Low Zinc, Copper, and Manganese Intake is Associated with Depression and Anxiety Symptoms in the Japanese Working Population: Findings from the Eating Habit and Well-Being Study
Abstract
1. Introduction
2. Materials and Methods
2.1. Study Design and Participants
2.2. Measurements
2.3. Statistical Analysis
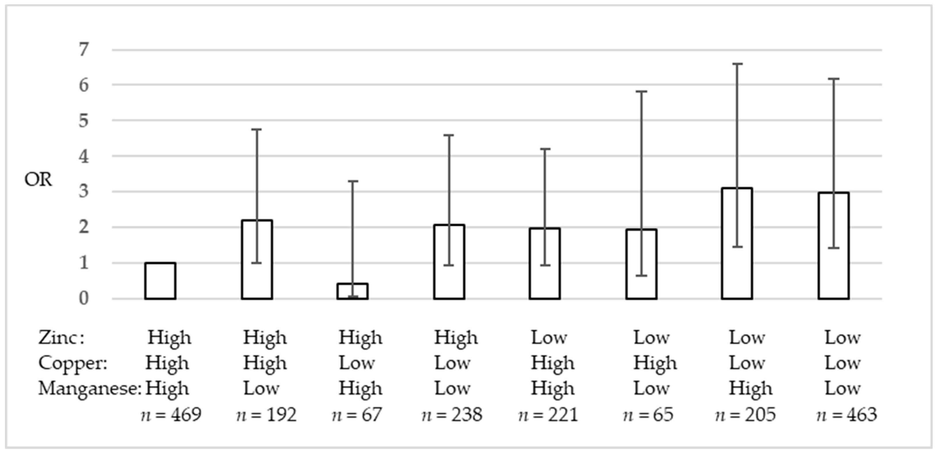
3. Results
4. Discussion
Supplementary Materials
Author Contributions
Funding
Acknowledgments
Conflicts of Interest
References
- Whiteford, H.A.; Degenhardt, L.; Rehm, J.; Baxter, A.J.; Ferrari, A.J.; Erskine, H.E.; Charlson, F.J.; Norman, R.E.; Flaxman, A.D.; Johns, N.; et al. Global burden of disease attributable to mental and substance use disorders: Findings from the Global Burden of Disease Study 2010. Lancet 2013, 382, 1575–1586. [Google Scholar] [CrossRef]
- Eguchi, H.; Wada, K.; Higuchi, Y.; Yoneoka, D.; Smith, D.R. Work content and serious mental illness among middle-aged men: Results from a 6-year longitudinal study in Japan. PLoS ONE 2015, 10, e0131203. [Google Scholar] [CrossRef] [PubMed]
- Tsuchiya, M.; Kawakami, N.; Ono, Y.; Nakane, Y.; Nakamura, Y.; Fukao, A.; Tachimori, H.; Iwata, N.; Uda, H.; Nakane, H.; et al. Impact of mental disorders on work performance in a community sample of workers in Japan: The world mental health japan survey 2002–2005. Psychiatry Res. 2012, 198, 140–145. [Google Scholar] [CrossRef]
- Kawakami, N.; Tsutsumi, A. The stress check program: A new national policy for monitoring and screening psychosocial stress in the workplace in Japan. J. Occup. Health 2016, 58, 1–6. [Google Scholar] [CrossRef] [PubMed]
- Lopresti, A.L.; Hood, S.D.; Drummond, P.D. A review of lifestyle factors that contribute to important pathways associated with major depression: Diet, sleep and exercise. J. Affect. Disord. 2013, 148, 12–27. [Google Scholar] [CrossRef] [PubMed]
- Marx, W.; Moseley, G.; Berk, M.; Jacka, F. Nutritional psychiatry: The present state of the evidence. Proc. Nutr. Soc. 2017, 76, 427–436. [Google Scholar] [CrossRef]
- Owen, L.; Corfe, B. The role of diet and nutrition on mental health and wellbeing. Proc. Nutr. Soc. 2017, 76, 425–426. [Google Scholar] [CrossRef] [PubMed]
- Lai, J.S.; Hiles, S.; Bisquera, A.; Hure, A.J.; McEvoy, M.; Attia, J. A systematic review and meta-analysis of dietary patterns and depression in community-dwelling adults. Am. J. Clin. Nutr. 2014, 99, 181–197. [Google Scholar] [CrossRef]
- Murakami, K.; Sasaki, S. Dietary intake and depressive symptoms: A systematic review of observational studies. Mol. Nutr. Food Res. 2010, 54, 471–488. [Google Scholar] [CrossRef]
- Li, Z.; Wang, W.; Xin, X.; Song, X.; Zhang, D. Association of total zinc, iron, copper and selenium intakes with depression in the US adults. J. Affect. Disord. 2018, 228, 68–74. [Google Scholar] [CrossRef] [PubMed]
- Maserejian, N.N.; Hall, S.A.; McKinlay, J.B. Low dietary or supplemental zinc is associated with depression symptoms among women, but not men, in a population-based epidemiological survey. J. Affect. Disord. 2012, 136, 781–788. [Google Scholar] [CrossRef]
- Miki, T.; Kochi, T.; Eguchi, M.; Kuwahara, K.; Tsuruoka, H.; Kurotani, K.; Ito, R.; Akter, S.; Kashino, I.; Pham, N.M.; et al. Dietary intake of minerals in relation to depressive symptoms in Japanese employees: The Furukawa Nutrition and Health Study. Nutrition 2015, 31, 686–690. [Google Scholar] [CrossRef]
- Thi Thu Nguyen, T.; Miyagi, S.; Tsujiguchi, H.; Kambayashi, Y.; Hara, A.; Nakamura, H.; Suzuki, K.; Yamada, Y.; Shimizu, Y.; Nakamura, H. Association between lower intake of minerals and depressive symptoms among elderly japanese women but not men: Findings from shika study. Nutrients 2019, 11, 389. [Google Scholar] [CrossRef]
- Miyake, Y.; Tanaka, K.; Okubo, H.; Sasaki, S.; Furukawa, S.; Arakawa, M. Manganese intake is inversely associated with depressive symptoms during pregnancy in Japan Baseline data from the Kyushu Okinawa Maternal and Child Health Study. J. Affect. Disord. 2017, 211, 124–129. [Google Scholar] [CrossRef]
- Lai, J.; Moxey, A.; Nowak, G.; Vashum, K.; Bailey, K.; McEvoy, M. The efficacy of zinc supplementation in depression: Systematic review of randomised controlled trials. J. Affect. Disord. 2012, 136, e31–e39. [Google Scholar] [CrossRef]
- Li, Z.; Li, B.; Song, X.; Zhang, D. Dietary zinc and iron intake and risk of depression: A meta-analysis. Psychiatry Res. 2017, 251, 41–47. [Google Scholar] [CrossRef] [PubMed]
- Vashum, K.P.; McEvoy, M.; Milton, A.H.; McElduff, P.; Hure, A.; Byles, J.; Attia, J. Dietary zinc is associated with a lower incidence of depression: Findings from two Australian cohorts. J. Affect. Disord. 2014, 166, 249–257. [Google Scholar] [CrossRef] [PubMed]
- Wang, J.; Um, P.; Dickerman, B.A.; Liu, J. Zinc, magnesium, selenium and depression: A review of the evidence, potential mechanisms and implications. Nutrients 2018, 10, 584. [Google Scholar] [CrossRef] [PubMed]
- Mlyniec, K.; Davies, C.L.; de Aguero Sanchez, I.G.; Pytka, K.; Budziszewska, B.; Nowak, G. Essential elements in depression and anxiety. Part I. Pharmacol. Rep. 2014, 66, 534–544. [Google Scholar] [CrossRef] [PubMed]
- Mlyniec, K.; Gawel, M.; Doboszewska, U.; Starowicz, G.; Pytka, K.; Davies, C.L.; Budziszewska, B. Essential elements in depression and anxiety. Part II. Pharmacol. Rep. 2015, 67, 187–194. [Google Scholar] [CrossRef]
- Bajpai, A.; Verma, A.K.; Srivastava, M.; Srivastava, R. Oxidative stress and major depression. J. Clin. Diagn. Res. 2014, 8, CC04–CC07. [Google Scholar] [CrossRef] [PubMed]
- Liu, T.; Zhong, S.; Liao, X.; Chen, J.; He, T.; Lai, S.; Jia, Y. A meta-analysis of oxidative stress markers in depression. PLoS ONE 2015, 10, e0138904. [Google Scholar] [CrossRef]
- Nakamura, M.; Miura, A.; Nagahata, T.; Toki, A.; Shibata, Y.; Okada, E.; Ojima, T. Dietary intake and dinner timing among shift workers in Japan. J. Occup. Health 2018, 60, 467–474. [Google Scholar] [CrossRef] [PubMed]
- Statistics Bureau, Ministry of Industrial Affairs and Communications. Economic Census 2014. Available online: http://www.stat.go.jp/data/e-census/2014/kekka.htm (accessed on 5 April 2019).
- Akahori, M.; Nagata, J.; Hioki, A.; Utsugi, S.; Kondo, I.; Nakamura, M.; Ojima, T. Development of a short food frequency questionnaire for nutritional assessment of people living in a regional community and determination of its validity and reproducibility. Jpn. J. Nutr. Dietics. 2015, 73, 182–194. [Google Scholar] [CrossRef][Green Version]
- Kessler, R.C.; Andrews, G.; Colpe, L.J.; Hiripi, E.; Mroczek, D.K.; Normand, S.L.T.; Walters, E.E.; Zaslavsky, A.M. Short screening scales to monitor population prevalences and trends in non-specific psychological distress. Psychol. Med. 2002, 32, 959–976. [Google Scholar] [CrossRef]
- Kessler, R.C.; Barker, P.R.; Colpe, L.J.; Epstein, J.F.; Gfroerer, J.C.; Hiripi, E.; Howes, M.J.; Normand, S.L.; Manderscheid, R.W.; Walters, E.E.; et al. Screening for serious mental illness in the general population. Arch. Gen. Psychiatry 2003, 60, 184–189. [Google Scholar] [CrossRef]
- Furukawa, T.A.; Kawakami, N.; Saitoh, M.; Ono, Y.; Nakane, Y.; Nakamura, Y.; Tachimori, H.; Iwata, N.; Uda, H.; Nakane, H.; et al. The performance of the Japanese version of the K6 and K10 in the World Mental Health Survey Japan. Int. J. Methods Psychiatr. Res. 2008, 17, 152–158. [Google Scholar] [CrossRef]
- Min, J.W.; Lee, S.H. Validation of the K6/K10 scales of psychological distress and their optimal cutoff scores for older Koreans. Int. J. Aging Hum. Dev. 2015, 80, 264–282. [Google Scholar] [PubMed]
- Sakurai, K.; Nishi, A.; Kondo, K.; Yanagida, K.; Kawakami, N. Screening performance of K6/K10 and other screening instruments for mood and anxiety disorders in Japan. Psychiatry Clin Neurosci. 2011, 65, 434–441. [Google Scholar] [CrossRef] [PubMed]
- Ministry of Education, Culture, Sports, Science and Technology, Japan. Standard Tables of Food Composition in Japan. 2005. Available online: http://www.mext.go.jp/a_menu/syokuhinseibun/1365297.htm (accessed on 5 April 2019).
- Willett, W.C.; Howe, G.R.; Kushi, L.H. Adjustment for total energy intake in epidemiologic studies. Am. J. Clin. Nutr. 1997, 65, 1220S–1228S. [Google Scholar] [CrossRef] [PubMed]
- Swardfager, W.; Herrmann, N.; Mazereeuw, G.; Goldberger, K.; Harimoto, T.; Lanctot, K.L. Zinc in depression: A meta-analysis. Biol. Psychiatry 2013, 74, 872–878. [Google Scholar] [CrossRef] [PubMed]
- Maes, M.; Galecki, P.; Chang, Y.S.; Berk, M. A review on the oxidative and nitrosative stress (O&NS) pathways in major depression and their possible contribution to the (neuro)degenerative processes in that illness. Prog. Neuropsychopharmacol. Biol. Psychiatry 2011, 35, 676–692. [Google Scholar] [PubMed]
- Szewczyk, B.; Kubera, M.; Nowak, G. The role of zinc in neurodegenerative inflammatory pathways in depression. Progress in Neuro-Psychopharmacology & Biological Psychiatry 2011, 35, 693–701. [Google Scholar]
- Johnson, F.; Giulivi, C. Superoxide dismutases and their impact upon human health. Mol. Aspects Med. 2005, 26, 340–352. [Google Scholar] [CrossRef]
- Gammoh, N.Z.; Rink, L. Zinc in infection and inflammation. Nutrients 2017, 9, 624. [Google Scholar] [CrossRef] [PubMed]
- Jarosz, M.; Olbert, M.; Wyszogrodzka, G.; Mlyniec, K.; Librowski, T. Antioxidant and anti-inflammatory effects of zinc. Zinc-dependent NF-kappaB signaling. Inflammopharmacology 2017, 25, 11–24. [Google Scholar] [CrossRef] [PubMed]
- Ministry of Health, Labour and Welfare. National Health and Nutrition Survey. Available online: http://www.mhlw.go.jp/bunya/kenkou/kenkou_eiyou_chousa.html (accessed on 5 April 2019).
- Ministry of Health, Labour and Welfare, Japan. Dietary Reference Intakes for Japanese 2015. Available online: http://www.mhlw.go.jp/stf/shingi/0000041824.html (accessed on 5 April 2019).
- Imai, T.; Nakamura, M.; Ando, F.; Shimokata, H. Dietary supplement use by community-living population in Japan data from the National Institute for Longevity Sciences Longitudinal Study of Aging (NILS-LSA). J. Epidemiol. 2006, 16, 249–260. [Google Scholar] [CrossRef]

| K6 score ≥ 13 (n = 144) | K6 score < 13 (n = 1945) | p-Value | |||
|---|---|---|---|---|---|
| Age (years), mean, SD | 38.6 | 10.7 | 43.7 | 12.2 | <0.001 | 
| Men, % | 81.3 | 68.7 | 0.002 | ||
| Body mass index (kg/m2), mean, SD | 22.5 | 3.7 | 22.6 | 5.8 | 0.930 | 
| Medications for | |||||
| Hypertension, % | 8.7 | 10.4 | 0.526 | ||
| Hyperlipidemia, % | 5.8 | 7.8 | 0.404 | ||
| Diabetes, % | 2.2 | 3.3 | 0.493 | ||
| Current smoker, % | 32.6 | 28.3 | 0.266 | ||
| Alcohol drinking, % | 41.0 | 41.7 | 0.865 | ||
| Shift work, % | 15.3 | 12.3 | 0.298 | ||
| Dietary intake | |||||
| Total energy (kcal), mean, SD | 2039.5 | 605.4 | 1946.0 | 586.2 | 0.066 | 
| Calcium (mg), mean, SD | 405.4 | 172.6 | 439.4 | 159.6 | 0.014 | 
| Magnesium (mg), mean, SD | 218.7 | 52.0 | 233.1 | 51.1 | 0.001 | 
| Iron (mg), mean, SD | 7.0 | 2.2 | 7.6 | 2.1 | 0.001 | 
| Zinc (mg), mean, SD | 7.4 | 1.4 | 7.8 | 1.0 | 0.001 | 
| Copper (mg), mean, SD | 1.1 | 0.2 | 1.2 | 0.2 | <0.001 | 
| Manganese (mg), mean, SD | 3.5 | 1.1 | 3.9 | 1.2 | <0.001 | 
| Folic acids (mg), mean, SD | 280.8 | 89.5 | 308.8 | 93.7 | 0.001 | 
| Vitamin C (mg), mean, SD | 83.8 | 39.4 | 95.8 | 40.7 | 0.001 | 
| Vitamin B6 (mg), mean, SD | 1.1 | 0.3 | 1.1 | 0.3 | 0.001 | 
| Vitamin B12 (mg), mean, SD | 3.8 | 1.7 | 4.4 | 1.7 | <0.001 | 
| PUFA (g), mean, SD | 11.2 | 3.3 | 11.4 | 2.7 | 0.536 | 
| Model 1 | Model 2 | Model 3 | |||||||
|---|---|---|---|---|---|---|---|---|---|
| Dietary Intake | OR | 95% CI | OR | 95% CI | OR | 95% CI | |||
| Calcium | |||||||||
| Quartile 1 | 1.26 | 0.77 | 2.07 | 1.05 | 0.58 | 1.89 | 0.99 | 0.54 | 1.80 | 
| Quartile 2 | 0.78 | 0.46 | 1.33 | 0.72 | 0.41 | 1.26 | 0.61 | 0.34 | 1.09 | 
| Quartile 3 | 0.88 | 0.52 | 1.49 | 0.83 | 0.48 | 1.42 | 0.74 | 0.42 | 1.29 | 
| Quartile 4 | 1.00 | 1.00 | 1.00 | ||||||
| p for trend | 0.333 | 0.927 | 0.905 | ||||||
| Magnesium | |||||||||
| Quartile 1 | 1.18 | 0.71 | 1.97 | 0.76 | 0.33 | 1.75 | 0.80 | 0.34 | 1.90 | 
| Quartile 2 | 0.76 | 0.44 | 1.31 | 0.59 | 0.30 | 1.16 | 0.63 | 0.32 | 1.26 | 
| Quartile 3 | 0.90 | 0.53 | 1.54 | 0.76 | 0.42 | 1.36 | 0.68 | 0.36 | 1.27 | 
| Quartile 4 | 1.00 | 1.00 | 1.00 | ||||||
| p for trend | 0.514 | 0.481 | 0.702 | ||||||
| Iron | |||||||||
| Quartile 1 | 1.45 | 0.87 | 2.41 | 1.39 | 0.57 | 3.40 | 1.67 | 0.66 | 4.23 | 
| Quartile 2 | 0.85 | 0.49 | 1.48 | 0.83 | 0.40 | 1.72 | 0.84 | 0.39 | 1.81 | 
| Quartile 3 | 0.91 | 0.53 | 1.57 | 0.88 | 0.46 | 1.65 | 0.92 | 0.47 | 1.78 | 
| Quartile 4 | 1.00 | 1.00 | 1.00 | ||||||
| p for trend | 0.107 | 0.379 | 0.218 | ||||||
| Zinc | |||||||||
| Quartile 1 | 1.74 | 1.06 | 2.85 | 1.91 | 1.05 | 3.49 | 1.66 | 0.89 | 3.09 | 
| Quartile 2 | 1.27 | 0.76 | 2.12 | 1.31 | 0.75 | 2.29 | 1.28 | 0.72 | 2.28 | 
| Quartile 3 | 0.80 | 0.46 | 1.41 | 0.82 | 0.46 | 1.48 | 0.76 | 0.41 | 1.39 | 
| Quartile 4 | 1.00 | 1.00 | 1.00 | ||||||
| p for trend | 0.005 | 0.008 | 0.029 | ||||||
| Copper | |||||||||
| Quartile 1 | 2.03 | 1.20 | 3.42 | 2.36 | 1.23 | 4.55 | 2.35 | 1.20 | 4.62 | 
| Quartile 2 | 1.25 | 0.71 | 2.18 | 1.39 | 0.74 | 2.62 | 1.42 | 0.74 | 2.72 | 
| Quartile 3 | 1.23 | 0.70 | 2.17 | 1.34 | 0.73 | 2.45 | 1.23 | 0.66 | 2.31 | 
| Quartile 4 | 1.00 | 1.00 | 1.00 | ||||||
| p for trend | 0.006 | 0.007 | 0.007 | ||||||
| Manganese | |||||||||
| Quartile 1 | 1.67 | 1.00 | 2.76 | 2.13 | 1.02 | 4.43 | 1.98 | 0.93 | 4.24 | 
| Quartile 2 | 1.01 | 0.58 | 1.74 | 1.23 | 0.62 | 2.46 | 1.10 | 0.53 | 2.25 | 
| Quartile 3 | 0.95 | 0.54 | 1.67 | 1.06 | 0.57 | 1.98 | 1.01 | 0.53 | 1.93 | 
| Quartile 4 | 1.00 | 1.00 | 1.00 | ||||||
| p for trend | 0.024 | 0.014 | 0.026 | ||||||
© 2019 by the authors. Licensee MDPI, Basel, Switzerland. This article is an open access article distributed under the terms and conditions of the Creative Commons Attribution (CC BY) license (http://creativecommons.org/licenses/by/4.0/).
Share and Cite
Nakamura, M.; Miura, A.; Nagahata, T.; Shibata, Y.; Okada, E.; Ojima, T. Low Zinc, Copper, and Manganese Intake is Associated with Depression and Anxiety Symptoms in the Japanese Working Population: Findings from the Eating Habit and Well-Being Study. Nutrients 2019, 11, 847. https://doi.org/10.3390/nu11040847
Nakamura M, Miura A, Nagahata T, Shibata Y, Okada E, Ojima T. Low Zinc, Copper, and Manganese Intake is Associated with Depression and Anxiety Symptoms in the Japanese Working Population: Findings from the Eating Habit and Well-Being Study. Nutrients. 2019; 11(4):847. https://doi.org/10.3390/nu11040847
Chicago/Turabian StyleNakamura, Mieko, Ayako Miura, Tomomi Nagahata, Yosuke Shibata, Eisaku Okada, and Toshiyuki Ojima. 2019. "Low Zinc, Copper, and Manganese Intake is Associated with Depression and Anxiety Symptoms in the Japanese Working Population: Findings from the Eating Habit and Well-Being Study" Nutrients 11, no. 4: 847. https://doi.org/10.3390/nu11040847
APA StyleNakamura, M., Miura, A., Nagahata, T., Shibata, Y., Okada, E., & Ojima, T. (2019). Low Zinc, Copper, and Manganese Intake is Associated with Depression and Anxiety Symptoms in the Japanese Working Population: Findings from the Eating Habit and Well-Being Study. Nutrients, 11(4), 847. https://doi.org/10.3390/nu11040847
 
        


 
       