Dietary Zinc and Risk of Prostate Cancer in Spain: MCC-Spain Study
Abstract
1. Introduction
2. Materials and Methods
2.1. Study Population and Data Collection
2.2. Statistical Analysis
3. Results
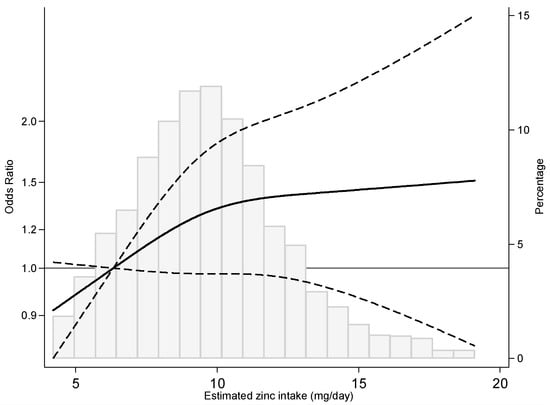
3.1. Zinc Intake and Prostate Cancer Risk
3.2. Zinc Intake and Prostate Cancer Risk by Tumor Aggressiveness and Extension
3.3. Zinc Intake, Prostate Cancer Genetic Susceptibility and PC Risk
4. Discussion
5. Conclusions
Supplementary Materials
Author Contributions
Funding
Conflicts of Interest
References
- Ferlay, J.; Steliarova-Foucher, E.; Lortet-Tieulent, J.; Rosso, S.; Coebergh, J.W.W.; Comber, H.; Forman, D.; Bray, F. Cancer incidence and mortality patterns in Europe: estimates for 40 countries in 2012. Eur. J. Cancer 2013, 49, 1374–1403. [Google Scholar] [CrossRef] [PubMed]
- Gómez-Acebo, I.; Dierssen-Sotos, T.; Fernandez-Navarro, P.; Palazuelos, C.; Moreno, V.; Aragonés, N.; Castaño-Vinyals, G.; Jiménez-Monleón, J.J.; Ruiz-Cerdá, J.L.; Pérez-Gómez, B.; et al. Risk Model for Prostate Cancer Using Environmental and Genetic Factors in the Spanish Multi-Case-Control (MCC) Study. Sci. Rep. 2017, 7, 8994. [Google Scholar] [CrossRef] [PubMed]
- Benafif, S.; Kote-Jarai, Z.; Eeles, R.A. PRACTICAL Consortium A Review of Prostate Cancer Genome-Wide Association Studies (GWAS). Cancer Epidemiol. Biomark. Prev. 2018, 27, 845–857. [Google Scholar] [CrossRef] [PubMed]
- Marshall, J.R. Diet and prostate cancer prevention. World J. Urol. 2012, 30, 157–165. [Google Scholar] [CrossRef] [PubMed]
- World Health Organization. Trace Elements in Human Nutrition and Health; WHO: Geneva, Switzerland, 1996. [Google Scholar]
- Costello, L.C.; Franklin, R.B. A comprehensive review of the role of zinc in normal prostate function and metabolism; and its implications in prostate cancer. Arch. Biochem. Biophys. 2016, 611, 100–112. [Google Scholar] [CrossRef]
- Franz, M.-C.; Anderle, P.; Bürzle, M.; Suzuki, Y.; Freeman, M.R.; Hediger, M.A.; Kovacs, G. Zinc transporters in prostate cancer. Mol. Aspects Med. 2013, 34, 735–741. [Google Scholar] [CrossRef]
- Franklin, R.B.; Milon, B.; Feng, P.; Costello, L.C. Zinc and zinc transporters in normal prostate and the pathogenesis of prostate cancer. Front. Biosci. 2005, 10, 2230–2239. [Google Scholar] [CrossRef]
- Franklin, R.B.; Costello, L.C. Zinc as an anti-tumor agent in prostate cancer and in other cancers. Arch. Biochem. Biophys. 2007, 463, 211–217. [Google Scholar] [CrossRef]
- Cortesi, M.; Fridman, E.; Volkov, A.; Shilstein, S.S.; Chechik, R.; Breskin, A.; Vartsky, D.; Raviv, G.; Ramon, J. New prospective for non-invasive detection, grading, size evaluation, and tumor location of prostate cancer. Prostate 2010, 70, 1701–1708. [Google Scholar] [CrossRef]
- Costello, L.C.; Feng, P.; Milon, B.; Tan, M.; Franklin, R.B. Role of zinc in the pathogenesis and treatment of prostate cancer: critical issues to resolve. Prostate Cancer Prostatic Dis. 2004, 7, 111–117. [Google Scholar] [CrossRef]
- Simon-Hettich, B. Zinc; International Programme on Chemical Safety, Ed.; Environmental Health Criteria; World Health Organization: Geneva, Switzerland, 2001; ISBN 978-92-4-157221-7. [Google Scholar]
- Sandstead, H.H. Chapter 61 - Zinc. In Handbook on the Toxicology of Metals (Fourth Edition); Nordberg, G.F., Fowler, B.A., Nordberg, M., Eds.; Academic Press: San Diego, CA, USA, 2015; pp. 1369–1385. ISBN 978-0-444-59453-2. [Google Scholar]
- Costello, L.C.; Franklin, R.B.; Feng, P.; Tan, M.; Bagasra, O. Zinc and prostate cancer: A critical scientific, medical, and public interest issue (United States). Cancer Causes Control 2005, 16, 901–915. [Google Scholar] [CrossRef] [PubMed]
- Leitzmann, M.F.; Stampfer, M.J.; Wu, K.; Colditz, G.A.; Willett, W.C.; Giovannucci, E.L. Zinc supplement use and risk of prostate cancer. J. Natl. Cancer Inst. 2003, 95, 1004–1007. [Google Scholar] [CrossRef] [PubMed]
- West, D.W.; Slattery, M.L.; Robison, L.M.; French, T.K.; Mahoney, A.W. Adult dietary intake and prostate cancer risk in Utah: A case-control study with special emphasis on aggressive tumors. Cancer Causes Control 1991, 2, 85–94. [Google Scholar] [CrossRef] [PubMed]
- Andersson, S.O.; Wolk, A.; Bergström, R.; Giovannucci, E.; Lindgren, C.; Baron, J.; Adami, H.O. Energy, nutrient intake and prostate cancer risk: A population-based case-control study in Sweden. Int. J. Cancer 1996, 68, 716–722. [Google Scholar] [CrossRef]
- Kristal, A.R.; Stanford, J.L.; Cohen, J.H.; Wicklund, K.; Patterson, R.E. Vitamin and mineral supplement use is associated with reduced risk of prostate cancer. Cancer Epidemiol. Biomark. Prev. 1999, 8, 887–892. [Google Scholar]
- Gonzalez, A.; Peters, U.; Lampe, J.W.; White, E. Zinc intake from supplements and diet and prostate cancer. Nutr Cancer 2009, 61, 206–215. [Google Scholar] [CrossRef]
- Castaño-Vinyals, G.; Aragonés, N.; Pérez-Gómez, B.; Martín, V.; Llorca, J.; Moreno, V.; Altzibar, J.M.; Ardanaz, E.; de Sanjosé, S.; Jiménez-Moleón, J.J.; et al. Population-based multicase-control study in common tumors in Spain (MCC-Spain): Rationale and study design. Gac Sanit 2015, 29, 308–315. [Google Scholar] [CrossRef]
- Martin-Moreno, J.M.; Boyle, P.; Gorgojo, L.; Maisonneuve, P.; Fernandez-Rodriguez, J.C.; Salvini, S.; Willett, W.C. Development and validation of a food frequency questionnaire in Spain. Int. J. Epidemiol. 1993, 22, 512–519. [Google Scholar] [CrossRef]
- Farrán, A.; Zamora, R.; Cervera, P. Tablas de composición de alimentos del CESNID; 2a.; Mc- Graw-Hill/Interamericana y Ediciones Universitat de Barcelona: Barcelona, Spain, 2003; ISBN 84-486-0590-X. [Google Scholar]
- Castelló, A.; Boldo, E.; Amiano, P.; Castaño-Vinyals, G.; Aragonés, N.; Gómez-Acebo, I.; Peiró, R.; Jimenez-Moleón, J.J.; Alguacil, J.; Tardón, A.; et al. Mediterranean Dietary Pattern is Associated with Low Risk of Aggressive Prostate Cancer: MCC-Spain Study. J. Urol. 2018, 199, 430–437. [Google Scholar] [CrossRef]
- Epstein, J.I.; Egevad, L.; Amin, M.B.; Delahunt, B.; Srigley, J.R.; Humphrey, P.A. Grading Committee The 2014 International Society of Urological Pathology (ISUP) Consensus Conference on Gleason Grading of Prostatic Carcinoma: Definition of Grading Patterns and Proposal for a New Grading System. Am. J. Surg. Pathol. 2016, 40, 244–252. [Google Scholar]
- Buyyounouski, M.K.; Choyke, P.L.; McKenney, J.K.; Sartor, O.; Sandler, H.M.; Amin, M.B.; Kattan, M.W.; Lin, D.W. Prostate cancer-major changes in the American Joint Committee on Cancer eighth edition cancer staging manual. CA Cancer J. Clin. 2017, 67, 245–253. [Google Scholar] [CrossRef] [PubMed]
- UCSC Genome Browser Home. Available online: https://genome.ucsc.edu/ (accessed on 1 November 2018).
- Schlemmer, U.; Frølich, W.; Prieto, R.M.; Grases, F. Phytate in foods and significance for humans: Food sources, intake, processing, bioavailability, protective role and analysis. Mol Nutr Food Res 2009, 53, S330–S375. [Google Scholar] [CrossRef] [PubMed]
- Hambidge, K.M.; Miller, L.V.; Westcott, J.E.; Sheng, X.; Krebs, N.F. Zinc bioavailability and homeostasis. Am. J. Clin. Nutr. 2010, 91, 1478S–1483S. [Google Scholar] [CrossRef] [PubMed]
- Bel-Serrat, S.; Stammers, A.-L.; Warthon-Medina, M.; Moran, V.H.; Iglesia-Altaba, I.; Hermoso, M.; Moreno, L.A.; Lowe, N.M. EURRECA Network Factors that affect zinc bioavailability and losses in adult and elderly populations. Nutr. Rev. 2014, 72, 334–352. [Google Scholar] [CrossRef] [PubMed]
- World Cancer Research Fund Continuous. Continuous Update Project Report: Diet, Nutrition, Physical Activity, and Prostate Cancer; WCRF/AICR: Washington, DC, USA, 2014. [Google Scholar]
- Costello, L.C.; Franklin, R.B. The clinical relevance of the metabolism of prostate cancer; zinc and tumor suppression: Connecting the dots. Mol. Cancer 2006, 5, 17. [Google Scholar] [CrossRef] [PubMed][Green Version]
- Franklin, R.B.; Feng, P.; Milon, B.; Desouki, M.M.; Singh, K.K.; Kajdacsy-Balla, A.; Bagasra, O.; Costello, L.C. hZIP1 zinc uptake transporter down regulation and zinc depletion in prostate cancer. Mol. Cancer 2005, 4, 32. [Google Scholar] [CrossRef] [PubMed]
- Lowe, N.M.; Medina, M.W.; Stammers, A.-L.; Patel, S.; Souverein, O.W.; Dullemeijer, C.; Serra-Majem, L.; Nissensohn, M.; Hall Moran, V. The relationship between zinc intake and serum/plasma zinc concentration in adults: A systematic review and dose-response meta-analysis by the EURRECA Network. Br. J. Nutr. 2012, 108, 1962–1971. [Google Scholar] [CrossRef]
- Zyba, S.J.; Shenvi, S.V.; Killilea, D.W.; Holland, T.C.; Kim, E.; Moy, A.; Sutherland, B.; Gildengorin, V.; Shigenaga, M.K.; King, J.C. A moderate increase in dietary zinc reduces DNA strand breaks in leukocytes and alters plasma proteins without changing plasma zinc concentrations. Am. J. Clin. Nutr. 2017, 105, 343–351. [Google Scholar] [CrossRef]
- Gallus, S.; Foschi, R.; Negri, E.; Talamini, R.; Franceschi, S.; Montella, M.; Ramazzotti, V.; Tavani, A.; Dal Maso, L.; La Vecchia, C. Dietary zinc and prostate cancer risk: a case-control study from Italy. Eur. Urol. 2007, 52, 1052–1056. [Google Scholar] [CrossRef]
- Kolonel, L.N.; Yoshizawa, C.N.; Hankin, J.H. Diet and prostatic cancer: A case-control study in Hawaii. Am. J. Epidemiol. 1988, 127, 999–1012. [Google Scholar] [CrossRef]
- Zhang, Y.; Coogan, P.; Palmer, J.R.; Strom, B.L.; Rosenberg, L. Vitamin and mineral use and risk of prostate cancer: The case-control surveillance study. Cancer Causes Control 2009, 20, 691–698. [Google Scholar] [CrossRef] [PubMed]
- Meyer, F.; Galan, P.; Douville, P.; Bairati, I.; Kegle, P.; Bertrais, S.; Estaquio, C.; Hercberg, S. Antioxidant vitamin and mineral supplementation and prostate cancer prevention in the SU.VI.MAX trial. Int. J. Cancer 2005, 116, 182–186. [Google Scholar] [CrossRef] [PubMed]
- Key, T.J.; Silcocks, P.B.; Davey, G.K.; Appleby, P.N.; Bishop, D.T. A case-control study of diet and prostate cancer. Br. J. Cancer 1997, 76, 678–687. [Google Scholar] [CrossRef] [PubMed]
- Lee, M.M.; Wang, R.T.; Hsing, A.W.; Gu, F.L.; Wang, T.; Spitz, M. Case-control study of diet and prostate cancer in China. Cancer Causes Control 1998, 9, 545–552. [Google Scholar] [CrossRef] [PubMed]
- Mahmoud, A.M.; Al-Alem, U.; Dabbous, F.; Ali, M.M.; Batai, K.; Shah, E.; Kittles, R.A. Zinc Intake and Risk of Prostate Cancer: Case-Control Study and Meta-Analysis. PLoS ONE 2016, 11, e0165956. [Google Scholar] [CrossRef] [PubMed]
- Chang, E.T.; Hedelin, M.; Adami, H.-O.; Grönberg, H.; Bälter, K.A. Re: Zinc supplement use and risk of prostate cancer. J. Natl. Cancer Inst. 2004, 96, 1108, author reply 1108–1109. [Google Scholar] [CrossRef] [PubMed]
- Institute of Medicine (US) Panel on Micronutrients. Dietary Reference Intakes for Vitamin A, Vitamin K, Arsenic, Boron, Chromium, Copper, Iodine, Iron, Manganese, Molybdenum, Nickel, Silicon, Vanadium, and Zinc; National Academies Press (US): Washington, DC, USA, 2001; ISBN 978-0-309-07279-3. [Google Scholar]
- Nemoto, K.; Kondo, Y.; Himeno, S.; Suzuki, Y.; Hara, S.; Akimoto, M.; Imura, N. Modulation of telomerase activity by zinc in human prostatic and renal cancer cells. Biochem. Pharmacol. 2000, 59, 401–405. [Google Scholar] [CrossRef]
- Sommerfeld, H.J.; Meeker, A.K.; Piatyszek, M.A.; Bova, G.S.; Shay, J.W.; Coffey, D.S. Telomerase activity: A prevalent marker of malignant human prostate tissue. Cancer Res. 1996, 56, 218–222. [Google Scholar]
- Chandra, R.K. Excessive intake of zinc impairs immune responses. JAMA 1984, 252, 1443–1446. [Google Scholar] [CrossRef]
- Wessels, I.; Maywald, M.; Rink, L. Zinc as a Gatekeeper of Immune Function. Nutrients 2017, 9, 1286. [Google Scholar] [CrossRef]
- Holmes, M.D.; Pollak, M.N.; Willett, W.C.; Hankinson, S.E. Dietary correlates of plasma insulin-like growth factor I and insulin-like growth factor binding protein 3 concentrations. Cancer Epidemiol. Biomarkers Prev. 2002, 11, 852–861. [Google Scholar] [PubMed]
- Renehan, A.G.; Zwahlen, M.; Minder, C.; O’Dwyer, S.T.; Shalet, S.M.; Egger, M. Insulin-like growth factor (IGF)-I, IGF binding protein-3, and cancer risk: Systematic review and meta-regression analysis. Lancet 2004, 363, 1346–1353. [Google Scholar] [CrossRef]
- Cheng, I.; Stram, D.O.; Penney, K.L.; Pike, M.; Le Marchand, L.; Kolonel, L.N.; Hirschhorn, J.; Altshuler, D.; Henderson, B.E.; Freedman, M.L. Common genetic variation in IGF1 and prostate cancer risk in the Multiethnic Cohort. J. Natl. Cancer Inst. 2006, 98, 123–134. [Google Scholar] [CrossRef]
- Prasad, A.S.; Mukhtar, H.; Beck, F.W.J.; Adhami, V.M.; Siddiqui, I.A.; Din, M.; Hafeez, B.B.; Kucuk, O. Dietary Zinc and Prostate Cancer in the TRAMP Mouse Model. J. Med. Food 2010, 13, 70–76. [Google Scholar] [CrossRef] [PubMed]
- Agencia Española de Seguridad Alimentaria y Nutrición. Evaluación Nutricional de la Dieta Española. II Micronutrientes (ENIDE); Madrid, Spain, 2012. [Google Scholar]
- Olza, J.; Aranceta-Bartrina, J.; González-Gross, M.; Ortega, R.M.; Serra-Majem, L.; Varela-Moreiras, G.; Gil, Á. Reported Dietary Intake and Food Sources of Zinc, Selenium, and Vitamins A, E and C in the Spanish Population: Findings from the ANIBES Study. Nutrients 2017, 9, 697. [Google Scholar] [CrossRef]
- Ingestas Dietéticas de Referencia (IDR) para la Población española (Consenso FESNAD 2010). Available online: http://www.sennutricion.org/es/2010/03/02/ingestas-dietticas-de-referencia-idr-para-la-poblacin-espaola-consenso-fesnad-2010 (accessed on 27 October 2018).
- Flynn, A.; Hirvonen, T.; Mensink, G.B.M.; Ocké, M.C.; Serra-Majem, L.; Stos, K.; Szponar, L.; Tetens, I.; Turrini, A.; Fletcher, R.; et al. Intake of selected nutrients from foods, from fortification and from supplements in various European countries. Food Nutr. Res. 2009, 53. [Google Scholar] [CrossRef]
- Gibson, R.S. A historical review of progress in the assessment of dietary zinc intake as an indicator of population zinc status. Adv. Nutr. 2012, 3, 772–782. [Google Scholar] [CrossRef]
- Johnson, L.A.; Kanak, M.A.; Kajdacsy-Balla, A.; Pestaner, J.P.; Bagasra, O. Differential zinc accumulation and expression of human zinc transporter 1 (hZIP1) in prostate glands. Methods 2010, 52, 316–321. [Google Scholar] [CrossRef]
- Epstein, M.M.; Kasperzyk, J.L.; Andrén, O.; Giovannucci, E.L.; Wolk, A.; Håkansson, N.; Andersson, S.-O.; Johansson, J.-E.; Fall, K.; Mucci, L.A. Dietary zinc and prostate cancer survival in a Swedish cohort. Am. J. Clin. Nutr. 2011, 93, 586–593. [Google Scholar] [CrossRef] [PubMed]
- Kristal, A.R.; Arnold, K.B.; Neuhouser, M.L.; Goodman, P.; Platz, E.A.; Albanes, D.; Thompson, I.M. Diet, supplement use, and prostate cancer risk: Results from the prostate cancer prevention trial. Am. J. Epidemiol. 2010, 172, 566–577. [Google Scholar] [CrossRef]
- Epstein, J.I. Gleason score 2-4 adenocarcinoma of the prostate on needle biopsy: A diagnosis that should not be made. Am. J. Surg. Pathol. 2000, 24, 477–478. [Google Scholar] [CrossRef] [PubMed]
- Serra-Majem, L.; Pfrimer, K.; Doreste-Alonso, J.; Ribas-Barba, L.; Sánchez-Villegas, A.; Ortiz-Andrellucchi, A.; Henríquez-Sánchez, P. Dietary assessment methods for intakes of iron, calcium, selenium, zinc and iodine. Br. J. Nutr. 2009, 102 Suppl. 1, S38–S55. [Google Scholar] [CrossRef] [PubMed]
- King, J.C.; Brown, K.H.; Gibson, R.S.; Krebs, N.F.; Lowe, N.M.; Siekmann, J.H.; Raiten, D.J. Biomarkers of Nutrition for Development (BOND)—Zinc Review. J. Nutr. 2016, 146, 858S–885S. [Google Scholar] [CrossRef] [PubMed]
- Wolk, A. Editorial comment on: Dietary zinc and prostate cancer risk: A case-control study from Italy. Eur. Urol. 2007, 52, 1056–1057. [Google Scholar] [CrossRef] [PubMed]

| All | Participants with Genetic Data | |||||
|---|---|---|---|---|---|---|
| Controls | Cases | p | Controls | Cases | p | |
| n = 1228 | n = 733 | n = 821 | n = 514 | |||
| Zinc (mg/day) mean (sd) | 9.68 (2.94) | 9.91 (2.98) | 0.096 | 9.62 (2.91) | 9.86 (2.94) | 0.140 |
| Calcium (mg/day) median (IQR) | 876 (685;1117) | 882 (671;1118) | 0.858 | 864 (688;1126) | 864 (657;1102) | 0.596 |
| Energy intake (kcal/day) mean (sd) | 2013 (607) | 2062 (611) | 0.086 | 2000 (604) | 2055 (615) | 0.108 |
| Alcohol (g/day) median (IQR) | 18.9 (5.8;41.8) | 22.0 (8.5;45.4) | 0.010 | 20.3 (6.9;42.8) | 22.9 (8.8;45.5) | 0.073 |
| Grains & legumes (g/day) mean (sd) | 205 (84) | 206 (80) | 0.847 | 199 (81) | 203 (77) | 0.400 |
| BMI (kg/m2) mean (sd) | 27.48 (3.79) | 27.65 (3.70) | 0.339 | 27.55 (3.69) | 27.53 (3.63) | 0.945 |
| METs/week n(%) | 0.345a | 0.241a | ||||
| 0 METs/week | 495 (40%) | 273 (37%) | 304 (37%) | 184 (36%) | ||
| 0.1–7.9 METs/week | 158 (13%) | 98 (13%) | 118 (14%) | 59 (11%) | ||
| 8.0–15.9METs/week | 135 (11%) | 96 (13%) | 94 (11%) | 73 (14%) | ||
| ≥16 METs/week | 421 (34%) | 266 (36%) | 305 (37%) | 198 (39%) | ||
| Unknown | 19 (2%) | 0 (0%) | 0 (0%) | 0 (0%) | ||
| Smoking n(%) | 0.267a | 0.552a | ||||
| Never | 324 (26%) | 212 (29%) | 218 (27%) | 148 (29%) | ||
| Former >1 year | 636 (52%) | 352 (48%) | 416 (51%) | 258 (50%) | ||
| Smoker or former ≤1 year | 266 (22%) | 167 (23%) | 186 (23%) | 106 (21%) | ||
| Unknown | 2 (0%) | 2 (0%) | 1 (0%) | 2 (0%) | ||
| Age (years) mean (sd) | 66.15 (8.58) | 65.62 (7.31) | 0.167 | 65.78 (8.21) | 65.73 (7.35) | 0.913 |
| Education n(%) | 0.000 | 0.001 | ||||
| No formal education | 217 (18%) | 163 (22%) | 119 (14%) | 103 (20%) | ||
| Primary School | 399 (32%) | 285 (39%) | 284 (35%) | 204 (40%) | ||
| Secondary School | 344 (28%) | 161 (22%) | 231 (28%) | 116 (23%) | ||
| University or more | 268 (22%) | 124 (17%) | 187 (23%) | 91 (18%) | ||
| Familial history of PC n(%) | 0.000 | 0.000 | ||||
| No | 1139 (93%) | 580 (79%) | 761 (93%) | 410 (80%) | ||
| 2nd degree | 15 (1%) | 21 (3%) | 8 (1%) | 15 (3%) | ||
| One of 1st degree | 71 (6%) | 113 (15%) | 49 (6%) | 76 (15%) | ||
| More than one of 1st degree | 3 (0%) | 19 (3%) | 3 (0%) | 13 (3%) | ||
| Supplement intake n(%) | 0.214a | 0.707a | ||||
| None | 1050 (86%) | 695 (95%) | 777 (95%) | 487 (95%) | ||
| Unspecified supplement | 30 (2%) | 12 (2%) | 16 (2%) | 8 (2%) | ||
| Supplement with zinc | 28 (2%) | 24 (3%) | 22 (3%) | 17 (3%) | ||
| Unknown | 120 (10%) | 2 (0%) | 6 (1%) | 2 (0%) | ||
| Gleason n(%) | ||||||
| Control | 1228 (100%) | 821 (100%) | ||||
| =6 | 333 (45%) | 226 (44%) | ||||
| >6 | 388 (53%) | 279 (54%) | ||||
| Unknown | 12 (2%) | 9 (2%) | ||||
| Stage n(%) | ||||||
| Control | 1228 (100%) | 821 (100%) | ||||
| cT1-cT2a | 578 (79%) | 407 (79%) | ||||
| cT2b-T4 | 109 (15%) | 83 (16%) | ||||
| Unknown | 46 (6%) | 24 (5%) | ||||
| Basic Model | Adjusted Model | |||
|---|---|---|---|---|
| Controls | Cases | OR a (95%CI) | OR b (95%CI) | |
| ZINC | ||||
| T1 (<8.34 mg/day) | 409 | 217 | 1.00 | 1.00 |
| T2 (8.34–10.53 mg/day) | 409 | 245 | 1.12 (0.88;1.42) | 1.17 (0.90;1.53) |
| T3 (>10.53 mg/day) | 410 | 271 | 1.27 (1.00;1.61) | 1.39 (1.00;1.95) |
| p-trend | 0.053 | 0.051 |
| Gleason = 6 n = 333 | Gleason >6 n = 388 | cT1-cT2a n = 578 | cT2b-T4 n = 109 | ||||||||
|---|---|---|---|---|---|---|---|---|---|---|---|
| Co | Ca | RRR (95%CI) | Ca | RRR (95%CI) | p-het | Ca | RRR (95%CI) | Ca | RRR (95%CI) | p-het | |
| ZINC | 0.177 | 0.754 | |||||||||
| T1 (<8.34 mg/day) | 409 | 84 | 1.00 | 129 | 1.00 | 171 | 1.00 | 36 | 1.00 | ||
| T2 (8.34–10.53 mg/day) | 409 | 116 | 1.39 (0.98;1.99) | 124 | 1.03 (0.74;1.42) | 195 | 1.18 (0.89;1.58) | 33 | 0.95 (0.55;1.66) | ||
| T3 (>10.53 mg/day) | 410 | 133 | 1.66 (1.07;2.57) | 135 | 1.22 (0.81;1.84) | 212 | 1.40 (0.97;1.99) | 40 | 1.24 (0.63;2.42) | ||
| p-trend | 0.024 | 0.330 | 0.076 | 0.527 | |||||||
| ALL (n = 514) | PRS2 T1 (n = 69) | PRS2 T2 (n = 170) | PRS2 T3 (n = 275) | ||||||||||
|---|---|---|---|---|---|---|---|---|---|---|---|---|---|
| Co | Ca | OR a (95%CI) | Co | Ca | OR b (95%CI) | Co | Ca | OR b (95%CI) | Co | Ca | OR b (95%CI) | p-het | |
| ZINC | 0.000 | ||||||||||||
| T1 (<8.34 mg/day) | 272 | 158 | 1.00 | 94 | 30 | 1.00 | 85 | 45 | 1.00 | 93 | 83 | 1.00 | |
| T2 (8.34–10.53 mg/day) | 285 | 170 | 1.06 (0.77;1.46) | 97 | 19 | 0.68 (0.34;1.35) | 94 | 62 | 1.15 (0.68;1.93) | 94 | 89 | 1.09 (0.69;1.73) | |
| T3 (>10.53 mg/day) | 264 | 186 | 1.31 (0.88;1.95) | 81 | 20 | 0.89 (0.43;1.85) | 99 | 63 | 1.10 (0.62;1.97) | 84 | 103 | 1.50 (0.89;2.53) | |
| p-trend | 0.182 | 0.698 | 0.751 | 0.119 | |||||||||
© 2018 by the authors. Licensee MDPI, Basel, Switzerland. This article is an open access article distributed under the terms and conditions of the Creative Commons Attribution (CC BY) license (http://creativecommons.org/licenses/by/4.0/).
Share and Cite
Gutiérrez-González, E.; Castelló, A.; Fernández-Navarro, P.; Castaño-Vinyals, G.; Llorca, J.; Salas-Trejo, D.; Salcedo-Bellido, I.; Aragonés, N.; Fernández-Tardón, G.; Alguacil, J.; et al. Dietary Zinc and Risk of Prostate Cancer in Spain: MCC-Spain Study. Nutrients 2019, 11, 18. https://doi.org/10.3390/nu11010018
Gutiérrez-González E, Castelló A, Fernández-Navarro P, Castaño-Vinyals G, Llorca J, Salas-Trejo D, Salcedo-Bellido I, Aragonés N, Fernández-Tardón G, Alguacil J, et al. Dietary Zinc and Risk of Prostate Cancer in Spain: MCC-Spain Study. Nutrients. 2019; 11(1):18. https://doi.org/10.3390/nu11010018
Chicago/Turabian StyleGutiérrez-González, Enrique, Adela Castelló, Pablo Fernández-Navarro, Gemma Castaño-Vinyals, Javier Llorca, Dolores Salas-Trejo, Inmaculada Salcedo-Bellido, Nuria Aragonés, Guillermo Fernández-Tardón, Juan Alguacil, and et al. 2019. "Dietary Zinc and Risk of Prostate Cancer in Spain: MCC-Spain Study" Nutrients 11, no. 1: 18. https://doi.org/10.3390/nu11010018
APA StyleGutiérrez-González, E., Castelló, A., Fernández-Navarro, P., Castaño-Vinyals, G., Llorca, J., Salas-Trejo, D., Salcedo-Bellido, I., Aragonés, N., Fernández-Tardón, G., Alguacil, J., Gracia-Lavedan, E., García-Esquinas, E., Gómez-Acebo, I., Amiano, P., Romaguera, D., Kogevinas, M., Pollán, M., & Pérez-Gómez, B. (2019). Dietary Zinc and Risk of Prostate Cancer in Spain: MCC-Spain Study. Nutrients, 11(1), 18. https://doi.org/10.3390/nu11010018

