Whey Protein Concentrate WPC-80 Improves Antioxidant Defense Systems in the Salivary Glands of 14-Month Wistar Rats
Abstract
1. Introduction
2. Materials and Methods
2.1. WPC-80 Composition
2.2. Animals
- C7—a control group receiving a saline solution intragastrically for 7 days;
- C14—a control group receiving a saline solution intragastrically for 14 days;
- WPC7—an experimental group receiving WPC-80 intragastrically at the dose of 0.3 mg/kg BW for 7 days and;
- WPC14—an experimental group receiving WPC-80 intragastrically at the dose of 0.3 mg/kg BW for 14 days.
2.3. Homogenization
2.4. Biochemical Assays
2.5. Total Antioxidant/Oxidant Status
2.6. Enzymatic and Non-Enzymatic Antioxidants
2.7. Stiatistical Analysis
3. Results
3.1. WPC-80 Composition
3.2. Animal Characteristics
3.3. Total Antioxidant/Oxidant Status
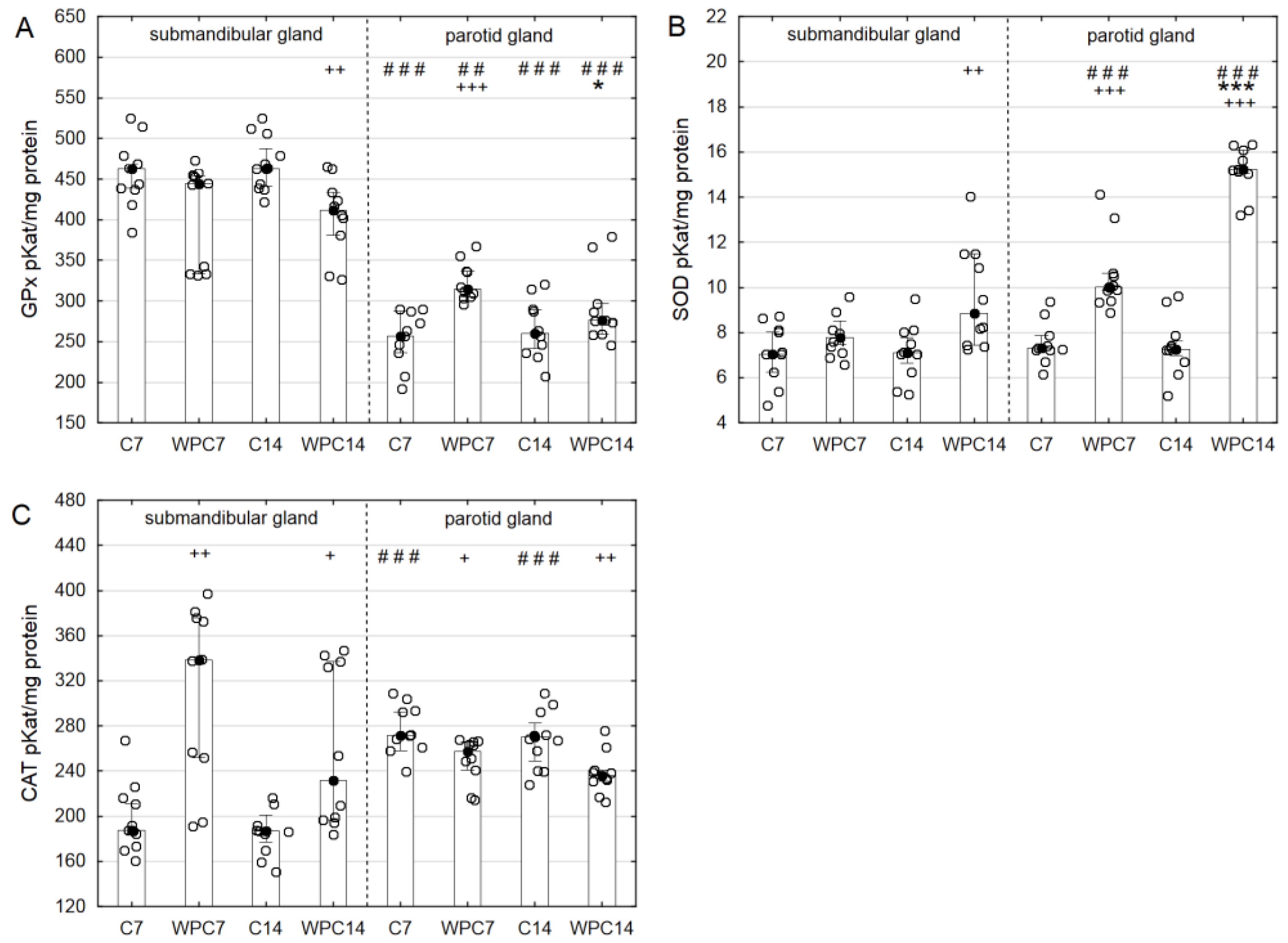
3.4. Enzymatic and Non-Enzymatic Antioxidants
3.5. Correlations
4. Discussion
Supplementary Materials
Author contributions
Funding
Acknowledgments
Conflicts of Interest
References
- López-Otín, C.; Blasco, M.A.; Partridge, L.; Serrano, M.; Kroemer, G. The Hallmarks of Aging. Cell 2013, 153, 1194–1217. [Google Scholar] [CrossRef] [PubMed]
- Choromańska, M.; Klimiuk, A.; Kostecka-Sochoń, P.; Wilczyńska, K.; Kwiatkowski, M.; Okuniewska, N.; Waszkiewicz, N.; Zalewska, A.; Maciejczyk, M. Antioxidant Defence, Oxidative Stress and Oxidative Damage in Saliva, Plasma and Erythrocytes of Dementia Patients. Can Salivary AGE be a Marker of Dementia? Int. J. Mol. Sci. 2017, 18, 2205. [Google Scholar] [CrossRef] [PubMed]
- Nagler, R.M. Salivary glands and the aging process: Mechanistic aspects, health-status and medicinal-efficacy monitoring. Biogerontology 2004, 5, 223–233. [Google Scholar] [CrossRef] [PubMed]
- Kim, S.K.; Allen, E.D. Structural and functional changes in salivary glands during aging. Microsc. Res. Tech. 1994, 28, 243–253. [Google Scholar] [CrossRef] [PubMed]
- Ghezzi, E.M.; Ship, J.A. Aging and secretory reserve capacity of major salivary glands. J. Dent. Res. 2003, 82, 844–848. [Google Scholar] [CrossRef] [PubMed]
- Chandrasekaran, A.; Idelchik, M.d.P.S.; Melendez, J.A. Redox control of senescence and age-related disease. Redox Biol. 2017, 11, 91–102. [Google Scholar] [CrossRef] [PubMed]
- Żukowski, P.; Maciejczyk, M.; Waszkiel, D. Sources of free radicals and oxidative stress in the oral cavity. Arch. Oral Biol. 2018. [Google Scholar] [CrossRef] [PubMed]
- Żukowski, P.; Maciejczyk, M.; Matczuk, J.; Kurek, K.; Waszkiel, D.; Żendzian-Piotrowska, M.; Zalewska, A. Effect of N-Acetylcysteine on Antioxidant Defense, Oxidative Modification, and Salivary Gland Function in a Rat Model of Insulin Resistance. Oxid. Med. Cell. Longev. 2018, 2018, 6581970. [Google Scholar] [CrossRef] [PubMed]
- Car, H.; Koprowicz, T.; Tokajuk, A.; Tokajuk, A. Wpływ naturalnych białek serwatki na mechanizmy regulacji ciśnienia tętniczego krwi. Postepy Hig. Med. Dosw. 2014, 68, 172–178. [Google Scholar] [CrossRef]
- Tokajuk, A.; Karpińska, O.; Zakrzeska, A.; Bienias, K.; Prokopiuk, S.; Kozłowska, H.; Kasacka, I.; Chabielska, E.; Car, H. Dysfunction of aorta is prevented by whey protein concentrate-80 in venous thrombosis-induced rats. J. Funct. Foods 2016, 27, 365–375. [Google Scholar] [CrossRef]
- Pal, S.; Radavelli-Bagatini, S. The effects of whey protein on cardiometabolic risk factors. Obes. Rev. 2013, 14, 324–343. [Google Scholar] [CrossRef] [PubMed]
- Graf, S.; Egert, S.; Heer, M. Effects of whey protein supplements on metabolism: Evidence from human intervention studies. Curr. Opin. Clin. Nutr. Metab. Care 2011, 14, 569–580. [Google Scholar] [CrossRef] [PubMed]
- Ballatori, N.; Krance, S.M.; Notenboom, S.; Shi, S.; Tieu, K.; Hammond, C.L. Glutathione dysregulation and the etiology and progression of human diseases. Biol. Chem. 2009, 390, 191–214. [Google Scholar] [CrossRef] [PubMed]
- Hassan, A.M.; Abdel-Aziem, S.H.; Abdel-Wahhab, M.A. Modulation of DNA damage and alteration of gene expression during aflatoxicosis via dietary supplementation of Spirulina (Arthrospira) and whey protein concentrate. Ecotoxicol. Environ. Saf. 2012, 79, 294–300. [Google Scholar] [CrossRef] [PubMed]
- Knaś, M.; Maciejczyk, M.; Daniszewska, I.; Klimiuk, A.; Matczuk, J.; Kołodziej, U.; Waszkiel, D.; Ładny, J.R.; Żendzian-Piotrowska, M.; Zalewska, A. Oxidative Damage to the Salivary Glands of Rats with Streptozotocin-Induced Diabetes-Temporal Study: Oxidative Stress and Diabetic Salivary Glands. J. Diabetes Res. 2016, 2016, 4583742. [Google Scholar] [CrossRef] [PubMed]
- Kołodziej, U.; Maciejczyk, M.; Miąsko, A.; Matczuk, J.; Knaś, M.; Żukowski, P.; Żendzian-Piotrowska, M.; Borys, J.; Zalewska, A. Oxidative Modification in the Salivary Glands of High Fat-Diet Induced Insulin Resistant Rats. Front. Physiol. 2017, 8, 20. [Google Scholar] [CrossRef] [PubMed]
- Aebi, H. Catalase in vitro. In Methods in Enzymology; Elsevier: New York, NY, USA, 1984; Volume 105, pp. 121–126. ISBN 9780121820053. [Google Scholar]
- Valko, M.; Rhodes, C.J.; Moncol, J.; Izakovic, M.; Mazur, M. Free radicals, metals and antioxidants in oxidative stress-induced cancer. Chem. Biol. Interact. 2006, 160, 1–40. [Google Scholar] [CrossRef] [PubMed]
- Valko, M.; Leibfritz, D.; Moncol, J.; Cronin, M.T.D.; Mazur, M.; Telser, J. Free radicals and antioxidants in normal physiological functions and human disease. Int. J. Biochem. Cell Biol. 2007, 39, 44–84. [Google Scholar] [CrossRef] [PubMed]
- Maciejczyk, M.; Mikoluc, B.; Pietrucha, B.; Heropolitanska-Pliszka, E.; Pac, M.; Motkowski, R.; Car, H. Oxidative stress, mitochondrial abnormalities and antioxidant defense in Ataxia-telangiectasia, Bloom syndrome and Nijmegen breakage syndrome. Redox Biol. 2017, 11, 375–383. [Google Scholar] [CrossRef] [PubMed]
- Kesarwala, A.; Krishna, M.; Mitchell, J. Oxidative stress in oral diseases. Oral Dis. 2016, 22, 9–18. [Google Scholar] [CrossRef] [PubMed]
- Fejfer, K.; Buczko, P.; Niczyporuk, M.; Ładny, J.R.; Hady, H.R.; Knaś, M.; Waszkiel, D.; Klimiuk, A.; Zalewska, A.; Maciejczyk, M. Oxidative Modification of Biomolecules in the Nonstimulated and Stimulated Saliva of Patients with Morbid Obesity Treated with Bariatric Surgery. Biomed. Res. Int. 2017, 2017, 4923769. [Google Scholar] [CrossRef] [PubMed]
- Zalewska, A.; Knaś, M.; Maciejczyk, M.; Waszkiewicz, N.; Klimiuk, A.; Choromańska, M.; Matczuk, J.; Waszkiel, D.; Car, H. Antioxidant profile, carbonyl and lipid oxidation markers in the parotid and submandibular glands of rats in different periods of streptozotocin induced diabetes. Arch. Oral Biol. 2015, 60, 1375–1386. [Google Scholar] [CrossRef] [PubMed]
- Knaś, M.; Maciejczyk, M.; Sawicka, K.; Hady, H.R.; Niczyporuk, M.; Ładny, J.R.; Matczuk, J.; Waszkiel, D.; Żendzian-Piotrowska, M.; Zalewska, A. Impact of morbid obesity and bariatric surgery on antioxidant/oxidant balance of the unstimulated and stimulated human saliva. J. Oral Pathol. Med. 2016, 45, 455–464. [Google Scholar] [CrossRef] [PubMed]
- Nassar, M.; Hiraishi, N.; Islam, M.S.; Otsuki, M.; Tagami, J. Age-related changes in salivary biomarkers. J. Dent. Sci. 2014, 9, 85–90. [Google Scholar] [CrossRef]
- Yamauchi, Y.; Matsuno, T.; Omata, K.; Satoh, T. Relationship between hyposalivation and oxidative stress in aging mice. J. Clin. Biochem. Nutr. 2017, 61, 40–46. [Google Scholar] [CrossRef] [PubMed]
- Lushchak, V.I. Classification of oxidative stress based on its intensity. EXCLI J. 2014, 13, 922–937. [Google Scholar] [PubMed]
- Lushchak, V.I. Free radicals, reactive oxygen species, oxidative stress and its classification. Chem. Biol. Interact. 2014, 224, 164–175. [Google Scholar] [CrossRef] [PubMed]
- Borys, J.; Maciejczyk, M.; Krȩtowski, A.J.; Antonowicz, B.; Ratajczak-Wrona, W.; Jablonska, E.; Zaleski, P.; Waszkiel, D.; Ladny, J.R.; Zukowski, P.; et al. The redox balance in erythrocytes, plasma, and periosteum of patients with titanium fixation of the jaw. Front. Physiol. 2017, 8, 386. [Google Scholar] [CrossRef] [PubMed]
- Kołodziej, U.; Maciejczyk, M.; Niklińska, W.; Waszkiel, D.; Żendzian-Piotrowska, M.; Żukowski, P.; Zalewska, A. Chronic high-protein diet induces oxidative stress and alters the salivary gland function in rats. Arch. Oral Biol. 2017, 84, 6–12. [Google Scholar] [CrossRef] [PubMed]
- Petzke, K.J.; Elsner, A.; Proll, J.; Thielecke, F.; Metges, C.C. Long-term high protein intake does not increase oxidative stress in rats. J. Nutr. 2000, 130, 2889–2896. [Google Scholar] [CrossRef] [PubMed]
- Knaś, M.; Maciejczyk, M.; Waszkiel, D.; Zalewska, A. Oxidative stress and salivary antioxidants. Dent. Med. Probl. 2013, 50, 461–466. [Google Scholar]
- Aquilano, K.; Baldelli, S.; Ciriolo, M.R. Glutathione: New roles in redox signalling for an old antioxidant. Front. Pharmacol. 2014, 5, 196. [Google Scholar] [CrossRef] [PubMed]
- Maher, P. The effects of stress and aging on glutathione metabolism. Ageing Res. Rev. 2005, 4, 288–314. [Google Scholar] [CrossRef] [PubMed]
- El-Maghraby, E. Effect of whey protein and nandrolone in rat submandibular salivary glands. Nat. Sci. 2012, 10, 10–19. [Google Scholar]
- Maciejczyk, M.; Kossakowska, A.; Szulimowska, J.; Klimiuk, A.; Knaś, M.; Car, H.; Niklińska, W.; Ładny, J.R.; Chabowski, A.; Zalewska, A. Lysosomal Exoglycosidase Profile and Secretory Function in the Salivary Glands of Rats with Streptozotocin-Induced Diabetes. J. Diabetes Res. 2017, 2017. [Google Scholar] [CrossRef] [PubMed]
- Leidy, H.J.; Clifton, P.M.; Astrup, A.; Wycherley, T.P.; Westerterp-Plantenga, M.S.; Luscombe-Marsh, N.D.; Woods, S.C.; Mattes, R.D. The role of protein in weight loss and maintenance. Am. J. Clin. Nutr. 2015, 101, 1320S–1329S. [Google Scholar] [CrossRef] [PubMed]
- Sreebny, L.M.; Johnson, D.A. Effect of food consistency and decreased food intake on rat parotid and pancreas. Am. J. Physiol. Content 1968, 215, 455–460. [Google Scholar] [CrossRef] [PubMed]
- El-Nozahy, A.A.; Ismail, M.I.A. The response of rat submandibular salivary gland to plant protein diet; Biological and histochemical study. Int. J. Health Sci. (Qassim) 2013, 7, 309–315. [Google Scholar] [CrossRef]
- Devries, M.C.; Phillips, S.M. Supplemental protein in support of muscle mass and health: Advantage whey. J. Food Sci. 2015, 80, A8–A15. [Google Scholar] [CrossRef] [PubMed]





| Groups | Initial body Weight (g) | Final Body Weight (g) | ||||
|---|---|---|---|---|---|---|
| Median | Min | Max | Median | Min | Max | |
| C7 | 450.0 | 415.0 | 485.0 | 470.0 | 436.0 | 520.0 |
| C14 | 454.5 | 420.0 | 490.0 | 482.0 | 455.0 | 521.0 |
| WPC7 | 449.0 | 420.0 | 484.0 | 522.5 | 449.0 | 557.0 |
| WPC14 | 450.0 | 429.0 | 486.0 | 523.0 | 489.0 | 534.0 |
| p value | ||||||
| WPC7:C7 | 1.0 | 0.01 | ||||
| WPC14:C14 | 1.0 | 0.01 | ||||
| Groups | ALT (U/L) | AST (U/L) | Amylase (U/L) | Albumin (µmol/L) | Uric Acid (µmol/L) | Urea (mmol/L) | Creatinine (mg/dL) |
|---|---|---|---|---|---|---|---|
| C7 | 53.2 ± 6.3 | 122.3 ± 23.4 | 1552.5 ± 129.9 | 424.9 ± 6.9 | 29 ± 4.6 | 7.13 ± 0.8 | 0.5 ± 0.07 |
| C14 | 51.6 ± 8.8 | 120.4 ± 25.8 | 1522.3 ± 134.8 | 433.6 ± 3.7 | 28 ± 5.4 | 7.21 ± 0.4 | 0.5 ± 0.05 |
| WPC7 | 48.7 ± 12.7 | 122.2 ± 34.9 | 1530.9 ± 157.1 | 427.9 ± 20.1 | 32 ± 13.8 | 7.39 ± 0.5 | 0.4 ± 0.04 |
| WPC14 | 61.1 ± 13.5 | 103.5 ± 30.1 | 1423.6 ± 206.1 | 455.4 ± 12.7 | 35 ± 4.2 | 7.93 ± 0.6 | 0.5 ± 0.01 |
| p value | |||||||
| WPC7:C7 | 1.00 | 1.00 | 1.00 | 0.53 | 1.00 | 0.58 | 1.00 |
| WPC14:C14 | 1.00 | 1.00 | 1.00 | 0.16 | 0.50 | 1.00 | 1.00 |
| Groups | WBC (× 1012/L) | RBC (M/µ/L) | HGB (g/dL) | HCT (%) | PLT (x 109/L) | MCV (fL) | MCH (pg) | MCHC (g/dL) |
|---|---|---|---|---|---|---|---|---|
| C7 | 3.1 ± 0.7 | 8.38 ± 0.2 | 14.7 ± 0.4 | 44.3 ± 1.9 | 673 ± 141 | 52 ± 0.6 | 18.0 ± 0.5 | 33.6 ± 0.5 |
| C14 | 2.8 ± 0.9 | 8.14 ± 0.3 | 14.3 ± 0.4 | 43.3 ± 1.5 | 691 ± 73 | 53 ± 0.5 | 17.5 ± 0.3 | 32.5 ± 0.3 |
| WPC7 | 2.1 ± 0.8 | 8.51 ± 0.4 | 14.4 ± 0.8 | 44.6 ± 2.2 | 691 ± 66 | 52 ± 0.8 | 17.7 ± 0.4 | 33.4 ± 0.5 |
| WPC14 | 1.7 ± 0.4 | 8.48 ± 0.1 | 14.4 ± 0.3 | 43.8 ± 0.6 | 677 ± 31 | 53 ± 0.3 | 17.9 ± 0.3 | 33.5 ± 0.3 |
| p value | ||||||||
| WPC7:C7 | 1.00 | 1.00 | 1.00 | 1.00 | 1.00 | 1.00 | 1.00 | 1.00 |
| WPC14:C14 | 0.15 | 0.40 | 1.00 | 0.28 | 1.00 | 1.00 | 1.00 | 1.00 |
| Pair of Variables | Group | Salivary Gland | r | p |
|---|---|---|---|---|
| GPx & SOD | C 7 | submandibular | −0.79 | 0.03 |
| GSH & SOD | C 7 | parotid | 0.69 | 0.03 |
| GSH & SOD | C 14 | parotid | −0.81 | 0.04 |
| OSI & TOS | WPC 7 | submandibular | 0.74 | 0.01 |
| TAS & GSH | WPC 7 | parotid | 0.65 | 0.04 |
| TAS & CAT | WPC 7 | parotid | 0.93 | <0.001 |
| TAS & OSI | WPC 14 | submandibular | −0.78 | 0.001 |
| TAS & GPx | WPC 14 | parotid | −0.65 | 0.04 |
| OSI & GSH | WPC 14 | parotid | −0.75 | 0.01 |
| OSI & TOS | WPC 14 | parotid | 0.65 | 0.01 |
© 2018 by the authors. Licensee MDPI, Basel, Switzerland. This article is an open access article distributed under the terms and conditions of the Creative Commons Attribution (CC BY) license (http://creativecommons.org/licenses/by/4.0/).
Share and Cite
Falkowski, M.; Maciejczyk, M.; Koprowicz, T.; Mikołuć, B.; Milewska, A.; Zalewska, A.; Car, H. Whey Protein Concentrate WPC-80 Improves Antioxidant Defense Systems in the Salivary Glands of 14-Month Wistar Rats. Nutrients 2018, 10, 782. https://doi.org/10.3390/nu10060782
Falkowski M, Maciejczyk M, Koprowicz T, Mikołuć B, Milewska A, Zalewska A, Car H. Whey Protein Concentrate WPC-80 Improves Antioxidant Defense Systems in the Salivary Glands of 14-Month Wistar Rats. Nutrients. 2018; 10(6):782. https://doi.org/10.3390/nu10060782
Chicago/Turabian StyleFalkowski, Mateusz, Mateusz Maciejczyk, Tomasz Koprowicz, Bożena Mikołuć, Anna Milewska, Anna Zalewska, and Halina Car. 2018. "Whey Protein Concentrate WPC-80 Improves Antioxidant Defense Systems in the Salivary Glands of 14-Month Wistar Rats" Nutrients 10, no. 6: 782. https://doi.org/10.3390/nu10060782
APA StyleFalkowski, M., Maciejczyk, M., Koprowicz, T., Mikołuć, B., Milewska, A., Zalewska, A., & Car, H. (2018). Whey Protein Concentrate WPC-80 Improves Antioxidant Defense Systems in the Salivary Glands of 14-Month Wistar Rats. Nutrients, 10(6), 782. https://doi.org/10.3390/nu10060782

