Perioperative Vitamin C and E levels in Cardiac Surgery Patients and Their Clinical Significance
Abstract
1. Introduction
2. Methods
2.1. Patients
2.2. Blood Sampling, Probe Handling, and Laboratory Measurements of the Vitamins
2.3. Measurement of Oxidative Stress and Inflammation
2.4. Data Collection
2.5. Statistical Evaluation
3. Results
3.1. Patient Characteristics
3.2. Perioperative Course of Vitamins C and E
3.3. Influence of Probe Handling on the Absolute Values of Vitamin C
3.4. The Association of Vitamin C with Inflammation
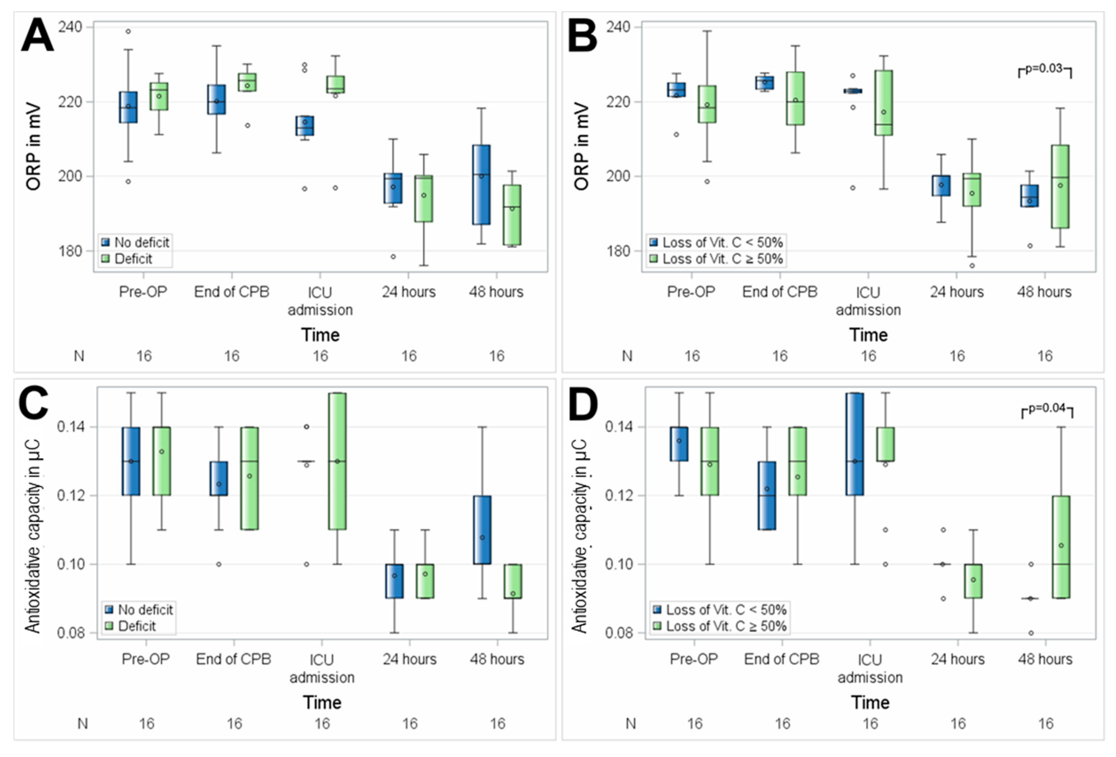
3.5. The Association of Vitamin C with Oxidative Stress
3.6. The Association of Vitamin C with Organ Dysfunction
3.7. The Association of Vitamin C with Length-of-Stay and Mortality
4. Discussion
5. Conclusions
Author Contributions
Funding
Acknowledgments
Conflicts of Interest
References
- Hall, R. Identification of inflammatory mediators and their modulation by strategies for the management of the systemic inflammatory response during cardiac surgery. J. Cardiothorac. Vasc. Anesth. 2013, 27, 983–1033. [Google Scholar] [CrossRef] [PubMed]
- Landis, R.C.; Brown, J.R.; Fitzgerald, D.; Likosky, D.S.; Shore-Lesserson, L.; Baker, R.A.; Hammon, J.W. Attenuating the systemic inflammatory response to adult cardiopulmonary bypass: A critical review of the evidence base. J. Extra-Corpor. Technol. 2014, 46, 197–211. [Google Scholar] [PubMed]
- Millar, J.E.; Fanning, J.P.; McDonald, C.I.; McAuley, D.F.; Fraser, J.F. The inflammatory response to extracorporeal membrane oxygenation (ecmo): A review of the pathophysiology. Crit. Care 2016, 20, 387. [Google Scholar] [CrossRef] [PubMed]
- Madhavan, S.; Chan, S.P.; Tan, W.C.; Eng, J.; Li, B.; Luo, H.D.; Teoh, L.K. Cardiopulmonary bypass time: Every minute counts. J. Cardiovasc. Surg. 2018, 59, 274–281. [Google Scholar] [CrossRef]
- He, L.; He, T.; Farrar, S.; Ji, L.; Liu, T.; Ma, X. Antioxidants maintain cellular redox homeostasis by elimination of reactive oxygen species. Cell. Physiol. Biochem. 2017, 44, 532–553. [Google Scholar] [CrossRef]
- Lassnigg, A.; Punz, A.; Barker, R.; Keznickl, P.; Manhart, N.; Roth, E.; Hiesmayr, M. Influence of intravenous vitamin e supplementation in cardiac surgery on oxidative stress: A double-blinded, randomized, controlled study. Br. J. Anaesth. 2003, 90, 148–154. [Google Scholar] [CrossRef] [PubMed]
- Ochoa, J.J.; Vilchez, M.J.; Ibanez, S.; Huertas, J.R.; Palacio, M.A.; Munoz-Hoyos, A. Oxidative stress is evident in erythrocytes as well as plasma in patients undergoing heart surgery involving cardiopulmonary bypass. Free Radic. Res. 2003, 37, 11–17. [Google Scholar] [CrossRef] [PubMed]
- Stoppe, C.; Schaelte, G.; Rossaint, R.; Coburn, M.; Graf, B.; Spillner, J.; Marx, G.; Rex, S. The intraoperative decrease of selenium is associated with the postoperative development of multiorgan dysfunction in cardiac surgical patients. Crit. Care Med. 2011, 39, 1879–1885. [Google Scholar] [CrossRef] [PubMed]
- Engel, J.M.; Muehling, J.; Kwapisz, M.; Heidt, M. Glutamine administration in patients undergoing cardiac surgery and the influence on blood glutathione levels. Acta Anaesthesiol. Scand. 2009, 53, 1317–1323. [Google Scholar] [CrossRef] [PubMed]
- Matos, A.; Souza, G.; Moreira, V.; Luna, M.; Ramalho, A. Vitamin a supplementation according to zinc status on oxidative stress levels in cardiac surgery patients. Nutr. Hosp. 2018, 35, 767–773. [Google Scholar] [CrossRef]
- Hill, A.; Wendt, S.; Benstoem, C.; Neubauer, C.; Meybohm, P.; Langlois, P.; Adhikari, N.K.; Heyland, D.K.; Stoppe, C. Vitamin c to improve organ dysfunction in cardiac surgery patients-review and pragmatic approach. Nutrients 2018, 10, 974. [Google Scholar] [CrossRef] [PubMed]
- Carr, A.C.; Shaw, G.M.; Fowler, A.A.; Natarajan, R. Ascorbate-dependent vasopressor synthesis: A rationale for vitamin c administration in severe sepsis and septic shock? Crit. Care 2015, 19, 418. [Google Scholar] [CrossRef] [PubMed]
- Zabet, M.H.; Mohammadi, M.; Ramezani, M.; Khalili, H. Effect of high-dose ascorbic acid on vasopressor’s requirement in septic shock. J. Res. Pharm. Pract. 2016, 5, 94–100. [Google Scholar] [CrossRef] [PubMed]
- Borrelli, E.; Roux-Lombard, P.; Grau, G.E.; Girardin, E.; Ricou, B.; Dayer, J.-M.; Suter, P.M. Plasma concentrations of cytokines, their soluble receptors, antioxidant vitamins can predict the development of multiple organ failure in patients at risk. Crit. Care Med. 1996, 24, 392–397. [Google Scholar] [CrossRef] [PubMed]
- Traber, M.G.; Atkinson, J. Vitamin e, antioxidant and nothing more. Free Radic. Boil. Med. 2007, 43, 4–15. [Google Scholar] [CrossRef] [PubMed]
- Engin, K.N. Alpha-tocopherol: Looking beyond an antioxidant. Mol. Vis. 2009, 15, 855–860. [Google Scholar] [PubMed]
- Azzi, A.; Stocker, A. Vitamin e: Non-antioxidant roles. Prog. Lipid Res. 2000, 39, 231–255. [Google Scholar] [CrossRef]
- Rizvi, S.; Raza, S.T.; Ahmed, F.; Ahmad, A.; Abbas, S.; Mahdi, F. The role of vitamin e in human health and some diseases. Sult. Qaboos Univ. Med. 2014, 14, e157–e165. [Google Scholar]
- Oudemans-van Straaten, H.M.; Spoelstra-de Man, A.M.E.; de Waard, M.C. Vitamin c revisited. Crit. Care 2014, 18, 460. [Google Scholar] [CrossRef]
- Spoelstra-de Man, A.M.E.; Elbers, P.W.G.; Oudemans-van Straaten, H.M. Making sense of early high-dose intravenous vitamin c in ischemia/reperfusion injury. Crit. Care 2018, 22, 70. [Google Scholar] [CrossRef]
- Nutrition EFSA NDA Panel (EFSA Panel on Dietetic Products and Allergies). Scientific opinion on dietary reference values for vitamin e as alpha-tocopherol. EFSA J. 2015, 13, 4149. [Google Scholar] [CrossRef]
- Key, T.; Oakes, S.; Davey, G.; Moore, J.; Edmond, L.M.; McLoone, U.J.; Thurnham, D.I. Stability of vitamins a, c, and e, carotenoids, lipids, and testosterone in whole blood stored at 4 degrees c for 6 and 24 h before separation of serum and plasma. Cancer Epidemiol. Biomark. Prev. 1996, 5, 811–814. [Google Scholar]
- Levine, M.; Rumsey, S.C.; Daruwala, R.; Park, J.B.; Wang, Y. Criteria and recommendations for vitamin C intake. Jama 1999, 281, 1415–1423. [Google Scholar] [CrossRef] [PubMed]
- Nutrition EFSA Panel on Dietetic Products and Allergies (NDA). Scientific opinion on dietary reference values for vitamin C. EFSA J. 2013, 11, 3418. [Google Scholar] [CrossRef]
- German Nutrition Society (DGE). New reference values for vitamin C intake. Ann. Nutr. Metab. 2015, 67, 13–20. [Google Scholar] [CrossRef] [PubMed]
- Carr, A.C.; Rosengrave, P.C.; Bayer, S.; Chambers, S.; Mehrtens, J.; Shaw, G.M. Hypovitaminosis c and vitamin C deficiency in critically ill patients despite recommended enteral and parenteral intakes. Crit. Care 2017, 21, 300. [Google Scholar] [CrossRef] [PubMed]
- Vincent, J.L.; Moreno, R.; Takala, J.; Willatts, S.; De Mendonca, A.; Bruining, H.; Reinhart, C.K.; Suter, P.M.; Thijs, L.G. The sofa (sepsis-related organ failure assessment) score to describe organ dysfunction/failure. on behalf of the working group on sepsis-related problems of the european society of intensive care medicine. Intensive Care Med. 1996, 22, 707–710. [Google Scholar] [CrossRef]
- Ballmer, P.E.; Reinhart, W.H.; Jordan, P.; Bühler, E.; Moser, U.K.; Gey, K.F. Depletion of plasma vitamin C but not of vitamin e in response to cardiac operations. J. Thorac. Cardiovasc. Surg. 1994, 108, 311–320. [Google Scholar]
- Rodemeister, S.; Duquesne, M.; Adolph, M.; Nohr, D.; Biesalski, H.K.; Unertl, K. Massive and long-lasting decrease in vitamin C plasma levels as a consequence of extracorporeal circulation. Nutrition 2014, 30, 673–678. [Google Scholar] [CrossRef]
- Elke, G.; Hartl, W.H.; Kreymann, K.G.; Adolph, M.; Felbinger, T.W.; Graf, T.; de Heer, G.; Heller, A.R.; Kampa, U.; Mayer, K.; et al. DGEM-leitlinie: Klinische ernaehrung in der intensivmedizin. Aktuelle Ernaehrungsmedizin 2018, 43, 341–408. [Google Scholar] [CrossRef]
- Singer, P.; Blaser, A.R.; Berger, M.M.; Alhazzani, W.; Calder, P.C.; Casaer, M.; Hiesmayr, M.; Mayer, K.; Montejo, J.C.; Pichard, C.; et al. Espen guideline on clinical nutrition in the intensive care unit. Clin. Nutr. 2018, 38, 48–79. [Google Scholar] [CrossRef] [PubMed]
- McClave, S.A.; Taylor, B.E.; Martindale, R.G.; Warren, M.M.; Johnson, D.R.; Braunschweig, C.; McCarthy, M.S.; Davanos, E.; Rice, T.W.; Cresci, G.A.; et al. Society of Critical Care Medicine, American Society for Parenteral, and Enteral Nutrition. Guidelines for the provision and assessment of nutrition support therapy in the adult critically ill patient: Society of critical care medicine (SCCM) and american society for parenteral and enteral nutrition (A.S.P.E.N.). JPEN J. Parenter. Enter. Nutr. 2016, 40, 159–211. [Google Scholar] [CrossRef]
- Rael, L.T.; Bar-Or, R.; Salottolo, K.; Mains, C.W.; Slone, D.S.; Offner, P.J.; Bar-Or, D. Injury severity and serum amyloid a correlate with plasma oxidation-reduction potential in multi-trauma patients: A retrospective analysis. Scand. J. Trauma Resusc. Emerg. Med. 2009, 17, 57. [Google Scholar] [CrossRef] [PubMed]
- Bjugstad, K.B.; Rael, L.T.; Levy, S.; Carrick, M.; Mains, C.W.; Slone, D.S.; Bar-Or, D. Oxidation-reduction potential as a biomarker for severity and acute outcome in traumatic brain injury. Oxid. Med. Cell. Longev. 2016, 2016, 6974257. [Google Scholar] [CrossRef] [PubMed]
- Schmidt, A.E.; Gore, E.; Henrichs, K.F.; Conley, G.; Dorsey, C.; Bjugstad, K.B.; Refaai, M.A.; Blumberg, N.; Cholette, J.M. Oxidation reduction potential (ORP) is predictive of complications following pediatric cardiac surgery. Pediatr. Cardiol. 2017, 39, 299–306. [Google Scholar] [CrossRef] [PubMed]
- Rozemeijer, S.; Spoelstra-de Man, A.M.E.; Coenen, S.; Smit, B.; Elbers, P.W.G.; de Grooth, H.J.; Girbes, A.R.J.; Oudemans-van Straaten, H.M. Estimating vitamin C status in critically ill patients with a novel point-of-care oxidation-reduction potential measurement. Nutrients 2019, 11, 1031. [Google Scholar] [CrossRef] [PubMed]
- Charan, J.; Biswas, T. How to calculate sample size for different study designs in medical research? Indian J. Psychol. Med. 2013, 35, 121–126. [Google Scholar] [CrossRef] [PubMed]
- Faber, J.; Fonseca, L.M. How sample size influences research outcomes. Dent. Press J. Orthod. 2014, 19, 27–29. [Google Scholar] [CrossRef]
- Stoppe, C.; Ney, J.; Lomivorotov, V.V.; Efremov, S.M.; Benstoem, C.; Hill, A.; Nesterova, E.; Laaf, E.; Goetzenich, A.; McDonald, B.; et al. Prediction of prolonged icu stay in cardiac surgery patients as a useful method to identify nutrition risk in cardiac surgery patients: A post hoc analysis of a prospective observational influe. JPEN J. Parenter. Enter. Nutr. 2018. [Google Scholar] [CrossRef] [PubMed]
- Baker, W.L.; Coleman, C.I. Meta-analysis of ascorbic acid for prevention of postoperative atrial fibrillation after cardiac surgery. Am. J. Health-Syst. Pharm. 2016, 73, 2056–2066. [Google Scholar] [CrossRef] [PubMed]
- Polymeropoulos, E.; Bagos, P.; Papadimitriou, M.; Rizos, I.; Patsouris, E.; Toumpoulis, I. Vitamin C for the prevention of postoperative atrial fibrillation after cardiac surgery: A meta-analysis. Adv. Pharm. Bull. 2016, 6, 243. [Google Scholar] [CrossRef] [PubMed]
- Hemilae, H.; Suonsyrjae, T. Vitamin C for preventing atrial fibrillation in high risk patients: A systematic review and meta-analysis. BMC Cardiovasc. Disord. 2017, 17, 49. [Google Scholar] [CrossRef] [PubMed]
- Hu, X.; Yuan, L.; Wang, H.; Li, C.; Cai, J.; Hu, Y.; Ma, C. Efficacy and safety of vitamin C for atrial fibrillation after cardiac surgery: A meta-analysis with trial sequential analysis of randomized controlled trials. Int. J. Surg. 2017, 37, 58–64. [Google Scholar] [CrossRef] [PubMed]
- Shi, R.; Li, Z.H.; Chen, D.; Wu, Q.C.; Zhou, X.L.; Tie, H.T. Sole and combined vitamin C supplementation can prevent postoperative atrial fibrillation after cardiac surgery: A systematic review and meta-analysis of randomized controlled trials. Clin. Cardiol. 2018, 41, 871–878. [Google Scholar] [CrossRef] [PubMed]
- Ali-Hassan-Sayegh, S.; Mirhosseini, S.J.; Rezaeisadrabadi, M.; Dehghan, H.R.; Sedaghat-Hamedani, F.; Kayvanpour, E.; Popov, A.F.; Liakopoulos, O.J. Antioxidant supplementations for prevention of atrial fibrillation after cardiac surgery: An updated comprehensive systematic review and meta-analysis of 23 randomized controlled trials. Interact. Cardiovasc. Thorac. Surg. 2014, 18, 646–654. [Google Scholar] [CrossRef] [PubMed]
- Kumar, S.; Benjo, A.M.; Pamidimukala, C.K.; Javed, F.; Garcia, W.; Macedo, F.Y.; Garcia, D.C.; Santana, O.; Nascimeto, F.O.; Pierce, M.; et al. Vitamin C decreases atrial fibrillation in cardiac surgery patients but vitamin e may decrease response: A randomized-controlled trial meta-analysis. Circ. Cardiovasc. Qual. Outcomes 2013, 6 (Suppl. 1), A288. [Google Scholar]
- Langlois, P.L.; Manzanares, W.; Adhikari, N.K.J.; Lamontagne, F.; Stoppe, C.; Hill, A.; Heyland, D.K. Vitamin C supplementation in the critically ill: A systematic review and meta-analysis. JPEN J. Parenter. Enter. Nutr. 2018. [Google Scholar] [CrossRef] [PubMed]
- Hemilae, H.; Chalker, E. Vitamin C can shorten the length of stay in the icu: A meta-analysis. Nutrients 2019, 11, 708. [Google Scholar] [CrossRef]
- Wang, Y.; Lin, H.; Lin, B.W.; Lin, J.D. Effects of different ascorbic acid doses on the mortality of critically ill patients: A meta-analysis. Ann. Intensive Care 2019, 9, 58. [Google Scholar] [CrossRef]
- Li, J. Evidence is stronger than you think: A meta-analysis of vitamin C use in patients with sepsis. Crit. Care 2018, 22, 258. [Google Scholar] [CrossRef]
- Putzu, A.; Daems, A.M.; Lopez-Delgado, J.C.; Giordano, V.F.; Landoni, G. The effect of vitamin C on clinical outcome in critically ill patients: A systematic review with meta-analysis of randomized controlled trials. Crit. Care Med. 2019, 47, 774–783. [Google Scholar] [CrossRef] [PubMed]
- Lin, J.; Li, H.; Wen, Y.; Zhang, M. Adjuvant administration of vitamin C improves mortality of patients with sepsis and septic shock: A systems review and meta-analysis. Open J. Intern. Med. 2018, 8, 146. [Google Scholar] [CrossRef]







| Preoperative Vitamin C Status | Perioperative Loss of Vitamin C | |||||||
|---|---|---|---|---|---|---|---|---|
| Baseline Characteristic | N | <9 mg/L (N = 19) | ≥9 mg/L (N = 15) | p-value | N | ≥50% (N = 21) | <50% (N = 11) | p-value |
| Age in Years | 34 | 69 (62–75) | 72 (66–78) | 0.2816 | 32 | 72 (62–77) | 69 (64–71) | 0.2106 |
| Weight in kg | 34 | 75 (68–90) | 78 (68–96) | 0.7415 | 32 | 78 (68–95) | 80 (70–98) | 1.0000 |
| Height in m | 34 | 170 (163–177) | 170 (165–182) | 0.6144 | 32 | 169 (165–176) | 172 (163–180) | 0.6334 |
| BMI in kg/m2 | 34 | 26.9 (24–30.8) | 27.2 (23.5–29.3) | 0.9862 | 32 | 27.2 (23.5–29.7) | 26.1 (22.3–34.3) | 0.6198 |
| Duration of Surgery | 33 | 236.5 (181–278) | 198 (185–258) | 0.3855 | 211 (196–282) | 234 (163–277) | 0.6915 | |
| Duration of Aortic Cross Clamp | 33 | 67 (54–95) | 62 (47–68) | 0.1866 | 32 | 64 (50–75) | 62 (47–95) | 0.8117 |
| Duration of CPB | 33 | 123.5 (86–171) | 102 (83–116) | 0.1930 | 32 | 104 (85–123) | 124 (79–171) | 0.7062 |
| Sex (Female) | 34 | 8 (42%) | 5 (33%) | 0.7282 | 32 | 7 (33%) | 5 (45%) | 0.7026 |
| Heart Failure * | 34 | 4 (21%) | 1 (7%) | 0.3547 | 32 | 2 (10%) | 2 (18%) | 0.5932 |
| EuroScore | 7 | 7.1 (4.5–9.6) | 6.6 (6.5–18.4) | 0.5959 | 6 | 7.7 (5.8–13.7) | 7 (3.7–10.3) | 0.8170 |
| EF% | 21 | 50.5 (38.3–60.5) | 56 (50–61) | 0.2697 | 19 | 56.5 (49.5–61.5) | 56 (39–64) | 0.4714 |
| Type of Surgery | 34 | 0.7886 | 32 | 0.2445 | ||||
| Valve | 6 (31.6%) | 5 (33.3%) | 7 (33.3%) | 2 (18.2%) | ||||
| CABG | 10 (52.6%) | 9 (60.0%) | 13 (61.9%) | 6 (54.6%) | ||||
| Combined/Other | 3 (15.8%) | 1 (6.7%) | 1 (4.8%) | 3 (27.3%) | ||||
| Sample | Variable | N | 20th Pctl | Lower Quartile | 40th Pctl | Median | 60th Pctl | Upper Quartile | 80th Pctl |
|---|---|---|---|---|---|---|---|---|---|
| With protein | Pre-OP Vit C in mg/L | 17 | 2.3 | 2.58 | 3.56 | 3.73 | 4.1 | 5.49 | 6.4 |
| Loss of Vit C in % | 16 | 13 | 21 | 39 | 50 | 69 | 85 | 100 | |
| Individual slope of Vit C | 17 | −0.85 | −0.78 | −0.55 | −0.4 | −0.04 | −0.02 | −0.02 | |
| Without protein | Pre-OP Vit C in mg/L | 34 | 3 | 3.5 | 5.7 | 6.45 | 9.4 | 11.5 | 12.1 |
| Loss of Vit C in % | 32 | 35 | 39 | 57 | 64 | 66 | 69 | 71 | |
| Individual slope of Vit C | 34 | −1.96 | −1.88 | −1.5 | −1.1 | −0.67 | −0.4 | −0.23 |
| Spearman rho | Pre-OP | Post-OP | ICU Admission | 24 h | 48 h | Mean | p-Value |
|---|---|---|---|---|---|---|---|
| IL6 | −0.018 | 0.024 | 0.055 | −0.152 | −0.529 | −0.11515 | −0.115 |
| IL10 | −0.2381 | −0.52382 | −0.00606 | −0.19453 | −0.54269 | −0.12727 | −0.127 |
| Preoperative Vitamin C Status | Perioperative Loss of Vitamin C | |||||||
|---|---|---|---|---|---|---|---|---|
| Outcome | N | <9 mg/L (N = 19) | ≥9 mg/L (N = 15) | p-Value | N | ≥50% (N = 21) | < 50% (N = 11) | p-Value |
| Duration of Mech. Ventilation in Hours | 30 | 10.1 (6.4–17.6) | 10.6 (8.5–12.2) | 0.9337 | 29 | 10.8 (7.3–13.8) | 9.8 (6.5–16) | 0.9624 |
| Cumulative Post-OP Norepinephrine in µ/kg | 34 | 1 (0.6–3.0) | 0.8 (0.3–1.9) | 0.2981 | 32 | 1.0 (0.6–1.9) | 1.1 (0.6–6.1) | 0.4509 |
| Cumulative Post-OP Adrenaline in µ/kg | 3 | 9.1 (4.2–14.1) | 14.1 (14.1–14.1) | 0.5403 | 3 | 14.1 (14.1–14.1) | 9.1 (4.2–14.1) | 0.5403 |
| Net Fluid Balance 72 h Post-OP in mL | 25 | 3119 (1930–3959) | 3963 (2191–4750) | 0.722 | 24 | 3959 (2191–4750) | 3101 (2782–3376) | 0.7656 |
| Delir | 33 | 4 (22%) | 1 (7%) | 0.3457 | 32 | 2 (10%) | 3 (27%) | 0.3098 |
| ARDS | 33 | 0 (0%) | 0 (0%) | 32 | 0 (0%) | 0 (0%) | ||
| Stroke | 33 | 1(6%) | 0 (0%) | 1.0000 | 32 | 1 (5%) | 0 (0%) | 1.0000 |
| AF | 33 | 5 (28%) | 3 (20%) | 0.6992 | 32 | 5 (24%) | 3 (27%) | 1.0000 |
| Acute Kidney Injury | 33 | 3 (17%) | 2 (13%) | 1.0000 | 32 | 2 (10%) | 3 (27%) | 0.3098 |
| Acute Dialysis | 33 | 1 (6%) | 1 (7%) | 1.0000 | 32 | 1 (5%) | 1 (9%) | 1.0000 |
| Infection | 33 | 4 (22%) | 1 (7%) | 0.3457 | 32 | 2 (10%) | 3 (27%) | 0.3098 |
| Preoperative Vitamin C Status | Perioperative Loss of Vitamin C | |||||||
|---|---|---|---|---|---|---|---|---|
| Outcome | N | <9 mg/L (N = 19) | ≥9 mg/L (N = 15) | p-Value | N | ≥50% (N = 21) | < 50% (N = 11) | p-Value |
| ICU Stay in Hours | 32 | 135 (60–149) | 72 (28–147) | 0.199 | 31 | 75 (45–149) | 129 (74–141) | 0.3524 |
| Hospital Stay in Days | 32 | 9 (7–13) | 8 (7–13) | 0.5168 | 31 | 8 (7–13) | 10.5 (9–13) | 0.2943 |
| 30-Day Mortality | 34 | 2 (11%) | 0 (0%) | 0.492 | 31 | 0 (0%) | 1 (9%) | 0.3437 |
© 2019 by the authors. Licensee MDPI, Basel, Switzerland. This article is an open access article distributed under the terms and conditions of the Creative Commons Attribution (CC BY) license (http://creativecommons.org/licenses/by/4.0/).
Share and Cite
Hill, A.; Borgs, C.; Fitzner, C.; Stoppe, C. Perioperative Vitamin C and E levels in Cardiac Surgery Patients and Their Clinical Significance. Nutrients 2019, 11, 2157. https://doi.org/10.3390/nu11092157
Hill A, Borgs C, Fitzner C, Stoppe C. Perioperative Vitamin C and E levels in Cardiac Surgery Patients and Their Clinical Significance. Nutrients. 2019; 11(9):2157. https://doi.org/10.3390/nu11092157
Chicago/Turabian StyleHill, Aileen, Christina Borgs, Christina Fitzner, and Christian Stoppe. 2019. "Perioperative Vitamin C and E levels in Cardiac Surgery Patients and Their Clinical Significance" Nutrients 11, no. 9: 2157. https://doi.org/10.3390/nu11092157
APA StyleHill, A., Borgs, C., Fitzner, C., & Stoppe, C. (2019). Perioperative Vitamin C and E levels in Cardiac Surgery Patients and Their Clinical Significance. Nutrients, 11(9), 2157. https://doi.org/10.3390/nu11092157

