Abstract
During prolonged resistance training, protein supplementation is known to promote morphological changes; however, no previous training studies have tested the effect of insect protein isolate in a human trial. The aim of this study was to investigate the potential effect of insect protein as a dietary supplement to increase muscle hypertrophy and strength gains during prolonged resistance training in young men. Eighteen healthy young men performed resistance training four day/week for eight weeks. Subjects were block randomized into two groups consuming either an insect protein isolate or isocaloric carbohydrate supplementation within 1 h after training and pre-sleep on training days. Strength and body composition were measured before and after intervention to detect adaptions to the resistance training. Three-day weighed dietary records were completed before and during intervention. Fat- and bone- free mass (FBFM) improved significantly in both groups (Mean (95% confidence interval (CI))), control group (Con): (2.5 kg (1.5, 3.5) p < 0.01), protein group (Pro): (2.7 kg (1.6, 3.8) p < 0.01) from pre- to post- leg and bench press one repetition maximum (1 RM) improved by Con: (42.0 kg (32.0, 52.0) p < 0.01) and (13.8 kg (10.3, 17.2) p < 0.01), Pro: (36.6 kg (27.3, 45.8) p < 0.01) and (8.1 kg (4.5, 11.8) p < 0.01), respectively. No significant differences in body composition and muscle strength improvements were found between groups. In young healthy men, insect protein supplementation did not improve adaptations to eight weeks of resistance training in comparison to carbohydrate supplementation. A high habitual protein intake in both Con and Pro may partly explain our observation of no superior effect of insect protein supplementation.
1. Introduction
The United Nation’s (UN’s) Food and Agriculture Organization (FAO) estimates that global food production must increase by >70% by 2050 to feed the growing world population, expected to reach 9–10 billion people [1]. This highlights the importance of generating new and sustainable systems for production of animal-based food that provide an excellent source of protein for human nutrition. Protein from insects has great potential for being a climate-friendly, high-quality solution to meet future protein demands. Nevertheless, the nutritional value of this protein source has not been extensively investigated [2,3]—and never from the perspective to muscle hypertrophy in humans. We therefore find it highly relevant to investigate this field regarding the potential beneficial effects of insect protein as human nutrition in a training context.
Previous investigations have shown that after resistance exercise the skeletal muscle is sensitive to protein supplementation for up to 48 h post-exercise [4,5,6,7]. Furthermore, a meta-analysis by Cermak et al. (2012) reported that protein supplementation enhances improvements in muscle mass and strength [8]. Nevertheless, a range of studies included in the meta-analysis failed to show a significant effect of protein supplementation [8]. Suboptimal timing or doses of protein may be part of the explanation. Morton et al. [9] suggest that an intake of 0.4 g/kg/meal would be the optimal dose of protein per meal to maximally stimulate muscle protein synthesis (MPS) rate during recovery from whole-body resistance exercise, and that protein ingestion beyond this dose does not elicit any further stimulation [10].
Areta et al. [11] propose that protein ingestion of 20 g every 3 h within the first 24 h after a single resistance exercise bout promotes the effect of MPS. In line with this, acute and training trials have shown that pre-sleep protein supplementation enhances MPS during the night and increases the adaptation to strength training in muscle mass and strength [9,12,13]. Therefore, evidence suggests that protein supplementation in a dose of 0.4 g/kg/meal ingested between main meals (after exercise and pre-sleep) may improve adaptation to resistance training in terms of muscle mass and strength.
The quality of the most commonly consumed isolated protein sources, whey, casein, and soy, differs inter alia (i.a.) with respect to digestibility and amino acid (AA) profile. A high-quality protein contains a large amount of essential amino acids (EAA) and branched-chained amino acids (BCAA), especially leucine, which, besides being a building block for proteins, also seems to have a stimulating effect on skeletal MPS [6,14]. Furthermore, the structure of proteins and thereby their digestibility seems to differ. A study by Bos et al. [15] shows that milk protein (whey and casein) conveys a more balanced pattern of amino acids to the liver compared to soy protein. Hence, supplementation with animal protein has proven to lead to greater gains in muscle mass and strength compared to vegetable sources such as soy [16]—which, however, is a more sustainable protein source from an environmental perspective. Insect protein isolate could, as a climate-friendly animal protein source, be a compromise for athletes with environmental concerns who seek to enhance muscle growth and strength.
The aim of this study was to investigate the potential effect of insect protein isolate as a dietary supplement to increase muscle hypertrophy and strength gains during prolonged resistance training when protein dose and timing meet current recommendations. Primary and secondary outcomes are expressed as changes in fat- and bone- free mass (FBFM) and muscle strength, respectively. We hypothesize that supplementation of insect protein isolate promotes greater muscle hypertrophy and strength gains during prolonged resistance training compared to isocaloric carbohydrate supplementation.
2. Methods
2.1. Subjects
Eighteen healthy young males (age: 24.2 ± 2.6 year, body weight: 79.9 ± 9.0 kg, height: 186.6 ± 6.6 cm), with no difference between groups, were recruited via posters at Aarhus University and local dorms in Aarhus, and online via posts on Facebook. Inclusion criteria were males from the age of 18 to 30 years who had previous experience performing resistance exercise. Sport and activities up to 10 h per week were accepted, if activities did not include structured resistance training. Exclusion criteria were resistance training in the past year, the use of medication or dietary supplements, smoking and injuries, or health issues conflicting with participation in the training program. At initial contact, subjects were screened by questionnaire against criteria of inclusion and exclusion. Based on the responses to the questionnaire, subjects were deemed suitable. The trial complied with the Declaration of Helsinki and was approved by The Central Denmark Region Committees on Health Research Ethics. Clinical trial registry number: NCT03034239. All subjects gave their informed consent to participate before the experiment.
2.2. Protocol
The trial was designed as a randomized, controlled, single-blinded trial consisting of eight weeks of resistance training four days/week, performed as a whole-body split routine. The subjects were blinded and randomly assigned to two groups that ingested either an insect-protein bar containing 0.4 g protein/kg (Pro, n = 9) or an isocaloric carbohydrate bar (Con, n = 9) within 1 h after each training and 1 h before night sleep on training days. Before and after the intervention, strength and body composition were measured. Dietary records were obtained (three-day registration periods) before and during the intervention period.
2.3. Training
The subjects performed the training at Section for Sports Science, Department for Public Health, Aarhus University. Before starting the training regime, all subjects were carefully instructed on how to perform each exercise to ensure uniform execution and avoid training-related injuries. Techniques were re-evaluated in weeks three and six. Subjects were told to perform 5–10 min of light aerobic exercise before each training session [17].
The structure of the training program is shown in Table 1. The lower-body (LB) and upper-body (UB) sessions comprised four and seven different exercises, respectively (LB: 45° incline leg press, knee extension, leg curl, and calf raises), (UB: bench press, lying cable chest flies, lateral pulldown, seated row, biceps curl, triceps extension, and standing abdominal crunches). Subjects were required to follow the order of exercises listed above, starting with large muscle group exercises [18]. The intensity of load was 80% of one repetition maximum (1 RM) in all exercises except for the three involving only relatively small muscle groups (leg curl, lying cable chest flies, and biceps curl), where the intensity of load was 70% [19]. 1 RM loads were assessed at the first training session for both LB and UB and adjusted in weeks 3 and 6 to ensure optimal training intensity. Each training week consisted of two LB and two UB sessions. The two UB and LB training sessions had to be interspersed with at least 48 h between them [20]. From week 3 onward, the last set in each exercise was performed to voluntary failure [21]. The subjects completed a training log after each training session. The subjects were paired and performed the training sessions together to enhance compliance.
Table 1.
Resistance training program.
2.4. Dietary Supplementation
The dietary supplementations were served as baked bars. All bars contained a mix of banana, ginger, oats, raisins, and cinnamon (137 kcal; ~26.3 g carbohydrate, ~3.6 g protein, ~0.4 g fat). A dose of 0.4 g/kg/bar insect protein (Experimental Protein Isolate, Proti-Farm R&D BV, Ermelo, The Netherlands; ~82% protein) from the lesser mealworm (Alphitobius diaperinus) was added for the Pro group supplementation. The manufacturer stated that the total protein content of the insect protein isolate was 80–85%, evaluated on the basis of the Kjeldahl method with a nitrogen-to-protein conversion factor (Kp) of 6.25. A carbohydrate-rich mix of potato flour (348 kcal/100 g, 85 g carbohydrate) and Maxim Sports Drink ((Orkla Care, Ishoej, Denmark) (359 kcal/100 g, 90 g carbohydrate)), ratio 1:1, was added for the Con bar to match the Pro bar in terms of energy content. The Con and Pro bars were isocaloric. Thanks to the similar flavors from banana, ginger, and cinnamon, the bars tasted and smelled roughly the same.
2.5. Dual-Energy X-ray Absorptiometry (DXA)
Body composition was measured in the week before the intervention and two days after the last training session using whole-body Dual-energy X-ray absorptiometry (DXA) (GE Lunar DXA scan, GE Healthcare, Madison, WI, USA). The system’s software package (enCORE software v16.0, GE Healthcare, Madison, WI, USA) was used to determine changes in body composition BW (body weight), FM (fat mass), BMC (bone mineral content), and FBFM. In addition to whole-body measurements, the LB and UB regions were analyzed separately. The distinction between LB and UB was made by a line crossing the superior points of the crista iliaca. The head (line crossing chin) was not included in UB. The subjects were scanned at the same time of day at week 0 and 9 and were told to be fasting from 10:00 p.m. the night before the scan, and not to drink 2 h before. Before the scan, subjects had their weight and height determined. All scans were performed at Section for Sports Science, Department for Public Health at Aarhus University.
2.6. Strength Testing
The subjects underwent a series of different strength tests before and after the training period. The protocol consisted of two separate test days with 1 RM test in leg press and bench press, 80% of 1 RM to failure in leg press and bench press (day 2), isometric maximal voluntary contraction (MVC) of right leg knee extensor and flexor, and a counter-movement jump (CMJ) test (day 1).
Before 1 RM testing, all subjects performed a familiarization test to avoid any major variation in results affected by the test situation, with a minimum of one day’s rest between the familiarization test and the valid test. Subjects were told to avoid any strenuous exercise the day prior to the test. A standardized warm-up was performed consisting of 5 min of light aerobic exercise followed by 10 repetitions at 50% of estimated 1 RM load with a 2-min rest and 3–4 repetitions at 80% of 1 RM load with a 3-min rest. The test consisted of three to five progressive 1 RM attempts interspersed with a 3-min rest [22]. When 1 RM was determined, the subjects rested for 5 min before performing a set at 80% of 1 RM to failure. The procedure was repeated for bench press.
MVC was determined seated on a dynamometer (Humac Norm, CSMI, Stoughton, WI, USA) with 90° hip flexion and the hands were placed on the lap. All subjects performed a warm-up of 5 min light aerobic exercise (self-chosen load) on a stationary bicycle (Monark, Varberg, Sweden) before the test. Their isometric knee extensor and flexor MVC were then measured in the dynamometer by five attempts at 70° knee flexion [23] (0° equals full knee extension) and 20° knee flexion, respectively. All attempts were followed by a 90-s rest period. All trials were sampled at 100 Hz. Peak torque from the best of the trials was used for further analysis
Following the MVC, the subjects performed a CMJ test on a jumping mat (Speedmat, Swiftperformance, Wacol, Australia). Jumping height, subjects’ weight, and flight time were used to assess the maximal power output during the jump. Subjects were given five attempts with a 1-min recovery between them. The best of the five attempts were used for further analysis.
2.7. Dietary Analysis
Before the intervention, the participants completed a 3-day weighed dietary record on three consecutive days, including one weekend day. The data were analyzed for habitual intake of energy and macronutrients. During the intervention, a similar dietary record was performed. All dietary data (except the Con and Pro supplements) were registered in the software program (Madlog, MADLOG Aps, Kolding, Denmark). Records not meeting the criteria of Goldberg cut-off limits (energy intake/basal metabolic rate (EI/BMR) < 1.00 or >2.4) [24] were excluded from the analysis (n = 3).
2.8. Statistics
Statistical analyses were performed using the EpiBasic v3.0 (Svend Juul & Morten Frydenberg, Aarhus, Denmark) [25]. All data were checked for normality of distribution and baseline characteristics between groups were compared by means of an independent z-test. A two-way repeated measure analysis of variance (ANOVA) with time as a within factor and group as a between factor was used to determine any time-by-group interaction in all body composition variables, dietary variables, and strength changes. Results are presented as mean ± standard deviation (SD) with delta values shown as mean (95% confidence interval (CI)). Alpha level was set to ≤0.05.
3. Results
3.1. Subjects
All 18 subjects included in the study completed the intervention period with a training compliance of 97.6 ± 2.7%. The dietary supplementations were consumed with no major complications in both groups. Two subjects (Pro) suffered an injury in the shoulder complex from activity not related to the training protocol (Figure 1). Upper-body data from these two subjects were excluded from the analysis. During post-strength testing, two subjects (Con) suffered knee pain and could not perform the 1 RM and 80% to failure leg press.
Figure 1.
* Only 14 subjects were included in all analyses; 1 Lower-body data were still included in analysis; 2 Data from maximal voluntary contraction (MVC) test and counter-movement jump (CMJ) were still included in analysis.
3.2. Body Composition
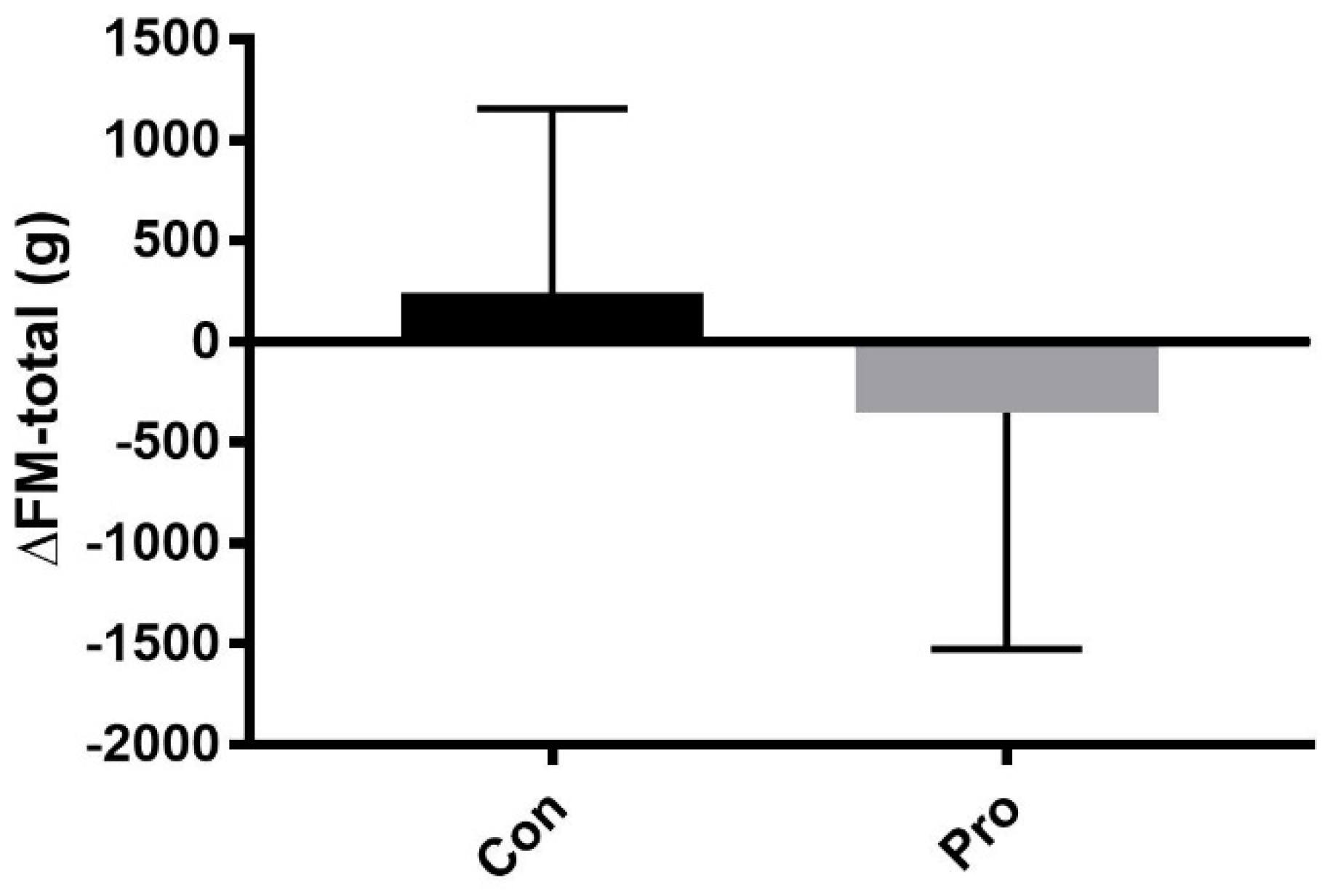
Over eight weeks of resistance training with dietary supplementation, total body weight increased significantly in both groups (Table 2). FM increased in Con and decreased in Pro but neither showed statistical significance (Figure 2). FBFM also increased significantly in both groups, with a slight tendency towards greater gains in ΔLB-FBFM in Pro (Figure 3). The group-by-time interaction analysis showed no significant difference in any of the parameters.
Table 2.
Body composition before (Pre) and after (Post; week 9) training.
Figure 2.
Change in total fat mass (FM) from pre-intervention (Pre) to post-intervention (Post) in control group (Con, n = 9) and protein group (Pro, n = 7). Data are shown as mean ± standard deviation (SD).
Figure 3.
Con, control group; Pro, protein group. Individual and mean (95% confidence interval (CI)) changes in ΔLB-FBFM from pre to post. Dots represent Con (Con; n = 9), and boxes represent Pro (Pro; n = 9).
.
3.3. Dietary Data
Table 3 shows the dietary intake data from Pro and Con as estimated from the subjects 3-day weighed dietary records pre- and mid- intervention. All subjects completed both registration periods, but data not meeting Goldberg’s cut-off limits (EI/BMR > 1.00 or <2.4) [24] were excluded from the analysis (n = 3, Con).
Table 3.
Energy and macronutrient intake before (Pre) and during the intervention (Mid-intervention (Mid)) 1.
Con increased total energy, protein and carbohydrate intake by 30%, 26% and 43% (p < 0.05) from pre- to mid- intervention, while Pro increased protein intake by 48% (p < 0.001). No significant difference in total energy and fat intake were observed between groups. However, there was a tendency towards a higher energy intake in Con compared to Pro (p = 0.10) from pre- to mid-intervention. Furthermore, a significant time-by-treatment interaction for protein intake in Pro (p < 0.05) and carbohydrate intake in Con (p < 0.05) was evident.
3.4. Strength
Changes in 1 RM, leg- and bench- press volume, MVC knee extension (Ext.), knee flexion (Flex.) and CMJ between pre- and post- intervention are shown in Table 4. Leg and bench press volume were calculated as repetitions times load at 80% of 1 RM to failure. Both groups showed significant improvements in all strength tests from pre to post (p < 0.05), except bench press volume Pro (p = 0.54) Con (p = 0.97) and leg press volume Pro (p = 0.08). However, a tendency towards a time effect for leg press volume for Pro was observed. No difference in group-by-time interaction was detected at any point.
Table 4.
Subjects’ strength data before (Pre) and after (Post; week 9) training.
3.5. Training Volume
Total training volume was calculated for all subjects. As training intensity of load was defined as 80% of 1 RM (70% for cable flyes, bicep- and leg- curls), total training volume was calculated as sets × repetitions (reps). Statistical tests revealed no significant difference between groups in LB (Pro: 1858 ± 161 reps, Con: 1818 ± 121 reps; p = 0.57) or UB (Pro: 2556 ± 298 reps, Con: 2485 ± 258 reps; p = 0.62).
4. Discussion
The aim of this study was to investigate the potential effect of insect protein as a dietary supplement to increase muscle hypertrophy and strength gains during prolonged resistance training compared to an isocaloric carbohydrate supplement. The current study shows that protein supplementation from insects after exercise and pre-sleep on training days does not promote greater gains in FBFM and muscle strength after eight weeks of resistance training in young males compared to a non-protein supplemented group consuming on average 1.7 g/kg/day. Previous research indicates that protein supplementation combined with resistance training promotes greater gains in FBFM and muscle strength [26,27]. However, these findings may be questioned due to very small differences in protein intake between controls and protein groups. Moreover, several studies fail to show any significant effect of protein supplementation combined with resistance training [28,29,30,31]. The discrepancy in the literature may be caused by several factors such as the design of the resistance training program, the dietary habits of subjects, supplementation doses, timing and quality, training status, length of study, and sample size.
The overall study design was well tolerated by the subjects, resulting in no dropouts and a high training compliance of 97.6 ± 2.7%. The resistance training program effectively augmented FBFM and 1 RM strength in both groups with no significant differences. A mean hypertrophic response of 2.5 ± 1.5 kg (4.2%) and 2.7 ± 1.5 kg (4.2%) in FBFM for Con and Pro, respectively, is notably high compared to similar studies with protein supplementation [29,32,33]. Since no significant difference between groups existed, the change in FBFM must be attributed to the resistance training program combined with energy supplementation.
Comparable to studies examining strength gains following resistance training for 7–16 weeks [34,35,36,37], the subjects in the present study increased leg and bench press 1 RM muscle strength by 10–24% from pre to post. This is in line with most similar studies on protein supplementation and resistance training for 8–12 weeks, which report strength gains in 1 RM between 12% and 44% [29,30,32,33,38,39,40]; however, a few outliers [26,27,41] appear with strength gains over 100% in 1 RM. The discrepancy between strength gains in the present study and the outliers may be due to subject characteristics and training status. Research indicates that the initial strength increase during resistance training is mainly caused by neural adaptations in the first three to five weeks, after which hypertrophy becomes the dominant factor [42]. Subjects from the present study had an activity level of up to 10 h/week (see “Subjects”) in contrast to less than 2–3 h/week in the studies by Hartman et al. [26] and Josse et al. [41]. This may influence the strength gains caused by neural adaptations and explain how strength gains over 100% in 1 RM can be reported.
The dietary analysis revealed significant difference in protein intake between groups on training days (Con: 1.7 ± 0.3 g/kg/day, Pro: 2.3 ± 0.3 g/kg/day; p < 0.05). Recommendations on optimal daily protein intake vary between 0.8 and 1.6 g/kg/day depending on physical activity level, gender, and age [43,44]. Nevertheless, this reflects the fact that subjects in Con consumed an adequate amount of protein during the intervention period. The dietary analysis also revealed a trend towards a difference in total energy intake during the intervention (p = 0.10). On non-training days, Con increased total energy intake from 2764 ± 312 kcal (Pre) to 3069 ± 621 kcal (Mid) (p = 0.28) and Pro decreased from 3142 ± 747 kcal (Pre) to 2785 ± 441 kcal (Mid) (p = 0.2218), which may reflect different changes in FM between groups (Con: 0.2 ± 0.9 kg, Pro: −0.4 ± 1.2 kg; p = 0.27) (Figure 2). Moreover, a small decrease in total energy intake in Pro might be of concern, as a study by Friedlander et al. [45] showed that a total positive energy balance is necessary to maintain optimal anabolic processes and attenuate catabolism. Therefore, group differences in energy balance might also explain why no difference in strength and hypertrophy was detected between groups. However, it should be noted that variations within the dietary records may exist because of the relatively short registration periods of three days. Nevertheless, the observed decrease in total energy intake in Pro may also be explained by a higher satiety when consuming the protein bars compared to the carbohydrate bars [46].
The present study had no dietary restrictions before and after training, which may contribute to the fact that no differences in body composition changes were observed between groups. In addition, the time of training was not controlled and we observed that most subjects trained in the late afternoon. This may interfere with optimal timing strategies for protein supplementation, as suggested by Areta et al. [11], as both post-training and pre-sleep supplements were mainly consumed over a short period of time rather than dispersed throughout the day. Furthermore, it must be noted that no monitoring of supplement compliance was performed, which may be a limiting factor of the overall study design. Alternatively, a method of dietary restriction is used in the study by Rindom et al. [47], which required subjects to follow a controlled diet to ensure fixed amounts of macronutrients, in line with the desired study aim. This method is invasive and costly for studies with longer intervention periods. Josse et al. [41] and Hartman et al. [26] used dietary restrictions 2 h before training to ensure differences in macronutrient availability post-training. However, from our perspective these methods do not reflect reality as diet restrictions interfere with subjects’ dietary habits and thereby manipulate the target group. In a report based on data from the Danish national survey of dietary habits and physical activity in 2011–2013 [48], the average protein intake of the adult population accounted for 16% of daily energy intake. This is in accordance with the average habitual protein intake of 15.3% from subjects of the present study, which confirms that the target group is representative of the average Danish adult.
An intervention period of eight weeks with resistance training may seem short compared to similar studies of 10–14 weeks [26,41,49]. According to Tipton and Wolfe [50], it would take up to a year of training to detect the effects of a post-exercise protein supplement on FBFM due to the relatively small effect size compared to resistance training and habitual nutrient intake. A more recent meta-analysis by Cermak et al. [8] reported an effect size of 0.69 kg FBFM after 12 weeks of resistance training with protein supplementation compared with a placebo. Despite only eight weeks of resistance training, we still detected great responses in FBFM and muscle strength; however, no benefits of protein supplementation were observed. In the present study, sample size was determined with the use of data from Kerksick et al. [32], where gains in FBFM were 0.0 kg and 1.8 kg for Con and Pro, respectively. This indicated statistical power, with a sample size consisting of six subjects in each group. However, it seems questionable that a group of young men performing resistance training for 10 weeks with energy supplementation would not gain FBFM when it is commonly known that resistance training alone results in increased FBFM provided that a positive energy and protein balance is maintained [26,27,40,41,51,52]. Therefore, we cannot rule out the possibility that our sample size may have been too small in regard to detecting a difference in muscle growth in response to resistance training between two supplementation groups. However, the present results do not indicate that a larger sample size would elicit any clinically relevant difference in FBFM between groups.
Although we did not detect any benefits of timed protein supplementation during exercise intervention in healthy, well-nourished young men, insect protein may still have value as an alternative protein source. AA profiles by Yi et al. [2] showed that protein from the lesser mealworm (Alphitobius diaperinus) equally match the profile of soybean in regards to EAA, although no AA analysis was conducted on the specific protein isolate (Experimental Protein Isolate, Proti-Farm R&D BV, Ermelo, The Netherlands) used in this study. A review by Devries and Phillips [16] examined the difference in quality between whey, casein, and soy protein, and found greater advantages for whey protein due to AA content, digestibility, and bioavailability. While insect protein seems to match soy protein in terms of AA content, digestibility and bioavailability might be more similar to whey as it is also an animal protein. It should be noted, though, that the protein supplementation in the present study was served as a complex baked bar, which may have impaired the digestibility of the protein supplementation. However, blood samples would have to be conducted to support this notion. Moreover, a recent study by Janssen et al. [3] suggested that the Kp factor of 6.25 normally used in the Kjeldahl method might overestimate the total protein content in insects due to the presence of non-protein nitrogen in the insect. An alternative Kp factor of 5.60 ± 0.39 is suggested to be more accurate, which may cause a potential overestimation of the protein content and training dose in the present study (~82%). However, if adjusted this would cause a ~10% overestimation of total protein supplementation, which, for the average subject of ~80 kg, would account for ~6.4g less protein per training day. This would reflect a depreciation of 0.1 g/kg/day for the Pro group (2.3 g/kg/day to 2.2 g/kg/day), which we do not believe would influence the outcome of the investigation. However, this is still considered a limitation, which is why future studies should examine the true protein content before conducting a similar trial. Furthermore, comparative studies are still needed to directly compare the effect of insect protein isolate with other protein sources with regard to promoting muscle growth in active subjects, as this was not possible in the current study due to limited resources.
5. Conclusions
With a growing world population and increased need for dietary protein, insect protein should be considered a valuable alternative to other dietary animal protein sources given its environmental profile [53]. Future studies could examine whether insect protein supplementation in groups with a suboptimal protein intake would have a positive effect on skeletal muscle mass and function. For instance, a study on insect protein supplementation in an undernourished elderly population to attenuate loss in FBFM would be of great interest. Furthermore, acute studies are needed to examine the AA content, absorption, and digestibility of insect protein sources in a human trial.
In conclusion, we found that eight weeks of resistance training effectively promote gains in FBFM and muscle strength in healthy young men with a habitual intake of protein corresponding to the general population of young Danish men. However, no difference in morphological adaptations such as hypertrophy or muscle strength was observed between supplementation groups, as hypothesized.
Acknowledgments
We thank the subjects for their effort and compliance during the protocol. We also thank Gitte Kaiser Hartvigen and Janni Mosgaard Jensen for conducting the DXA scans, and Peder Joergensen for providing kitchen facilities for the production of protein bars. Insect protein powder was provided by Proti-Farm R&D BV, Ermelo, The Netherlands.
Author Contributions
M.T.V. and M.S.J. equally contributed to study design, data collection, data analysis, and writing the manuscript. Editing of the manuscript was done by M.T.V., M.S.J., L.-H.L.H., and M.H. Special thanks to Proti-Farm R&D BV for providing the insect protein (Experimental Protein Isolate).
Conflicts of Interest
There is no financial or personal conflict of interest to declare.
Abbreviations
| 1 RM | One repetition maximum |
| AA | Amino acid |
| ANOVA | Analysis of variance |
| BMC | Bone mineral content |
| BW | Body weight |
| CMJ | Counter-movement jump |
| Con | Control group |
| DXA | Dual-energy X-ray absorptiometry |
| EAA | Essential amino acid |
| FBFM | Fat- and bone- free mass |
| FM | Fat mass |
| LB | Lower body |
| MPS | Muscle protein synthesis |
| MVC | Maximal voluntary contraction |
| Post | Post-intervention |
| Pre | Pre-intervention |
| Pro | Protein group |
| UB | Upper body |
References
- Van Huis, A.; Klunder, H.; Itterbeeck, J.V.; Mertens, E.; Halloran, A.; Muir, G.; Vantomme, P. Edible Insects: Future Prospects for Food and Feed Security. Food and Agriculture Organization of the United Nations: Rome, Italy, 2013. Food and Agriculture Organization of the United Nations: Rome, Italy, 2013. [Google Scholar]
- Yi, L.; Lakemond, C.M.M.; Sagis, L.M.C.; Eisner-Schadler, V.; van Huis, A.; van Boekel, M.A.J.S. Extraction and characterisation of protein fractions from five insect species. Food Chem. 2013, 141, 3341–3348. [Google Scholar] [CrossRef] [PubMed]
- Janssen, R.H.; Vincken, J.P.; van den Broek, L.A.; Fogliano, V.; Lakemond, C.M. Nitrogen-to-protein conversion factors for three edible insects: Tenebrio molitor, alphitobius diaperinus, and hermetia illucens. J. Agric. Food Chem. 2017, 65, 2275–2278. [Google Scholar] [CrossRef] [PubMed]
- Burd, N.A.; West, D.W.; Moore, D.R.; Atherton, P.J.; Staples, A.W.; Prior, T.; Tang, J.E.; Rennie, M.J.; Baker, S.K.; Phillips, S.M. Enhanced amino acid sensitivity of myofibrillar protein synthesis persists for up to 24 h after resistance exercise in young men. J. Nutr. 2011, 141, 568–573. [Google Scholar] [CrossRef] [PubMed]
- Phillips, S.M.; Tipton, K.D.; Aarsland, A.; Wolf, S.E.; Wolfe, R.R. Mixed muscle protein synthesis and breakdown after resistance exercise in humans. Am. J. Physiol. 1997, 273, E99–E107. [Google Scholar] [CrossRef] [PubMed]
- Tipton, K.D.; Ferrando, A.A.; Phillips, S.M.; Doyle, D., Jr.; Wolfe, R.R. Postexercise net protein synthesis in human muscle from orally administered amino acids. Am. J. Physiol. 1999, 276, E628–E634. [Google Scholar] [CrossRef] [PubMed]
- Biolo, G.; Maggi, S.P.; Williams, B.D.; Tipton, K.D.; Wolfe, R.R. Increased rates of muscle protein turnover and amino acid transport after resistance exercise in humans. Am. J. Physiol, 1995, 268, E514–E520. [Google Scholar] [CrossRef] [PubMed]
- Cermak, N.M.; Res, P.T.; de Groot, L.C.; Saris, W.H.; van Loon, L.J. Protein supplementation augments the adaptive response of skeletal muscle to resistance-type exercise training: A meta-analysis. Am. J. Clin. Nutr. 2012, 96, 1454–1464. [Google Scholar] [CrossRef] [PubMed]
- Morton, R.W.; McGlory, C.; Phillips, S.M. Nutritional interventions to augment resistance Training-Induced skeletal muscle hypertrophy. Front. Physiol. 2015, 6. [Google Scholar] [CrossRef] [PubMed]
- Moore, D.R.; Robinson, M.J.; Fry, J.L.; Tang, J.E.; Glover, E.I.; Wilkinson, S.B.; Prior, T.; Tarnopolsky, M.A.; Phillips, S.M. Ingested protein dose response of muscle and albumin protein synthesis after resistance exercise in young men. Am. J. Clin. Nutr. 2009, 89, 161–168. [Google Scholar] [CrossRef] [PubMed]
- Areta, J.L.; Burke, L.M.; Ross, M.L.; Camera, D.M.; West, D.W.; Broad, E.M.; Jeacocke, N.A.; Moore, D.R.; Stellingwerff, T.; Phillips, S.M.; et al. Timing and distribution of protein ingestion during prolonged recovery from resistance exercise alters myofibrillar protein synthesis. J. Physiol. 2013, 591, 2319–2331. [Google Scholar] [CrossRef] [PubMed]
- Snijders, T.; Res, P.T.; Smeets, J.S.; van Vliet, S.; van Kranenburg, J.; Maase, K.; Kies, A.K.; Verdijk, L.B.; van Loon, L.J. Protein ingestion before sleep increases muscle mass and strength gains during prolonged resistance-type exercise training in healthy young men. J. Nutr. 2015, 145, 1178–1184. [Google Scholar] [CrossRef] [PubMed]
- Trommelen, J.; van Loon, L.J. Pre-sleep protein ingestion to improve the skeletal muscle adaptive response to exercise training. Nutrients 2016, 8. [Google Scholar] [CrossRef] [PubMed]
- Tang, J.E.; Moore, D.R.; Kujbida, G.W.; Tarnopolsky, M.A.; Phillips, S.M. Ingestion of whey hydrolysate, casein, or soy protein isolate: Effects on mixed muscle protein synthesis at rest and following resistance exercise in young men. J. Appl. Physiol. 2009, 107, 987–992. [Google Scholar] [CrossRef] [PubMed]
- Bos, C.; Metges, C.C.; Gaudichon, C.; Petzke, K.J.; Pueyo, M.E.; Morens, C.; Everwand, J.; Benamouzig, R.; Tome, D. Postprandial kinetics of dietary amino acids are the main determinant of their metabolism after soy or milk protein ingestion in humans. J. Nutr. 2003, 133, 1308–1315. [Google Scholar] [CrossRef] [PubMed]
- Devries, M.C.; Phillips, S.M. Supplemental protein in support of muscle mass and health: Advantage whey. J. Food Sci. 2015, 80. [Google Scholar] [CrossRef] [PubMed]
- Michalsik, L.; Bangsbo, J. Opvarmning. In Aerob og Anaerob Træning; Danmarks Idræts-Forbund: Brøndby, Danmark, 2002; pp. 136–141. (In Danish) [Google Scholar]
- American College of Sports Medicine. American college of sports medicine position stand. Progression models in resistance training for healthy adults. Med. Sci. Sports Exerc. 2009, 41, 687–708. [Google Scholar]
- Fleck, S.J.; Kraemer, W.J. Developing the individualized resistance training program. In Designing Resistance Training Programs, 4th ed.; Human Kinetics: Champaign, IL, USA, 2014; p. 200. [Google Scholar]
- Schoenfeld, B.J. The mechanisms of muscle hypertrophy and their application to resistance training. J. Strength Cond. Res. 2010, 24, 2857–2872. [Google Scholar] [CrossRef] [PubMed]
- Willardson, J.M.; Norton, L.; Wilson, G. Training to failure and beyond in mainstream resistance exercise programs. Strength Cond. J. 2010, 32, 21–29. [Google Scholar] [CrossRef]
- Maud, P.J.; Foster, C. Strength testing: Development and evaluation of methodology. In Physiological Assessment of Human Fitness; Human Kinetics: Champaign, IL, USA, 2006; p. 129. [Google Scholar]
- Blazevich, A.J.; Cannavan, D.; Coleman, D.R.; Horne, S. Influence of concentric and eccentric resistance training on architectural adaptation in human quadriceps muscles. J. Appl. Physiol. 2007, 103, 1565–1575. [Google Scholar] [CrossRef] [PubMed]
- Goldberg, G.R.; Black, A.E.; Jebb, S.A.; Cole, T.J.; Murgatroyd, P.R.; Coward, W.A.; Prentice, A.M. Critical evaluation of energy intake data using fundamental principles of energy physiology: 1. Derivation of cut-off limits to identify under-recording. Eur. J. Clin. Nutr. 1991, 45, 569–581. [Google Scholar] [PubMed]
- Juul, S. Epidemiologi og Evidens, 2nd ed.; Munksgaard: Copenhagen, Denmark, 2013. (In Danish) [Google Scholar]
- Hartman, J.W.; Tang, J.E.; Wilkinson, S.B.; Tarnopolsky, M.A.; Lawrence, R.L.; Fullerton, A.V.; Phillips, S.M. Consumption of fat-free fluid milk after resistance exercise promotes greater lean mass accretion than does consumption of soy or carbohydrate in young, novice, male weightlifters. Am. J. Clin. Nutr. 2007, 86, 373–381. [Google Scholar] [CrossRef] [PubMed]
- Willoughby, D.S.; Stout, J.R.; Wilborn, C.D. Effects of resistance training and protein plus amino acid supplementation on muscle anabolism, mass, and strength. Amino Acids 2007, 32, 467–477. [Google Scholar] [CrossRef] [PubMed]
- Eliot, K.A.; Knehans, A.W.; Bemben, D.A.; Witten, M.S.; Carter, J.; Bemben, M.G. The effects of creatine and whey protein supplementation on body composition in men aged 48 to 72 years during resistance training. J. Nutr. Health Aging 2008, 12, 208–212. [Google Scholar] [CrossRef] [PubMed]
- Rankin, J.W.; Goldman, L.P.; Puglisi, M.J.; Nickols-Richardson, S.M.; Earthman, C.P.; Gwazdauskas, F.C. Effect of post-exercise supplement consumption on adaptations to resistance training. J. Am. Coll. Nutr. 2004, 23, 322–330. [Google Scholar] [CrossRef] [PubMed]
- Verdijk, L.B.; Jonkers, R.A.; Gleeson, B.G.; Beelen, M.; Meijer, K.; Savelberg, H.H.; Wodzig, W.K.; Dendale, P.; van Loon, L.J. Protein supplementation before and after exercise does not further augment skeletal muscle hypertrophy after resistance training in elderly men. Am. J. Clin. Nutr. 2009, 89, 608–616. [Google Scholar] [CrossRef] [PubMed]
- White, K.M.; Bauer, S.J.; Hartz, K.K.; Baldridge, M. Changes in body composition with yogurt consumption during resistance training in women. Int. J. Sport Nutr. Exerc. Metab. 2009, 19, 18–33. [Google Scholar] [CrossRef] [PubMed]
- Kerksick, C.M.; Rasmussen, C.J.; Lancaster, S.L.; Magu, B.; Smith, P.; Melton, C.; Greenwood, M.; Almada, A.L.; Earnest, C.P.; Kreider, R.B. The effects of protein and amino acid supplementation on performance and training adaptations during ten weeks of resistance training. J. Strength Cond. Res. 2006, 20, 643–653. [Google Scholar] [PubMed]
- Walker, T.B.; Smith, J.; Herrera, M.; Lebegue, B.; Pinchak, A.; Fischer, J. The influence of 8 weeks of whey-protein and leucine supplementation on physical and cognitive performance. Int. J. Sport Nutr. Exerc. Metab. 2010, 20, 409–417. [Google Scholar] [CrossRef] [PubMed]
- Kraemer, W.J.; Deschenes, M.R.; Fleck, S.J. Physiological adaptations to resistance exercise. Implications for athletic conditioning. Sports Med. 1988, 6, 246–256. [Google Scholar] [CrossRef] [PubMed]
- Kosek, D.J.; Kim, J.S.; Petrella, J.K.; Cross, J.M.; Bamman, M.M. Efficacy of 3 days/week resistance training on myofiber hypertrophy and myogenic mechanisms in young vs. older adults. J. Appl. Physiol. 2006, 101, 531–544. [Google Scholar] [CrossRef] [PubMed]
- Lemmer, J.T.; Hurlbut, D.E.; Martel, G.F.; Tracy, B.L.; Ivey, F.M.; Metter, E.J.; Fozard, J.L.; Fleg, J.L.; Hurley, B.F. Age and gender responses to strength training and detraining. Med. Sci. Sports Exerc. 2000, 32, 1505–1512. [Google Scholar] [CrossRef] [PubMed]
- Martel, G.F.; Roth, S.M.; Ivey, F.M.; Lemmer, J.T.; Tracy, B.L.; Hurlbut, D.E.; Metter, E.J.; Hurley, B.F.; Rogers, M.A. Age and sex affect human muscle fibre adaptations to heavy-resistance strength training. Exp. Physiol. 2006, 91, 457–464. [Google Scholar] [CrossRef] [PubMed]
- Coburn, J.W.; Housh, D.J.; Housh, T.J.; Malek, M.H.; Beck, T.W.; Cramer, J.T.; Johnson, G.O.; Donlin, P.E. Effects of leucine and whey protein supplementation during eight weeks of unilateral resistance training. J. Strength Cond. Res. 2006, 20, 284–291. [Google Scholar] [PubMed]
- Cribb, P.J.; Williams, A.D.; Hayes, A. A Creatine-protein-carbohydrate supplement enhances responses to resistance training. Med. Sci. Sports Exerc. 2007, 39, 1960–1968. [Google Scholar] [CrossRef] [PubMed]
- Rozenek, R.; Ward, P.; Long, S.; Garhammer, J. Effects of high-calorie supplements on body composition and muscular strength following resistance training. J. Sports Med. Phys. Fit. 2002, 42, 340–347. [Google Scholar]
- Josse, A.R.; Tang, J.E.; Tarnopolsky, M.A.; Phillips, S.M. Body composition and strength changes in women with milk and resistance exercise. Med. Sci. Sports Exerc. 2010, 42, 1122–1130. [Google Scholar] [CrossRef] [PubMed]
- Moritani, T.; deVries, H.A. Neural factors versus hypertrophy in the time course of muscle strength gain. Am. J. Phys. Med. 1979, 58, 115–130. [Google Scholar] [PubMed]
- Pedersen, A.N.; Kondrup, J.; Börsheim, E.; Hambraeus, L.; Bosaeus, I. Protein. In Nordic Nutrition Recommendations 2012, 5th ed.; Narayana Press: Odder, Denmark, 2012; p. 281. [Google Scholar]
- Schoenfeld, B.J.; Aragon, A.A.; Krieger, J.W. The effect of protein timing on muscle strength and hypertrophy: A meta-analysis. J. Int. Soc. Sports Nutr. 2013, 10. [Google Scholar] [CrossRef] [PubMed]
- Friedlander, A.L.; Braun, B.; Pollack, M.; MacDonald, J.R.; Fulco, C.S.; Muza, S.R.; Rock, P.B.; Henderson, G.C.; Horning, M.A.; Brooks, G.A.; et al. Three weeks of caloric restriction alters protein metabolism in normal-weight, young men. Am. J. Physiol. Endocrinol. Metab. 2005, 289, E446–E455. [Google Scholar] [CrossRef] [PubMed]
- Holt, S.H.; Miller, J.C.; Petocz, P.; Farmakalidis, E. A satiety index of common foods. Eur. J. Clin.Nutr. 1995, 49, 675–690. [Google Scholar] [PubMed]
- Rindom, E.; Nielsen, M.H.; Kececi, K.; Jensen, M.E.; Vissing, K.; Farup, J. Effect of protein quality on recovery after intense resistance training. Eur. J. Appl. Physiol. 2016, 116, 2225–2236. [Google Scholar] [CrossRef] [PubMed]
- Pedersen, A.N.; Christensen, T.; Matthiessen, J.; Knudsen, V.K.; Sørensen, M.R.; Biltoft-Jensen, A.; Fagt, S. Dietary Habits in Denmark 2011-2013; Technical University of Denmark: Lyngby, Denmark, 2015; p. 8. [Google Scholar]
- Bemben, M.G.; Witten, M.S.; Carter, J.M.; Eliot, K.A.; Knehans, A.W.; Bemben, D.A. The effects of supplementation with creatine and protein on muscle strength following a traditional resistance training program in middle-aged and older men. J. Nutr. Health Aging 2010, 14, 155–159. [Google Scholar] [CrossRef] [PubMed]
- Tipton, K.D.; Wolfe, R.R. Exercise, protein metabolism, and muscle growth. Int. J. Sport Nutr. Exerc. Metab. 2001, 11, 109–132. [Google Scholar] [CrossRef] [PubMed]
- Bird, S.P.; Tarpenning, K.M.; Marino, F.E. Independent and combined effects of liquid carbohydrate/essential amino acid ingestion on hormonal and muscular adaptations following resistance training in untrained men. Eur. J. Appl. Physiol. 2006, 97, 225–238. [Google Scholar] [CrossRef] [PubMed]
- Schoenfeld, B.J.; Peterson, M.D.; Ogborn, D.; Contreras, B.; Sonmez, G.T. Effects of low- vs. high-load resistance training on muscle strength and hypertrophy in well-trained men. J. Strength Cond. Res. 2015, 29, 2954–2963. [Google Scholar] [CrossRef] [PubMed]
- Van Huis, A. Potential of insects as food and feed in assuring food security. Annual Rev. Entomol. 2013, 58, 563–583. [Google Scholar] [CrossRef] [PubMed]
© 2018 by the authors. Licensee MDPI, Basel, Switzerland. This article is an open access article distributed under the terms and conditions of the Creative Commons Attribution (CC BY) license (http://creativecommons.org/licenses/by/4.0/).


