Prevalence of Overweight and Obesity among European Preschool Children: A Systematic Review and Meta-Regression by Food Group Consumption
Abstract
1. Introduction
2. Materials and Methods
2.1. Data Sources and Searches
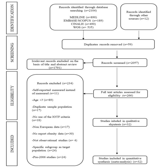
2.2. Study Selection
2.3. Evaluation of Food Consumption
2.4. Data Extraction and Quality Assessment
2.5. Statistical Analysis
3. Results
3.1. Study Selection and Characteristics
3.2. Risk of Bias
3.3. Data Synthesis
3.4. Meta-Regression
4. Discussion
Limitations
5. Conclusions
Supplementary Materials
Author Contributions
Funding
Conflicts of Interest
References
- Ng, M.; Fleming, T.; Robinson, M.; Thomson, B.; Graetz, N.; Margono, C.; Mullany, E.C.; Biryukov, S.; Abbafati, C.; Abera, S.F.; et al. Global, regional, and national prevalence of overweight and obesity in children and adults during 1980–2013: A systematic analysis for the Global Burden of Disease Study 2013. Lancet 2014, 384, 766–781. [Google Scholar] [CrossRef]
- De Onis, M.; Blössner, M.; Borghi, E. Global prevalence and trends of overweight and obesity among preschool children. Am. J. Clin. Nutr. 2010, 92, 1257–1264. [Google Scholar] [CrossRef] [PubMed]
- Wijnhoven, T.M.; van Raaij, J.M.; Spinelli, A.; Starc, G.; Hassapidou, M.; Spiroski, I.; Rutter, H.; Martos, É.; Rito, A.I.; Hovengen, R.; et al. WHO European Childhood Obesity Surveillance Initiative: Body mass index and level of overweight among 6–9-year-old children from school year 2007/2008 to school year 2009/2010. BMC Public Health 2014, 14, 806. [Google Scholar] [CrossRef] [PubMed]
- Wijnhoven, T.M.; van Raaij, J.M.; Spinelli, A.; Rito, A.I.; Hovengen, R.; Kunesova, M.; Starc, G.; Rutter, H.; Sjöberg, A.; Petrauskiene, A.; et al. WHO European Childhood Obesity Surveillance Initiative 2008: Weight, height and body mass index in 6–9-year-old children. Pediatric Obes. 2013, 8, 79–97. [Google Scholar] [CrossRef] [PubMed]
- Deshmukh-Taskar, P.; Nicklas, T.A.; Morales, M.; Yang, S.J.; Zakeri, I.; Berenson, G.S. Tracking of overweight status from childhood to young adulthood: The Bogalusa Heart Study. Eur. J. Clin. Nutr. 2006, 60, 48–57. [Google Scholar] [CrossRef] [PubMed]
- Tsiros, M.D.; Olds, T.; Buckley, J.D.; Grimshaw, P.; Brennan, L.; Walkley, J.; Hills, A.P.; Howe, P.R.; Coates, A.M. Health-related quality of life in obese children and adolescents. Int. J. Obes. 2009, 33, 387–400. [Google Scholar] [CrossRef] [PubMed]
- Orsi, C.M.; Hale, D.E.; Lynch, J.L. Pediatric obesity epidemiology. Curr. Opin. Endocrinol. Diabetes Obes. 2011, 18, 14–22. [Google Scholar] [CrossRef] [PubMed]
- Torrijos-Niño, C.; Martínez-Vizcaíno, V.; Pardo-Guijarro, M.J.; García-Prieto, J.C.; Arias-Palencia, N.M. Physical fitness, obesity, and academic achievement in schoolchildren. J. Pediatr. 2014, 165, 104–109. [Google Scholar] [CrossRef] [PubMed]
- Moreno, L.A.; Pigeot, I.; Ahrens, W. Childhood obesity: Etiology-synthesis part II. In Epidemiology of Obesity in Children and Adolescents. Prevalence and Etiology; Ahrens, W., Moreno, L.A., Eds.; Springer: London, UK, 2011. [Google Scholar]
- Flegal, K.M.; Kit, B.K.; Orpana, H.; Graubard, B.I. Association of all-cause mortality with overweight and obesity using standard body mass index categories: A systematic review and meta-analysis. JAMA 2013, 309, 71–82. [Google Scholar] [CrossRef] [PubMed]
- Grosso, G.; Galvano, F. Mediterranean diet adherence in children and adolescents in southern European countries. NFS J. 2016, 3, 13–19. [Google Scholar] [CrossRef]
- Hruby, A.; Hu, F.B. The Epidemiology of Obesity: A Big Picture. Pharmacoeconomics 2015, 33, 673–689. [Google Scholar] [CrossRef] [PubMed]
- Martinez, J.A.; Kearney, J.M.; Kafatos, A.; Paquet, S.; Martinez-Gonzalez, M.A. Variables independently associated with self-reported obesity in the European Union. Public Health Nutr. 1999, 2, 125–133. [Google Scholar] [CrossRef] [PubMed]
- Yngve, A.; De Bourdeaudhuij, I.; Wolf, A.; Grjibovski, A.; Brug, J.; Due, P.; Ehrenblad, B.; Elmadfa, I.; Franchini, B.; Klepp, K.I.; et al. Differences in revalence of overweight and stunting in 11-year olds across Europe: The Pro Children Study. Eur. J. Public Health 2008, 18, 126–130. [Google Scholar] [CrossRef] [PubMed]
- Moher, D.; Liberati, A.; Tetzlaff, J.; Altman, D.G.; Group, P. Preferred reporting items for systematic reviews and meta-analyses: The PRISMA statement. J. Clin. Epidemiol. 2009, 62, 1006–1012. [Google Scholar] [CrossRef] [PubMed]
- Cochrane Handbook for Systematic Reviews of Interventions. Available online: http:/handbook.cochrane.org (accessed on 26 December 2018).
- Cole, T.J.; Bellizzi, M.C.; Flegal, K.M.; Dietz, W.H. Establishing a standard definition for child overweight and obesity worldwide: International survey. BMJ 2000, 320, 1240–1243. [Google Scholar] [CrossRef] [PubMed]
- Cole, T.J.; Lobstein, T. Extended international (IOTF) body mass index cut-offs for thinness, overweight and obesity. Pediatr. Obes. 2012, 7, 284–294. [Google Scholar] [CrossRef] [PubMed]
- European Food Safety Authority. Use of the EFSA Comprehensive European Food Consumption Database in Exposure Assessment; EFSA: Parma, Italy, 2011. [Google Scholar]
- Merten, C.; Ferrari, P.; Bakker, M.; Boss, A.; Hearty, A.; Leclercq, C.; Lindtner, O.; Tlustos, C.; Verger, P.; Volatier, J.L.; et al. Methodological characteristics of the national dietary surveys carried out in the European Union as included in the European Food Safety Authority (EFSA) Comprehensive European Food Consumption Database. Food Addit. Contam. Part A Chem. Anal. Control. Expos. Risk Assess. 2011, 28, 975–995. [Google Scholar] [CrossRef] [PubMed]
- Huybrechts, I.; Matthys, C.; Bellemans, M.; de Maeyer, M.; de Henauw, S. Flanders diet survey in Preschool children: Rationale, aims, design, methods and population characteristics. Arch. Public Health 2008, 66, 5–26. [Google Scholar]
- Petrova, S.; Ovcharova, D.; Rangelova, L.; Duleva, V.; Angelova, K.; Kalinov, K.; Dimitrov, P.; Bojilova, D.; Baikova, D.; Vatralova, K.; et al. National Survey on Nutrition of Infants and Children under 5 years and Family Child Rearing. A Report for UNICEF Bulgaria. NCPHP; 2009; pp. 1–361. Available online: http://ncphp.government.bg/index.php?lang=bg (accessed on 25 December 2018).
- Ruprich, J.; Dofkova, M.; Rehurkova, I.; Slamenikova, E. Resova d Individual Food Consumption—the National Study SISP04 Prague: Institute of Public Health. Available online: http://www.chpr.szu.cz/spotrebapotravin.htm (accessed on 28 December 2018).
- National Institute for Health Development (Estonia); Nurk, E.; Nelis, K.; Saamel, M.; Martverk, M.; Jõeleht, A.; Nelis, L. National Dietary Survey among Children up to Ten Years Old and Breastfeeding Mothers in Estonia; EFSA Supporting Publication: Estonia, 2017; Volume 14, pp. 1–25. [Google Scholar]
- Räsänen, M.; Kronberg-Kippilä, C.; Ahonen, S.; Uusitalo, L.; Kautiainen, S.; Erkkola, M.; Veijola, R.; Knip, M.; Kaila, M.; Virtanen, S.M. Intake of vitamin D by Finnish children aged 3 months to 3 years in relation to sociodemographic factors. Eur. J. Clin. Nutr. 2006, 60, 1317–1322. [Google Scholar] [CrossRef]
- Agence Française de Sécurité Sanitaire des Aliments. Evolution des Habitudes et Modes de Consommation, de Nouveaux Enjeux en Matière de Sécurité Sanitaire et de Nutrition (INCA 3). 2014/2015. Available online: https://www.anses.fr/fr/content/inca-3-evolution-des-habitudes-et-modes-de-consommation-de-nouveaux-enjeux-en-mati%C3%A8re-de (accessed on 6 January 2019).
- Kroke, A.; Manz, F.; Kersting, M.; Remer, T.; Sichert-Hellert, W.; Alexy, U.; Lentze, M.J. The DONALD Study. History, current status and future perspectives. Eur. J. Nutr. 2004, 43, 45–54. [Google Scholar] [CrossRef]
- Linardakis, M.; Sarri, K.; Pateraki, M.S.; Sbokos, M.; Kafatos, A. Sugar-added beverages consumption among kindergarten children of Crete: Effects on nutritional status and risk of obesity. BMC Public Health 2008, 8, 279. [Google Scholar] [CrossRef] [PubMed]
- Leclercq, C.; Arcella, D.; Piccinelli, R.; Sette, S.; le Donne, C.; Turrini, A.; INRAN-SCAI 2005-06 Study Group. The Italian National Food Consumption Survey INRAN-SCAI 2005-06: Main results in terms of food consumption. Public Health Nutr. 2009, 12, 2504–2532. [Google Scholar] [CrossRef] [PubMed]
- Institute of Food Safety; Animal Health and Environment BIOR; Siksna, I.; Valciņa, O.; Ozoliņš, G.; Goldmanis, M. Latvian National Dietary Survey on the General Population; EFSA Supporting Publication: Latvia, 2017; p. 23. [Google Scholar]
- Sekula, W.; Nelson, M.; Figurska, K.; Oltarzewski, M.; Weisell, R.; Szponar, L. Comparison between household budget survey and 24-hour recall data in a nationally representative sample of Polish households. Public Health Nutr. 2005, 8, 430–439. [Google Scholar] [CrossRef] [PubMed]
- Lopes, C.; Torres, D.; Oliveira, A.; Severo, M.; Guiomar, S.; Alarcao, V.; Ramos, E.; Rodrigues, S.; Vilela, S.; Oliveira, L.; et al. National Food, Nutrition, and Physical Activity Survey of the Portuguese General Population (2015–2016): Protocol for Design and Development. JMIR Res. Protoc. 2018, 7, e42. [Google Scholar] [CrossRef] [PubMed]
- Marcos Suarez, V.; Rubio Mañas, J.; Sanchidrián Fernández, R.; Robledo de Dios, T. Spanish National Dietary Survey on Children and Adolescents; EFSA Supporting Publications: Spain, 2015. [Google Scholar]
- Enghardt Barbieri, H.; Pearson, M.; Becker, W. Riksmaten Barn 2003: Livsmedels—och Na¨ringsintag Bland Barn i Sverige [Riksmaten Children 2003: Dietary Habits and Nutrient Intake in Swedish Children]; National Food Administration: Uppsala, Sweden, 2006.
- Ocke´, M.C.; van Rossum, C.T.M.; Fransen, H.P.; Buurma-Rethans, E.J.M.; de Boer, E.J.; Brants, H.A.M.; Niekerk, E.M.; van der Laan, J.D.; Drijvers, J.J.M.M.; Ghameshlou, Z. Dutch National Food Consumption Survey Young Children 2005/2006; RIVM-Report 350030002; National Institute for Public Health and the Environmental: Bilthoven, The Netherlands, 2008. Available online: https://www.rivm.nl/bibliotheek/rapporten/350070001.html. (accessed on 2 February 2019).
- Bates, B.; Lennox, A.; Swan, G. National Diet and Nutrition Survey; Headline Results from Year 1 of the Rolling Programme. 2010. Available online: https://www.gov.uk/government/statistics/national-diet-and-nutrition-survey-headline-results-from-years-1-2-and-3-combined-of-the-rolling-programme-200809-201011 (accessed on 2 February 2019).
- Munn, Z.; Moola, S.; Riitano, D.; Lisy, K. The development of a critical appraisal tool for use in systematic reviews addressing questions of prevalence. Int. J. Health Policy Manag. 2014, 3, 123–128. [Google Scholar] [CrossRef] [PubMed]
- Leonard, T.; Duffy, J.C. A Bayesian fixed effects analysis of the Mantel-Haenszel model applied to meta-analysis. Stat. Med. 2002, 21, 2295–2312. [Google Scholar] [CrossRef] [PubMed]
- DerSimoniana, R.; Kacke, R. Random-effects model for meta-analysis of clinical trials: An update. Contemp. Clin. Trials 2007, 28, 105–114. [Google Scholar] [CrossRef] [PubMed]
- Higgins, J.; Thompson, S.G. Quantifying heterogeneity in a meta-analysis. Stat. Med. 2002, 21, 1539–1558. [Google Scholar] [CrossRef]
- Higgins, J.P.; Altman, D.G.; Gøtzsche, P.C.; Jüni, P.; Moher, D.; Oxman, A.D.; Savovic, J.; Schulz, K.F.; Weeks, L.; Sterne, J.A.; et al. The Cochrane Collaboration’s tool for assessing risk of bias in randomised trials. BMJ 2011, 343, d5928. [Google Scholar] [CrossRef]
- Ahrens, W.; Pigeot, I.; Pohlabeln, H.; de Henauw, S.; Lissner, L.; Molnár, D.; Moreno, L.A.; Tornaritis, M.; Veidebaum, T.; Siani, A.; et al. Prevalence of overweight and obesity in European children below the age of 10. Int. J. Obes. 2014, 38, S99–S107. [Google Scholar] [CrossRef]
- Ahrens, W.; Siani, A.; Adan, R.; de Henauw, S.; Eiben, G.; Gwozdz, W.; Hebestreit, A.; Hunsberger, M.; Kaprio, J.; Krogh, V.; et al. Cohort Profile: The transition from childhood to adolescence in European children-how I.Family extends the IDEFICS cohort. Int. J. Epidemiol. 2017, 46, 1394–1395j. [Google Scholar] [CrossRef] [PubMed]
- Lehto, R.; Mäki, P.; Ray, C.; Laatikainen, T.; Roos, E. Childcare use and overweight in Finland: Cross-sectional and retrospective associations among 3- and 5-year-old children. Pediatr. Obes. 2016, 11, 136–143. [Google Scholar] [CrossRef] [PubMed]
- Lioret, S.; Touvier, M.; Dubuisson, C.; Dufour, A.; Calamassi-Tran, G.; Lafay, L.; Volatier, J.L.; Maire, B. Trends in child overweight rates and energy intake in France from 1999 to 2007: Relationships with socioeconomic status. Obesity 2009, 17, 1092–1100. [Google Scholar] [CrossRef] [PubMed]
- Thibault, H.; Carriere, C.; Langevin, C.; Kossi Déti, E.; Barberger-Gateau, P.; Maurice, S. Prevalence and factors associated with overweight and obesity in French primary-school children. Public Health Nutr. 2013, 16, 193–201. [Google Scholar] [CrossRef] [PubMed]
- Smpokos, E.A.; Linardakis, M.; Papadaki, A.; Kafatos, A. Secular changes in anthropometric measurements and blood pressure in children of Crete, Greece, during 1992/93 and 2006/07. Prev. Med. 2011, 52, 213–217. [Google Scholar] [CrossRef] [PubMed]
- Kleanthous, K.; Dermitzaki, E.; Papadimitriou, D.T.; Papaevangelou, V.; Papadimitriou, A. Overweight and obesity decreased in Greek schoolchildren from 2009 to 2012 during the early phase of the economic crisis. Acta Paediatr. 2016, 105, 200–205. [Google Scholar] [CrossRef] [PubMed]
- Pikramenou, V.; Dimitraki, D.; Zoumpoulakis, M.; Verykouki, E.; Kotsanos, N. Association between dental caries and body mass in preschool children. Eur. Arch. Paediatr. Dent. 2016, 17, 171–175. [Google Scholar] [CrossRef] [PubMed]
- Barron, C.; Comiskey, C.; Saris, J. Prevalence rates and comparisons of obesity levels in Ireland. Br. J. Nurs. 2009, 18, 799–803. [Google Scholar] [CrossRef] [PubMed][Green Version]
- Toselli, S.; Zaccagni, L.; Celenza, F.; Albertini, A.; Gualdi-Russo, E. Risk factors of overweight and obesity among preschool children with different ethnic background. Endocrine 2015, 49, 717–725. [Google Scholar] [CrossRef] [PubMed]
- Bac, A.; Woźniacka, R.; Matusik, S.; Golec, J.; Golec, E. Prevalence of overweight and obesity in children aged 6-13 years-alarming increase in obesity in Cracow, Poland. Eur. J. Pediatr. 2012, 171, 245–251. [Google Scholar] [CrossRef]
- Kowal, M.; Kryst, Ł.; Woronkowicz, A.; Sobiecki, J. Long-term changes in body composition and prevalence of overweight and obesity in girls (aged 3–18 years) from Kraków (Poland) from 1983, 2000 and 2010. Ann. Hum. Biol. 2014, 4, 415–427. [Google Scholar] [CrossRef] [PubMed]
- Kułaga, Z.; Gurzkowska, B.; Grajda, A.; Wojtyło, M.; Góźdź, M.; Litwin, M. The prevalence of overweight and obesity among Polish pre-school-aged children. Dev. Period Med. 2016, 20, 143–149. [Google Scholar] [PubMed]
- Merkiel, S.; Chalcarz, W. Preschool diets in children from Piła, Poland, require urgent intervention as implied by high risk of nutrient inadequacies. J. Health Popul. Nutr. 2016, 35, 11. [Google Scholar] [CrossRef] [PubMed]
- Bingham, D.D.; Varela-Silva, M.I.; Ferrão, M.M.; Augusta, G.; Mourão, M.I.; Nogueira, H.; Marques, V.R.; Padez, C. Socio-demographic and behavioral risk factors associated with the high prevalence of overweight and obesity in Portuguese children. Am. J. Hum. Biol. 2013, 25, 733–742. [Google Scholar] [CrossRef] [PubMed]
- Vale, S.; Trost, S.; Ruiz, J.J.; Rêgo, C.; Moreira, P.; Mota, J. Physical activity guidelines and preschoolerߣs obesity status. Int. J. Obes. 2013, 37, 1352–1355. [Google Scholar] [CrossRef] [PubMed]
- da Saúde, M.; Instituto Nacional de Saúde Doutor Ricardo Jorge, e outro. Childhood Obesity Surveillance Initiative: COSI Portugal 2013/ Instituto Nacional de Saúde Doutor Ricardo Jorge, Direcção-Geral da Saúde; Rito A, Graça P—Lisboa, IP. 2015. Available online: http://repositorio.insa.pt/bitstream/10400.18/3108/3/Relatorio_COSI_Portugal_2013.pdf (accessed on 20 December 2018).
- Silva-Santos, S.; Santos, A.; Vale, S.; Mota, J. Motor fitness and preschooler children obesity status. J. Sports Sci. 2017, 35, 1704–1708. [Google Scholar] [CrossRef] [PubMed]
- Barbu, C.G.; Teleman, M.D.; Albu, A.I.; Sirbu, A.E.; Martin, S.C.; Bancescu, A.; Fica, S.V. Obesity and eating behaviors in school children and adolescents—data from a cross sectional study from Bucharest, Romania. BMC Public Health 2015, 15, 206. [Google Scholar] [CrossRef]
- Djordjic, V.; Radisavljevic, S.; Milanovic, I.; Bozic, P.; Grbic, M.; Jorga, J.; Ostojic, S.M. WHO European Childhood Obesity Surveillance Initiative in Serbia: A prevalence of overweight and obesity among 6-9-year-old school children. J. Pediatr. Endocrinol. Metab. 2016, 29, 1025–1030. [Google Scholar] [CrossRef]
- García García, E.; Vázquez López, M.Á.; Galera Martínez, R.; Alias, I.; Martín González, M.; Bonillo Perales, A.; Cabrera Sevilla, J.E.; García Escobar, I.; Gómez Bueno, S.; López Ruzafa, E.; et al. Prevalence of overweight and obesity in children and adolescents aged 2-16 years. Endocrinol. Nutr. 2013, 60, 121–126. [Google Scholar] [CrossRef]
- González García, A.; Álvarez Bueno, C.; Lucas de la Cruz, L.; Sánchez López, M.; Solera Martínez, M.; Díez Fernández, A.; Martínez Vizcaíno, V. Prevalence of thinness, overweight and obesity among 4-to-6-year-old spanish schoolchildren in 2013, situation in the European context. Nutr. Hosp. 2015, 32, 1476–1482. [Google Scholar]
- Gómez Santos, S.F.; Estévez Santiago, R.; Palacios Gil-Antuñano, N.; Leis Trabazo, M.R.; Tojo Sierra, R.; Cuadrado Vives, C.; Beltrán de Miguel, B.; Ávila Torres, J.M.; Varela Moreiras, G.; Casas Esteve, R. THAO-CHILD health programme: Community based intervention for healthy lifestyles promotion to children and families: Results of a cohort study. Nutr. Hosp. 2015, 32, 2584–2587. [Google Scholar] [PubMed]
- Garmy, P.; Clausson, E.K.; Nyberg, P.; Jakobsson, U. Overweight and television and computer habits in Swedish school-age children and adolescents: A cross-sectional study. Nurs. Health Sci. 2014, 16, 143–148. [Google Scholar] [CrossRef] [PubMed]
- Jeannot, E.; Mahler, P.; Duperrex, O.; Chastonay, P. Evolution of overweight and obesity among elementary school children in Geneva. Swiss Med. Wkly. 2010, 140, w13040. [Google Scholar] [CrossRef] [PubMed]
- Jeannot, E.; Mahler, P.; Elia, N.; Cerruti, B.; Chastonnay, P. Sociodemographic and Economic Determinants of Overweight and Obesity for Public-school Children in Geneva State, Switzerland: A Cross-sectional Study. Int. J. Prev. Med. 2015, 6, 39. [Google Scholar] [CrossRef] [PubMed]
- De Wilde, J.A.; van Dommelen, P.; Middelkoop, B.J.; Verkerk, P.H. Trends in overweight and obesity prevalence in Dutch, Turkish, Moroccan and Surinamese South Asian children in The Netherlands. Arch. Dis. Child. 2009, 94, 795–800. [Google Scholar] [CrossRef] [PubMed]
- Schönbeck, Y.; Talma, H.; van Dommelen, P.; Bakker, B.; Buitendijk, S.E.; Hirasing, R.A.; van Buuren, S. Increase in prevalence of overweight in Dutch children and adolescents: A comparison of nationwide growth studies in 1980, 1997 and 2009. PLoS ONE 2011, 6, e27608. [Google Scholar] [CrossRef] [PubMed]
- Senol, V.; Unalan, D.; Bayat, M.; Mazicioglu, M.M.; Ozturk, A.; Kurtoglu, S. Change in reference body mass index percentiles and deviation in overweight and obesity over 3 years in Turkish children and adolescents. J. Pediatr. Endocrinol. Metab. 2014, 27, 1121–1129. [Google Scholar] [CrossRef] [PubMed]
- Basterfield, L.; Jones, A.R.; Parkinson, K.N.; Reilly, J.; Pearce, M.S.; Reilly, J.J.; Adamson, A.J. Gateshead Millennium Study Core Team. Physical activity, diet and BMI in children aged 6-8 years: A cross-sectional analysis. BMJ Open 2014, 4, e005001. [Google Scholar] [CrossRef]
- Kumanyika, S.K. Environmental influences on childhood obesity: Ethnic and cultural influences in context. Physiol. Behav. 2008, 94, 61–70. [Google Scholar] [CrossRef]
- Wisniewski, A.B.; Chernausek, S.D. Gender in childhood obesity: Family environment, hormones, and genes. Gend. Med. 2009, 6, 76–85. [Google Scholar] [CrossRef]
- Lovejoy, J.C.; Sainsbury, A. Stock Conference 2008 Working Group. Sex differences in obesity and the regulation of energy homeostasis. Obes. Rev. 2009, 10, 154–167. [Google Scholar] [CrossRef] [PubMed]
- Kuczmarski, R.J.; Ogden, C.L.; Grummer-Strawn, L.M.; Flegal, K.M.; Guo, S.S.; Wei, R.; Mei, Z.; Curtin, L.R.; Roche, A.F.; Johnson, C.L. CDC growth charts: United States. Adv. Data 2000, 8, 1–27. [Google Scholar]
- WHO Multicentre Growth Reference Study Group. WHO child growth standards based on length/height, weight and age. Acta. Paediatr. Suppl. 2006, 450, 76–85. [Google Scholar]






© 2019 by the authors. Licensee MDPI, Basel, Switzerland. This article is an open access article distributed under the terms and conditions of the Creative Commons Attribution (CC BY) license (http://creativecommons.org/licenses/by/4.0/).
Share and Cite
Garrido-Miguel, M.; Oliveira, A.; Cavero-Redondo, I.; Álvarez-Bueno, C.; Pozuelo-Carrascosa, D.P.; Soriano-Cano, A.; Martínez-Vizcaíno, V. Prevalence of Overweight and Obesity among European Preschool Children: A Systematic Review and Meta-Regression by Food Group Consumption. Nutrients 2019, 11, 1698. https://doi.org/10.3390/nu11071698
Garrido-Miguel M, Oliveira A, Cavero-Redondo I, Álvarez-Bueno C, Pozuelo-Carrascosa DP, Soriano-Cano A, Martínez-Vizcaíno V. Prevalence of Overweight and Obesity among European Preschool Children: A Systematic Review and Meta-Regression by Food Group Consumption. Nutrients. 2019; 11(7):1698. https://doi.org/10.3390/nu11071698
Chicago/Turabian StyleGarrido-Miguel, Miriam, Andreia Oliveira, Iván Cavero-Redondo, Celia Álvarez-Bueno, Diana P Pozuelo-Carrascosa, Alba Soriano-Cano, and Vicente Martínez-Vizcaíno. 2019. "Prevalence of Overweight and Obesity among European Preschool Children: A Systematic Review and Meta-Regression by Food Group Consumption" Nutrients 11, no. 7: 1698. https://doi.org/10.3390/nu11071698
APA StyleGarrido-Miguel, M., Oliveira, A., Cavero-Redondo, I., Álvarez-Bueno, C., Pozuelo-Carrascosa, D. P., Soriano-Cano, A., & Martínez-Vizcaíno, V. (2019). Prevalence of Overweight and Obesity among European Preschool Children: A Systematic Review and Meta-Regression by Food Group Consumption. Nutrients, 11(7), 1698. https://doi.org/10.3390/nu11071698
