Personalized Nutrient Profiling of Food Patterns: Nestlé’s Nutrition Algorithm Applied to Dietary Intakes from NHANES
Abstract
:1. Introduction
2. Materials and Methods
2.1. Nestlé Nutrition Algorithm (NNA)
2.1.1. The Selection of Index Nutrients
2.1.2. Defining Healthy Ranges for Nutrients
2.1.3. Defining Healthy Ranges for Energy
2.2. NNA Applied to MyPlate and DASH Menu Plans
2.3. NNA Applied to NHANES 2007–2014 Dietary Intakes
2.4. Statistical Analysis
2.4.1. Comparisons between NNA and HEI-2010 Using NHANES 2011–2012
2.4.2. Internal Consistency
2.5. NNA Applied to FPED Food Groups
3. Results
3.1. NNA Applied to MyPlate and DASH Menu Plans
Relative Validation of Healthy Ranges
3.2. NNA Applied to NHANES 2007–2014 Dietary Intakes
3.3. Comparisons between NNA and HEI-2010 using NHANES 2011–2012
3.3.1. Correlations
3.3.2. Bland–Altman Plots (Women Aged 31–50 Years, Non-Pregnant and Non-Lactating)
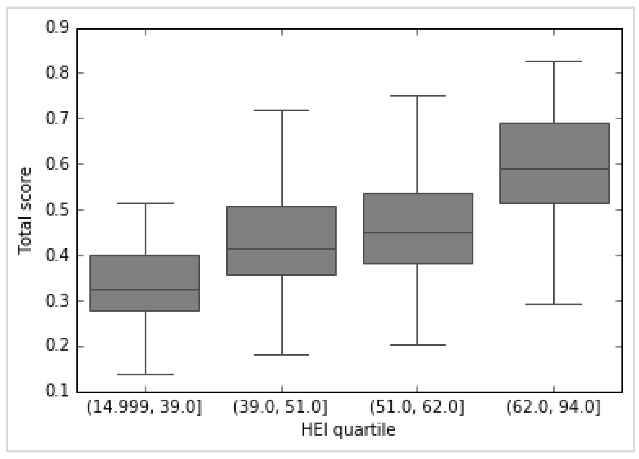
3.3.3. Analysis by Quartile (Women Aged 31–50 Years, Non-Pregnant and Non-Lactating)
3.3.4. Impact of Age, Gender, and Socioeconomic Status
3.4. Validation against Food Groups
3.5. Internal Consistency
3.6. Principal Component Analysis
4. Discussion
5. Conclusions
6. Patents
Author Contributions
Funding
Acknowledgments
Conflicts of Interest
Appendix A
| MyPlate | DASH | ||||
|---|---|---|---|---|---|
| Nutrients | Mean | SD | Mean | SD | |
| Energy, Kcal | 2094 | 212 | 2286 | 110 | |
| Carbohydrate, % energy intake | 54 | 7 | 54 | 2 | |
| Protein, % energy intake | 19 | 3 | 19 | 2 | |
| Total fat, % energy intake | 29 | 7 | 30 | 1 | |
| Saturated fat, % energy intake | 7 | 2 | 7 | 1 | |
| Added sugars, % energy intake | 5 | 3 | 4 | 2 | |
| Calcium, mg | 1449 | 271 | 1468 | 202 | |
| Food folate, mcg | 448 | 173 | 412 | 110 | |
| Fiber, g | 31 | 3 | 34 | 3 | |
| Iron, mg | 18 | 5 | 19 | 5 | |
| Magnesium, mg | 507 | 64 | 569 | 53 | |
| Potassium, mg | 4891 | 494 | 4918 | 244 | |
| Sodium, mg | 1825 | 341 | 1935 | 255 | |
| Vitamin A, mcg | 1127 | 535 | 1301 | 757 | |
| Vitamin C, mg | 173 | 98 | 194 | 67 | |
| Vitamin D, mcg | 9 | 8 | 3 | 5 | |
| Vitamin E, mcg | 10 | 4 | 21 | 2 | |
Appendix B
| MyPlate 7-Day 2000 Calorie Menus | ||
|---|---|---|
| Day | Ingredients | Measure (g) |
| Day 1 | ||
| Breakfast | Uncooked oatmeal | 41 |
| Fat-free milk | 245 | |
| Raisins | 18 | |
| Brown Sugar | 25 | |
| Orange Juice (unsweetened) | 248 | |
| Lunch | Tortilla chips | 57 |
| Cooked ground turkey | 57 | |
| Corn & Canola oil | 9 | |
| Kidney beans | 46 | |
| Low-fat cheddar cheese | 14 | |
| Chopped lettuce | 18 | |
| Avocado | 115 | |
| Lime juice | 6 | |
| Salsa | 36 | |
| Coffee | 179 | |
| Dinner | Lasagna noodles | 57 |
| Cooked spinach | 90 | |
| Ricotta cheese-whole milk | 124 | |
| Part-skim mozzarella | 28 | |
| Tomato sauce | 120 | |
| Whole wheat roll | 28 | |
| Tub margarine | 5 | |
| Fat-free milk | 245 | |
| Snack | Raisins | 18 |
| Almonds (unsalted) | 28 | |
| Day 2 | ||
| Breakfast | Tortilla, flour | 49 |
| Scrambled egg | 61 | |
| Black beans | 65 | |
| Salsa | 36 | |
| Grapefruit | 118 | |
| Coffee | 179 | |
| Lunch | Whole-grain bun | 65 |
| Lean roast beef | 57 | |
| Part-skim mozzarella | 28 | |
| Tomato | 54 | |
| Mushrooms | 39 | |
| Corn & Canola oil | 9 | |
| Mustard | 5 | |
| Potato wedges | 100 | |
| Ketchup | 17 | |
| Fat-free milk | 245 | |
| Dinner | Salmon filet | 113 |
| Olive oil | 5 | |
| Lemon juice | 10 | |
| Cooked beet greens | 38 | |
| Corn/canola oil | 9 | |
| Quinoa | 185 | |
| Slivered almonds | 14 | |
| Fat-free milk | 245 | |
| Snack | Cantaloupe balls | 177 |
| Day 3 | ||
| Breakfast | Oat cereal ready to eat | 42 |
| Banana | 118 | |
| Fat-free milk | 123 | |
| Whole-wheat toast | 42 | |
| Tub margarine | 5 | |
| Prune juice | 256 | |
| Lunch | Rye bread | 64 |
| Tuna | 57 | |
| Mayonnaise | 14 | |
| Chopped celery | 8 | |
| Shredded lettuce | 18 | |
| Peach | 150 | |
| Fat-free milk | 245 | |
| Dinner | Cooked chicken breast | 85 |
| Sweet potato, roasted | 180 | |
| Succotash (limas & corn) | 96 | |
| Tub margarine | 9 | |
| Whole-wheat roll | 28 | |
| Coffee | 179 | |
| Snack | Dried Apricots | 33 |
| Yogurt (Chocolate.; 0% Fat) | 245 | |
| Day 4 | ||
| Breakfast | Whole-wheat English muffin | 66 |
| All-fruit preserves | 20 | |
| Hard-cooked egg | 50 | |
| Coffee | 179 | |
| Lunch | Chunky vegetable soup + pasta | 288 |
| White beans | 101 | |
| Saltine crackers | 18 | |
| Celery sticks | 51 | |
| Fat-free milk | 245 | |
| Dinner | Macaroni pasta | 57 |
| Cooked ground beef | 57 | |
| Corn/canola oil | 9 | |
| Tomato sauce | 120 | |
| Grated parmesan cheese | 15 | |
| Raw spinach leaves | 30 | |
| Tangerine sections | 98 | |
| Chopped walnuts | 59 | |
| Oil & vinegar dressing | 21 | |
| Coffee | 179 | |
| Snack | Nonfat fruit yogurt | 245 |
| Day 5 | ||
| Breakfast | Shredded wheat | 49 |
| Sliced banana | 75 | |
| Fat-free milk | 123 | |
| Slice whole-wheat toast | 25 | |
| All-fruit preserves | 7 | |
| Fat-free chocolate milk | 245 | |
| Lunch | Whole-wheat pita bread | 57 |
| Roasted turkey, sliced | 85 | |
| Tomato | 54 | |
| Shredded lettuce | 9 | |
| Mustard | 5 | |
| Mayonnaise | 14 | |
| Grapes | 46 | |
| Tomato juice | 243 | |
| Dinner | Broiled beef steak | 113 |
| Mashed potatoes | 140 | |
| Cooked green beans | 63 | |
| Tub margarine | 9 | |
| Honey | 7 | |
| Whole wheat roll | 28 | |
| Frozen yogurt (chocolate) | 87 | |
| Sliced strawberries | 42 | |
| Fat-free milk | 245 | |
| Snack | Frozen yogurt (chocolate) | 174 |
| Day 6 | ||
| Breakfast | Whole wheat bread | 64 |
| Fat-free milk | 45 | |
| Egg (in French toast) | 34 | |
| Tub margarine | 9 | |
| Pancake syrup | 20 | |
| Large grapefruit | 118 | |
| Fat-free milk | 245 | |
| Lunch | Kidney beans | 46 |
| Navy beans | 26 | |
| Black beans | 36 | |
| Tomato sauce | 120 | |
| Chopped onions | 40 | |
| Chopped Jalapeno peppers | 11 | |
| Corn/canola oil | 5 | |
| Cheese Sauce | 63 | |
| Large baked potato | 299 | |
| Cantaloupe melon | 90 | |
| Coffee | 179 | |
| Dinner | Cheese pizza, thin crust | 138 |
| Lean ham | 28 | |
| Pineapple | 41 | |
| Mushrooms | 39 | |
| Safflower oil | 5 | |
| Mixed salad greens | 36 | |
| Oil & vinegar dressing | 21 | |
| Fat-free milk | 245 | |
| Snack | Hummus | 45 |
| Whole-wheat crackers | 23 | |
| Day 7 | ||
| Breakfast | Buckwheat pancakes | 146 |
| Pancake syrup | 20 | |
| Sliced strawberries | 42 | |
| Orange Juice (unsweetened) | 248 | |
| Lunch | Canned clams | 85 |
| Potato | 170 | |
| Chopped onion | 20 | |
| Chopped celery | 15 | |
| Evaporated milk | 96 | |
| Bacon | 28 | |
| White flour | 8 | |
| Whole-wheat crackers | 46 | |
| Orange | 140 | |
| Fat-free milk | 306 | |
| Dinner | Firm tofu | 114 |
| Chopped Chinese cabbage | 38 | |
| Sliced bamboo shoots | 38 | |
| Chopped sweet red peppers | 19 | |
| Chopped green peppers | 19 | |
| Corn/canola oil | 14 | |
| Cooked brown rice | 195 | |
| Honeydew melon | 128 | |
| Plain fat-free yogurt | 123 | |
| Coffee | 179 | |
| Snack | Banana | 118 |
| Peanut butter | 32 | |
| Non-fat fruit yogurt | 245 | |
| DASH 7-Day 2000 Calorie Menus | ||
| Day 1 | ||
| Breakfast | Bran flakes cereal | 30 |
| Banana | 118 | |
| Low-fat milk | 246 | |
| Whole wheat bread | 32 | |
| Soft (tub) margarine | 5 | |
| Orange juice | 248 | |
| Lunch | Chicken salad: | |
| Chicken breast, cooked, cubed, and skinless | 91 | |
| Celery, chopped | 5 | |
| Lemon juice | 3 | |
| Onion powder | 0 | |
| Salt | 0 | |
| Mayonnaise, low-fat | 9 | |
| Whole wheat bread | 32 | |
| Dijon mustard (prepared, yellow) | 15 | |
| Cucumber slices | 52 | |
| Tomato wedges | 90 | |
| Sunflower seeds | 9 | |
| Italian dressing, low calorie | 5 | |
| Fruit cocktail, juice pack | 119 | |
| Dinner | Beef, eye of the round | 85 |
| Beef gravy, fat-free | 36 | |
| Green beans, sautéed with | 125 | |
| Canola oil | 2 | |
| Baked potato | 138 | |
| Sour cream, fat-free | 12 | |
| Grated natural cheddar cheese, reduced fat | 10 | |
| Chopped scallions | 6 | |
| Whole wheat roll: | 28 | |
| Soft (tub) margarine | 5 | |
| Apple | 149 | |
| Low-fat milk | 246 | |
| Snacks | Almonds, unsalted | 48 |
| Raisins | 41 | |
| Fruit yogurt, fat-free, no sugar added | 123 | |
| Day 2 | ||
| Breakfast | Instant oatmeal | 28 |
| Whole wheat bagel | 50 | |
| Peanut butter | 32 | |
| Banana | 118 | |
| Low-fat milk | 246 | |
| Lunch | Chicken breast, skinless | 84 |
| Whole wheat bread | 64 | |
| Cheddar cheese, reduced fat | 21 | |
| Romaine lettuce (outer leaf) | 28 | |
| Tomato | 40 | |
| Mayonnaise, low-fat (reduced fat with olive oil) | 15 | |
| Cantaloupe chunks | 160 | |
| Apple juice | 248 | |
| Dinner | Spaghetti | 140 |
| Vegetarian spaghetti sauce | ||
| Olive oil | 5 | |
| Onions, chopped | 12 | |
| Garlic, chopped | 2 | |
| Zucchini, sliced | 24 | |
| Oregano, dried (ground) | 1 | |
| Basil, dried | 1 | |
| Canned tomato sauce | 31 | |
| Canned tomato paste | 75 | |
| Tomatoes, chopped | 41 | |
| Water | 40 | |
| Parmesan cheese | 15 | |
| Spinach leaves | 30 | |
| Carrots, grated | 28 | |
| Mushrooms, sliced | 18 | |
| Vinaigrette dressing | ||
| Garlic, separated and peeled | 8 | |
| Water | 30 | |
| Red wine vinegar | 4 | |
| Honey | 1 | |
| Virgin olive oil | 3 | |
| Black pepper | 1 | |
| Corn, cooked from frozen | 83 | |
| Canned pears, juice pack | 124 | |
| Snacks | Almonds, unsalted | 48 |
| Dried apricots | 33 | |
| Fruit yogurt, fat-free, no sugar added | 245 | |
| Day 3 | ||
| Breakfast | Bran flakes cereal | 30 |
| Banana | 118 | |
| Low-fat milk | 246 | |
| Whole wheat bread | 32 | |
| Soft (tub) margarine | 5 | |
| Orange juice | 248 | |
| Lunch | Beef, eye of round | 57 |
| Barbeque sauce | 28 | |
| Cheddar cheese, reduced fat | 56 | |
| Hamburger bun | 42 | |
| Romaine lettuce (outer leaf) | 28 | |
| Tomato | 40 | |
| New potato salad | ||
| New potatoes | 156 | |
| Olive oil | 5 | |
| Green onions, chopped | 4 | |
| Black pepper | 0 | |
| Orange | 131 | |
| Dinner | Cod, cooked | 85 |
| Lemon juice | 5 | |
| Brown rice, cooked | 98 | |
| Spinach, cooked from frozen, sautéed with: | 190 | |
| Canola oil | 5 | |
| Almonds, slivered | 8 | |
| Cornbread muffin, made with oil | 33 | |
| Soft (tub) margarine | 5 | |
| Snacks | Fruit yogurt, fat-free, no added sugar | 245 |
| Sunflower seeds | 9 | |
| Graham cracker | 28 | |
| Peanut butter | 32 | |
| Day 4 | ||
| Breakfast | Whole wheat bread | 32 |
| Soft (tub) margarine | 5 | |
| Fruit yogurt, fat-free | 245 | |
| Peach | 150 | |
| Grape juice | 127 | |
| Lunch | Ham and cheese sandwich: | |
| Ham, low-fat, low sodium | 57 | |
| Cheddar cheese, reduced fat | 21 | |
| Whole wheat bread | 64 | |
| Romaine lettuce (outer leaf) | 28 | |
| Tomato | 40 | |
| Mayonnaise, low-fat (reduced fat with olive oil) | 15 | |
| Carrot sticks | 122 | |
| Dinner | Chicken and Spanish rice | |
| Onions, chopped | 32 | |
| Green peppers | 22 | |
| Vegetable oil (sunflower) | 2 | |
| Canned tomato sauce | 37 | |
| Parsley, chopped | 1 | |
| Black pepper | 1 | |
| Garlic, minced (powder) | 1 | |
| Cooked brown rice (cooked in unsalted water) | 195 | |
| Chicken breasts, cooked, skin and bone removed, and diced | 98 | |
| Green peas, sautéed with: | 160 | |
| Canola oil | 5 | |
| Cantaloupe chunks | 160 | |
| Low-fat milk | 246 | |
| Snacks | Almonds, unsalted | 48 |
| Apple juice | 248 | |
| Dried apricots | 33 | |
| Low-fat milk | 246 | |
| Day 5 | ||
| Breakfast | Whole grain oat rings cereal | 37 |
| Banana | 118 | |
| Low-fat milk | 246 | |
| Raisin bagel | 105 | |
| Peanut butter | 32 | |
| Orange juice | 248 | |
| Lunch | Tuna salad | |
| Canned tuna, water pack | 34 | |
| Celery, chopped | 10 | |
| Green onions, chopped | 5 | |
| Mayonnaise, low-fat | 20 | |
| Romaine lettuce (outer leaf) | 28 | |
| Whole wheat bread | 32 | |
| Cucumber slices (with peel) | 104 | |
| Tomato wedges | 90 | |
| Vinaigrette dressing | 22 | |
| Cottage cheese, low-fat | 113 | |
| Canned pineapple, juice pack | 91 | |
| Dinner | Turkey meatloaf | |
| Lean ground turkey | 91 | |
| Regular oats, dry | 8 | |
| Egg, whole | 10 | |
| Onion, dehydrated flakes | 1 | |
| Ketchup (low sodium) | 12 | |
| Baked potato | 138 | |
| Sour cream, fat-free | 12 | |
| Natural cheddar cheese, reduced fat, grated | 14 | |
| Scallion stalk, chopped | 5 | |
| Collard greens, sautéed with: | 36 | |
| Canola oil | 5 | |
| Whole wheat roll | 28 | |
| Peach | 150 | |
| Snacks | Fruit yogurt, fat-free, | 123 |
| Sunflower seeds, unsalted | 17 | |
| Day 6 | ||
| Breakfast | Low-fat granola bar | 24 |
| Banana | 118 | |
| Fruit yogurt, fat-free, no sugar added | 123 | |
| Orange juice | 248 | |
| Low-fat milk | 246 | |
| Lunch | Turkey breast | 85 |
| Whole wheat bread | 64 | |
| Romaine lettuce (outer leaf) | 28 | |
| Tomato | 40 | |
| Mayonnaise, low-fat | 10 | |
| Dijon mustard (prepared, yellow) | 15 | |
| Steamed broccoli, cooked from frozen (boiled) | 184 | |
| Orange | 131 | |
| Dinner | Spicy baked fish | |
| Salmon fillet | 114 | |
| Virgin olive oil | 3 | |
| Spicy seasoning, salt-free | 1 | |
| Scallion rice | ||
| Cooked brown rice (cooked in unsalted water) | 176 | |
| Bouillon granules, low sodium | 1 | |
| Green onions, chopped | 4 | |
| Spinach, cooked from frozen, sautéed with: | 95 | |
| Canola oil | 9 | |
| Almonds, slivered | 8 | |
| Carrots, cooked from frozen | 146 | |
| Whole wheat roll | 28 | |
| Soft (tub) margarine | 5 | |
| Cookie | 12 | |
| Snacks | Peanuts, unsalted | 19 |
| Low-fat milk | 246 | |
| Dried apricots | 33 | |
| Day 7 | ||
| Breakfast | Whole grain oat rings cereal | 37 |
| Banana | 118 | |
| Low-fat milk | 246 | |
| Fruit yogurt, fat-free | 245 | |
| Lunch | Canned tuna, drained, rinsed | 73 |
| Mayonnaise, low-fat (reduced fat with olive oil) | 15 | |
| Romaine lettuce (outer leaf) | 28 | |
| Tomato | 40 | |
| Whole wheat bread | 64 | |
| Apple | 182 | |
| Low-fat milk | 246 | |
| Dinner | Zucchini lasagna | |
| Cooked lasagna noodles, cooked in unsalted water | 38 | |
| Part-skim mozzarella cheese, grated | 14 | |
| Cottage cheese, fat-free | 36 | |
| Parmesan cheese, grated | 4 | |
| Raw zucchini, sliced | 19 | |
| Low-sodium tomato sauce (tomato and vegetable) | 101 | |
| Basil, dried | 1 | |
| Oregano, dried | 1 | |
| Onion, chopped | 7 | |
| Garlic | 1 | |
| Black pepper | 0 | |
| Fresh spinach leaves | 30 | |
| Tomato wedges | 180 | |
| Croutons, seasoned | 5 | |
| Vinaigrette dressing, reduced calorie | 22 | |
| Sunflower seeds | 9 | |
| Whole wheat roll | 28 | |
| Soft (tub) margarine | 5 | |
| Grape juice | 253 | |
| Snacks | Almonds, unsalted | 48 |
| Dried apricots | 33 | |
| Whole wheat crackers | 28 | |
References
- Drewnowski, A. Concept of a nutritious food: Toward a nutrient density score. Am. J. Clin. Nutr. 2005, 82, 721–732. [Google Scholar] [CrossRef] [PubMed]
- Drewnowski, A.; Fulgoni, V., III. Nutrient profiling of foods: Creating a nutrient rich food index. Nutr. Rev. 2008, 66, 23–39. [Google Scholar] [CrossRef] [PubMed]
- Drewnowski, A. Defining nutrient density: Development and validation of the nutrient rich foods index. J. Am. Coll. Nutr. 2009, 28, 421S–426S. [Google Scholar] [CrossRef]
- Roodenburg, A.J.C.; Popkin, B.M.; Seidell, J.C. Development of international criteria for a front of package food labelling system: The international choices programme. Eur. J. Clin. Nutr. 2011, 65, 1190–1200. [Google Scholar] [CrossRef] [PubMed]
- Sacks, G.; Rayner, M.; Stockley, L.; Scarborough, P.; Snowdon, W.; Swinburn, B. Applications of nutrient profiling: Potential role in diet-related chronic disease prevention and the feasibility of a core nutrient-profiling system. Eur. J. Clin. Nutr. 2011, 65, 298–306. [Google Scholar] [CrossRef] [PubMed]
- Hughes, C.; Wellard, L.; Lin, J.; Suen, K.L.; Chapman, K. Regulating health claims on food labels using nutrient profiling: What will the proposed standard mean in the Australian supermarket? Public Health Nutr. 2013, 16, 2154–2161. [Google Scholar] [CrossRef] [PubMed]
- Rayner, M.; Scarborough, P.; Kaur, A. Nutrient profiling and the regulation of marketing to children. Possibilities and pitfalls. Appetite 2013, 62, 232–235. [Google Scholar] [CrossRef]
- Vlassopoulos, A.; Masset, G.; Charles, V.; Hoover, C.; Chesneau-Guillemont, C.; Leroy, F.; Lehmann, U.; Spieldenner, J.; Tee, E.-S.; Gibney, M.; et al. A nutrient profiling system for the (re)formulation of a global food and beverage portfolio. Eur. J. Nutr. 2017, 56, 1105–1122. [Google Scholar] [CrossRef]
- Calton, E.K.; James, A.P.; Pannu, P.K.; Soares, M.J. Certain dietary patterns are beneficial for the metabolic syndrome: Reviewing the evidence. Nutr. Res. 2014, 34, 559–568. [Google Scholar] [CrossRef]
- Mozaffarian, D. Dietary and policy priorities for cardiovascular disease, diabetes, and obesity. Circulation 2016, 133, 187–225. [Google Scholar] [CrossRef]
- Fern, E.B.; Watzke, H.; Barclay, D.V.; Roulin, A.; Drewnowski, A. The nutrient balance concept: A new quality metric for composite meals and diets. PLoS ONE 2015, 10, e0130491. [Google Scholar] [CrossRef] [PubMed]
- Gibney, M.J.; Barr, S.I.; Bellisle, F.; Drewnowski, A.; Fagt, S.; Livingstone, B.; Masset, G.; Varela Moreiras, G.; Moreno, L.A.; Smith, J.; et al. Breakfast in human nutrition: The international breakfast research initiative. Nutrients 2018, 10, 559. [Google Scholar] [CrossRef] [PubMed]
- Barr, S.; Vatanparast, H.; Smith, J. Breakfast in Canada: Prevalence of consumption, contribution to nutrient and food group intakes, and variability across Tertiles of daily diet quality. A study from the international breakfast research initiative. Nutrients 2018, 10, 985. [Google Scholar] [CrossRef] [PubMed]
- Fagt, S.; Matthiessen, J.; Thyregod, C.; Kørup, K.; Biltoft-Jensen, A. Breakfast in Denmark. Prevalence of consumption, intake of foods, nutrients and dietary quality. A study from the international breakfast research initiative. Nutrients 2018, 10, 1085. [Google Scholar] [CrossRef]
- Ruiz, E.; Ávila, J.M.; Valero, T.; Rodriguez, P.; Varela-Moreiras, G. Breakfast Consumption in Spain: Patterns, nutrient intake and quality. Findings from the ANIBES Study, a Study from the international breakfast research initiative. Nutrients 2018, 10, 1324. [Google Scholar] [CrossRef] [PubMed]
- Bellisle, F.; Hébel, P.; Salmon-Legagneur, A.; Vieux, F. Breakfast consumption in French children, adolescents, and adults: A nationally representative cross-sectional survey examined in the context of the international breakfast research initiative. Nutrients 2018, 10, 1056. [Google Scholar] [CrossRef] [PubMed]
- Drewnowski, A.; Rehm, C.D.; Vieux, F. Breakfast in the United States: Food and nutrient intakes in relation to diet quality in national health and examination survey 2011–2014. A Study from the International breakfast research initiative. Nutrients 2018, 10, 1200. [Google Scholar] [CrossRef]
- Gaal, S.; Kerr, M.A.; Ward, M.; McNulty, H.; Livingstone, M.B.E. Breakfast consumption in the UK: Patterns, nutrient intake and diet quality. A study from the international breakfast research initiative group. Nutrients 2018, 10, 999. [Google Scholar] [CrossRef]
- Kennedy, E.T.; Ohls, J.; Carlson, S.; Fleming, K. The healthy eating index—Design and applications. J. Am. Diet. Assoc. 1995, 95, 1103–1108. [Google Scholar] [CrossRef]
- National Cancer Institute: Comparing the HEI-2015, HEI-2010 & HE-2005. Available online: https://epi.grants.cancer.gov/hei/comparing.html (accessed on 26 January 2019).
- Garriguet, D. Diet quality in Canada. Health Rep. 2009, 20, 41–52. [Google Scholar]
- Norte Navarro, A.I.; Ortiz Moncada, R. Spanish diet quality according to the healthy eating index. Nutr. Hosp. 2011, 26, 330–336. [Google Scholar] [PubMed]
- Andrade, S.C.; Previdelli, Á.N.; Marchioni, D.M.; Fisberg, R.M. Evaluation of the reliability and validity of the Brazilian healthy eating index revised. Rev. Saude Publ. 2013, 47, 675–683. [Google Scholar] [CrossRef] [PubMed]
- Roy, R.; Hebden, L.; Rangan, A.; Allman-Farinelli, M. The development, application, and validation of a healthy eating index for Australian Adults (HEIFA-2013). Nutrition 2016, 32, 432–440. [Google Scholar] [CrossRef] [PubMed]
- Scientific Report of the 2015 Dietary Guidelines Advisory Committee. Available online: https://health.gov/dietaryguidelines/2015-scientific-report/pdfs/scientific-report-of-the-2015-dietary-guidelines-advisory-committee.pdf (accessed on 16 November 2018).
- Institute of Medicine. Dietary Reference Intakes for Energy, Carbohydrate, Fiber, Fat, Fatty Acids, Cholesterol, Protein, and Amino Acids. Food and Nutrition Board; National Academy Press: Washington, WA, USA, 2002. [Google Scholar]
- U.S. Department of Agriculture Sample Menus for a 2000 Calorie Food Pattern. Available online: http://www.choosemyplate.gov/food-groups/downloads/Sample_Menus-2000Cals-DG2010.pdf (accessed on 15 May 2015).
- NHLBI, NIH. Your Guide to Lowering Your Blood Pressure with DASH—A Week with the DASH Eating Plan. 2015. Available online: http://www.nhlbi.nih.gov/health/resources/heart/hbp-dash-week-dash-html (accessed on 12 February 2015).
- The Healthy Eating Index: Overview of the Methods and Calculations. Available online: https://epi.grants.cancer.gov/hei/hei-methods-and-calculations.html (accessed on 16 November 2018).
- Wang, D.D.; Leung, C.W.; Li, Y.; Ding, E.L.; Chiuve, S.E.; Hu, F.B.; Willett, W.C. Trends in dietary quality among adults in the United States, 1999 through 2010. JAMA Intern. Med. 2014, 174, 1587–1595. [Google Scholar] [CrossRef] [PubMed]
- Bowman, S.A.; Clemens, J.J.C.; Friday, J.E.; Thoerig, R.C.; Mosfegh, A.J. Food Patterns Equivalents Database 2011–2012: Methodology and User Guide. 2014. Available online: https://www.ars.usda.gov/ARSUserFiles/80400530/pdf/fped/FPED_1112.pdf (accessed on 19 November 2018).
- Bland, J.M.; Altman, D.G. Statistical methods for assessing agreement between two methods of clinical measurement. Lancet 1986, 327, 307–310. [Google Scholar] [CrossRef]
- Minka, T.P. Automatic choice of dimensionality for PCA; MIT Media Laboratory: Cambridge, MA, USA, 2000; pp. 598–604. [Google Scholar]
- Guenther, P.M.; Casavale, K.O.; Reedy, J.; Kirkpatrick, S.I.; Hiza, H.A.B.; Kuczynski, K.J.; Kahle, L.L.; Krebs-Smith, S.M. Update of the healthy eating index: HEI-2010. J. Acad. Nutr. Diet. 2013, 113, 569–580. [Google Scholar] [CrossRef] [PubMed]
- Novaković, R.; Cavelaars, A.; Geelen, A.; Nikolić, M.; Altaba, I.I.; Viñas, B.R.; Ngo, J.; Golsorkhi, M.; Medina, M.W.; Brzozowska, A.; et al. Socio-economic determinants of micronutrient intake and status in Europe: A systematic review. Public Health Nutr. 2014, 17, 1031–1045. [Google Scholar] [CrossRef]
- Wirsam, B.; Uthus, E.O. The use of fuzzy logic in nutrition. J. Nutr. 1996, 126, 2337S–2341S. [Google Scholar] [CrossRef]
- Asghari, G.; Ejtahed, H.-S.; Sarsharzadeh, M.-M.; Nazeri, P.; Mirmiran, P. Designing fuzzy algorithms to develop healthy dietary pattern. Int. J. Endocrinol. Metab. 2013, 11, 151–161. [Google Scholar] [CrossRef]
- Louie, J.C.Y.; Moshtaghian, H.; Boylan, S.; Flood, V.M.; Rangan, A.M.; Barclay, A.W.; Brand-Miller, J.C.; Gill, T.P. A systematic methodology to estimate added sugar content of foods. Eur. J. Clin. Nutr. 2015, 69, 154–161. [Google Scholar] [CrossRef]
- Shim, J.-S.; Oh, K.; Kim, H.C. Dietary assessment methods in epidemiologic studies. Epidemiol. Health 2014, 36, e2014009. [Google Scholar] [CrossRef] [PubMed]
- Ashman, A.M.; Collins, C.E.; Brown, L.J.; Rae, K.M.; Rollo, M.E. Validation of a Smartphone image-based dietary assessment method for pregnant women. Nutrients 2017, 9, 73. [Google Scholar] [CrossRef] [PubMed]
- Illner, A.K.; Freisling, H.; Boeing, H.; Huybrechts, I.; Crispim, S.P.; Slimani, N. Review and evaluation of innovative technologies for measuring diet in nutritional epidemiology. Int. J. Epidemiol. 2012, 41, 1187–1203. [Google Scholar] [CrossRef] [PubMed]






| Question | Strategy |
|---|---|
| Content validity ● Does the score capture the key aspects of diet quality as specified in the current Dietary Guidelines for Americans? | ● Compare the NNA scores against the key recommendations |
| Construct validity ● Does the score give high ranking to menus developed by nutrition experts? | ● Compute scores for sample menus generated according to the Dietary Guidelines for Americans |
| ● What is the underlying structure of the score? | ● Principal component analysis |
| ● Does the score distinguish between groups with known differences in diet quality? | ● Compare scores for different groups in NHANES data |
| ● Does the score agree, to a reasonable extent, with already existing trusted dietary indices? | ● Comparison with HEI 2010 on NHANES data, |
| Reliability ● How internally consistent is the total score? | ● Calculate Cronbach coefficient |
| Day 1 Scores | Day 2 Scores | |||
|---|---|---|---|---|
| Mean | SD | Mean | SD | |
| Added sugars | 0.23 | 0.39 | 0.28 | 0.41 |
| Calcium | 0.59 | 0.40 | 0.62 | 0.39 |
| Carbohydrate | 0.87 | 0.23 | 0.87 | 0.22 |
| Fat, saturated | 0.80 | 0.27 | 0.81 | 0.26 |
| Fat, total | 0.72 | 0.37 | 0.76 | 0.35 |
| Fiber | 0.32 | 0.37 | 0.39 | 0.39 |
| Food Folate | 0.18 | 0.29 | 0.20 | 0.31 |
| Iron | 0.43 | 0.34 | 0.47 | 0.36 |
| Magnesium | 0.61 | 0.36 | 0.67 | 0.34 |
| Potassium | 0.16 | 0.24 | 0.20 | 0.24 |
| Protein | 0.96 | 0.14 | 0.98 | 0.11 |
| Sodium | 0.44 | 0.33 | 0.42 | 0.33 |
| Vitamin A | 0.23 | 0.42 | 0.30 | 0.46 |
| Vitamin C | 0.43 | 0.46 | 0.48 | 0.46 |
| Vitamin D | 0.06 | 0.18 | 0.08 | 0.22 |
| Vitamin E | 0.16 | 0.29 | 0.16 | 0.29 |
| Total score | 0.45 | 0.14 | 0.48 | 0.14 |
| HEI 2010 | NNA | Sample Size | Standard Deviation HEI | Standard Deviation NNA | |
|---|---|---|---|---|---|
| Age | |||||
| 31–50 | 50.2 | 45 | 411 | 14.2 | 14.2 |
| 70+ | 56.3 | 48.7 | 171 | 14.4 | 13 |
| p-value | 9.54 × 10−6 | 2.13 × 10−3 | |||
| Gender | |||||
| Male | 52.9 | 46.2 | 274 | 14.9 | 13.2 |
| Female | 51.2 | 45.9 | 308 | 15.8 | 14 |
| p-value | 1.66 × 10−1 | 7.68 × 10−1 | |||
| SES | |||||
| low | 48.2 | 45.1 | 69 | 16.6 | 14.1 |
| medium | 50.8 | 45.1 | 298 | 15.5 | 13.8 |
| high | 54.9 | 48.1 | 170 | 14.3 | 13 |
| p-value | 1.25 × 10−3 | 5.36 × 10−2 |
| HEI 2010 | NNA | Sample Size | Standard Error HEI | Standard Error NNA | |
|---|---|---|---|---|---|
| Age | |||||
| 31–50 | 49.8 | 23.3 | 1557 | 0.4 | 0.5 |
| 70+ | 55.8 | 27 | 649 | 0.6 | 0.8 |
| p-value | 3.77 × 10−18 | 1.18 × 10−4 | |||
| Gender | |||||
| Male | 51.1 | 22.9 | 1082 | 0.4 | 0.6 |
| Female | 52.1 | 25.8 | 1124 | 0.5 | 0.6 |
| p-value | 8.7522 × 10−2 | 8.75 × 10−4 | |||
| SES | |||||
| low | 47.9 | 20.9 | 304 | 0.8 | 1.2 |
| medium | 50.5 | 23.6 | 1148 | 0.4 | 0.6 |
| high | 55.3 | 27.8 | 583 | 0.6 | 0.9 |
| p-value | 7.58 × 10−14 | 2.39 × 10−6 |
| NNA Tertile | (0, 0.34) | (0.34, 0.47) | (0.47, 0.77) | p-Value (Kruskal Test) | ||
|---|---|---|---|---|---|---|
| Food Group | ||||||
| Dark green veg | cup-eq/1000 kcal | 0.072 | 0.066 | 0.248 | 0.000000 | |
| Red orange veg | cup-eq/1000 kcal | 0.036 | 0.023 | 0.096 | 0.000014 | |
| Cured meat | oz-eq/1000 kcal | 0.486 | 0.3 | 0.33 | 0.008600 | |
| Citrus melon berries | cup-eq/1000 kcal | 0.05 | 0.082 | 0.169 | 0.000010 | |
| Solid fats | g/1000 kcal | 18.157 | 16.496 | 12.783 | 0.000006 | |
| Whole grain | cup-eq/1000 kcal | 0.203 | 0.296 | 0.674 | 0.000000 | |
| Refined grains | cup-eq/1000 kcal | 2.491 | 2.834 | 2.669 | 0.170000 | |
| Whole fruit | cup-eq/1000 kcal | 0.203 | 0.236 | 0.517 | 0.000000 | |
| Cronbach’s Alpha | Confidence Interval (95%) | Sample Size | |
|---|---|---|---|
| Day 1 | 0.85 | (0.85, 0.86) | 155 |
| Day 2 | 0.87 | (0.86, 0.87) | 135 |
© 2019 by the authors. Licensee MDPI, Basel, Switzerland. This article is an open access article distributed under the terms and conditions of the Creative Commons Attribution (CC BY) license (http://creativecommons.org/licenses/by/4.0/).
Share and Cite
Mainardi, F.; Drewnowski, A.; Green, H. Personalized Nutrient Profiling of Food Patterns: Nestlé’s Nutrition Algorithm Applied to Dietary Intakes from NHANES. Nutrients 2019, 11, 379. https://doi.org/10.3390/nu11020379
Mainardi F, Drewnowski A, Green H. Personalized Nutrient Profiling of Food Patterns: Nestlé’s Nutrition Algorithm Applied to Dietary Intakes from NHANES. Nutrients. 2019; 11(2):379. https://doi.org/10.3390/nu11020379
Chicago/Turabian StyleMainardi, Fabio, Adam Drewnowski, and Hilary Green. 2019. "Personalized Nutrient Profiling of Food Patterns: Nestlé’s Nutrition Algorithm Applied to Dietary Intakes from NHANES" Nutrients 11, no. 2: 379. https://doi.org/10.3390/nu11020379
APA StyleMainardi, F., Drewnowski, A., & Green, H. (2019). Personalized Nutrient Profiling of Food Patterns: Nestlé’s Nutrition Algorithm Applied to Dietary Intakes from NHANES. Nutrients, 11(2), 379. https://doi.org/10.3390/nu11020379
