A Modified Holder Pasteurization Method for Donor Human Milk: Preliminary Data
Abstract
1. Introduction
2. Materials and Methods
2.1. Study Design
- Currently smokes or uses nicotine replacement therapy;
- Is using, or has recently used, recreational drugs;
- Regularly exceeds recommended alcohol levels for breastfeeding mothers (30–40 mL of spirits, 100 mL of wine, and 200 mL of beer);
- Previously has, or actually is, tested positive for HIV 1 or 2, hepatitis B or C, human T-lymphotropic virus (HTLV) type I or II, or syphilis;
- Has active tuberculosis;
- Six months before donating had unprotected sexual intercourses, blood transfusion, or transplantation or underwent tattoo, piercing, or acupuncture not performed by disposable tools;
- Takes any medication that could represent a risk to the infant’s health;
- Gave a milk sample contaminated.
2.2. Nutritional Analysis
2.3. Microbiological Analysis
2.4. Ethics
2.5. Statistical Analysis
3. Results
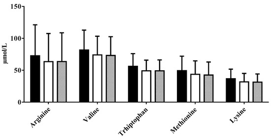
3.1. Nutritional Profile
3.2. Microbiological Profile
4. Discussion
Author Contributions
Funding
Acknowledgments
Conflicts of Interest
References
- American Academy of Pediatrics. Breastfeeding and the use of human milk. Pediatrics 2012, 129, 827–841. [Google Scholar] [CrossRef] [PubMed]
- Gartner, L.M.; Morton, J.; Lawrence, R.A.; Naylor, A.J.; O’Hare, D.; Schanler, R.J.; Eidelman, A.I. Breastfeeding and the use of human milk. Pediatrics 2005, 115, 496–506. [Google Scholar] [PubMed]
- WHO; UNICEF. Ten steps to successful breastfeeding. In WHO/UNICEF Joint Statement on the Protection, Promotion and Support of Breastfeeding: The Special Role of Maternity Services; World Health Organization: Geneva, Switzerland; United Nations Children’s Fund: New York, NY, USA, 1989. [Google Scholar]
- ESPGHAN Committee on Nutrition; Agostoni, C.; Braegger, C.; Decsi, T.; Kolacek, S.; Koletzko, B.; Michaelsen, K.F.; Mihatsch, W.; Moreno, L.A.; Puntis, J.; et al. Breast-feeding: A commentary by the ESPGHAN Committee on Nutrition. J. Pediatr. Gastroenterol. Nutr. 2009, 49, 112–125. [Google Scholar] [CrossRef] [PubMed]
- Kramer, M.S.; Kakuma, R. The Optimal Duration of Exclusive Breastfeeding: A Systematic Review; World Health Organization: Geneva, Switzerland, 2002. [Google Scholar]
- Underwood, M.A. Human milk for the premature infant. Pediatr. Clin. N. Am. 2013, 60, 189–207. [Google Scholar] [CrossRef] [PubMed]
- Italian Association of Human Milk Banks; Arslanoglu, S.; Bertino, E.; Tonetto, P.; De Nisi, G.; Ambruzzi, A.M.; Biasini, A.; Profeti, C.; Spreghini, M.R.; Moro, G.E. Guidelines for the establishment and operation of a donor human milk bank. J. Matern. Fetal Neonatal Med. 2010, 23 (Suppl. 2), 1–20. [Google Scholar]
- Agostoni, C.; Buonocore, G.; Carnielli, V.P.; De Curtis, M.; Darmaun, D.; Decsi, T.; Domellöf, M.; Embleton, N.D.; Fusch, C.; Genzel-Boroviczeny, O.; et al. Enteral nutrient supply for preterm infants: Commentary from the European Society of Paediatric Gastroenterology, Hepatology and Nutrition Committee on Nutrition. J. Pediatr. Gastroenterol. Nutr. 2010, 50, 85–91. [Google Scholar] [CrossRef]
- Turck, D. Safety aspects in preparation and handling of infant food. Ann. Nutr. Metab. 2012, 60, 211–214. [Google Scholar] [CrossRef]
- Arslanoglu, S.; Corpeleijn, W.; Moro, G.; Braegger, C.; Campoy, C.; Colomb, V.; Decsi, T.; Domellöf, M.; Fewtrell, M.; Hojsak, I.; et al. Donor Human Milk for Preterm Infants: Current Evidence and Research Directions. J. Pediatr. Gastroenterol. Nutr. 2013, 57, 535–542. [Google Scholar] [CrossRef]
- National Institute for Health and Clinical Excellence (NICE). Donor Breast Milk Banks: The Operation of Donor Milk Bank Services. Available online: http:// www.ncbi.nlm.nih.gov/pubmed/22319806 (accessed on 5 September 2013).
- Balmer, S.E.; Wiliams, A.F. Guidelines for the establishment and operation of human milk banks in the UK. Arch. Dis. Child. 1995, 73, 481–482. [Google Scholar] [CrossRef][Green Version]
- Bylund, G. Dairy Processing Handbook; Tetra Pak Processing Systems AB: Lund, Sweden, 2003; pp. 451–453. [Google Scholar]
- Hartmann, B.T.; Pang, W.W.; Keil, A.D.; Hartmann, P.E.; Simmer, K. Best practice guidelines for the operation of a donor human milk bank in an Australian NICU. Early Hum. Dev. 2007, 83, 667–673. [Google Scholar] [CrossRef]
- Human Milk Banking Association of North America. Guidelines for the Establishment and Operation of a Donor Human Milk Bank; HMBANA: West Hartford, CT, USA, 1995; pp. 1–28. [Google Scholar]
- Safe Preparation, Storage and Handling of Powdered Infant Formula Guidelines; World Health Organization: Geneva, Switzerland, 2007.
- Bertino, E.; Borrello, S.; Copparoni, R.; Dall’Oglio, I.; De Nisi, G.; Fabris, C.; Guidarelli, L.; Moro, G.; Salvatori, G.; Vicario, M. Linee di Indirizzo Nazionale per l’Organizzazione e la Gestione delle Banche del Latte Umano Donato nell’Ambito della Protezione, Promozione e Sostegno dell’Allattamento al Seno. Conferenza Stato Regioni Accordo 5 dicembre 2013 ai Sensi dell’Articolo 4 del Decreto Legislativo 28 Agosto 1997 n. 281-GU n. 32, 8 Febbraio 2014. Available online: http://www.salute.gov.it/portale/news (accessed on 20 March 2019).
- Peila, C.; Moro, G.E.; Bertino, E.; Cavallarin, L.; Giribaldi, M.; Giuliani, F.; Cresi, F.; Coscia, A. The effect of Holder Pasteurization on nutrients and biologically-active components in Donor Human milk: A review. Nutrients 2016, 8, 477. [Google Scholar] [CrossRef]
- Lotfi, A.; Shiasi, K.; Amini, R.; Jahangiri, M.; Sharif, M.R.; Akbari, H.; Talari, H.; Hajmobini, Z.; Hami, K.; Kashani, H.H. Comparing the Effects of Two Feeding Methods on Metabolic Bone Disease in Newborns with Very Low Birth Weights. Glob. J. Health Sci. 2015, 8, 249–254. [Google Scholar] [CrossRef] [PubMed][Green Version]
- Mazzocchi, A.; D’Oria, V.; De Cosmi, V.; Bettocchi, S.; Milani, G.P.; Silano, M.; Agostoni, C. The Role of Lipids in Human Milk and Infant Formulae. Nutrients 2018, 10, 567. [Google Scholar] [CrossRef] [PubMed]
- Ley, S.H.; Hanley, A.J.; Stone, D.; O’Connor, D.L. Effects of pasteurization on adiponectin and insulin concentrations in donor human milk. Pediatr. Res. 2011, 70, 278–281. [Google Scholar] [CrossRef] [PubMed]
- García-Lara, N.R.; Vieco, D.E.; De la Cruz-Bértolo, J.; Lora-Pablos, D.; Velasco, N.U.; Pallás-Alonso, C.R. Effect of Holder pasteurization and frozen storage on macronutrients and energy content of breast milk. J. Pediatr. Gastroenterol. Nutr. 2013, 57, 377–382. [Google Scholar] [CrossRef]
- Vieira, A.A.; Soares, F.V.; Pimenta, H.P.; Abranches, A.D.; Moreira, M.E. Analysis of the influence of pasteurization, freezing/thawing, and offer processes on human milk’s macronutrient concentrations. Early Hum. Dev. 2011, 87, 577–580. [Google Scholar] [CrossRef]
- Góes, H.C.; Torres, A.G.; Donangelo, C.M.; Trugo, N.M. Nutrient composition of banked human milk in Brazil and influence of processing on zinc distribution in milk fractions. Nutrition 2002, 18, 590–594. [Google Scholar] [CrossRef]
- Henderson, T.R.; Fay, T.N.; Hamosh, M. Effect of pasteurization on long chain polyunsaturated fatty acid levels and enzyme activities of human milk. J. Pediatr. 1998, 132, 876–878. [Google Scholar] [CrossRef]
- Fidler, N.; Sauerwald, T.U.; Demmelmair, H.; Koletzko, B. Fat content and fatty acid composition of fresh, pasteurized, or sterilized human milk. Adv. Exp. Med. Biol. 2001, 501, 485–495. [Google Scholar]
- Lepri, L.; Del Bubba, M.; Maggini, R.; Donzelli, G.P.; Galvan, P. Effect of pasteurization and storage on some components of pooled human milk. J. Chromatogr. B Biomed. Sci. Appl. 1997, 704, 1–10. [Google Scholar] [CrossRef]
- Delgado, F.J.; Cava, R.; Delgado, J.; Ramírez, R. Tocopherols, fatty acids and cytokines content of Holder pasteurised and high-pressure processed human milk. Dairy Sci. Technol. 2014, 94, 145–156. [Google Scholar] [CrossRef]
- Valentine, C.J.; Morrow, B.S.; Fernandez, S.; Gulati, P.; Bartholomew, D.; Long, D.; Welty, S.E.; Morrow, A.L.; Rogers, L.K. Docosahexaenoic acid and amino acid contents in pasteurized donor milk are low for preterm infants. J. Pediatr. 2010, 157, 906–910. [Google Scholar] [CrossRef]
- Romeu-Nadal, M.; Castellote, A.I.; Gayà, A.; López-Sabater, M.C. Effect of pasteurisation on ascorbic acid, dehydroascorbic acid, tocopherols and fatty acids in pooled mature human milk. Food Chem. 2008, 107, 434–438. [Google Scholar] [CrossRef]
- Borgo, L.A.; CohelhoAraujo, W.M.; Conceição, M.H.; SabioniResck, I.; Mendonça, M.A. Are fat acids of human milk impacted by pasteurization and freezing? Nutr. Hosp. 2015, 31, 1386–1393. [Google Scholar]
- Braga, L.P.; Palhares, D.B. Effect of evaporation and pasteurization in the biochemical and immunological composition of human milk. J. Ped. 2007, 83, 59–63. [Google Scholar] [CrossRef][Green Version]
- Hamprecht, K.; Maschmann, J.; Muller, D.; Dietz, K.; Besenthal, I.; Goelz, R.; Middeldorp, J.M.; Speer, C.P.; Jahn, G. Cytomegalovirus (CMV) inactivation in breast milk: Reassessment of pasteurization and freezethawing. Pediatr. Res. 2004, 56, 529–535. [Google Scholar] [CrossRef] [PubMed]
- Silvestre, D.; Ferrer, E.; Gaya, J.; Jareno, E.; Miranda, M.; Muriach, M. Available lysine content in human milk: Stability during manipulation prior to ingestion. Biofactors 2006, 26, 71–79. [Google Scholar] [CrossRef] [PubMed]
- Baro, C.; Giribaldi, M.; Arslanioglu, S.; Giuffrida, M.G.; Dellavalle, G.; Conti, A.; Tonetto, P.; Biasini, A.; Coscia, A.; Fabris, C.; et al. Effect of two pasteurization methods on the protein content of human milk. Front. Biosci. (Elite Ed.) 2011, 3, 818–829. [Google Scholar] [CrossRef] [PubMed]
- Landers, S.; Updegrove, K. Bactriological screening of human milkBefore and After Holder Pasteurization. Breastfeed. Med. 2010, 5, 117–121. [Google Scholar] [CrossRef]
- Hartmann, B.T. Ensuring Safety in Donor Human Milk Banking in Neonatal Intensive Care. Clin. Perinatol. 2017, 44, 131–149. [Google Scholar] [CrossRef]
- Dewitte, C.; Courdent, P.; Charlet, C.; Dumoulin, D.; Courcol, R.; Pierrat, V. Contamination of human milk with aerobic flora: Evaluation of losses for a human milk bank. Arch. Pediatr 2015, 22, 461–467. [Google Scholar] [CrossRef] [PubMed]
- Chang, F.Y.; Cheng, S.W.; Wu, T.Z.; Fang, L.J. Characteristics of the first human milk bank in Taiwan. Pediatr. Neonatol. 2013, 55, 28–33. [Google Scholar] [CrossRef]
- Jang, H.L.; Cho, J.Y.; Kim, M.J.; Kim, E.J.; Park, E.Y.; Park, S.A.; Kim, I.Y.; Choi, Y.S.; Bae, C.W.; Chung, S.H. The experience of human milk banking for 8 years: Korean perspective. J. Korean Med. Sci. 2016, 31, 1775–1783. [Google Scholar] [CrossRef] [PubMed]
- Moro, G.E.; Arslanoglu, S. Heat treatment of human milk. J. Pediatr. Gastroenterol. Nutr. 2012, 54, 165–166. [Google Scholar] [CrossRef]
- Peila, C.; Emmerik, N.E.; Giribaldi, M.; Stahl, B.; Ruitenberg, J.E.; van Elburg, R.M.; Moro, G.E.; Bertino, E.; Coscia, A.; Cavallarin, L. Human Milk processing: A systematic review of innovative techniques to the ensure safety and quality of donor milk. J. Pediatr. Gastroenetrol. Nutr. 2017, 64, 353–361. [Google Scholar] [CrossRef]
- Conesa, C.; Rota, C.; Castillo, E.; Pérez, M.D.; Calvo, M.; Sánchez, L. Antibacterial activity of recombinant human lactoferrin from rice: Effect of heat treatment. Biosci. Biotechnol. Biochem. 2009, 73, 1301–1307. [Google Scholar] [CrossRef] [PubMed]
- Goelz, R.; Hihn, E.; Hamprecht, K.; Dietz, K.; Jahn, G.; Poets, C.; Elmlinger, M. Effects of different CMV-heat-inactivation-methods on growth factors in human breast milk. Pediatr. Res. 2009, 65, 458–461. [Google Scholar] [CrossRef]
- Silvestre, D.; Ruiz, P.; Martinez-Costa, C.; Plaza, A.; López, M.C. Effect of pasteurization on the bactericidal capacity of human milk. J. Hum. Lact. 2008, 24, 371–376. [Google Scholar] [CrossRef]
- Chantry, C.J.; Wiedeman, J.; Buehring, G.; Peerson, J.M.; Hayfron, K.; K’Aluoch, O.; Lonnerdal, B.; Israel-Ballard, K.; Coutsoudis, A.; Abrams, B. Effect of flash-heat treatment on antimicrobial activity of breastmilk. Breastfeed. Med. 2011, 6, 111–116. [Google Scholar] [CrossRef] [PubMed]
- Volk, M.L.; Hanson, C.V.; Israel-Ballard, K.; Chantry, C.J. Inactivation of cell associated and cell-free HIV-1 by flash-heat treatment of breast milk. J. Acquir. Immune Defic. Syndr. 2010, 53, 665–666. [Google Scholar] [CrossRef] [PubMed]
- Israel-Ballard, K.; Chantry, C.; Dewey, K.; Lönnerdal, B.; Sheppard, H.; Donovan, R.; Carlson, J.; Sage, A.; Abrams, B. Viral, nutritional, and bacterial safety of flash-heated and pretoria-pasteurized breast milk to prevent mother-to-child transmission of HIV in resource-poor countries: A pilot study. J. Acquir. Immune Defic. Syndr. 2005, 40, 175–181. [Google Scholar] [CrossRef] [PubMed]
- Czank, C.; Simmer, K.; Hartmann, P.E. Simultaneous pasteurization and homogenization of human milk by combining heat and ultrasound: Effect on milk quality. J. Dairy Res. 2010, 77, 183–189. [Google Scholar] [CrossRef]
- Giribaldi, M.; Coscia, A.; Peila, C.; Antoniazzi, S.; Lamberti, C.; Ortoffi, M.; Moro, G.E.; Bertino, E.; Civera, T.; Cavallarin, L. Pasteurization of human milk by a benchtop high-temperature short-time device. Innov. Food Sci. Emerg. Technol. 2016, 36, 228–233. [Google Scholar] [CrossRef]
- Viazis, S.; Farkas, B.E.; Jaykus, L.A. Inactivation of bacterial pathogens in human milk by high-pressure processing. J. Food Prot. 2008, 71, 109–118. [Google Scholar] [CrossRef]
- Permanyer, M.; Castellote, C.; Ramirez-Santana, C.; Audí, C.; Pérez-Cano, F.J.; Castell, M.; López-Sabater, M.C.; Franch, A. Maintenance of breast milk immunoglobulin A after high-pressure processing. J. Dairy Sci. 2010, 93, 877–883. [Google Scholar] [CrossRef]
- Christen, L.; Lai, C.T.; Hartmann, B.; Hartmann, P.E.; Geddes, D.T. Ultraviolet-C irradiation: A novel pasteurization method for donor human milk. PLoS ONE 2013, 8, e68120. [Google Scholar] [CrossRef] [PubMed]
- Christen, L.; Lai, C.T.; Hartmann, B.; Hartmann, P.E.; Geddes, D.T. The effect of UV-C pasteurization on bacteriostatic properties and immunological protein of donor human milk. PLoS ONE 2013, 8, e85867. [Google Scholar] [CrossRef]
- Moro, G.E.; Billeaud, C.; Rachel, B.; Calvo, J.; Cavallarin, L.; Christen, L.; Escuder-Vieco, D.; Gaya, A.; Lembo, D.; Wesolowska, A.; et al. Processing of donor human milk: Update and recommendations from the European Milk Bank Association (EMBA). Front. Pediatr. 2019, 7, 49. [Google Scholar] [CrossRef]







| Contamination Rate BP (%) | Contamination Rate AP (%) | Bacillus Species Rate AP (%) | DHM Discarded Rate (%) | |
|---|---|---|---|---|
| Perth, Australia (Hartmann et al. 2017) | 26.4 | 0.9 | NR | 27.3 |
| Seoul, Korea (Jang et al., 2016) | NR | 12.6 | Several cases | 12.6 |
| Nord-Pas-de-Calais France (Dewitte et al., 2015) | 10.8 | 0.5 | NR | 11.3 |
| Taipei, Taiwan (Chang et al. 2013) | 27.9 | 0.63 | NR | 28.5 |
| Children’s Hospital of Philadelphia | NR | 5.8 | 5.8 | 5.8 |
| Austin, Texas, United States (Landers and Updegrove, 2010) | NA (pooled) | 7 | 5 | 7 |
© 2019 by the authors. Licensee MDPI, Basel, Switzerland. This article is an open access article distributed under the terms and conditions of the Creative Commons Attribution (CC BY) license (http://creativecommons.org/licenses/by/4.0/).
Share and Cite
Capriati, T.; Goffredo, B.M.; Argentieri, M.; De Vivo, L.; Bernaschi, P.; Cairoli, S.; Laureti, F.; Reposi, M.P.; Marino, D.; Benedetti, S.; et al. A Modified Holder Pasteurization Method for Donor Human Milk: Preliminary Data. Nutrients 2019, 11, 1139. https://doi.org/10.3390/nu11051139
Capriati T, Goffredo BM, Argentieri M, De Vivo L, Bernaschi P, Cairoli S, Laureti F, Reposi MP, Marino D, Benedetti S, et al. A Modified Holder Pasteurization Method for Donor Human Milk: Preliminary Data. Nutrients. 2019; 11(5):1139. https://doi.org/10.3390/nu11051139
Chicago/Turabian StyleCapriati, Teresa, Bianca Maria Goffredo, Marta Argentieri, Liliana De Vivo, Paola Bernaschi, Sara Cairoli, Francesca Laureti, Maria Paola Reposi, Daniela Marino, Sabina Benedetti, and et al. 2019. "A Modified Holder Pasteurization Method for Donor Human Milk: Preliminary Data" Nutrients 11, no. 5: 1139. https://doi.org/10.3390/nu11051139
APA StyleCapriati, T., Goffredo, B. M., Argentieri, M., De Vivo, L., Bernaschi, P., Cairoli, S., Laureti, F., Reposi, M. P., Marino, D., Benedetti, S., & Diamanti, A. (2019). A Modified Holder Pasteurization Method for Donor Human Milk: Preliminary Data. Nutrients, 11(5), 1139. https://doi.org/10.3390/nu11051139
