemic patients using pravastatin: Final 5-year angiographic follow-up of the Prevention of Coronary Sclerosis (PCS) study. Int. J. Cardiol. 2004, 97, 107–114. [Google Scholar] [CrossRef] [PubMed]
- Nakamura, H.; Arakawa, K.; Itakura, H.; Kitabatake, A.; Goto, Y.; Toyota, T.; Nakaya, N.; Nishimoto, S.; Muranaka, M.; Yamamoto, A.; et al. Primary prevention of cardiovascular disease with pravastatin in Japan (MEGA Study): A prospective randomised controlled trial. Lancet 2006, 368, 1155–1163. [Google Scholar] [CrossRef]
- Nilsen, D.W.; Albrektsen, G.; Landmark, K.; Moen, S.; Aarsland, T.; Woie, L. Effects of a high-dose concentrate of n-3 fatty acids or corn oil introduced early after an acute myocardial infarction on serum triacylglycerol and HDL cholesterol. Am. J. Clin. Nutr. 2001, 74, 50–56. [Google Scholar] [CrossRef] [PubMed]
- ALLHAT Collaborative Research Group. Major outcomes in moderately hypercholesterolemic, hypertensive patients randomized to pravastatin vs usual care: The Antihypertensive and Lipid-Lowering Treatment to Prevent Heart Attack Trial (ALLHAT-LLT). JAMA 2002, 288, 2998–3007. [Google Scholar] [CrossRef] [PubMed]
- Ostadal, P.; Alan, D.; Vejvoda, J.; Kukacka, J.; Macek, M.; Hajek, P.; Mates, M.; Kvapil, M.; Kettner, J.; Wiendl, M.; et al. Fluvastatin in the first-line therapy of acute coronary syndrome: Results of the multicenter, randomized, double-blind, placebo-controlled trial (the FACS-trial). Trials 2010, 11, 61. [Google Scholar] [CrossRef] [PubMed]
- Pedersen, T.R.; Faergeman, O.; Kastelein, J.J.; Olsson, A.G.; Tikkanen, M.J.; Holme, I.; Larsen, M.L.; Bendiksen, F.S.; Lindahl, C.; Szarek, M.; et al. High-dose atorvastatin vs usual-dose simvastatin for secondary prevention after myocardial infarction: The IDEAL study: A randomized controlled trial. JAMA 2005, 294, 2437–2445. [Google Scholar] [CrossRef]
- Raitt, M.H.; Connor, W.E.; Morris, C.; Kron, J.; Halperin, B.; Chugh, S.S.; McClelland, J.; Cook, J.; MacMurdy, K.; Swenson, R.; et al. Fish oil supplementation and risk of ventricular tachycardia and ventricular fibrillation in patients with implantable defibrillators: A randomized controlled trial. JAMA 2005, 293, 2884–2891. [Google Scholar] [CrossRef]
- Rauch, B.; Schiele, R.; Schneider, S.; Diller, F.; Victor, N.; Gohlke, H.; Gottwik, M.; Steinbeck, G.; Del Castillo, U.; Sack, R.; et al. OMEGA, a randomized, placebo-controlled trial to test the effect of highly purified omega-3 fatty acids on top of modern guideline-adjusted therapy after myocardial infarction. Circulation 2010, 122, 2152–2159. [Google Scholar] [CrossRef]
- Ridker, P.M.; Danielson, E.; Fonseca, F.A.; Genest, J.; Gotto, A.M., Jr.; Kastelein, J.J.; Koenig, W.; Libby, P.; Lorenzatti, A.J.; MacFadyen, J.G.; et al. Rosuvastatin to prevent vascular events in men and women with elevated C-reactive protein. N. Engl. J. Med. 2008, 359, 2195–2207. [Google Scholar] [CrossRef]
- Riegger, G.; Abletshauser, C.; Ludwig, M.; Schwandt, P.; Widimsky, J.; Weidinger, G.; Welzel, D. The effect of fluvastatin on cardiac events in patients with symptomatic coronary artery disease during one year of treatment. Atherosclerosis 1999, 144, 263–270. [Google Scholar] [CrossRef]
- Roncaglioni, M.C.; Tombesi, M.; Avanzini, F.; Barlera, S.; Caimi, V.; Longoni, P.; Marzona, I.; Milani, V.; Silletta, M.G.; Risk and Prevention Study Collaborative Group; et al. n-3 fatty acids in patients with multiple cardiovascular risk factors. N. Engl. J. Med. 2013, 368, 1800–1808. [Google Scholar] [CrossRef] [PubMed]
- Sawayama, Y.; Shimizu, C.; Maeda, N.; Tatsukawa, M.; Kinukawa, N.; Koyanagi, S.; Kashiwagi, S.; Hayashi, J. Effects of probucol and pravastatin on common carotid atherosclerosis in patients with asymptomatic hypercholesterolemia. Fukuoka Atherosclerosis Trial (FAST). J. Am. Coll. Cardiol. 2002, 39, 610–616. [Google Scholar] [CrossRef]
- Serruys, P.W.; de Feyter, P.; Macaya, C.; Kokott, N.; Puel, J.; Vrolix, M.; Branzi, A.; Bertolami, M.C.; Jackson, G.; Strauss, B.; et al. Fluvastatin for prevention of cardiac events following successful first percutaneous coronary intervention: A randomized controlled trial. JAMA 2002, 287, 3215–3222. [Google Scholar] [CrossRef]
- Sever, P.S.; Dahlof, B.; Poulter, N.R.; Wedel, H.; Beevers, G.; Caulfield, M.; Collins, R.; Kjeldsen, S.E.; Kristinsson, A.; McInnes, G.T.; et al. Prevention of coronary and stroke events with atorvastatin in hypertensive patients who have average or lower-than-average cholesterol concentrations, in the Anglo-Scandinavian Cardiac Outcomes Trial—Lipid Lowering Arm (ASCOT-LLA): A multicentre randomised controlled trial. Drugs 2004, 64 (Suppl. 2), 43–60. [Google Scholar] [CrossRef]
- Shepherd, J.; Blauw, G.J.; Murphy, M.B.; Bollen, E.L.; Buckley, B.M.; Cobbe, S.M.; Ford, I.; Gaw, A.; Hyland, M.; Jukema, J.W.; et al. Pravastatin in elderly individuals at risk of vascular disease (PROSPER): A randomised controlled trial. Lancet 2002, 360, 1623–1630. [Google Scholar] [CrossRef]
- Karam, J.G.; Loney-Hutchinson, L.; McFarlane, S.I.; Stroke Prevention by Aggressive Reduction in Cholesterol Levels (SPARCL) Investigators. High-dose atorvastatin after stroke or transient ischemic attack: The Stroke Prevention by Aggressive Reduction in Cholesterol Levels (SPARCL) Investigators. N. Engl. J. Med. 2008, 3, 68–69. [Google Scholar] [CrossRef] [PubMed]
- Takano, H.; Mizuma, H.; Kuwabara, Y.; Sato, Y.; Shindo, S.; Kotooka, N.; Fujimatsu, D.; Kobayashi, Y.; Inoue, T.; Node, K.; et al. Effects of pitavastatin in Japanese patients with chronic heart failure: The Pitavastatin Heart Failure Study (PEARL Study). Circ. J. 2013, 77, 917–925. [Google Scholar] [CrossRef] [PubMed]
- Tavazzi, L.; Maggioni, A.P.; Marchioli, R.; Barlera, S.; Franzosi, M.G.; Latini, R.; Lucci, D.; Nicolosi, G.L.; Porcu, M.; Tognoni, G.; et al. Effect of n-3 polyunsaturated fatty acids in patients with chronic heart failure (the GISSI-HF trial): A randomised, double-blind, placebo-controlled trial. Lancet 2008, 372, 1223–1230. [Google Scholar] [CrossRef]
- Tavazzi, L.; Maggioni, A.P.; Marchioli, R.; Barlera, S.; Franzosi, M.G.; Latini, R.; Lucci, D.; Nicolosi, G.L.; Porcu, M.; Tognoni, G.; et al. Effect of rosuvastatin in patients with chronic heart failure (the GISSI-HF trial): A randomised, double-blind, placebo-controlled trial. Lancet 2008, 372, 1231–1239. [Google Scholar] [CrossRef]
- Teo, K.K.; Burton, J.R.; Buller, C.E.; Plante, S.; Catellier, D.; Tymchak, W.; Dzavik, V.; Taylor, D.; Yokoyama, S.; Montague, T.J. Long-term effects of cholesterol lowering and angiotensin-converting enzyme inhibition on coronary atherosclerosis: The Simvastatin/Enalapril Coronary Atherosclerosis Trial (SCAT). Circulation 2000, 102, 1748–1754. [Google Scholar] [CrossRef]
- Wanner, C.; Krane, V.; Marz, W.; Olschewski, M.; Mann, J.F.; Ruf, G.; Ritz, E.; German, D.; German Diabetes and Dialysis Study Investigators. Atorvastatin in patients with type 2 diabetes mellitus undergoing hemodialysis. N. Engl. J. Med. 2005, 353, 238–248. [Google Scholar] [CrossRef] [PubMed]
- Bonds, D.E.; Harrington, M.; Worrall, B.B.; Bertoni, A.G.; Eaton, C.B.; Hsia, J.; Robinson, J.; Clemons, T.E.; Fine, L.J.; Writing Group for the AREDS2 Research Group; et al. Effect of long-chain omega-3 fatty acids and lutein + zeaxanthin supplements on cardiovascular outcomes: Results of the Age-Related Eye Disease Study 2 (AREDS2) randomized clinical trial. JAMA Intern. Med. 2014, 174, 763–771. [Google Scholar] [CrossRef] [PubMed]
- Yokoi, H.; Nobuyoshi, M.; Mitsudo, K.; Kawaguchi, A.; Yamamoto, A.; Investigators, A.S. Three-year follow-up results of angiographic intervention trial using an HMG-CoA reductase inhibitor to evaluate retardation of obstructive multiple atheroma (ATHEROMA) study. Circ. J. 2005, 69, 875–883. [Google Scholar] [CrossRef] [PubMed]
- Yokoyama, M.; Origasa, H.; Matsuzaki, M.; Matsuzawa, Y.; Saito, Y.; Ishikawa, Y.; Oikawa, S.; Sasaki, J.; Hishida, H.; Itakura, H.; et al. Effects of eicosapentaenoic acid on major coronary events in hypercholesterolaemic patients (JELIS): A randomised open-label, blinded endpoint analysis. Lancet 2007, 369, 1090–1098. [Google Scholar] [CrossRef]
- Yusuf, S.; Bosch, J.; Dagenais, G.; Zhu, J.; Xavier, D.; Liu, L.; Pais, P.; Lopez-Jaramillo, P.; Leiter, L.A.; Dans, A.; et al. Cholesterol Lowering in Intermediate-Risk Persons without Cardiovascular Disease. N. Engl. J. Med. 2016, 374, 2021–2031. [Google Scholar] [CrossRef]
- Pfizer. Lipitor (Atorvastatin): Highlights of Prescribing Information. Available online: https://www.accessdata.fda.gov/drugsatfda_docs/label/2009/020702s056lbl.pdf (accessed on 7 April 2020).
- Novartis. Lescol (Fluvastatin): Highlights of Prescribing Information. Available online: https://www.accessdata.fda.gov/drugsatfda_docs/label/2012/021192s019lbl.pdf (accessed on 7 April 2020).
- Watson Laboratories. Altoprev (Lovastatin Extended-Release): Highlights of Prescribing Information. Available online: https://www.accessdata.fda.gov/drugsatfda_docs/label/2012/021316s028lbl.pdf (accessed on 7 April 2020).
- Kowa. Livalo (Pitavastatin): Highlights of Prescribing Information. Available online: https://www.accessdata.fda.gov/drugsatfda_docs/label/2019/022363s015lbl.pdf (accessed on 7 April 2020).
- AstraZeneca. Crestor (Rosuvastatin Calcium): Highlights of Prescribing Information. Available online: https://www.accessdata.fda.gov/drugsatfda_docs/label/2010/021366s016lbl.pdf (accessed on 7 April 2020).
- Marck & Co. Zocor (Simvastatin): Highlights of Prescribing Information. Available online: https://www.accessdata.fda.gov/drugsatfda_docs/label/2010/019766s078lbl.pdf (accessed on 7 April 2020).
- Bristol-Myers Squibb. Pravachol (Pravastatin Sodium): Highlights of Prescribing Information. Available online: https://www.accessdata.fda.gov/drugsatfda_docs/label/2012/019898s062lbl.pdf (accessed on 7 April 2020).
- Scandinavian Simvastatin Survival Study Group. Randomised trial of cholesterol lowering in 4444 patients with coronary heart disease: The Scandinavian Simvastatin Survival Study (4S). Lancet 1994, 344, 1383–1389. [Google Scholar]
- An, K.; Huang, R.; Tian, S.; Guo, D.; Wang, J.; Lin, H.; Wang, S. Statins significantly reduce mortality in patients receiving clopidogrel without affecting platelet activation and aggregation: A systematic review and meta-analysis. Lipids Health Dis. 2019, 18, 121. [Google Scholar] [CrossRef]
- Chen, P.H.; Wang, J.S.; Lin, S.Y.; Li, C.H.; Wang, C.Y.; Hu, C.Y.; Fu, C.P.; Tsai, Y.T.; Lee, A.T.; Chen, Y.W.; et al. Effects of statins on all-cause mortality at different low-density-lipoprotein cholesterol levels in Asian patients with type 2 diabetes. Curr. Med. Res. Opin. 2018, 34, 1885–1892. [Google Scholar] [CrossRef]
- Lipworth, L.; Fazio, S.; Kabagambe, E.K.; Munro, H.M.; Nwazue, V.C.; Tarone, R.E.; McLaughlin, J.K.; Blot, W.J.; Sampson, U.K. A prospective study of statin use and mortality among 67,385 blacks and whites in the Southeastern United States. Clin. Epidemiol. 2014, 6, 15–25. [Google Scholar] [CrossRef]
- Tada, H.; Nohara, A.; Kawashiri, M.A. Serum Triglycerides and Atherosclerotic Cardiovascular Disease: Insights from Clinical and Genetic Studies. Nutrients 2018, 10, 1789. [Google Scholar] [CrossRef]
- Jeong, S.M.; Choi, S.; Kim, K.; Kim, S.M.; Lee, G.; Park, S.Y.; Kim, Y.Y.; Son, J.S.; Yun, J.M.; Park, S.M. Effect of Change in Total Cholesterol Levels on Cardiovascular Disease Among Young Adults. J. Am. Heart Assoc. 2018, 7. [Google Scholar] [CrossRef]
- Choi, S. The potential role of biomarkers associated with ASCVD risk: Risk-enhancing biomarkers. J. Lipid Atheroscler. 2019, 8, 173–182. [Google Scholar] [CrossRef] [PubMed]
- Kim, J.; Hoang, T.; Bu, S.Y.; Kim, J.M.; Choi, J.H.; Park, E.; Lee, S.M.; Park, E.; Min, J.Y.; Lee, I.S.; et al. Association of dietary intake with cardiovascular disease, blood pressure, and lipid profile in the Korean population: A systematic review and meta-analysis. J. Lipid Atheroscler. 2020, 9, 205–229. [Google Scholar] [CrossRef]
- Doshi, R.; Kumar, A.; Thakkar, S.; Shariff, M.; Adalja, D.; Doshi, A.; Taha, M.; Gupta, R.; Desai, R.; Shah, J.; et al. Meta-analysis comparing combined use of eicosapentaenoic acid and statin to statin alone. Am. J. Cardiol. 2020, 125, 198–204. [Google Scholar] [CrossRef] [PubMed]
- Oscarsson, J.; Hurt-Camejo, E. Omega-3 fatty acids eicosapentaenoic acid and docosahexaenoic acid and their mechanisms of action on apolipoprotein B-containing lipoproteins in humans: A review. Lipids Health Dis. 2017, 16, 149. [Google Scholar] [CrossRef]
- Qin, Y.; Zhou, Y.; Chen, S.H.; Zhao, X.L.; Ran, L.; Zeng, X.L.; Wu, Y.; Chen, J.L.; Kang, C.; Shu, F.R.; et al. Fish Oil Supplements Lower Serum Lipids and Glucose in Correlation with a Reduction in Plasma Fibroblast Growth Factor 21 and Prostaglandin E2 in Nonalcoholic Fatty Liver Disease Associated with Hyperlipidemia: A Randomized Clinical Trial. PLoS ONE 2015, 10, e0133496. [Google Scholar] [CrossRef]
- Jeong, G.H.; Lee, K.H.; Kim, J.Y.; Eisenhut, M.; Kronbichler, A.; van der Vliet, H.J.; Shin, J.I.; Gamerith, G. Statin and cancer mortality and survival: An umbrella systematic review and meta-analysis. J. Clin. Med. 2020, 9, 326. [Google Scholar] [CrossRef]
- Bird, J.K.; Calder, P.C.; Eggersdorfer, M. The Role of n-3 Long Chain Polyunsaturated Fatty Acids in Cardiovascular Disease Prevention, and Interactions with Statins. Nutrients 2018, 10, 775. [Google Scholar] [CrossRef] [PubMed]
- Choi, H.D.; Chae, S.M. Comparison of efficacy and safety of combination therapy with statins and omega-3 fatty acids versus statin monotherapy in patients with dyslipidemia: A systematic review and meta-analysis. Medicine 2018, 97, e13593. [Google Scholar] [CrossRef]
- Kim, C.H.; Han, K.A.; Yu, J.; Lee, S.H.; Jeon, H.K.; Kim, S.H.; Kim, S.Y.; Han, K.H.; Won, K.; Kim, D.B.; et al. Efficacy and Safety of Adding Omega-3 Fatty Acids in Statin-treated Patients with Residual Hypertriglyceridemia: ROMANTIC (Rosuvastatin-OMAcor iN residual hyperTrIglyCeridemia), a Randomized, Double-blind, and Placebo-controlled Trial. Clin. Ther. 2018, 40, 83–94. [Google Scholar] [CrossRef]
- Jun, J.E.; Jeong, I.K.; Yu, J.M.; Kim, S.R.; Lee, I.K.; Han, K.A.; Choi, S.H.; Kim, S.K.; Park, H.K.; Mok, J.O.; et al. Efficacy and Safety of Omega-3 Fatty Acids in Patients Treated with Statins for Residual Hypertriglyceridemia: A Randomized, Double-Blind, Placebo-Controlled Clinical Trial. Diabetes Metab. J. 2020, 44, 78–90. [Google Scholar] [CrossRef] [PubMed]

| Intervention | All-Cause Mortality | Cardiovascular Disease Death | ||
|---|---|---|---|---|
| No. Studies (I2) | RR (95% CI) | No. Studies (I2) | RR (95% CI) | |
| Statins | ||||
| Overall | 30 (43.8%) | 0.90 (0.86–0.94) | 27 (37.2%) | 0.86 (0.80–0.92) |
| Primary prevention | 5 (21.8%) | 0.92 (0.81–1.04) | 5 (0%) | 0.81 (0.66–1.01) |
| Secondary prevention | 3 (0%) | 0.95 (0.88–1.03) | 3 (49.4%) | 0.55 (0.20–1.45) |
| Mixed population | 21 (54.1%) | 0.89 (0.84–0.94) | 19 (37.2%) | 0.90 (0.73–1.12) |
| Atorvastatin | 7 (22.6%) | 0.92 (0.84–1.01) | 5 (0%) | 0.78 (0.69–0.87) |
| Pravastatin | 10 (39.7%) | 0.89 (0.81–0.97) | 8 (1.0%) | 0.85 (0.78–0.93) |
| Simvastatin | 3 (76.0%) | 0.85 (0.66–1.09) | 3 (19.6%) | 0.75 (0.45–1.27) |
| Rosuvastatin | 5 (29.4%) | 0.96 (0.90–1.01) | 5 (0%) | 0.98 (0.92–1.04) |
| Lovastatin | 2 (0%) | 0.23 (0.05–1.09) | 1 (NA) | 0.68 (0.92–1.26) |
| Fluvastatin | 2 (0%) | 0.71 (0.49–1.05) | 4 (0%) | 0.52 (0.31–0.86) |
| Pitavastatin | 1 (NA) | 0.72 (0.45–1.16) | 1 (NA) | 0.52 (0.31–0.86) |
| Omega-3 supplementation (including REDUCE-IT trial) | ||||
| Overall | 19 (6.0%) | 0.97 (0.94–1.01) | 14 (13.4%) | 0.92 (0.87–0.98) |
| Primary prevention | 5 (0%) | 1.04 (0.90–1.20) | 4 (45.4%) | 0.91 (0.81–1.03) |
| Secondary prevention | 2 (0%) | 0.98 (0.94–1.01) | 2 (0%) | 0.93 (0.86–1.02) |
| Mixed population | 12 (33.8%) | 1.09 (0.91–1.27) | 8 (23.3%) | 0.92 (0.78–1.09) |
| EPA+DHA | 17 (2.2%) | 0.97 (0.94–1.00) | 13 (10.0%) | 0.93 (0.88–0.99) |
| EPA only | 2 (6.0%) | 0.98 (0.81–1.18) | 1 (NA) | 0.82 (0.67–0.99) |
| Omega-3 supplementation (excluding REDUCE-IT trial) | ||||
| Overall | 18 (4.4%) | 0.98 (0.95–1.01) | 13 (10.0%) | 0.93 (0.88–0.99) |
| Primary prevention | 4 (0%) | 0.98 (0.93–1.04) | 3 (42.2%) | 0.95 (0.83–1.08) |
| Secondary prevention | 2 (0%) | 0.98 (0.94–1.01) | 2 (0%) | 0.93 (0.86–1.02) |
| Mixed population | 12 (33.8%) | 1.09 (0.91–1.27) | 8 (23.3%) | 0.92 (0.78–1.09) |
| EPA + DHA | 17 (2.2%) | 0.97 (0.94–1.00) | 13 (10.0%) | 0.93 (0.88–0.99) |
| EPA only | 1 (NA) | 1.08 (0.91–1.27) | - | - |
| Comparison | All-Cause Mortality | Cardiovascular Disease Death |
|---|---|---|
| Overall | ||
| Statins vs. placebo | 0.88 (0.84–0.93) | 0.84 (0.78–0.91) |
| Omega-3 vs. placebo | 0.97 (0.92–1.03) | 0.91 (0.84–0.99) |
| Statins vs. omega-3 | 0.91 (0.85–0.98) | 0.92 (0.82–1.04) |
| Primary prevention | ||
| Statins vs. placebo | 0.89 (0.78–1.01) | 0.77 (0.65–0.93) |
| Omega-3 vs. placebo | 0.97 (0.91–1.03) | 0.91 (0.81–1.03) |
| Statins vs. omega-3 | 0.92 (0.80–1.06) | 0.85 (0.68–1.05) |
| Secondary prevention | ||
| Statins vs. placebo | 0.93 (0.84–1.04) | 0.90 (0.66–1.22) |
| Omega-3 vs. placebo | 0.95 (0.87–1.04) | 0.93 (0.78–1.10) |
| Statins vs. omega-3 | 0.98 (0.85–1.13) | 0.97 (0.66–1.43) |
| Mixed population | ||
| Statins vs. placebo | 0.87 (0.81–0.93) | 0.84 (0.76–0.93) |
| Omega-3 vs. placebo | 0.98 (0.88–1.10) | 0.91 (0.76–1.09) |
| Statins vs. omega-3 | 0.88 (0.77–1.01) | 0.92 (0.75–1.14) |
Publisher’s Note: MDPI stays neutral with regard to jurisdictional claims in published maps and institutional affiliations. |
© 2020 by the authors. Licensee MDPI, Basel, Switzerland. This article is an open access article distributed under the terms and conditions of the Creative Commons Attribution (CC BY) license (http://creativecommons.org/licenses/by/4.0/).
Share and Cite
Kim, J.; Hoang, T.; Kim, J.-M.; Bu, S.Y.; Choi, J.-H.; Park, E.; Lee, S.-M.; Park, E.; Min, J.Y.; Lee, I.S.; et al. All-Cause Mortality and Cardiovascular Death between Statins and Omega-3 Supplementation: A Meta-Analysis and Network Meta-Analysis from 55 Randomized Controlled Trials. Nutrients 2020, 12, 3203. https://doi.org/10.3390/nu12103203
Kim J, Hoang T, Kim J-M, Bu SY, Choi J-H, Park E, Lee S-M, Park E, Min JY, Lee IS, et al. All-Cause Mortality and Cardiovascular Death between Statins and Omega-3 Supplementation: A Meta-Analysis and Network Meta-Analysis from 55 Randomized Controlled Trials. Nutrients. 2020; 12(10):3203. https://doi.org/10.3390/nu12103203
Chicago/Turabian StyleKim, Jeongseon, Tung Hoang, Ji-Myung Kim, So Young Bu, Jeong-Hwa Choi, Eunju Park, Seung-Min Lee, Eunmi Park, Ji Yeon Min, In Seok Lee, and et al. 2020. "All-Cause Mortality and Cardiovascular Death between Statins and Omega-3 Supplementation: A Meta-Analysis and Network Meta-Analysis from 55 Randomized Controlled Trials" Nutrients 12, no. 10: 3203. https://doi.org/10.3390/nu12103203
APA StyleKim, J., Hoang, T., Kim, J.-M., Bu, S. Y., Choi, J.-H., Park, E., Lee, S.-M., Park, E., Min, J. Y., Lee, I. S., Youn, S. Y., & Yeon, J.-Y. (2020). All-Cause Mortality and Cardiovascular Death between Statins and Omega-3 Supplementation: A Meta-Analysis and Network Meta-Analysis from 55 Randomized Controlled Trials. Nutrients, 12(10), 3203. https://doi.org/10.3390/nu12103203

