Modifications of Own Mothers’ Milk Fortification Protocol Affect Early Plasma IGF-I and Ghrelin Levels in Preterm Infants. A Randomized Clinical Trial
Abstract
1. Introduction
2. Materials and Methods
2.1. Study Design and Population
2.2. Exclusion Criteria
2.3. Ethics
2.4. Intervention and Randomization
2.5. Breast Milk Collection Protocol and Analysis
2.6. Data Collection
2.7. Growth Assessment
2.8. Hormone Assessment
2.9. Statistical Analysis
2.10. Sample Size Calculation
3. Results
3.1. Study Population Characteristics
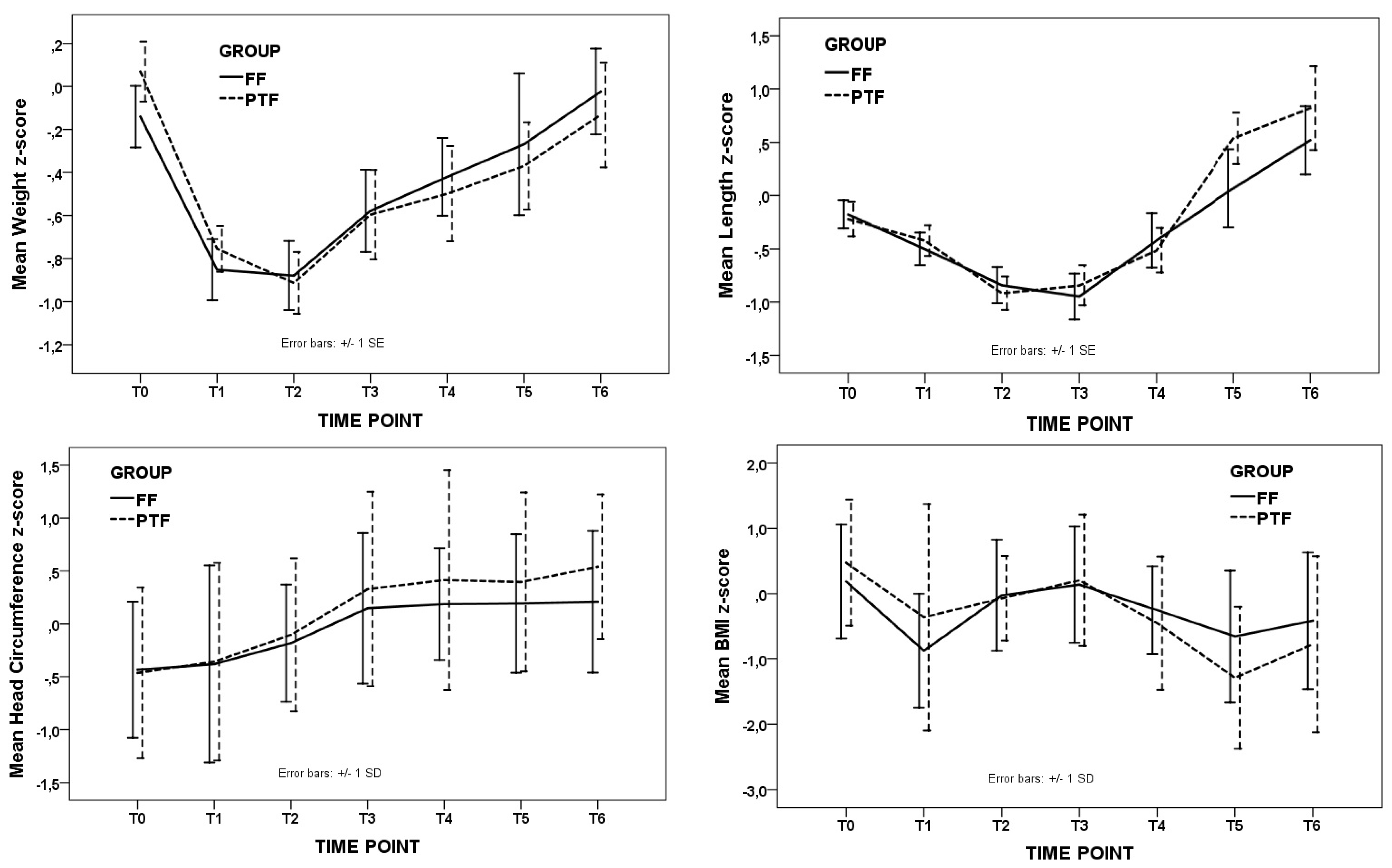
3.2. Nutrient Intake and Growth
3.3. Plasma Levels of IGF-1 and Ghrelin in the Two Groups and Correlation with Nutrient Intake and Growth
3.4. Multivariate Linear Regression
3.5. Effect of Fortification Protocols on Nutrient and Energy Intake
4. Discussion
5. Conclusions
Supplementary Materials
Author Contributions
Funding
Conflicts of Interest
References
- Cañizo Vázquez, D.; Salas García, S.; Izquierdo Renau, M.; Iglesias-Platas, I. Availability of donor milk for very preterm infants decreased the risk of necrotizing enterocolitis without adversely impacting growth or rates of breastfeeding. Nutrients 2019, 11, 1895. [Google Scholar] [CrossRef] [PubMed]
- Gila-Diaz, A.; Arribas, S.M.; Algara, A.; Martín-Cabrejas, M.A.; López de Pablo, Á.L.; Sáenz de Pipaón, M.; Ramiro-Cortijo, D. A review of bioactive factors in human breastmilk: A focus on prematurity. Nutrients 2019, 11, 1307. [Google Scholar] [CrossRef]
- Lapillonne, A.; Griffin, I.J. Feeding preterm infants today for later metabolic and cardiovascular outcomes. J. Pediatr. 2013, 162, S7–S16. [Google Scholar] [CrossRef] [PubMed]
- Fu, T.T.; Schroder, P.E.; Poindexter, B.B. Macronutrient analysis of target-pooled donor breast milk and corresponding growth in very low birth weight infants. Nutrients 2019, 11, 1884. [Google Scholar] [CrossRef] [PubMed]
- Fischer Fumeaux, C.J.; Garcia-Rodenas, C.L.; De Castro, C.A.; Courtet-Compondu, M.C.; Thakkar, S.K.; Beauport, L.; Tolsa, J.F.; Affolter, M. Longitudinal analysis of macronutrient composition in preterm and term human milk: A prospective cohort study. Nutrients 2019, 11, 1525. [Google Scholar] [CrossRef]
- Agostoni, C.; Buonocore, G.; Carnielli, V.P.; de Curtis, M.; Darmaun, D.; Decsi, T.; Domellöf, M.; Embleton, N.D.; Fusch, C.; Genzel-Boroviczeny, O.; et al. ESPGHAN Committee on Nutrition. Enteral nutrient supply for preterm infants: Commentary from the European Society of Paediatric Gastroenterology, Hepatology, and Nutrition Committee on Nutrition. J. Pediatr. Gastroenterol. Nutr. 2010, 50, 85–91. [Google Scholar] [CrossRef]
- Di Natale, C.; di Fabio, S. Fortification of Maternal Milk. J. Pediatr. Neon. Indiv. Med. 2013, 2, e020224. Available online: http://www.jpnim.com/index.php/jpnim/article/viewFile/020224/107 (accessed on 18 December 2015). [CrossRef]
- Demmelmair, H.; von Rosen, J.; Koletzko, B. Long-term consequences of early nutrition. Early Hum. Dev. 2006, 82, 567–574. [Google Scholar] [CrossRef]
- Verduci, E.; Banderali, G.; Barberi, S.; Radaelli, G.; Lops, A.; Betti, F.; Riva, E.; Giovannini, M. Epigenetic effects of human breast milk. Nutrients 2014, 6, 1711–1724. [Google Scholar] [CrossRef]
- Ranke, M.; Schweizer, R.; Rodemann, S.M.; Bevot, A.; Martin, D.D.; Goelz, R.; Wollmann, H.A.; Krägeloh-Mann, I.; Binder, G. Schoolchildren born VLBW or VLGA show height-related changes in body composition and muscle function but no evidence of metabolic syndrome risk factors. Results from the NEOLONG study. J. Pediatr. Endocrinol. Metab. 2016, 29, 163–172. [Google Scholar] [CrossRef]
- Hellström, A.; Ley, D.; Hansen-Pupp, I.; Hallberg, B.; Ramenghi, L.A.; Löfqvist, C.; Smith, L.E.H.; Hård, A.-L. Role of insulin like growth factor 1 in fetal development and in the early postnatal life of premature infants. Am. J. Perinatol. 2016, 33, 1067–1071. [Google Scholar] [CrossRef]
- Rzehak, P.; Grote, V.; Lattka, E.; Weber, M.; Gruszfeld, D.; Socha, P.; Closa-Monasterolo, R.; Escribano, J.; Giovannini, M.; Verduci, E.; et al. European Childhood Obesity Trial Study Group. Associations of IGF-1 gene variants and milk protein intake with IGF-I concentrations in infants at age 6 months - results from a randomized clinical trial. Growth Horm. IGF Res. 2013, 23, 149–158. [Google Scholar] [CrossRef] [PubMed]
- Putet, G.; Labaune, J.M.; Mace, K.; Steenhout, P.; Grathwohl, D.; Raverot, V.; Morel, Y.; Picaud, J.C. Effect of dietary protein on plasma insulin-like growth factor-1, growth, and body composition in healthy term infants: A randomized, double-blind, controlled trial (Early Protein and Obesity in Childhood (EPOCH) study). Br. J. Nutr. 2016, 115, 271–284. [Google Scholar] [CrossRef] [PubMed]
- Socha, P.; Grote, V.; Gruszfeld, D.; Janas, R.; Demmelmair, H.; Closa-Monasterolo, R.; Subías, J.E.; Scaglioni, S.; Verduci, E.; Dain, E.; et al. European Childhood Obesity Trial Study Group. Milk protein intake, the metabolic-endocrine response, and growth in infancy: Data from a randomized clinical trial. Am. J. Clin. Nutr. 2011, 94, 1776S–1784S. [Google Scholar] [CrossRef] [PubMed]
- Shimizu, T.; Kitamura, T.; Yoshikawa, N.; Suganuma., H.; Hisata, K.; Tanaka, K.; Shinohara, K.; Yamashiro, Y. Plasma levels of active ghrelin until 8 weeks after birth in preterm infants: Relationship with anthropometric and biochemical measures. Arch. Dis. Child. Fetal Neonatal Ed. 2007, 92, F291–F292. [Google Scholar] [CrossRef] [PubMed]
- Hernandez, M.I.; Rossel, K.; Peña, V.; Cavada, G.; Avila, A.; Iñiguez, G.; Mericq, V. Leptin and IGF-I/II during the first weeks of life determine body composition at 2 years in infants born with very low birth weight. J. Pediatr. Endocrinol. Metab. 2012, 25, 951–955. [Google Scholar] [CrossRef]
- Ahmad, I.; Zaldivar, F.; Iwanaga, K.; Koeppel, R.; Grochow, D.; Nemet, D. Inflammatory and growth mediators in growing preterm infants. J. Pediatr. Endocrinol. Metab. 2007, 20, 387–396. [Google Scholar] [CrossRef]
- Chen, X.F.; Du, X.; Zhu, J.X.; Xie, L.J.; Zhang, Y.J.; He, Z.J. Correlations of circulating peptide YY and ghrelin with body weight, rate of weight gain, and time required to achieve the recommended daily intake in preterm infants. Braz. J. Med. Biol. Res. 2012, 45, 656–664. [Google Scholar] [CrossRef]
- Darendeliler, F.; Bas, F.; Bundak, R.; Coban, A.; Disci, R.; Sancakli, O.; Gokcay, G.; Ince, Z.; Can, G. Elevated ghrelin levels in preterm born children during prepubertal ages and relationship with catch-up growth. Eur. J. Endocrinol. 2008, 159, 555–560. [Google Scholar] [CrossRef][Green Version]
- Giapros, V.I.; Schiza, V.; Challa, A.S.; Pantou, C.; Theocharis, P.D.; Andronikou, S.K. Serum Insulin-like Growth Factor I (IGF-I), IGF-Binding Proteins-1 and -3, and postnatal growth of late preterm infants. Horm. Metab. Res. 2012, 44, 845–850. [Google Scholar] [CrossRef]
- Martos-Moreno, G.; Barrios, V.; Saenz de Pipaon, M.; Pozo, J.; Dorronsoro, I.; Martınez-Biarge, M.; Quero, J.; Argente, J. Influence of prematurity and growth restriction on the adipokine profile, IGF1, and ghrelin levels in cord blood: Relationship with glucose metabolism. Eur. J. Endocrinol. 2009, 161, 381–389. [Google Scholar] [CrossRef] [PubMed]
- Ohkawa, N.; Shoji, H.; Kitamura, T.; Suganuma, H.; Yoshikawa, N.; Suzuki, M.; Lee, T.; Hisata, K.; Shimizu, T. IGF-I, leptin and active ghrelin levels in very low birth weight infants during the first 8 weeks of life. Acta Pædiatr. 2010, 99, 37–41. [Google Scholar] [CrossRef] [PubMed]
- Lanyi, E.; Varnagy, A.; Kalman, A.; Kovacs, K.A.; Csermely, T.; Szasz, M. Ghrelin and acyl ghrelin in preterm infants and maternal blood: Relationship with endocrine and anthropometric measures. Eur. J. Endocrinol. 2008, 158, 27–33. [Google Scholar] [CrossRef] [PubMed][Green Version]
- Ng, P.C.; Lee, C.H.; Lam, C.W.K.; Chan, I.H.S.; Wong, E.; Fok, T.F. Ghrelin in preterm and term newborns: Relation to anthropometry, leptin and insulin. Clin. Endocrinol. 2005, 63, 217–222. [Google Scholar] [CrossRef] [PubMed]
- Miller, J.; Makrides, M.; Gibson, R.A.; McPhee, A.J.; Stanford, T.E.; Morris, S.; Ryan, P.; Collins, C.T. Effect of increasing protein content of human milk fortifier on growth in preterm infants born at 31 wk gestation: A randomized controlled trial. Am. J. Clin. Nutr. 2012, 95, 648–655. [Google Scholar] [CrossRef] [PubMed]
- Zachariassen, G.; Fenger-Gron, J.; Hviid, M.V.; Halken, S. The content of macronutrients in milk from mothers of very preterm infants is highly variable. Dan. Med. J. 2013, 60, A4631. [Google Scholar] [PubMed]
- Bauer, J.; Gerss, J. Longitudinal analysis of macronutrients and minerals in human milk produced by mothers of preterm infants. Clin. Nutr. 2011, 30, 215–220. [Google Scholar] [CrossRef]
- Hansen-Pupp, I.; Löfqvist, C.; Polberger, S.; Niklasson, A.; Fellman, V.; Hellström, A.; Lay, D. Influence of insulin-like growth factor I and nutrition during phases of postnatal growth in very preterm infants. Pediatr. Res. 2011, 69, 448–453. [Google Scholar] [CrossRef]
- Gabrielli, O.; Zampini, L.; Galeazzi, T.; Padella, L.; Santoro, L.; Peila, C.; Bertino, E.; Fabris, C.; Coppa, G.V. Preterm milk oligosaccharides during the first month of lactation. Pediatrics 2011, 128, e1520–e1531. [Google Scholar] [CrossRef]
- Fusch, G.; Rochow, N.; Choi, A.; Fusch, S.; Poeschl, S.; Ubah, A.O.; Raja, P.; Fusch, C. Rapid measurement of macronutrients in breast milk: How reliable are infrared milk analyzers? Clin. Nutr. 2015, 34, 465–476. [Google Scholar] [CrossRef]
- Austin, S.; De Castro, C.A.; Sprenger, N.; Binia, A.; Affolter, M.; Garcia-Rodenas, C.L.; Beauport, L.; Tolsa, J.F.; Fischer Fumeaux, C.J. Human milk oligosaccharides in the milk of mothers delivering term versus preterm infants. Nutrients 2019, 11, 1282. [Google Scholar] [CrossRef] [PubMed]
- Tonon, M.K.; de Morais, B.M.; Abrão, F.V.A.C.; Miranda, A.; Morais, B.T. Maternal and infant factors associated with human milk oligosaccharides concentrations according to secretor and Lewis phenotypes. Nutrients 2019, 11, 1358. [Google Scholar] [CrossRef] [PubMed]
- Gridneva, Z.; Rea, A.; Tie, W.J.; Lai, C.T.; Kugananthan, S.; Ward, L.C.; Murray, K.; Hartmann, P.E.; Geddes, D.T. Carbohydrates in human milk and body composition of term infants during the first 12 months of lactation. Nutrients 2019, 11, 1472. [Google Scholar] [CrossRef] [PubMed]
- Elwakiel, M.J.; Hageman, A.; Wang, W.; Szeto, I.M.; van Goudoever, J.B.; Hettinga, K.A.; Schols, H.A. Human milk oligosaccharides in colostrum and mature milk of Chinese mothers: Lewis Positive Secretor Subgroups. J. Agric. Food Chem. 2018, 66, 7036–7043. [Google Scholar] [CrossRef]
- Totten, S.M.; Zivkovic, A.M.; Wu, S.; Ngyuen, U.T.; Freeman, S.L.; Ruhaak, L.R.; Darboe, M.K.; German, J.B.; Prentice, A.M.; Lebrilla, C.B. Comprehensive profiles of human milk oligosaccharides yield highly sensitive and specific markers for determining secretor status in lactating mothers. J. Proteome Res. 2012, 11, 6124–6133. [Google Scholar] [CrossRef]
- Koletzko, B.; Broekaert, I.; Demmelmair, H.; Franke, J.; Hannibal, I.; Oberle, D.; Schiess, S.; Baumann, B.T.; Verwied-Jorky, S. EU Childhood Obesity Project. Protein intake in the first year of life: A risk factor for later obesity? The E.U. Childhood Obesity Project. Adv. Exp. Med. Biol. 2005, 569, 69–79. [Google Scholar] [CrossRef]
- Luque, V.; Closa-Monasterolo, R.; Escribano, J.; Ferre, N. Early programming by protein intake: The effect of protein on adiposity development and the growth and functionality of vital organs. Nutr. Metab. Insights 2016, 8 (Suppl. 1), 49–56. [Google Scholar] [CrossRef]
- Fleddermann, M.; Demmelmair, H.; Grote, V.; Bidlingmaier, M.; Grimminger, P.; Bielohuby, M.; Koletzko, B. Role of selected amino acids on plasma IGF-I concentration in infants. Eur. J. Nutr. 2017, 56, 613–620. [Google Scholar] [CrossRef]
- Patro-Golab, B.; Zalewski, B.M.; Kouwenhoven, S.M.P.; Karas, J.; Koletzko, B.; van Goudoever, J.B.; Szajewska, H. Protein concentration in milk formula, growth, and later risk of obesity: A systematic review. J. Nutr. 2016, 146, 551–564. [Google Scholar] [CrossRef]
- Abrams, S.A.; Hawthorne, K.M.; Pammi, M. A systematic review of controlled trials of lower-protein or energy-containing infant formulas for use by healthy fullterm infants. Adv. Nutr. 2015, 6, 178–188. [Google Scholar] [CrossRef]
- Kajantie, E.; Dunkel, L.; Rutanen, E.M.; Seppälä, M.; Koistinen, R.; Sarnesto, A.; Andersson, S. IGF-I, IGF binding protein (IGFBP)-3, phosphoisoforms of IGFBP-1, and postnatal growth in very low birth weight infants. J. Clin. Endocrinol. Metab. 2002, 87, 2171–2179. [Google Scholar] [CrossRef] [PubMed]
- Van de Lagemaat, M.; Rotteveel, J.; Heijboer, A.C.; Lafeber, H.N.; van Weissenbruch, M.M. Growth in preterm infants until six months postterm: The role of insulin and IGF-I. Horm. Res. Paediatr. 2013, 80, 92–99. [Google Scholar] [CrossRef] [PubMed]
- Hübler, A.; Rippel, C.; Kauf, E.; Hoyer, H.; Mainz, J.; Schlenvoigt, D.; Schramm, D. Associations between ghrelin levels in serum of preterm infants and enteral nutritional state during the first 6 months after birth. Clin. Endocrinol. 2006, 65, 611–616. [Google Scholar] [CrossRef] [PubMed]
- Bellone, S.; Baldelli, R.; Radetti, G.; Rapa, A.; Vivenza, D.; Petri, A.; Savastio, S.; Zaffaroni, M.; Broglio, F.; Ghigo, E.; et al. Ghrelin secretion in preterm neonates progressively increases and is refractory to the inhibitory effect of food intake. J. Clin. Endocrinol. Metab. 2006, 91, 1929–1933. [Google Scholar] [CrossRef] [PubMed]
- Lo, H.C.; Tsao, L.Y.; Hsu, W.Y.; Liang, L.; Du, L.; Gu, W. Changes in serum insulin-like growth factors, not leptin, are associated with postnatal weight gain in preterm neonates. J. Parenter. Enteral Nutr. 2005, 29, 87–92. [Google Scholar] [CrossRef] [PubMed]
- Savino, F.; Nanni, G.E.; Maccario, S.; Oggero, R.; Mussa, G.C. Relationships between IGF-I and weight Z score, BMI, tricipital skin-fold thickness, type of feeding in healthy infants in the first 5 months of life. Ann. Nutr. Metab. 2005, 49, 83–87. [Google Scholar] [CrossRef]
- Ejlerskov, K.T.; Larnkjaer, A.; Pedersen, D.; Ritz, C.; Mølgaard, C.; Michaelsen, K.F. IGF-I at 9 and 36 months of age—Relations with body composition and diet at 3 years—The SKOT cohort. Growth Horm. IGF Res. 2014, 24, 239–244. [Google Scholar] [CrossRef]
- Fidanci, K.; Meral, C.; Süleymanoğlu, S.; Pirgon, Ö.; Karademir, F.; Aydınöz, S.; Gültepe, M.; Göçmen, İ. Ghrelin levels and postnatal growth in healthy infants 0–3 months of age. J. Clin. Res. Pediatr. Endocrinol. 2010, 2, 34–38. [Google Scholar] [CrossRef]
- Maas, C.; Mathes, M.; Bleeker, C.; Vek, J.; Bernhard, W.; Wiechers, C.; Peter, A.; Poets, C.F.; Franz, A.R. Effect of increased enteral protein intake on growth in human milk–fed preterm infants. A randomized clinical trial. JAMA Pediatr. 2017, 171, 16–22. [Google Scholar] [CrossRef]
- Kanmaz, H.G.; Mutlu, B.; Canpolat, F.E.; Erdeve, O.; Oguz, S.S.; Uras, N.; Dilmen, U. Human milk fortification with differing amounts of fortifier and its association with growth and metabolic responses in preterm infants. J. Hum. Lact. 2012, 29, 400–440. [Google Scholar] [CrossRef]
- Biasini, A.; Marvulli, L.; Neri, E.; China, M.; Stella, M.; Monti, F. Growth and neurological outcome in ELBW preterms fed with human milk and extra-protein supplementation as routine practice: Do we need further evidence? J. Matern. Fetal Neon. Med. 2012, 25 (Suppl. 4), 72–74. [Google Scholar] [CrossRef] [PubMed]
- Olsen, I.E.; Harris, C.L.; Lawson, M.L.; Berseth, C.L. Higher protein intake improves length, not weight, z scores in preterm infants. JPGN 2014, 58, 409–416. [Google Scholar] [CrossRef] [PubMed]
- Arslanoglu, S.; Moro, G.E.; Ziegler, E.E. Adjustable fortification of human milk fed to preterm infants: Does it make a difference? J. Perinatol. 2006, 26, 614–621. [Google Scholar] [CrossRef] [PubMed]
- Alan, S.; Atasay, B.; Cakir, U.; Yildiz, D.; Kilic, A.; Kahvecioglu, D.; Erdeve, O.; Arsan, S. An intention to achieve better postnatal in-hospital-growth for preterm infants: Adjustable protein fortification of human milk. Early Hum. Dev. 2013, 89, 1017–1023. [Google Scholar] [CrossRef] [PubMed]
- Ergenekon, E.; Soysal, Ş.; Hirfanoğlu, I.; Baş, V.; Gücüyener, K.; Turan, O.; Beken, S.; Kazancı, E.; Türkyılmaz, C.; Önal, E.; et al. Short- and long-term effects of individualized enteral protein supplementation in preterm newborns. Turk. J. Pediatr. 2013, 55, 365–370. [Google Scholar] [PubMed]
- Morlacchi, L.; Domenica Mallardi, D.; Giannm, L.M.; Roggero, P.; Amato, O.; Piemontese, P.; Consonni, D.; Fabio Mosca, F. Is targeted fortification of human breast milk an optimal nutrition strategy for preterm infants? An interventional study. J. Transl. Med. 2016, 14, 195. [Google Scholar] [CrossRef]
- Amissah, E.A.; Brown, J.; Harding, J.E. Protein supplementation of human milk for promoting growth in preterm infants. Cochrane Database Syst. Rev. 2018, 6, CD000433. [Google Scholar] [CrossRef]
- Brown, J.V.; Embleton, N.D.; Harding, J.E.; McGuire, W. Multi-nutrient fortification of human milk for preterm infants. Cochrane Database Syst. Rev. 2016, 8, CD000343. [Google Scholar] [CrossRef]
- Hascoët, J.M.; Chauvin, M.; Pierret, C.; Skweres, S.; Egroo, L.V.; Rougé, C.; Franck, P. Impact of maternal nutrition and perinatal factors on breast milk composition after premature delivery. Nutrients 2019, 11, 366. [Google Scholar] [CrossRef]
- Maas, C.; Wiechers, C.; Bernhard, W.; Poets, C.F.; Franz, A.R. Early Feeding of Fortified Breast Milk and in-Hospital-Growth in Very Premature Infants: A Retrospective Cohort Analysis. BMC Pediatr. 2013, 13, 178. Available online: http://www.biomedcentral.com/1471-2431/13/178 (accessed on 21 September 2019). [CrossRef]
- Corvaglia, L.; Aceti, A.; Paoletti, V.; Mariani, E.; Patrono, D.; Ancora, G.; Capretti, M.G.; Faldella, G. Standard fortification of preterm human milk fails to meet recommended protein intake: Bedside evaluation by Near-Infrared-Reflectance-Analysis. Early Hum. Dev. 2010, 86, 237–240. [Google Scholar] [CrossRef] [PubMed]
- De Halleux, V.; Rigo, J. Variability of human milk composition: Benefit of individualized fortification in very-low-birth-weight infants. Am. J. Clin. Nutr. 2013, 98, S529–S535. [Google Scholar] [CrossRef] [PubMed]
- Macedo, I.; Luis Pereira-da-Silva, L.; Cardoso, M. The fortification method relying on assumed human milk composition overestimates the actual energy and macronutrient intakes in very preterm infants. Matern. Health Neonatol. Perinatol. 2018, 4, 22. [Google Scholar] [CrossRef] [PubMed]
- Cooper, A.R.; Barnett, D.; Gentles, E.; Cairns, l.; Simpson, J.H. Macronutrient content of donor human breast milk. Arch. Dis Child. Fetal Neonatal Ed. 2013, 98, F539–F541. [Google Scholar] [CrossRef] [PubMed]
- Wojcik, K.Y.; Rechtman, D.J.; Lee, M.L.; Montoya, A.; Medo, E.T. Macronutrient analysis of a nationwide sample of donor breast milk. J. Am. Diet. Assoc. 2009, 109, 137–140. [Google Scholar] [CrossRef]
- Steculorum, S.M.; Collden, G.; Coupe, B.; Croizier, S.; Lockie, S.; Andrews, Z.B.; Jarosch, F.; Klussmann, S.; Bouret, S.G. Neonatal ghrelin programs development of hypothalamic feeding circuits. J. Clin. Investig. 2015, 125, 846–858. [Google Scholar] [CrossRef]
- Rochow, N.; Fusch, G.; Zapanta, B.; Ali, A.; Barui, S.; Fusch, C. Target fortification of breast milk: How often should milk analysis be done? Nutrients 2015, 7, 2297–2310. [Google Scholar] [CrossRef]


| FF Group | PTF Group | p * | Odds Ratio (5–95% CI) | |
|---|---|---|---|---|
| N | 23 | 25 | ||
| Gestational age (wks) | 28.6 ± 1.9 | 28.3 ± 1.6 | 0.433 | N.A. |
| Birth weight (g) | 1156 ± 208 | 1149 ± 185 | 0.794 | N.A. |
| Birth weight z-score | −0.14 ± 0.68 | −0.07 ± 0.69 | 0.260 | N.A. |
| Birth weight < 1200 g, n (%) | 15 (65.2) | 13 (52.0) | 0.394 | 1.731 (0.541–5.54) |
| Ponderal index | 22.7 ± 2.2 | 23.6 ± 3.0 | 0.421 | N.A. |
| Cesarean section, n (%) | 19 (83) | 17 (68) | 0.324 | 0.447 (0.114–1.76) |
| Male sex, n (%) | 8 (35) | 11 (44) | 0.566 | 0.68 (0.211–2.18) |
| Prenatal steroids, n (%) | 17 (74) | 20 (77) | 0.736 | 0.708 (0.183–7.74) |
| Respiratory distress syndrome, n (%) | 21 (91) | 24 (96) | 0.601 | 0.438 (0.037–5.18) |
| Intraventricular hemorrhage I-II, n (%) | 1 (4.3) | 3 (1205) | 0.610 | 0.333 (0.032–3.46) |
| Bronchopulmonary dysplasia (mild), n (%) | 7 (30) | 6 (24) | 0.748 | 1.385 (0.886–4.95) |
| Patent ductus arteriosus, n (%) | 5 (22) | 5 (20) | 1.0 | 1.111 (0.276–2.04) |
| ROP requiring intervention, n (%) | 1 (4) | 0 (0) | 1.0 | N.A. |
| Postnatal age at T1 (d) | 10.1 ± 3.6 | 11.4 ± 5.7 | 0.574 | N.A. |
| Postnatal age at T2 (d) | 40.8 ± 11.9 | 41.9 ± 12.0 | 0.794 | N.A. |
| Postnatal age at T3 (d) | 77.5 ± 13.1 | 80.4 ± 11.6 | 0.451 | N.A. |
| Days on intervention | 30.7 ± 10.9 | 30.5 ± 11.8 | 0.996 | N.A. |
| Days in Hospital | 68.9 ± 24.0 | 70.6 ± 25.7 | 0.947 | N.A. |
| FF Group (n = 23) | PTF Group (n = 25) | p (Mann-Whitney) | |
|---|---|---|---|
| Protein (g/kg/d) | 4.2 ± 0.4 | 4.0 ± 0.3 | 0.028 |
| Energy (kcal/kg/d) * | 130 ± 9 | 124 ± 9 | 0.060 |
| Protein/energy ratio * | 3.2 ± 0.3 | 3.3 ± 0.3 | 0.931 |
| Fat (g/kg/d) | 6.1 ± 1.0 | 6.0 ± 0.7 | 0.980 |
| Carbohydrates (g/kg/d) | 16.1 ± 0.9 | 14.8 ± 1.0 | <0.001 |
| Estimated lactose (g/kg/d) * | 14.2 ± 0.7 | 12.8 ± 1.1 | <0.001 |
| Milk (mL/kg/d) | 160 ± 8 | 162 ± 10 | 0.265 |
| Mean HMF (g/kg/d) | 7.4 ± 1.4 | 5.4 ± 1.2 | <0.001 |
| ΔWeight z-score T1 to T2 | −0.02 ± 0.58 | −0.13 ± 0.44 | 0.172 |
| ΔWeight z-score T1 to T3 | 0.28 ± 0.85 | 0.19 ± 0.84 | 0.483 |
| ΔLength z-score T1 to T2 | −0.33 ± 0.59 | −0.50 ± 0.58 | 0.521 |
| ΔLength z-score T1 to T3 | −0.45 ± 0.67 | −0.42 ± 0.97 | 0.746 |
| ΔHC z-score T1 to T2 | 0.30 ± 0.72 | 0.24 ± 0.78 | 0.786 |
| ΔHC z-score T1 to T3 | 0.63 ± 0.98 | 0.68 ± 0.84 | 0.980 |
| ΔBMI z-score T1 to T2 | 0.85 ± 1.05 | 0.29 ± 1.75 | 0.343 |
| ΔBMI z-score T1 to T3 | 1.01 ± 1.14 | 0.57 ± 2.13 | 0.516 |
| FF Group (n = 23) | PTF Group (n = 25) | p (Mann–Whitney U) | |
|---|---|---|---|
| IGF-I T2 (ng/mL) | 31.0 (20–93) | 19.2 (10.9–89.1) | 0.025 |
| IGF-I T3 (ng/mL) | 36.1 (10.6–112.3) | 46.2 (10.7–86.6) | 0.458 |
| Ghrelin T2 (pg/mL) | 396 (163–674) | 483 (232–966) | 0.045 |
| Ghrelin T3 (pg/mL) | 364 (163–1140) | 411 (187–1210) | 0.248 |
| IGF-I T2 | Ghrelin T2 | IGF T3 | Ghrelin T3 | |
|---|---|---|---|---|
| p (r) | p (r) | p (r) | p (r) | |
| Mean daily protein intake | 0.039 (0.299) | 0.873 (−0.024) | 0.273 (0.161) | 0.018 (−0.341) |
| Mean daily energy intake | 0.277 (0.160) | 0.031 (−0.312) | 0.675 (0.062) | 0.033 (−0.309) |
| Mean protein/energy ratio | 0.060 (0.273) | 0.176 (0.199) | 0.420 (0.119) | 0.996 (−0.001) |
| Δ z-score of weight T1–T2 | 0.604 (0.077) | 0.052 (−0.282) | 0.043 (0.298) | 0.112 (−0.232) |
| Δ z-score of weight T1–T3 | 0.659 (−0.065) | 0.657 (−0.066) | 0.403 (0.121) | 0.992 (−0.002) |
| Δ z-score of length T1–T2 | 0.001 (0.446) | 0.751 (0.047) | 0.714 (0.054) | 0.497 (0.100) |
| Δ z-score of length T1–T3 | 0.044 (0.292) | 0.647 (0.068) | 0.068 (−0.265) | 0.412 (0.121) |
| Δ z-score of HC T1–T2 | 0.169 (0.234) | 0.093 (−0.245) | 0.563 (0.086) | 0.621 (0.073) |
| Δ z-score HC of T1–T3 | 0.910 (−0.017) | 0.337 (−0.141) | 0.690 (−0.059) | 0.294 (0.155) |
| Δ z-score of BMI T1–T2 | 0.095 (−0.245) | 0.002 (−0.432) | 0.185 (0.194) | 0.037 (−0.302) |
| Δ z-score of BMI T1–T3 | 0.357(−0.136) | 0.182 (−0.196) | 0.040 (0.297) | 0.181 (−0.196) |
| Independent Variables | Dependent Variables | |||||||
|---|---|---|---|---|---|---|---|---|
| B | 95% Wald CI (Lower/Upper) | p | Exp (B) | B | 95% Wald CI (Lower/Upper) | p | Exp (B) | |
| IGF I LOG at T2 | IGF I LOG at T3 | |||||||
| MODEL 1 | ||||||||
| Intervention group | 0.329 | 0.001/0.658 | 0.049 | 1.390 | 0.051 | −0.419/0.521 | 0.832 | 1.052 |
| Protein intake | 0.506 | 0.010/1.001 | 0.045 | 1.658 | 0.250 | −0.460/0.960 | 0.490 | 1.284 |
| Energy intake | −0.009 | −0.197/0.011 | 0.360 | 0.991 | −0.004 | −0.033/0.024 | 0.760 | 0.996 |
| MODEL 2 | ||||||||
| Protein intake | 0.572 | 0.062/1.083 | 0.028 | 1.772 | 0.260 | −0.444/0.964 | 0.461 | 1.297 |
| Energy intake | −0.005 | −0.025/0.015 | 0.650 | 0.995 | −0.004 | −0.031/0.024 | 0.792 | 0.996 |
| GHRELIN LOG at T2 | GHRELIN LOG at T3 | |||||||
| MODEL 1 | ||||||||
| Intervention group | −0.302 | −0.567/−0.037 | 0.025 | 0.739 | −0.023 | −0.329/0.283 | 0.883 | 0.977 |
| Protein intake | 0.162 | −0.238/0.562 | 0.425 | 1.176 | −0.358 | −0.820/−0.104 | 0.129 | 0.699 |
| Energy intake | −0.014 | −0.030/0.002 | 0.096 | 0.986 | −0.012 | −0.030/0.007 | 0.208 | 0.988 |
| MODEL 2 | ||||||||
| Protein intake | 0.101 | −0.315/0.518 | 0.633 | 1.107 | −0.363 | −0.821/−0.095 | 0.121 | 0.696 |
| Energy intake | −0.018 | −0.034/0.001 | 0.033 | 0.982 | −0.012 | −0.030/0.006 | 0.184 | 0.988 |
© 2019 by the authors. Licensee MDPI, Basel, Switzerland. This article is an open access article distributed under the terms and conditions of the Creative Commons Attribution (CC BY) license (http://creativecommons.org/licenses/by/4.0/).
Share and Cite
Agakidou, E.; Karagiozoglou-Lampoudi, T.; Parlapani, E.; Fletouris, D.J.; Sarafidis, K.; Tzimouli, V.; Diamanti, E.; Agakidis, C. Modifications of Own Mothers’ Milk Fortification Protocol Affect Early Plasma IGF-I and Ghrelin Levels in Preterm Infants. A Randomized Clinical Trial. Nutrients 2019, 11, 3056. https://doi.org/10.3390/nu11123056
Agakidou E, Karagiozoglou-Lampoudi T, Parlapani E, Fletouris DJ, Sarafidis K, Tzimouli V, Diamanti E, Agakidis C. Modifications of Own Mothers’ Milk Fortification Protocol Affect Early Plasma IGF-I and Ghrelin Levels in Preterm Infants. A Randomized Clinical Trial. Nutrients. 2019; 11(12):3056. https://doi.org/10.3390/nu11123056
Chicago/Turabian StyleAgakidou, Eleni, Thomais Karagiozoglou-Lampoudi, Elisavet Parlapani, Dimitrios J. Fletouris, Kosmas Sarafidis, Vasiliki Tzimouli, Elisavet Diamanti, and Charalampos Agakidis. 2019. "Modifications of Own Mothers’ Milk Fortification Protocol Affect Early Plasma IGF-I and Ghrelin Levels in Preterm Infants. A Randomized Clinical Trial" Nutrients 11, no. 12: 3056. https://doi.org/10.3390/nu11123056
APA StyleAgakidou, E., Karagiozoglou-Lampoudi, T., Parlapani, E., Fletouris, D. J., Sarafidis, K., Tzimouli, V., Diamanti, E., & Agakidis, C. (2019). Modifications of Own Mothers’ Milk Fortification Protocol Affect Early Plasma IGF-I and Ghrelin Levels in Preterm Infants. A Randomized Clinical Trial. Nutrients, 11(12), 3056. https://doi.org/10.3390/nu11123056

