Effect of Long-Term Xanthophyll and Anthocyanin Supplementation on Lutein and Zeaxanthin Serum Concentrations and Macular Pigment Optical Density in Postmenopausal Women
Abstract
1. Introduction
2. Materials and Methods
2.1. Subjects and Study Design
2.2. Lutein, Zeaxanthin and Lipid Analysis in Blood
2.3. Dietary Intake Assessment
2.4. Macular Pigment Optical Density Assessment
2.5. Statistics
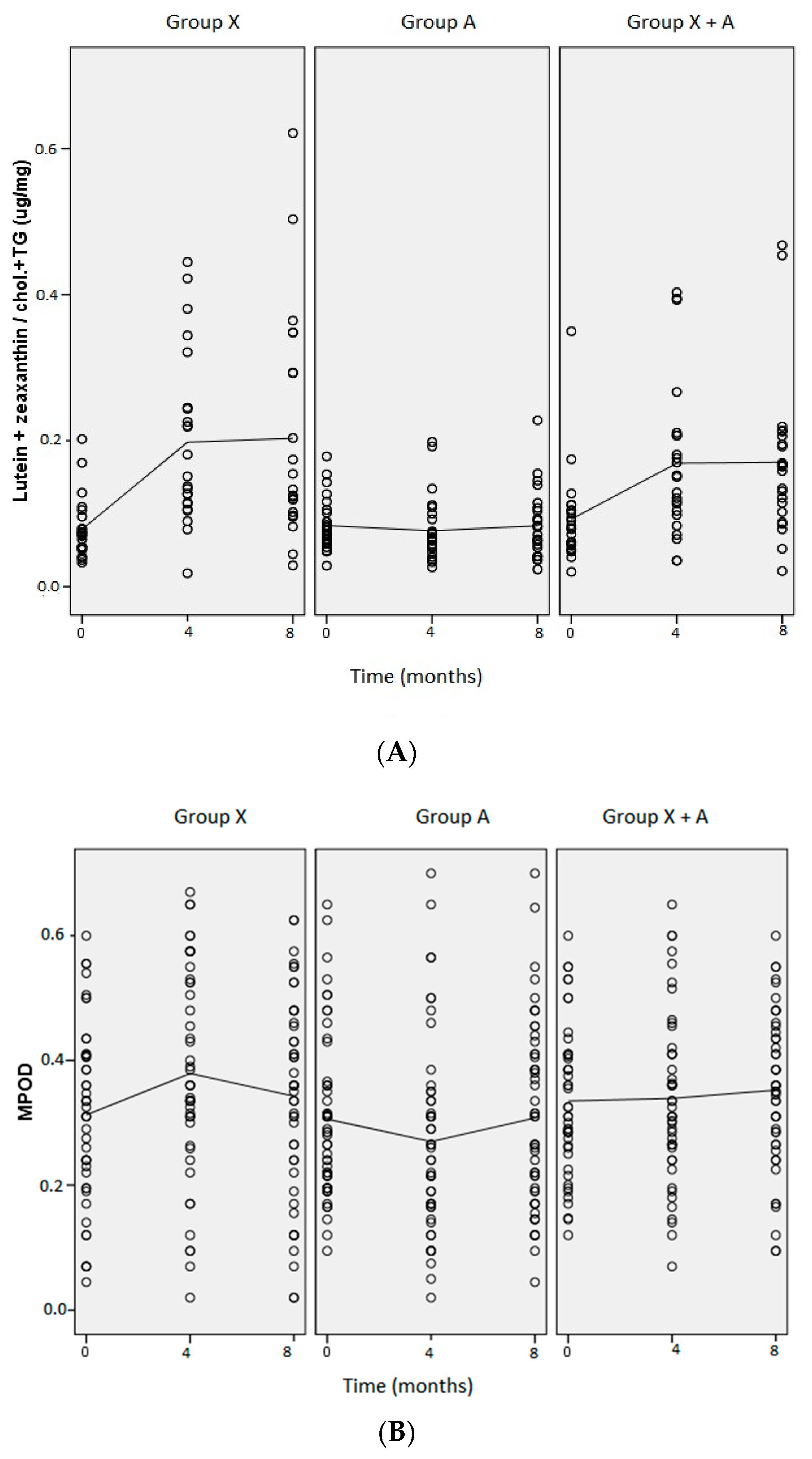
3. Results
4. Discussion
5. Conclusions
Author Contributions
Funding
Acknowledgments
Conflicts of Interest
References
- Wallace, T.C. Anthocyanins in cardiovascular disease. Adv. Nutr. 2011, 2, 1–7. [Google Scholar] [CrossRef] [PubMed]
- Scripsema, N.K.; Hyu, D.-N.; Bosen, R.B. Lutein, zeaxanthin, and meso-zeaxanthin in the clinical management of eye disease. J. Ophthalmol. 2015. [Google Scholar] [CrossRef] [PubMed]
- Leermakers, E.T.M.; Darweesh, S.K.L.; Baena, C.P.; Moreira, E.M.; van Lent, D.M.; Tielemans, M.J.; Muka, T.; Vitezova, A.; Chowdhury, R.; Bramer, W.M.; et al. The effects of lutein on cardiometabolic health across the life course: A systematic review and meta-analysis. Am. J. Clin. Nutr. 2016, 103, 481–494. [Google Scholar] [CrossRef] [PubMed]
- Koo, H.E.; Azlan, A.; Tang, S.T.; Lim, S.M. Anthocyanidins and anthocyanins: Colored pigments as food, pharmaceutical ingredients, and the potential health benefits. Food Nutr. Res. 2017, 61, 1361779. [Google Scholar] [CrossRef] [PubMed]
- Rodríguez-Concepción, M.; Ávalos, F.J.; Bonet, M.L.; Boronat, A.; Gómez-Gómez, L.; Hornero-Méndez, D.; Limón, C.; Meléndez-Martinez, A.J.; Olmedilla-Alonso, B.; Palou, A.; et al. A global perspective on carotenoids: Metabolism, biotechnology, and benefits for nutrition and health. Prog. Lipid Res. 2018, 70, 62–93. [Google Scholar] [CrossRef] [PubMed]
- Krinsky, N.I.; Landrum, J.T.; Bone, R.A. Biologic mechanisms of the protective role of lutein and zeaxanthin in the eye. Annu. Rev. Nutr. 2003, 23, 171–201. [Google Scholar] [CrossRef] [PubMed]
- Granado, F.; Olmedilla, B.; Blanco, I. Nutritional and clinical relevance of lutein in human health. Brit. J. Nutr. 2003, 90, 487–502. [Google Scholar] [CrossRef] [PubMed]
- Burke, J.D.; Curran-Celentano, J.; Wenzel, A.J. Diet and serum carotenoid concentrations affect macular pigment optical density in adults 45 years and older. J. Nutr. 2005, 135, 1208–1214. [Google Scholar] [CrossRef] [PubMed]
- Ciulla, T.A.; Curran-Celantano, J.; Cooper, D.A.; Hammond, B.R.; Danis, R.P.; Pratt, L.M.; Riccardi, K.A.; Filloon, T.G. Macular pigment optical density in a midwestern sample. Ophthalmology 2001, 108, 730–737. [Google Scholar] [CrossRef]
- Mares, J.; LaRowe, T.L.; Snodderly, D.M.; Moeller, S.M.; Gruber, M.J.; Klein, M.L.; Wooten, B.R.; Johnson, E.J.; Chappell, R.J.; CAREDS Macular Pigment Study Group and investigators. Predictors of optical density of lutein and zeaxanthin in retinas of older women in the carotenoids in age-related eye disease study, an ancillary study of the Women’s Health Initiative. Am. J. Clin. Nutr. 2006, 84, 1107–1122. [Google Scholar] [PubMed]
- Moeller, S.M.; Voland, R.; Sarto, G.E.; Gobel, V.L.; Streicher, S.L.; Mares, J.A. Women’s Health Initiative diet intervention did not increase macular pigment optical density in an ancillary study of a subsample of the Women’s Health Initiative. J. Nutr. 2009, 139, 1692–1699. [Google Scholar] [CrossRef] [PubMed]
- Olmedilla, B.; Granado, F.; Blanco, I.; Vaquero, M. Lutein, but not a-tocopherol, supplementation improves visual function in patients with age-related cataracts: A 2 years double blind placebo-controlled pilot study. Nutrition 2003, 19, 21–24. [Google Scholar] [CrossRef]
- O’Connell, E.; Neelam, K.; Nolan, J.; Au Eong, K.-G.; Beatty, S. Macular carotenoids and age-related maculopathy. Ann. Acad. Med. Singap. 2006, 35, 821–830. [Google Scholar] [PubMed]
- Loughman, J.; Akkali, M.C.; Beatty, S.; Scanlon, G.; Davison, P.A.; O’Dwyer, V.; Cantwell, T.; Major, P.; Stack, J.; Nolan, J.M. The relationship between macular pigment and visual performance. Vision Res. 2010, 50, 1249–1256. [Google Scholar] [CrossRef] [PubMed]
- Puell, M.C.; Palomo-Alvarez, C.; Barrio, A.R.; Gomez-Sanz, F.J.; Perez-Carrasco, M.J. Relationship between macular pigment and visual acuity in eyes with early age-related macular degeneration. Acta Ophthalmol. 2013, 91, E298–E303. [Google Scholar] [CrossRef] [PubMed]
- Lindbergh, C.A.; Renzi-Hammond, L.M.; Hammond, B.R.; Terry, D.P.; Mewborn, C.M.; Puente, A.N.; Miller, L.S. Lutein and Zeaxanthin Influence Brain Function in Older Adults: A Randomized Controlled Trial. J. Int. Neuropsychol. Soc. 2018, 24, 77–90. [Google Scholar] [CrossRef] [PubMed]
- AREDS2. Age-Related Eye Disease Study 2 Research G. Lutein + zeaxanthin and omega-3 fatty acids for age-related macular degeneration: The age-related eye disease study 2 (AREDS2) randomized clinical trial. JAMA 2013, 309, 2005–2015. [Google Scholar]
- Bourne, R.R.A.; Stevens, G.A.; White, R.A.; Smith, J.L.; Flaxman, S.R.; Price, H.; Jonas, J.B.; Keeffe, J.; Leasher, J.; Naidoo, K.; et al. Causes of vision loss workdwide, 1990–2010: A systematic analysis. Lancet Glob. Health 2013, 1, e339–e349. [Google Scholar] [CrossRef]
- Olmedilla-Alonso, B.; Beltrán-de-Miguel, B.; Estévez-Santiago, R.; Cuadrado-Vives, C. Markers of lutein and zeaxanthin status in two age groups of men and women: Dietary intake, serum concentrations, lipid profile and macular pigment optical density. Nutr. J. 2014, 13, 52. [Google Scholar] [CrossRef] [PubMed]
- Estévez-Santiago, R.; Olmedilla-Alonso, B.; Beltrán-de-Miguel, B.; Cuadrado-Vives, C. Lutein and zeaxanthin supplied by red/orange foods and fruits are more closely associated with macular pigment optical density than those from green vegetables in Spanish subjects. Nutr. Res. 2016, 36, 1210–1221. [Google Scholar] [CrossRef] [PubMed]
- Cho, E.Y.; Seddon, J.M.; Rosner, B.; Willett, W.C.; Hankinson, S.E. Prospective study of intake of fruits, vegetables, vitamins, and carotenoids and risk of age-related maculopathy. Arch. Ophthalmol. 2004, 122, 883–892. [Google Scholar] [CrossRef] [PubMed]
- Olmedilla-Alonso, B.; Granado-Lorencio, F.; Castro-Feito, J.; Herrero-Barbudo, C.; Blanco-Navarro, I.; Pérez-Sacristán, B. Bioavailability of lutein (free and ester forms) in humans: Assessment using exposition and functional biomarkers. Acta Biochim. Pol. 2008, 55, 4–5. [Google Scholar]
- Lupton, J.R.; Atkinson, S.A.; Chang, N.; Fraga, C.G.; Levy, J.; Messina, M.; Richardson, D.P.; van Ommen, B.; Yang, Y.; Griffiths, J.C.; et al. Exploring the benefits and challenges of establishing a DRI-like process for bioactives. Eur. J. Nutr. 2014, 53 (Suppl. S1), 1–9. [Google Scholar] [CrossRef] [PubMed]
- Ranard, K.M.; Jeon, S.; Mohn, E.S.; Griffiths, J.C.; Johnson, E.J.; Erdman, J.W., Jr. Dietary guidance for lutein: Consideration for intake recommendations is scientifically supported. Eur. J. Nutr. 2017, 56 (Suppl. S3), 37–42. [Google Scholar] [CrossRef] [PubMed]
- Kawabata, F.; Tsuji, T. Effects of dietary supplementation with a combination of fish oil, bilberry extract, and lutein on subjective symptoms of asthenopia in humans. Biomed. Res. 2011, 32, 387–393. [Google Scholar] [CrossRef] [PubMed]
- Kono, K.; Shimizu, Y.; Takahashi, S.; Matsuoka, S.; Yui, K. Effect of Multiple Dietary Supplement Containing Lutein, Astaxanthin, Cyanidin-3-glucoside, and DHA on Accommodative Ability. Immunol. Endocr. Metab. Agents Med. Chem. 2014, 14, 114–125. [Google Scholar] [CrossRef]
- Silván, J.M.; Reguero, M.; de Pascual-Teresa, S. A protective effect of anthocyanins and xanthophylls on UVB-induced damage in retinal pigment epithelial cells. Food Funct. 2016, 7, 1067–1076. [Google Scholar] [CrossRef] [PubMed]
- Estévez-Santiago, R.; Olmedilla-Alonso, B.; Fernández-Jalao, I. Bioaccessibility of provitamin A carotenoids from fruits: Application of a standardised static in vitro digestion method. Food Funct. 2016, 7, 1354–1366. [Google Scholar] [CrossRef] [PubMed]
- Granado-Lorencio, F.; Olmedilla-Alonso, B.; Blanco-Navarro, I.; Botella-Romero, F.; Simal-Anton, A. Assessment of carotenoid status and the relation to glycaemic control in type I diabetics: A follow-up study. Eur. J. Clin. Nutr. 2006, 60, 1000–1008. [Google Scholar] [CrossRef] [PubMed]
- Friedewald, W.T.; Levy, R.I.; Fredrickson, D.S. Estimation of the concentration of low-density lipoprotein cholesterol in plasma, without use of the preparative ultracentrifuge. Clin. Chem. 1972, 18, 499–502. [Google Scholar] [PubMed]
- Moreiras, O.; Carbajal, A.; Cabrera, L.; Cuadrado, C. Tablas de Composición de Alimentos; Anaya, ediciones Pirámide: Madrid, Spain, 2013. [Google Scholar]
- Estévez-Santiago, R.; Beltrán-de-Miguel, B.; Cuadrado-Vives, C.; Olmedilla-Alonso, B. Software application for the calculation of dietary intake of individual carotenoids and of its contribution to vitamin A intake. Nutr. Hosp. 2013, 28, 823–829. [Google Scholar] [PubMed]
- Rothwell, J.A.; Pérez-Jiménez, J.; Neveu, V.; Medina-Ramon, A.; M’Hiri, N.; Garcia Lobato, P.; Manach, C.; Knox, K.; Eisner, R.; Wishart, D.; Scalbert, A. Phenol-Explorer 3.0: A major update of the Phenol-Explorer database to incorporate data on the effects of food processing on polyphenol content. Database 2013, 2013. [Google Scholar] [CrossRef] [PubMed]
- Garcia-Salas, P.; Gomez-Caravaca, A.M.; Morales-Soto, A.; Segura-Carretero, A.; Fernandez-Gutierrez, A. Identification and quantification of phenolic compounds in diverse cultivars of eggplant grown in different seasons by high-performance liquid chromatography coupled to diode array detector and electrospray-quadrupole-time of flight-mass spectrometry. Food Res. Int. 2014, 57, 114–122. [Google Scholar] [CrossRef]
- Macz Pop, G.A. Contenido de Antocianos en Alubias y su Consumo por la Población del Departamento de Alta Verapaz. Ph.D. Thesis, University of Salamanca, Salamanca, Spain, 2005. [Google Scholar]
- Borochov-Neori, H.; Judeinstein, S.; Harari, M.; Bar-Ya'akov, I.; Patil, B.S.; Lurie, S.; Holland, D. Climate effects on anthocyanin accumulation and composition in the pomegranate (Punica granatum L.) fruit arils. J. Agric. Food Chem. 2011, 59, 5325–5334. [Google Scholar] [CrossRef] [PubMed]
- Ortega, R.M.; López-Sobaler, A.M.; Andrés, P.; Requejo, A.M.; Aparicio-Vizuete, A.; Molinero, L.M. DIAL Software (Version 2.16) for Assessing Diets and Food Calculations; Departamento de Nutrición (UCM) and Alce Ingeniería, S.L.: Madrid, Spain, 2012. [Google Scholar]
- Van der Veen, R.L.P.; Berendschot, T.T.J.M.; Hendrikse, F.; Carden, D.; Makridaki, M.; Murray, I.J. A new desktop instrument for measuring macular pigment optical density based on a novel technique for setting flicker thresholds. Ophthal. Phys. Opt. 2009, 29, 127–137. [Google Scholar] [CrossRef] [PubMed]
- Makridaki, M.; Carden, D.; Murray, I.J. Macular pigment measurement in clinics: Controlling the effect of the ageing media. Ophthal. Phys. Opt. 2009, 29, 338–344. [Google Scholar] [CrossRef] [PubMed]
- Granado, F.; Olmedilla, B.; Blanco, I.; Rojas Hidalgo, E. Carotenoid composition in raw and cooked Spanish vegetables. J. Agric. Food Chem. 1992, 40, 2135–2140. [Google Scholar] [CrossRef]
- O’Neill, M.E.; Carroll, Y.; Corridan, B.; Olmedilla, B.; Granado, F.; Blanco, I.; Van den Berg, H.; Hininger, I.; Rousell, A.M.; Chopra, M.; et al. A European carotenoid database to assess carotenoid intakes and its use in a five-country comparative study. Br. J. Nutr. 2001, 85, 499–507. [Google Scholar] [CrossRef] [PubMed]
- USDA-ARS, U.S. Department of Agriculture Agricultural Research Service. What We Eat in America; NHANES 2009–2010; USDA-ARS, U.S. Department of Agriculture Agricultural Research Service: Washington, DC, USA, 2012.
- Estévez-Santiago, R.; Beltrán-de-Miguel, B.; Olmedilla-Alonso, B. Assessment of dietary lutein, zeaxanthin and lycopene intakes and sources in the Spanish Survey of Dietary Intake (2009–2010). Int. J. Food Sci. Nutr. 2016, 67, 305–313. [Google Scholar] [CrossRef] [PubMed]
- Ma, L.; Liu, R.; Du, J.H.; Liu, T.; Wu, S.S.; Liu, X.H. Lutein, Zeaxanthin and Meso-zeaxanthin Supplementation Associated with Macular Pigment Optical Density. Nutrients 2016, 8, 426. [Google Scholar] [CrossRef] [PubMed]
- Hidalgo, M.; Martin-Santamaria, S.; Recio, I.; Sanchez-Moreno, C.; de Pascual-Teresa, B.; Rimbach, G.; de Pascual-Teresa, S. Potential anti-inflammatory, anti-adhesive, anti/estrogenic, and angiotensin-converting enzyme inhibitory activities of anthocyanins and their gut metabolites. Genes Nutr. 2012, 7, 295–306. [Google Scholar] [PubMed]
- Wu, X.; Beecher, G.R.; Holden, J.M.; Haytowitz, D.B.; Gebhardt, S.E.; Prior, R.L. Concentrations of anthocyanins in common foods in the United States and estimation of normal consumption. J. Agric. Food Chem. 2006, 54, 4069–4075. [Google Scholar] [CrossRef] [PubMed]
- Cassidy, A.; Mukamal, K.J.; Liu, L.; Franz, M.; Eliassen, A.H.; Rimm, E.B. High anthocyanin intake is associated with a reduced risk of myocardial infarction in young and middle-aged women. Circulation 2013, 127, 188–196. [Google Scholar] [CrossRef] [PubMed]
- Lee, J. Rosaceae products: Anthocyanin quality and comparisons between dietary supplements and foods. NFS J. 2016, 4, 1–8. [Google Scholar] [CrossRef]
- El-Sohemy, A.; Baylin, A.; Kabagambe, E.; Ascherio, A.; Spiegelman, D.; Campos, H. Individual carotenoid concentrations in adipose tissue and plasma as biomarkers of dietary intake. Am. J. Clin. Nutr. 2002, 76, 172–179. [Google Scholar] [CrossRef] [PubMed]
- Tangney, C.C.; Bienias, J.L.; Evans, D.A.; Morris, M.C. Reasonable estimates of serum vitamin E, vitamin C, and beta-cryptoxanthin are obtained with a food frequency questionnaire in older black and white adults. J. Nutr. 2004, 134, 927–934. [Google Scholar] [CrossRef] [PubMed]
- George, S.M.; Thompson, F.E.; Midthune, D.; Subar, A.F.; Berrigan, D.; Schatzkin, A.; Potischman, N. Strength of the relationships between three self-reported dietary intake instruments and serum carotenoids: The Observing Energy and Protein Nutrition (OPEN) Study. Public Health. Nutr. 2012, 15, 1000–1007. [Google Scholar] [CrossRef] [PubMed]
- Wawrzyniak, A.; Hamulka, J.; Friberg, E.; Wolk, A. Dietary, anthropometric, and lifestyle correlates of serum carotenoids in postmenopausal women. Eur. J. Nutr. 2013, 52, 1919–1926. [Google Scholar] [CrossRef] [PubMed]
- Nolan, J.M.; Feeney, J.; Kenny, R.A.; Cronin, H.; O’Regan, C.; Savva, G.M.; Loughman, J.; Finucane, C.; Connolly, E.; Meagher, K.; et al. Education Is Positively Associated with Macular Pigment: The Irish Longitudinal Study on Ageing (TILDA) Education and The TILDA Study. Investig. Ophthal. Vis. Sci. 2012, 53, 7855–7861. [Google Scholar] [CrossRef] [PubMed]
- Olmedilla, B.; Granado, F.; Southon, S.; Wright, A.J.A.; Blanco, I.; Gil-Martínez, E.; Van den Berg, H.; Corridan, B.; Hininger, I.; Thurnham, D.I.; et al. A European multicenter, placebo-controlled intervention trial with a-tocopherol, carotene rich palm-oil, lutein or lycopene at dietary achievable levels. Clin. Sci. 2002, 102, 447–456. [Google Scholar] [CrossRef] [PubMed]
- Juturu, V.; Bowman, J.P.; Stringham, N.T.; Stringhan, J.M. Bioavailability of lutein/zeaxanthin isomers and macular pigment optical density response to macular carotenoid supplementation: A randomized double blind placebo controlled study. New Front. Ophthalmol. 2016, 2, 140–145. [Google Scholar] [CrossRef]
- Bone, R.A.; Landrum, J.T. Dose-dependent response of serum lutein and macular pigment optical density to supplementation with lutein esters. Arch. Biochem. Biophys. 2010, 504, 50–55. [Google Scholar] [CrossRef] [PubMed]
- Gorusupudi, A.; Nelson, K.; Bernstein, P.S. The Age-Related Eye Disease 2 Study: Micronutrients in the treatment of macular degeneration. Adv. Nutr. 2017, 17, 40–53. [Google Scholar] [CrossRef] [PubMed]
- Huang, W.-Y.; Wu, H.; Li, D.J.; Song, J.-F.; Xiao, Y.-D.; Liu, C.-Q.; Zhou, J.-Z.; Sui, Z.-Q. Protective effects of blueberry anthocyanins against H2O2-induced oxidative injuries in human retinal pigment epithelial cells. J. Agric. Food Chem. 2018, 66, 1638–1648. [Google Scholar] [CrossRef] [PubMed]
- Landrum, J.T.; Bone, R.A.; Joa, H.; Kilburn, M.D.; Moore, L.L.; Sprague, K.E. A one year study of the macular pigment: The effect of 140 days of a lutein supplement. Exp. Eye Res. 1997, 65, 57–62. [Google Scholar] [CrossRef] [PubMed]
- Johnson, E.; Hammond, B.R.; Yeum, K.-J.; Quin, J.; Castaneda, C.; Snodderly, D.N.; Russell, R.M. Relation among serum and tissue concentrations of lutein and zeaxanthin and macular pigment density. Am. J. Clin. Nutr. 2000, 71, 1555–1562. [Google Scholar] [CrossRef] [PubMed]
- van der Made, S.M.; Kelly, E.R.; Kijlstra, A.; Plat, K.; Berendschot, T.T.J.M. Increased macular pigment optical density and visual acuity following consumption of a buttermilk drink containing lutein-enriched egg yolks: A randomized, double-blind, placebo controlled trial. J. Ophtalmol. 2016, 2016. [Google Scholar] [CrossRef] [PubMed]
- Kelly, E.R.; Plat, J.; Haenen, G.R.M.M.; Kijlstra, A.; Berendschot, T.T.J.M. The Effect of Modified Eggs and an Egg-Yolk Based Beverage on Serum Lutein and Zeaxanthin Concentrations and Macular Pigment Optical Density: Results from a Randomized Trial. PLoS ONE 2014, 9, e92659. [Google Scholar] [CrossRef] [PubMed]
- Phelan, D.; Prado-Cabrero, A.; Nolan, J.M. Statility of commercially available macular carotenoid supplements in oil and powder formulations. Nutrients 2017, 9, 1133. [Google Scholar] [CrossRef] [PubMed]
- Roodenburg, A.J.C.; Leenen, R.; Van Het Hof, K.H.; Weststrate, J.A.; Tijburg, L.B.M. Amount of fat in the diet affects bioavailability of lutein esters but not of α-carotene, β-carotene, and vitamin E in humans. Am. J. Clin. Nutr. 2000, 71, 1187–1193. [Google Scholar] [CrossRef] [PubMed]
- Stringham, J.M.; Stringham, N.T. Serum and retinal responses to three different doses of macular carotenoids over 12 weeks of supplementation. Exp. Eye Res. 2016, 151, 1–8. [Google Scholar] [CrossRef] [PubMed]
- Shardell, M.D.; Alley, D.E.; Hicks, G.E.; El-Kamary, S.S.; Miller, R.R.; Semba, R.D.; Ferrucci, L. Low-serum carotenoid concentrations and carotenoid interactions predict mortality in US adults: The Third National Health and Nutrition Examination Survey. Nutr. Res. 2011, 31, 178–189. [Google Scholar] [CrossRef] [PubMed]

| Mean ± SD | Median | CI95% | |
|---|---|---|---|
| Lutein (µmol/L) | 0.35 ± 0.19 | 0.31 | 0.31; 0.40 |
| Zeaxanthin (µmol/L) | 0.11 ± 0.05 | 0.10 | 0.10; 0.12 |
| Lutein + zeaxanthin (µmol/L) | 0.46 ± 0.23 | 0.39 | 0.41; 0.52 |
| Lutein + zeaxanthin/chol. + TG (µmol/mmol) | 0.07 ± 0.04 | 0.06 | 0.06; 0.08 |
| Cholesterol (mmol/L) | 5.59 ± 0.65 | 5.52 | 5.44; 5.72 |
| HDL-cholesterol (mmol/L) | 1.74 ± 0.65 | 1.71 | 1.66; 1.81 |
| LDL-cholesterol (mmol/L) | 3.39 ± 0.65 | 3.26 | 3.26; 3.55 |
| Triglycerides (TG) (mmol/L) | 0.97 ± 0.35 | 0.95 | 0.89; 1.06 |
| MPOD (du) (n = 144 eyes) | 0.32 ± 0.13 | 0.31 | 0.30; 0.34 |
| Group X (Xanthophylls) | Group A (Anthocyanins) | Group A+X (Anthocyanines + Xanthophylls) | |
|---|---|---|---|
| Mean ± SD | |||
| Lutein—baseline | 0.34 ± 0.21 a | 0.34 ± 0.14 a | 0.39 ± 0.22 a |
| 4 months | 0.95 ± 0.49 b | 0.34 ± 0.20 a | 0.81 ± 0.51 bc |
| 8 months | 0.95 ± 0.67 b | 0.36 ± 0.25 a | 0.78 ± 0.47 bc |
| Zeaxanthin—baseline | 0.11 ± 0.05 a | 0.10 ± 0.03 a | 0.11 ± 0.08 a |
| 4 months | 0.17 ± 0.86 b | 0.09 ± 0.05 a | 0.16 ± 0.13 bc |
| 8 months | 0.16 ± 0.08 b | 0.10 ± 0.05 a | 0.15 ± 0.08 ac |
| Lutein + zeaxanthin—baseline | 0.44 ± 0.24 a | 0.44 ± 0.16 a | 0.50 ± 0.29 a |
| 4 months | 1.12 ± 0.56 b | 0.43 ± 0.24 a | 0.97 ± 0.60 bc |
| 8 months | 1.11 ± 0.75 b | 0.46 ± 0.29 a | 0.92 ± 0.54 bc |
| Lutein + zeaxanthin/cholesterol + TG—baseline | 0.08 ± 0.04 a | 0.08 ± 0.04 a | 0.09 ± 0.07 a |
| 4 months | 0.20 ± 0.12 b | 0.08 ± 0.04 a | 0.17 ± 0.11 bc |
| 8 months | 0.20 ± 0.15 b | 0.08 ± 0.05 a | 0.17 ± 0.11 bc |
| Cholesterol—baseline | 5.54 ± 0.62 | 5.47 ± 0.70 | 5.78 ± 0.57 |
| 4 months | 5.80 ± 0.67 | 5.67 ± 0.67 | 5.85 ± 0.73 |
| 8 months | 5.72 ± 0.73 | 5.59 ± 0.88 | 5.59 ± 0.93 |
| HDL-cholesterol—baseline | 1.63 ± 0.34 | 1.71 ± 0.34 | 1.84 ± 0.36 |
| 4 months | 1.81 ± 0.47 | 1.74 ± 0.34 | 1.84 ± 0.39 |
| 8 months | 1.76 ± 0.39 | 1.74 ± 0.29 | 1.89 ± 0.36 |
| LDL-cholesterol—baseline | 3.45 ± 0.67 | 3.29 ± 0.67 | 3.50 ± 0.57 |
| 4 months | 3.50 ± 0.78 | 3.45 ± 0.67 | 3.55 ± 0.60 |
| 8 months | 3.47 ± 0.78 | 3.42 ± 0.86 | 3.29 ± 0.78 |
| TG—baseline | 1.06 ± 0.35 | 0.95 ± 0.38 | 0.93 ± 0.29 |
| 4 months | 1.07 ± 0.35 | 1.04 ± 0.38 | 1.03 ± 0.45 |
| 8 months | 1.07 ± 0.46 | 0.96 ± 0.35 | 0.94 ± 0.41 |
| MPOD—baseline | 0.31 ± 0.14 a | 0.31 ± 0.13 a | 0.34 ± 0.12 |
| 4 months | 0.38 ± 0.17 b | 0.27 ± 0.15 b | 0.34 ± 0.14 |
| 8 months | 0.34 ± 0.16 | 0.31 ± 0.15 | 0.35 ± 0.13 |
| Lutein and Zeaxanthin (μg/day) | Anthocyanins 1 (mg/day) | |||||
|---|---|---|---|---|---|---|
| Basal (n = 72) | 629.7 ± 613.8 | 25.3 ± 31.3 | ||||
| (412.4) | (14.0) | |||||
| (40.8–3505.3) | (0.0–161.3) | |||||
| Group X | Group A | Group XA | Group X (n = 23) | Group A (n = 26) | Group XA (n = 23) | |
| Basal | 634.0 ± 599.3 a | 564.4 ± 393.7 a | 702.5 ± 828.2 a | 17.7 ± 20.6 a | 21.7 ± 26.3 a | 37.0 ± 41.6 a |
| (412.4) | (465.9) | (348.9) | (11.0) | (11.0) | (24.8) | |
| (123.5–2932.3) | (142.9–1809.6) | (40.8–3505.3) | (0.0–67.5) | (0.0–73.9) | (0.0–161.3) | |
| 4 months | 706.9 ± 572.8 a | 1015.0 ± 842.8 b | 1016.7 ± 793.0 a | 7.2 ± 12.5 b | 6.1 ± 14.5 b | 9.5 ± 13.0 b |
| (441.7) | (740.6) | (796.1) | (0.0) | (0.0) | (3.1) | |
| (71.2–2358.2) | (357.0–4028.9) | (200.6–3421.4) | (0–44.0) | (0.0–66.0) | (0.0–36.1) | |
| 8 months | 1070.6 ± 770.4 ab | 1052.6 ± 1015.0 bc | 1036.5 ± 888.9 a | 9.3 ± 13.7 ab | 13.7 ± 18.8 ab | 17.8 ± 31.1 ab |
| (904.8) | (673.7) | (812.0) | (0.6) | (0.9) | (7.7) | |
| (233.1–3178.0) | (354.3–5023.3) | (210.3–3233.0) | (0.0–44.0) | (0.0–69.4) | (0.0–137.3) | |
© 2018 by the authors. Licensee MDPI, Basel, Switzerland. This article is an open access article distributed under the terms and conditions of the Creative Commons Attribution (CC BY) license (http://creativecommons.org/licenses/by/4.0/).
Share and Cite
Olmedilla-Alonso, B.; Estévez-Santiago, R.; Silván, J.-M.; Sánchez-Prieto, M.; De Pascual-Teresa, S. Effect of Long-Term Xanthophyll and Anthocyanin Supplementation on Lutein and Zeaxanthin Serum Concentrations and Macular Pigment Optical Density in Postmenopausal Women. Nutrients 2018, 10, 959. https://doi.org/10.3390/nu10080959
Olmedilla-Alonso B, Estévez-Santiago R, Silván J-M, Sánchez-Prieto M, De Pascual-Teresa S. Effect of Long-Term Xanthophyll and Anthocyanin Supplementation on Lutein and Zeaxanthin Serum Concentrations and Macular Pigment Optical Density in Postmenopausal Women. Nutrients. 2018; 10(8):959. https://doi.org/10.3390/nu10080959
Chicago/Turabian StyleOlmedilla-Alonso, Begoña, Rocío Estévez-Santiago, José-Manuel Silván, Milagros Sánchez-Prieto, and Sonia De Pascual-Teresa. 2018. "Effect of Long-Term Xanthophyll and Anthocyanin Supplementation on Lutein and Zeaxanthin Serum Concentrations and Macular Pigment Optical Density in Postmenopausal Women" Nutrients 10, no. 8: 959. https://doi.org/10.3390/nu10080959
APA StyleOlmedilla-Alonso, B., Estévez-Santiago, R., Silván, J.-M., Sánchez-Prieto, M., & De Pascual-Teresa, S. (2018). Effect of Long-Term Xanthophyll and Anthocyanin Supplementation on Lutein and Zeaxanthin Serum Concentrations and Macular Pigment Optical Density in Postmenopausal Women. Nutrients, 10(8), 959. https://doi.org/10.3390/nu10080959

