Breakfast in the United States: Food and Nutrient Intakes in Relation to Diet Quality in National Health and Examination Survey 2011–2014. A Study from the International Breakfast Research Initiative
Abstract
1. Introduction
2. Materials and Methods
2.1. Study Population & Dietary Data
2.2. Measures of Diet Quality
2.3. Analytical Strategy
2.4. Data Availability and Ethical Approval
3. Results
3.1. Measures of Diet Quality—NRF9.3
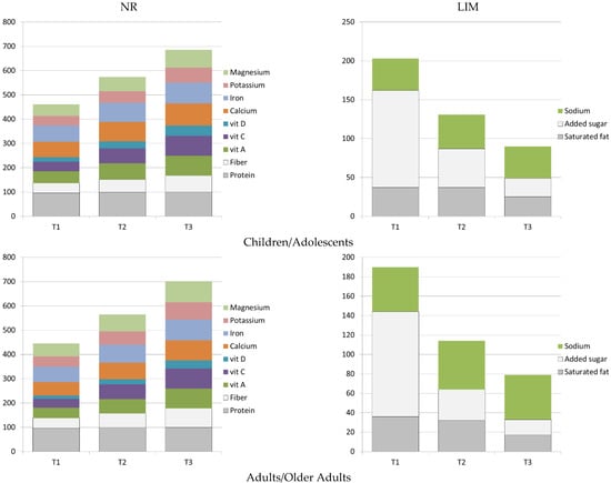
3.2. Breakfast Patterns by Tertiles of NRF9.3 Diet Quality Scores
4. Discussion
5. Conclusions
Author Contributions
Funding
Acknowledgments
Conflicts of Interest
References
- Afeiche, M.C.; Taillie, L.S.; Hopkins, S.; Eldridge, A.L.; Popkin, B.M. Breakfast dietary patterns among mexican children are related to total-day diet quality–3. J. Nutr. 2017, 147, 404–412. [Google Scholar] [CrossRef] [PubMed]
- Betts, J.A.; Chowdhury, E.A.; Gonzalez, J.T.; Richardson, J.D.; Tsintzas, K.; Thompson, D. Is breakfast the most important meal of the day? Proc. Nutr. Soc. 2016, 75, 464–474. [Google Scholar] [CrossRef] [PubMed]
- Kant, A.K.; Andon, M.B.; Angelopoulos, T.J.; Rippe, J.M. Association of breakfast energy density with diet quality and body mass index in american adults: National health and nutrition examination surveys, 1999–2004. Am. J. Clin. Nutr. 2008, 88, 1396–1404. [Google Scholar] [PubMed]
- O’Neil, C.E.; Nicklas, T.A.; Fulgoni, V.L., III. Nutrient intake, diet quality, and weight/adiposity parameters in breakfast patterns compared with no breakfast in adults: National health and nutrition examination survey 2001–2008. J. Acad. Nutr. Diet. 2014, 114, S27–S43. [Google Scholar] [CrossRef] [PubMed]
- Coulthard, J.D.; Palla, L.; Pot, G.K. Breakfast consumption and nutrient intakes in 4–18-year-olds: UK national diet and nutrition survey rolling programme (2008–2012). Br. J. Nutr. 2017, 118, 280–290. [Google Scholar] [CrossRef] [PubMed]
- Hopkins, L.C.; Sattler, M.; Steeves, E.A.; Jones-Smith, J.C.; Gittelsohn, J. Breakfast consumption frequency and its relationships to overall diet quality, using healthy eating index 2010, and body mass index among adolescents in a low-income urban setting. Ecol. Food Nutr. 2017, 56, 297–311. [Google Scholar] [CrossRef] [PubMed]
- Bi, H.; Gan, Y.; Yang, C.; Chen, Y.; Tong, X.; Lu, Z. Breakfast skipping and the risk of type 2 diabetes: A meta-analysis of observational studies. Public Health Nutr. 2015, 18, 3013–3019. [Google Scholar] [CrossRef] [PubMed]
- Burazeri, G.; Hyska, J.; Mone, I.; Roshi, E. Breakfast skipping is an independent predictor of obesity but not overweight among children in a southeastern European population. Int. J. Vitam. Nutr. Res. 2016, 1, 1–7. [Google Scholar] [CrossRef] [PubMed]
- Pendergast, F.J.; Livingstone, K.M.; Worsley, A.; McNaughton, S.A. Correlates of meal skipping in young adults: A systematic review. Int. J. Behav. Nutr. Phys. Act. 2016, 13, 125. [Google Scholar] [CrossRef] [PubMed]
- Okada, C.; Tabuchi, T.; Iso, H. Association between skipping breakfast in parents and children and childhood overweight/obesity among children: A nationwide 10.5-year prospective study in Japan. Int. J. Obes. 2018. [Google Scholar] [CrossRef] [PubMed]
- Otaki, N.; Obayashi, K.; Saeki, K.; Kitagawa, M.; Tone, N.; Kurumatani, N. Relationship between breakfast skipping and obesity among elderly: Cross-sectional analysis of the Heijo-Kyo study. J. Nutr. Health Aging 2017, 21, 501–504. [Google Scholar] [CrossRef] [PubMed]
- Fayet-Moore, F.; McConnell, A.; Kim, J.; Mathias, K.C. Identifying eating occasion-based opportunities to improve the overall diets of Australian adolescents. Nutrients 2017, 9, 608. [Google Scholar] [CrossRef] [PubMed]
- Papoutsou, S.; Briassoulis, G.; Wolters, M.; Peplies, J.; Iacoviello, L.; Eiben, G.; Veidebaum, T.; Molnar, D.; Russo, P.; Michels, N.; et al. No breakfast at home: Association with cardiovascular disease risk factors in childhood. Eur. J. Clin. Nutr. 2014, 68, 829–834. [Google Scholar] [CrossRef] [PubMed]
- Van der Heijden, A.A.; Hu, F.B.; Rimm, E.B.; van Dam, R.M. A prospective study of breakfast consumption and weight gain among U.S. Men. Obesity 2007, 15, 2463–2469. [Google Scholar] [CrossRef] [PubMed]
- Kant, A.K.; Graubard, B.I. Within-person comparison of eating behaviors, time of eating, and dietary intake on days with and without breakfast: Nhanes 2005–2010–3. Am. J. Clin. Nutr. 2015, 102, 661–670. [Google Scholar] [CrossRef] [PubMed]
- Albertson, A.M.; Wold, A.C.; Joshi, N. Ready-to-eat cereal consumption patterns: The relationship to nutrient intake, whole grain intake, and body mass index in an older American population. J. Aging Res. 2012, 2012, 631310. [Google Scholar] [CrossRef] [PubMed]
- Bazzano, L.A.; Song, Y.; Bubes, V.; Good, C.K.; Manson, J.E.; Liu, S. Dietary intake of whole and refined grain breakfast cereals and weight gain in men. Obes. Res. 2005, 13, 1952–1960. [Google Scholar] [CrossRef] [PubMed]
- Djoussé, L.; Gaziano, J.M. Breakfast cereals and risk of heart failure in the physicians’ health study i. Arch. Intern. Med. 2007, 167, 2080–2085. [Google Scholar] [CrossRef] [PubMed]
- Rehm, C.D.; Drewnowski, A. Replacing American breakfast foods with ready-to-eat (rte) cereals increases consumption of key food groups and nutrients among us children and adults: Results of an Nhanes modeling study. Nutrients 2017, 9, 1010. [Google Scholar] [CrossRef] [PubMed]
- Koca, T.; Akcam, M.; Serdaroglu, F.; Dereci, S. Breakfast habits, dairy product consumption, physical activity, and their associations with body mass index in children aged 6–18. Eur. J. Pediatr. 2017, 176, 1251–1257. [Google Scholar] [CrossRef] [PubMed]
- Lepicard, E.; Maillot, M.; Vieux, F.; Viltard, M.; Bonnet, F. Quantitative and qualitative analysis of breakfast nutritional composition in french schoolchildren aged 9–11 years. J. Hum. Nutr. Diet. 2017, 30, 151–158. [Google Scholar] [CrossRef] [PubMed]
- Center for Disease Control (CDC); National Center for Health Statistics. About the National Health and Nutrition Exmaination Survey (Nhanes). Available online: http://www.cdc.gov/nchs/nhanes/about_nhanes.htm (accessed on 30 August 2018).
- Centers for Disease Control and Prevention (CDC); National Center for Health Statistics. Questionnaires, Datasets, and Related Documentation. Available online: https://wwwn.cdc.gov/nchs/nhanes/Default.aspx (accessed on 30 August 2018).
- Drewnowski, A. The nutrient rich foods index helps to identify healthy, affordable foods. Am. J. Clin. Nutr. 2010, 91, S1095–S1101. [Google Scholar] [CrossRef] [PubMed]
- Francou, A.; Hebel, P.; Braesco, V.; Drewnowski, A. Consumption patterns of fruit and vegetable juices and dietary nutrient density among french children and adults. Nutrients 2015, 7, 6073–6087. [Google Scholar] [CrossRef] [PubMed]
- Drewnowski, A. Nutrient density and health: How to develop global nutrient density metrics. In Preventive Nutrition; Springer: Berlin, Germany, 2015; pp. 71–81. [Google Scholar]
- Drewnowski, A.; Fulgoni, V.L., III. Nutrient density: Principles and evaluation tools. Am. J. Clin. Nutr. 2014, 99, S1223–S1228. [Google Scholar] [CrossRef] [PubMed]
- Hill, K.M.; Jonnalagadda, S.S.; Albertson, A.M.; Joshi, N.A.; Weaver, C.M. Top food sources contributing to vitamin d intake and the association of ready-to-eat cereal and breakfast consumption habits to vitamin d intake in Canadians and united states Americans. J. Food Sci. 2012, 77, H170–H175. [Google Scholar] [CrossRef] [PubMed]
- US Department of Health Human Services. Dietary Guidelines for Americans 2015–2020; Skyhorse Publishing Inc.: New York, NY, USA, 2017.
- Calvo, M.S.; Lamberg-Allardt, C.J. Vitamin d research and public health nutrition: A current perspective. Public Health Nutr. 2017, 20, 1713–1717. [Google Scholar] [CrossRef] [PubMed]
- National Cancer Institute, Division of Cancer Control and Population Sciences. Comparing the hei-2015, hei–2010 & hei–2005. Available online: https://epi.grants.cancer.gov/hei/comparing.html (accessed on 30 August 2018).
- Bowman, S.; Clemens, J.; Friday, J.; Thoerig, R.; Moshfegh, A. Food Patterns Equivalents Database 2011–12: Methodology and User Guide; Food Surveys Research Group: Beltsville, MD, USA, 2014. [Google Scholar]
- Centers for Disease Control and Prevention (CDC); National Center for Health Statistics. Nchs Research Ethics Review Board (erb) Approval. Available online: http://www.cdc.gov/nchs/nhanes/irba98.htm (accessed on 30 August 2018).
- Hiza, H.A.; Casavale, K.O.; Guenther, P.M.; Davis, C.A. Diet quality of americans differs by age, sex, race/ethnicity, income, and education level. J. Acad. Nutr. Diet. 2013, 113, 297–306. [Google Scholar] [CrossRef] [PubMed]
- Garriguet, D. Diet quality in Canada. Health Rep. 2009, 20, 41–52. [Google Scholar] [PubMed]
- Williams, B.M.; O’Neil, C.E.; Keast, D.R.; Cho, S.; Nicklas, T.A. Are breakfast consumption patterns associated with weight status and nutrient adequacy in african-american children? Public Health Nutr. 2009, 12, 489–496. [Google Scholar] [CrossRef] [PubMed]
- Drewnowski, A.; Specter, S.E. Poverty and obesity: The role of energy density and energy costs. Am. J. Clin. Nutr. 2004, 79, 6–16. [Google Scholar] [CrossRef] [PubMed]
- Rodrigues, P.R.M.; Luiz, R.R.; Monteiro, L.S.; Ferreira, M.G.; Goncalves-Silva, R.M.V.; Pereira, R.A. Adolescents’ unhealthy eating habits are associated with meal skipping. Nutrition 2017, 42, 114–120. [Google Scholar] [CrossRef] [PubMed]
- Smith, K.J.; Breslin, M.C.; McNaughton, S.A.; Gall, S.L.; Blizzard, L.; Venn, A.J. Skipping breakfast among australian children and adolescents; findings from the 2011–12 national nutrition and physical activity survey. Aust. N. Z. J. Public Health 2017, 41, 572–578. [Google Scholar] [CrossRef] [PubMed]
- Tee, E.S.; Nurliyana, A.R.; Norimah, A.K.; Mohamed, H.; Tan, S.Y.; Appukutty, M.; Hopkins, S.; Thielecke, F.; Ong, M.K.; Ning, C.; et al. Breakfast consumption among malaysian primary and secondary school children and relationship with body weight status—Findings from the mybreakfast study. Asia Pac. J. Clin. Nutr. 2018, 27, 421–432. [Google Scholar] [PubMed]
- Traub, M.; Lauer, R.; Kesztyus, T.; Wartha, O.; Steinacker, J.M.; Kesztyus, D. Skipping breakfast, overconsumption of soft drinks and screen media: Longitudinal analysis of the combined influence on weight development in primary schoolchildren. BMC Public Health 2018, 18, 363. [Google Scholar] [CrossRef] [PubMed]
- Zhang, L.; Cordeiro, L.S.; Liu, J.; Ma, Y. The association between breakfast skipping and body weight, nutrient intake, and metabolic measures among participants with metabolic syndrome. Nutrients 2017, 9, 384. [Google Scholar] [CrossRef] [PubMed]
- Diietary Guidelines for Americans 2015–2020. Available online: https://health.gov/dietaryguidelines/2015/guidelines/ (accessed on 30 August 2018).
- US Department of Agriculture, Food and Nutrition Service. Nutrition Standards in the National School Lunch and School Breakfast Programs. Federal Register/Vol. 77, No. 17/January 26, 2012/Rules and Regulations. Available online: https://www.gpo.gov/fdsys/pkg/FR-2012-01-26/pdf/2012-1010.pdf (accessed on 30 August 2018).






| Children/Adolescents (N = 4057) | Adults/Older Adults (N = 10,431) | |||||
|---|---|---|---|---|---|---|
| All (N = 4057) | Skippers N = 761 (18%) | Consumers N = 3296 (82%) | All (N = 10431) | Skippers N = 2162 (19.7%) | Consumers N = 8269 (80.3%) | |
| Age (y) | ||||||
| 6–13 | 2511 | 12.53 (10.29–14.76) | 87.47 (85.24–89.71) | |||
| 13–18 | 1546 | 25.76 (21.71–29.81) | 74.24 (70.19–78.29) | |||
| 18–55 | 6594 | 23.51 (21.38–25.63) | 76.49 (74.37–78.62) | |||
| >55 | 3837 | 12.5 (10.89–14.11) | 87.5 (85.89–89.11) | |||
| <0.001 | <0.001 | |||||
| Gender | ||||||
| Male | 2073 | 17.68 (15.18–20.18) | 82.32 (79.82–84.82) | 5092 | 21.41 (19.78–23.05) | 78.59 (76.95–80.22) |
| Female | 1984 | 18.36 (15.13–21.59) | 81.64 (78.41–84.87) | 5339 | 18.04 (15.9–20.18) | 81.96 (79.82–84.1) |
| 0.66 | <0.005 | |||||
| Race/ethnicity | ||||||
| Non-Hispanic White | 1010 | 16.47 (12.87–20.07) | 83.53 (79.93–87.13) | 4225 | 17.43 (15.5–19.35) | 82.57 (80.65–84.5) |
| Non-Hispanic Black | 1119 | 26.21 (21.86–30.57) | 73.79 (69.43–78.14) | 2443 | 27.09 (24.44–29.74) | 72.91 (70.26–75.56) |
| Mexican American | 854 | 20.35 (17.17–23.53) | 79.65 (76.47–82.83) | 1252 | 24.28 (19.98–28.58) | 75.72 (71.42–80.02) |
| Asian | 415 | 12.87 (7.64–18.11) | 87.13 (81.89–92.36) | 1199 | 20.56 (17.18–23.94) | 79.44 (76.06–82.82) |
| Other Hispanic | 424 | 16.46 (13.00–19.92) | 83.54 (80.08–87.00) | 984 | 19.61 (15.52–23.7) | 80.39 (76.3–84.48) |
| Other/mixed race | 235 | 10.38 (4.30–16.47) | 89.62 (83.53–95.7) | 328 | 26.15 (20.72–31.58) | 73.85 (68.42–79.28) |
| <0.001 | <0.001 | |||||
| Family IPR 1,2 | ||||||
| <1.3 | 1739 | 22.97 (19.92–26.01) | 77.03 (73.99–80.08) | 3445 | 26.66 (23.83–29.5) | 73.34 (70.5–76.17) |
| 1.3–1.849 | 498 | 20.92 (15.81–26.03) | 79.08 (73.97–84.19) | 1176 | 20.29 (16.71–23.87) | 79.71 (76.13–83.29) |
| 1.85–2.99 | 561 | 22.79 (15.75–29.84) | 77.21 (70.16–84.25) | 1515 | 19.88 (16.74–23.02) | 80.12 (76.98–83.26) |
| ≥3.0 | 996 | 9.93 (6.70–13.17) | 90.07 (86.83–93.3) | 3511 | 15.46 (13.42–17.5) | 84.54 (82.5–86.58) |
| <0.001 | <0.001 | |||||
| Education 3 | ||||||
| <High school | 2130 | 24.58 (21.49–27.67) | 75.42 (72.33–78.51) | |||
| High school | 2149 | 20.3 (17.59–23.01) | 79.7 (76.99–82.41) | |||
| Some college | 3040 | 22.08 (19.77–24.39) | 77.92 (75.61–80.23) | |||
| ≥College graduate | 2522 | 12.98 (10.73–15.23) | 87.02 (84.77–89.27) | |||
| <0.001 | ||||||
| All (n = 11,565) | Children (n = 2152) | Adolescents (n = 1144) | Adults (n = 4955) | Older adults (n = 3314) | |
|---|---|---|---|---|---|
| Total | 449.1 (5.82) | 407.11 (7.15) | 420.28 (4.97) | 483.07 (6.12) | |
| <0.0001 | |||||
| Gender | |||||
| Male | 5663 | 446.67 (6.67) | 420.39 (8.66) | 403.42 (5.75) | 465.62 (6.94) |
| Female | 5902 | 451.78 (8.38) | 394.09 (9.69) | 436.43 (6.14) | 497.92 (6.89) |
| 0.5997 | 0.0362 | <0.001 | <0.001 | ||
| Race/ethnicity | |||||
| Non-Hispanic White | 4346 | 435.52 (11.15) | 390.95 (13.5) | 419.53 (7.48) | 487.61 (6.79) |
| Non-Hispanic Black | 2664 | 432.50 (8.57) | 380.27 (11.29) | 371.94 (5.79) | 428.25 (8.89) |
| Mexican American | 1647 | 486.34 (9.53) | 458.23 (8.46) | 437.89 (8.33) | 477.55 (11.36) |
| Asian | 1303 | 500.59 (17.69) | 469.59 (23.45) | 482.85 (7.17) | 520.76 (10.7) |
| Other Hispanic | 1164 | 470.64 (16.56) | 413.57 (21.68) | 430.59 (7.78) | 508.27 (10.67) |
| Other/mixed race | 441 | 447.68 (26.88) | 403.08 (15) | 411.78 (20.73) | 436.06 (39.03) |
| 0.0080 | <0.001 | <0.001 | <0.001 | ||
| Family income-to-poverty ratio 1 | |||||
| <1.3 | 3912 | 448.64 (8.98) | 403.2 (12.27) | 381.05 (8.26) | 459.09 (7.56) |
| 1.3–1.849 | 1310 | 459.92 (14.72) | 416.6 (22.4) | 403.76 (14.6) | 462.46 (10.98) |
| 1.85–2.99 | 1683 | 433.01 (16.92) | 365.12 (19.64) | 405.24 (10.84) | 464.92 (11.12) |
| ≥3.0 | 3835 | 448.81 (12.17) | 425.61 (11.66) | 451.36 (5.96) | 500.84 (7.79) |
| 0.4986 | 0.0676 | <0.001 | 0.0014 | ||
| Education 1 | |||||
| <High School | 1625 | 383.05 (9.01) | 457.81 (10.14) | ||
| High school | 1707 | 367.08 (9.88) | 453.53 (11.2) | ||
| Some college | 2362 | 407.77 (6.63) | 482.68 (9.27) | ||
| ≥College graduate | 2181 | 482.18 (7.56) | 517.95 (9.23) | ||
| <0.001 | <0.001 | ||||
| Breakfast consumption | N = 14,488 | ||||
| Eat | 11,565 | 449.10 (5.81) | 407.10 (7.15) | 420.28 (4.97) | 483.07 (6.12) |
| Skip | 2923 | 341.70 (14.67) | 327.18 (12.53) | 310.55 (7.63) | 388.21 (9.70) |
| <0.001 | <0.001 | <0.001 | <0.001 | ||
| Children/Adolescents (N = 3296) | Adults/Older Adults (N = 8269) | |||||||||||
|---|---|---|---|---|---|---|---|---|---|---|---|---|
| T1 | T2 | T3 | p * | p ** | p *** | T1 | T2 | T3 | p * | p ** | p *** | |
| Citrus fruits † | 0.02 (0) | 0.04 (0.01) | 0.07 (0.02) | 0.0104 | 0.015 | 0.0058 | 0.02 (0) | 0.06 (0.01) | 0.1 (0.01) | <0.001 | <0.001 | <0.001 |
| Juice (cup) † | 0.09 (0.01) | 0.19 (0.02) | 0.21 (0.02) | <0.001 | <0.001 | <0.001 | 0.07 (0.01) | 0.16 (0.02) | 0.17 (0.01) | <0.001 | <0.001 | <0.001 |
| Other fruits † | 0.06 (0.02) | 0.09 (0.01) | 0.12 (0.01) | 0.0325 | 0.033 | 0.0343 | 0.06 (0) | 0.13 (0.01) | 0.24 (0.01) | <0.001 | <0.001 | <0.001 |
| Whole grains ‡ | 0.18 (0.02) | 0.3 (0.03) | 0.47 (0.03) | <0.001 | 0.000 | <0.001 | 0.22 (0.02) | 0.47 (0.03) | 0.7 (0.03) | <0.001 | <0.001 | <0.001 |
| Refined grains ‡ | 1.63 (0.06) | 1.24 (0.07) | 0.81 (0.04) | <0.001 | 0.000 | <0.001 | 1.54 (0.04) | 1.28 (0.04) | 0.79 (0.03) | <0.001 | <0.001 | <0.001 |
| Meat/poultry/fish ‡ | 0.41 (0.05) | 0.29 (0.03) | 0.1 (0.01) | <0.001 | 0.000 | <0.001 | 0.61 (0.03) | 0.38 (0.03) | 0.16 (0.01) | <0.001 | <0.001 | <0.001 |
| Eggs ‡ | 0.30 (0.03) | 0.29 (0.03) | 0.2 (0.03) | 0.0457 | 0.545 | 0.5191 | 0.44 (0.03) | 0.44 (0.02) | 0.31 (0.03) | 0.0023 | <0.001 | 0.0098 |
| Soy, nuts, legumes ‡ | 0.06 (0.01) | 0.05 (0.01) | 0.09 (0.02) | 0.1455 | 0.047 | 0.0738 | 0.13 (0.02) | 0.19 (0.02) | 0.31 (0.02) | <0.001 | <0.001 | <0.001 |
| Milk † | 0.41 (0.03) | 0.6 (0.03) | 0.74 (0.03) | <0.001 | 0.000 | <0.001 | 0.23 (0.01) | 0.35 (0.02) | 0.52 (0.01) | <0.001 | <0.001 | <0.001 |
| Yogurt † | 0.01 (0) | 0.01 (0) | 0.03 (0.01) | 0.0312 | 0.038 | 0.0439 | 0.02 (0) | 0.03 (0) | 0.04 (0.01) | <0.001 | <0.001 | 0.0027 |
| Cheese † | 0.07 (0.01) | 0.08 (0.01) | 0.05 (0.01) | 0.0217 | 0.393 | 0.3791 | 0.13 (0.01) | 0.1 (0.01) | 0.05 (0) | <0.001 | <0.001 | <0.001 |
| Children | Adults | |||||||||||
|---|---|---|---|---|---|---|---|---|---|---|---|---|
| T1 | T2 | T3 | p * | p ** | p *** | T1 | T2 | T3 | p * | p ** | p *** | |
| Ranges of NRF | [−568, 378] | [378, 506] | [506, 866] | [−822, 376] | [376, 521] | [521, 878] | ||||||
| NRF9.3 | 258 (5) | 443 (2) | 595 (3) | <0.001 | <0.001 | <0.001 | 255 (2) | 450 (1) | 622 (2) | 0.0000 | <0.001 | <0.001 |
| Vitamins/minerals in NRF9.3 model | ||||||||||||
| Vitamin A, RAE (mcg) | 184 (9) | 242 (9) | 294 (8) | <0.001 | <0.001 | <0.001 | 158 (8) | 212 (7) | 306 (15) | <0.001 | <0.001 | <0.001 |
| Vitamin C (mg) | 13 (1) | 24 (2) | 28 (2) | <0.001 | <0.001 | <0.001 | 13 (1) | 24 (2) | 35 (2) | <0.001 | <0.001 | <0.001 |
| Vitamin D (mcg) | 2 (0.1) | 3 (0.1) | 3 (0.1) | <0.001 | <0.001 | <0.001 | 2 (0.1) | 2 (0.1) | 3 (0.1) | <0.001 | <0.001 | <0.001 |
| Calcium (mg) | 242 (10) | 312 (12) | 372 (9) | <0.001 | <0.001 | <0.001 | 212 (5) | 268 (7) | 348 (6) | <0.001 | <0.001 | <0.001 |
| Iron (mg) | 4 (0.2) | 5 (0.2) | 6.3 (0.3) | <0.001 | <0.001 | <0.001 | 4 (0.2) | 5 (0.1) | 7 (0.2) | <0.001 | <0.001 | <0.001 |
| Potassium (mg) | 415 (14) | 529 (18) | 581 (12) | <0.001 | <0.001 | <0.001 | 540 (10) | 640 (13) | 789 (15) | <0.001 | <0.001 | <0.001 |
| Magnesium (mg) | 44 (1) | 53 (1) | 64 (2) | <0.001 | <0.001 | <0.001 | 57 (1) | 70 (1) | 95 (2) | <0.001 | <0.001 | <0.001 |
| Sodium (mg) | 656 (24) | 572 (23) | 455 (15) | <0.001 | <0.001 | <0.001 | 784 (20) | 677 (22) | 507 (10) | <0.001 | <0.001 | <0.001 |
| Vitamins/minerals not in the NRF9.3 model | ||||||||||||
| Retinol (mcg) | 180 (10) | 235 (9) | 281 (7) | <0.001 | <0.001 | <0.001 | 150 (8) | 196 (7) | 264 (6) | <0.001 | <0.001 | <0.001 |
| Thiamin (mg) | 0.4 (0.01) | 0.5 (0.02) | 0.6 (0.02) | <0.001 | <0.001 | <0.001 | 0.4 (0.01) | 0.5 (0.01) | 0.6 (0.01) | <0.001 | <0.001 | <0.001 |
| Riboflavin (mg) | 0.6 (0.02) | 0.7 (0.02) | 0.9 (0.02) | <0.001 | <0.001 | <0.001 | 0.7 (0.02) | 0.8 (0.01) | 0.9 (0.01) | <0.001 | <0.001 | <0.001 |
| Niacin (mg) | 5 (0.2) | 6 (0.2) | 6 (0.2) | <0.001 | <0.001 | <0.001 | 6 (0.2) | 6 (0.1) | 7 (0.2) | 0.0010 | <0.001 | <0.001 |
| Vitamin B6 (mg) | 0.4 (0.02) | 0.6 (0.03) | 0.7 (0.03) | <0.001 | <0.001 | <0.001 | 0.5 (0.02) | 0.6 (0.02) | 0.8 (0.02) | <0.001 | <0.001 | <0.001 |
| Vitamin B12 (mcg) | 1 (0.1) | 2 (0.1) | 2 (0.1) | <0.001 | <0.001 | <0.001 | 1 (0.1) | 2 (0.1) | 2 (0.1) | <0.001 | <0.001 | <0.001 |
| Vitamin E (mg) | 1 (0.1) | 1 (0.1) | 1 (0.1) | 0.4962 | 0.139 | 0.1650 | 2 (0.1) | 2 (0.1) | 3 (0.2) | <0.001 | <0.001 | <0.001 |
| Folate, DFE (mcg) | 159 (9) | 195 (10) | 258 (12) | <0.001 | <0.001 | <0.001 | 135 (6) | 181 (5) | 265 (10) | <0.001 | <0.001 | <0.001 |
| Total folates (mcg) | 107 (6) | 130 (6) | 167 (7) | <0.001 | <0.001 | <0.001 | 96 (4) | 128 (3) | 180 (6) | <0.001 | <0.001 | <0.001 |
| Phosphorus (mg) | 301 (11) | 329 (12) | 352 (6) | 0.0005 | <0.001 | <0.001 | 318 (7) | 339 (7) | 381 (8) | <0.001 | <0.001 | <0.001 |
| Zinc (mg) | 2 (0.1) | 3 (0.1) | 4 (0.1) | <0.001 | <0.001 | <0.001 | 2 (0.1) | 3 (0.07) | 4 (0.1) | <0.001 | <0.001 | <0.001 |
| Copper (mg) | 0.2 (0) | 0.2 (0.01) | 0.2 (0.01) | <0.001 | <0.001 | <0.001 | 0.2 (0.01) | 0.3 (0.01) | 0.3 (0.01) | <0.001 | <0.001 | <0.001 |
| Selenium (mcg) | 22 (0.8) | 21 (0.94) | 18 (0.7) | <0.001 | 0.573 | 0.8552 | 27 (0.6) | 26 (0.8) | 24 (0.9) | 0.0316 | <0.001 | <0.001 |
© 2018 by the authors. Licensee MDPI, Basel, Switzerland. This article is an open access article distributed under the terms and conditions of the Creative Commons Attribution (CC BY) license (http://creativecommons.org/licenses/by/4.0/).
Share and Cite
Drewnowski, A.; Rehm, C.D.; Vieux, F. Breakfast in the United States: Food and Nutrient Intakes in Relation to Diet Quality in National Health and Examination Survey 2011–2014. A Study from the International Breakfast Research Initiative. Nutrients 2018, 10, 1200. https://doi.org/10.3390/nu10091200
Drewnowski A, Rehm CD, Vieux F. Breakfast in the United States: Food and Nutrient Intakes in Relation to Diet Quality in National Health and Examination Survey 2011–2014. A Study from the International Breakfast Research Initiative. Nutrients. 2018; 10(9):1200. https://doi.org/10.3390/nu10091200
Chicago/Turabian StyleDrewnowski, Adam, Colin D. Rehm, and Florent Vieux. 2018. "Breakfast in the United States: Food and Nutrient Intakes in Relation to Diet Quality in National Health and Examination Survey 2011–2014. A Study from the International Breakfast Research Initiative" Nutrients 10, no. 9: 1200. https://doi.org/10.3390/nu10091200
APA StyleDrewnowski, A., Rehm, C. D., & Vieux, F. (2018). Breakfast in the United States: Food and Nutrient Intakes in Relation to Diet Quality in National Health and Examination Survey 2011–2014. A Study from the International Breakfast Research Initiative. Nutrients, 10(9), 1200. https://doi.org/10.3390/nu10091200
