Mechanistic Pathways Underlying the Antihypertensive Effect of Fermented Milk with Lactococcus lactis NRRL B-50571 in Spontaneously Hypertensive Rats
Abstract
:1. Introduction
2. Materials and Methods
2.1. Strains and Growth Conditions
2.2. Sample Preparation
2.3. In Vivo Experimental Protocols
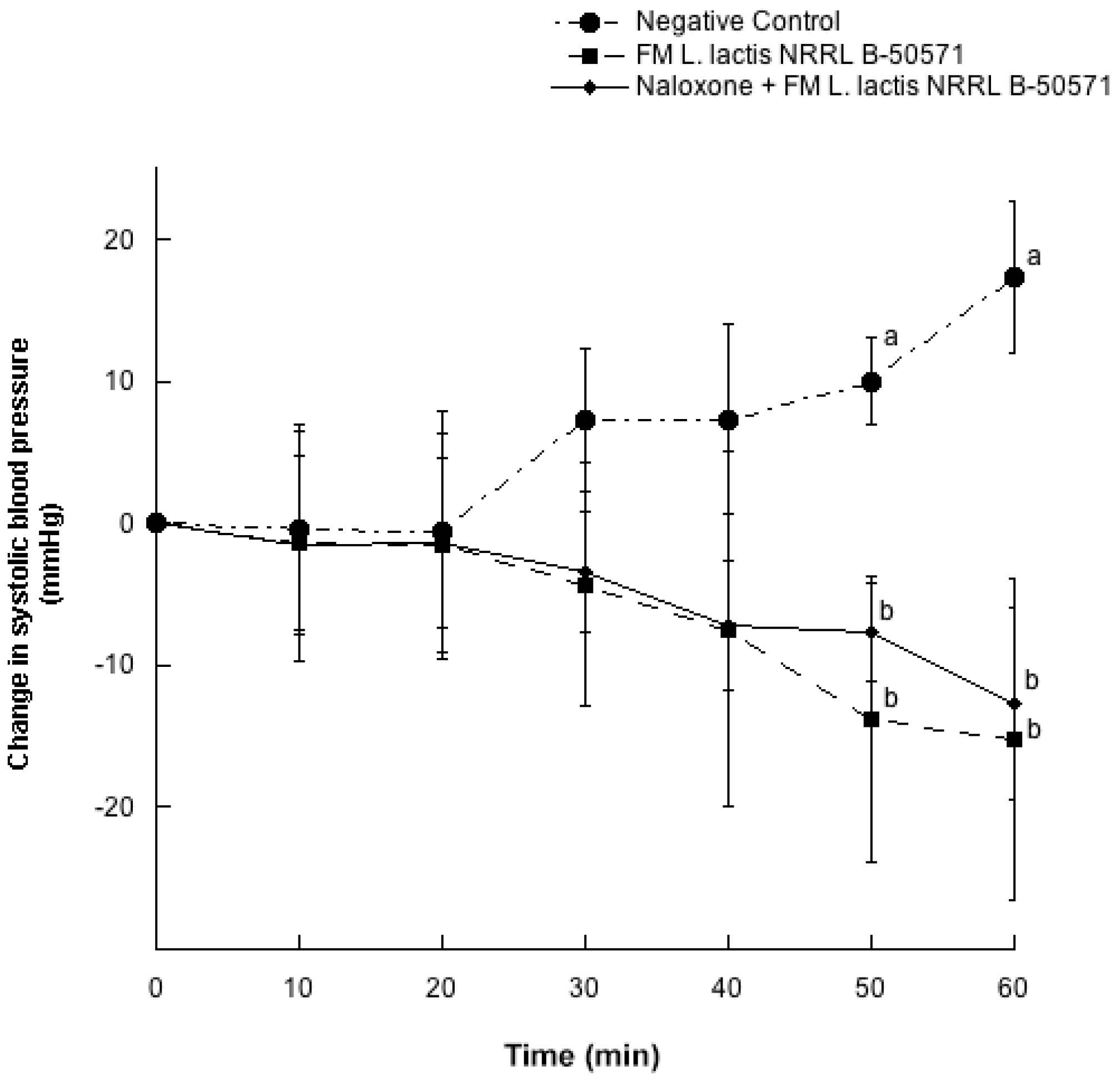
2.4. Evaluation of Opioid Effect
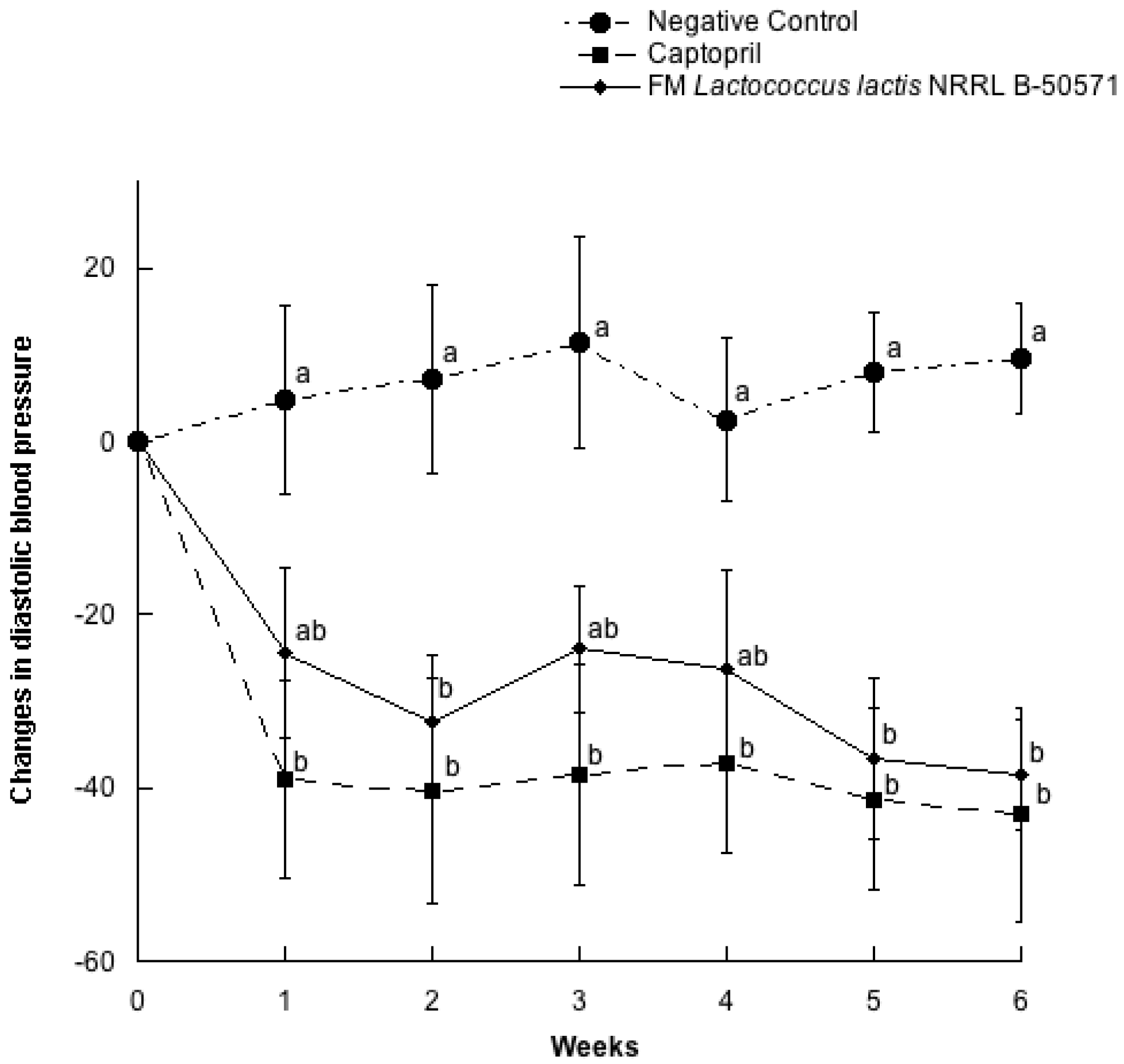
2.5. Long-Term Effect of FM on Blood Pressure
2.6. ACEI Activity in Plasma
2.7. Nitric Oxide Pathway
2.8. Antioxidant Activity
2.8.1. Superoxide Dismutase Activity (SOD)
2.8.2. Catalase Activity Determination (CAT)
2.8.3. Glutathione Peroxidase (GPx) Activity
2.8.4. Determination of Lipid Peroxidation
2.9. Statistical Analysis
3. Results and Discussion
3.1. Opioid Effect
3.2. Long-Term Effect of FM on Blood Pressure
3.3. ACEI Activity
3.4. NO Pathway
3.5. Antioxidant Effect
4. Conclusions
Acknowledgments
Author Contributions
Conflicts of Interest
References
- O’Shea, P.M.; Griffin, T.P.; Fitzgibbon, M. Hypertension: The role of biochemistry in the diagnosis and management. Clin. Chim. Acta 2017, 465, 131–143. [Google Scholar] [CrossRef] [PubMed]
- Miller, G.D.; Jarvis, J.K.; McBean, L.D. Dairy foods and hypertension. In Handbook of Dairy Foods and Nutrition, 3rd ed.; CRC Press: Boca Raton, FL, USA, 2007; pp. 99–139. [Google Scholar]
- Flambard, B.; Johansen, E. Developing a functional dairy product: From research on Lactobacillus helveticus to industrial application of Cardi-04TM in novel antihypertensive drink yogurts. In Functional Dairy Products; Saarela, M., Ed.; CRC Press LLC: Boca Raton, FL, USA, 2007; pp. 506–520. [Google Scholar]
- Beltrán-Barrientos, L.M.; Hernández-Mendoza, A.; Torres-Llanez, M.J.; González-Córdova, A.F.; Vallejo-Córdoba, B. Invited review: Fermented milk as antihypertensive functional food. J. Dairy Sci. 2016, 99, 4099–4110. [Google Scholar] [CrossRef] [PubMed]
- Ebringer, L.; Ferencik, M.; Krajcovic, J. Beneficial health effects of milk and fermented dairy products. Folia Microbiol. (Praha) 2008, 53, 378–394. [Google Scholar] [CrossRef] [PubMed]
- González-Córdova, A.F.; Torres-Llanez, M.J.; Rodríguez-Figueroa, J.C.; Espinoza-De-Los-Monteros, J.J.; García, H.S.; Vallejo-Cordoba, B. Actividad inhibidora de la enzima convertidora de angiotensina en leches fermentadas con cepas de Lactobacillus. CYTA J. Food 2011, 9, 146–151. [Google Scholar] [CrossRef]
- Mohanty, D.P.; Mohapatra, S.; Misra, S.; Sahu, P.S. Milk derived bioactive peptides and their impact on human health—A review. Saudi J. Biol. Sci. 2016, 23, 577–583. [Google Scholar] [CrossRef] [PubMed]
- Udenigwe, C.; Mohan, A. Mechanisms of food protein-derived antihypertensive peptides other than ACE inhibition. J. Funct. Foods 2014, 8, 45–52. [Google Scholar] [CrossRef]
- Hayakawa, K.; Kimura, M.; Kamata, K. Mechanism underlying gamma-aminobutyric acid-induced antihypertensive effect in spontaneously hypertensive rats. Eur. J. Pharmacol. 2002, 438, 107–113. [Google Scholar] [CrossRef]
- Perazella, M.A.; Setaro, J.F. Renin-angiotensin-aldosterone system: Fundamental aspects and clinical implications in renal and cardiovascular disorders. J. Nucl. Cardiol. 2003, 10, 184–196. [Google Scholar] [CrossRef] [PubMed]
- Del Mar Contreras, M.; Carron, R.; Montero, M.J.; Ramos, M.; Recio, I. Novel casein-derived peptides with antihypertensive activity. Int. Dairy J. 2009, 19, 566–573. [Google Scholar] [CrossRef]
- Yamaguchi, N.; Kawaguchi, K.; Yamamoto, N. Study of the mechanism of antihypertensive peptides VPP and IPP in spontaneously hypertensive rats by DNA microarray analysis. Eur. J. Pharmacol. 2009, 620, 71–77. [Google Scholar] [CrossRef] [PubMed]
- Nurminen, M.L.; Sipola, M.; Kaarto, H.; Pihlanto-Leppala, A.; Piilola, K.; Korpela, R.; Tossavainen, O.; Korhonen, H.; Vapaatalo, H. α-Lactorphin lowers blood pressure measured radiotelemetry in normotensive and spontaneously hypertensive rats. Life Sci. 2000, 66, 1535–1543. [Google Scholar] [CrossRef]
- Rodríguez-Figueroa, J.C.; Reyes-Díaz, R.; González-Córdova, A.F.; Troncoso-Rojas, R.; Vargas-Arispuro, I.; Vallejo-Cordoba, B. Angiotensin-converting enzyme inhibitory activity of milk fermented by wild and industrial Lactococcus lactis strains. J. Dairy Sci. 2010, 93, 5032–5038. [Google Scholar] [CrossRef] [PubMed]
- Rodríguez-Figueroa, J.C.; González-Córdova, A.F.; Torres-Llanez, M.J.; García, H.S.; Vallejo-Cordoba, B. Novel angiotensin I-converting enzyme inhibitory peptides produced in fermented milk by specific wild Lactococcus lactis strains. J. Dairy Sci. 2012, 95, 5536–5543. [Google Scholar] [CrossRef] [PubMed]
- Rodríguez-Figueroa, J.C.; González-Córdova, A.F.; Astiazarán-Gacía, H.; Vallejo-Córdoba, B. Hypotensive and heart rate lowering effects in rats receiving milk fermented by specific Lactococcus lactis strains. Br. J. Nutr. 2013, 109, 827–833. [Google Scholar] [CrossRef] [PubMed]
- Rodríguez-Figueroa, J.C.; González-Córdova, A.F.; Astiazarán-Gacía, H.; Vallejo-Cordoba, B. Antihypertensive and hypolipidemic effect of milk fermented by specific Lactococcus lactis strains. J. Dairy Sci. 2013, 96, 4094–4099. [Google Scholar] [CrossRef] [PubMed]
- Beltrán-Barrientos, L.M.; González-Córdova, A.F.; Hernández-Mendoza, A.; Torres-Inguanzo, E.H.; Astiazarán-García, H.; Esparza-Romero, J.; Vallejo-Córdoba, B. Randomized double-blind controlled clinical trial of the blood pressure lowering effect of fermented milk with Lactococcus lactis: A pilot study. J. Dairy Sci. 2018. [Google Scholar] [CrossRef] [PubMed]
- Beltrán-Barrientos, L.M.; Estrada-Montoya, C.; Reyes-Díaz, R.; Hernández-Mendoza, A.; González-Córdova, A.F.; Vallejo-Córdoba, B. Assessment of the potential role of gamma-aminobutyric acid on the antihypertensive effect of fermented milk with Lactococcus lactis NRRL B-50571. J. Funct. Foods 2018, in press. [Google Scholar]
- Okamoto, K.; Aoki, K. Development of a strain of spontaneously hypertensive rats. Jpn. Circ. J. 1963, 27, 282–293. [Google Scholar] [CrossRef] [PubMed]
- Cushman, D.W.; Cheng, H.S. Spectrophotometric assay and properties of the angiotensin converting enzyme of rabbit lung. Biochem. Pharmacol. 1971, 20, 1637–1648. [Google Scholar] [CrossRef]
- Ruas, C.B.G. Oxidative stress biomarkers of exposure in the blood of cichlid species from a metal-contaminated river. Ecotox. Environ. Safe 2008, 71, 86–93. [Google Scholar] [CrossRef] [PubMed]
- Hwang, J.W.; Kim, E.K.; Lee, S.J.; Kim, Y.S.; Choi, D.K.; Park, T.K.; Moon, S.H.; Jeon, B.T.; Park, P.J. Antocyanin effectively scavenges free radicals and protects retinal cells from H2O2-triggered G2/M arrest. Eur. Food Res. Technol. 2012, 234, 431–439. [Google Scholar] [CrossRef]
- Todorova, I.; Simeonova, G.; Kyuchukova, D.; Dinev, D.; Gadjeva, V. Reference values of oxidative stress parameters (MDA, SOD, CAT) in dogs and cats. Comp. Clin. Pathol. 2005, 13, 190–194. [Google Scholar] [CrossRef]
- Hernández-Ledesma, B.; García-Nebot, M.J.; Fernández-Tomé, S.; Amigo, L.; Recio, I. Dairy protein hydrolysates: Peptides for health benefits. Int. Dairy J. 2014, 38, 82–100. [Google Scholar] [CrossRef]
- Meisel, H.; FitzGerald, R.J. Opioid peptides encrypted in intact milk protein sequences. Br. J. Nutr. 2000, 84, 27–31. [Google Scholar] [CrossRef]
- Manzanares, P.; Salom, J.B.; García-Tejedor, A.; Fernández-Musoles, R.; Ruiz-Jiménez, P.; Gimeno-Alcañiz, J.V. Unraveling the mechanisms of action of lactoferrin-derived antihypertensive peptides: ACE inhibition and beyond. Food Funct. 2015, 6, 2440–2452. [Google Scholar] [CrossRef] [PubMed]
- Fernández-Musoles, R.; Manzanares, P.; Burguete, M.C.; Alborch, E.; Salom, J.B. In vivo angiotensin I-converting enzyme inhibition by long-term intake of antihypertensive lactoferrin hydrolysate in spontaneously hypertensive rats. Food Res. Int. 2013, 54, 627–632. [Google Scholar] [CrossRef]
- Ruiz-Giménez, P.; Ibáñez, A.; Salom, J.B.; Marcos, J.F.; López-Díez, J.J.; Vallés, S.; Torregrosa, G.; Alborch, E.; Manzanares, P. Antihypertensive properties of lactoferricin B-derived peptides. J. Agric. Food Chem. 2010, 58, 6721–6727. [Google Scholar] [CrossRef] [PubMed]
- Majumder, K.; Wu, J. Molecular targets of antihypertensive peptides: understanding the mechanisms of action based on the pathophysiology of hypertension. Int. J. Mol. Sci. 2015, 16, 256–283. [Google Scholar] [CrossRef] [PubMed]
- Chakrabarti, S.; Wu, J. Bioactive peptides on endothelial function. Food Sci. Hum. Wellness 2016, 5, 1–7. [Google Scholar] [CrossRef]
- Ceriello, A. Possible role of oxidative stress in the pathogenesis of hypertension. Diabetes Care 2008, 31, 181–184. [Google Scholar] [CrossRef] [PubMed]
- Kim, S.M.; Park, S.; Choue, R. Effects of fermented milk peptides supplement on blood pressure and vascular function in spontaneously hypertensive rats. Food Sci. Biotechnol. 2010, 19, 1409–1413. [Google Scholar] [CrossRef]
- Yuan, W.; Wang, J.; Zhou, F. In vivo hypotensive and physiological effects of a silk fibroin hydrolysate on spontaneously hypertensive rats. Biosci. Biotechnol. Biochem. 2012, 76, 1987–1989. [Google Scholar] [CrossRef] [PubMed]
- Erdmann, K.; Cheung, B.W.Y.; Schroder, H. The possible roles of food-derived bioactive peptides in reducing the risk of cardiovascular disease. J. Nutr. Biochem. 2008, 19, 643–654. [Google Scholar] [CrossRef] [PubMed]
- Sarmadi, B.H.; Ismail, A. Antioxidative peptides from food proteins: A review. Peptides 2010, 31, 1949–1956. [Google Scholar] [CrossRef] [PubMed]
- Hsieh, C.C.; Hernández-Ledesma, B.; Fernández-Tolomé, S.; Weinborn, V.; Barile, D.; de Moura, J.M.L. Milk proteins, peptides, and oligosaccharides: Effects against the 21st century disorders. BioMed. Res. Int. 2015. [Google Scholar] [CrossRef] [PubMed]
- Park, E.; Seo, B.Y.; Yoon, Y.C.; Lee, S.M. Beneficial effects of hydrolysates of whey proteins in spontaneously hypertensive rats. J. Food Nutr. Res. 2017, 5, 794–800. [Google Scholar] [CrossRef]











| Groups | Negative Control (Purified Water) | WSE-FM NRRL B-50571 | Naloxone + WSE-FM NRRL B-50571 | p Value |
|---|---|---|---|---|
| Weight | 319 ± 20.1 | 321.9 ± 16 | 322.6 ± 10.24 | 0.97 |
| SBP (mmHg) | 188.1 ± 21.8 | 186.3 ± 20 | 189 ± 8.8 | 0.99 |
| DBP (mmHg) | 126.2 ± 24.3 | 127 ± 13.2 | 131.6 ± 10.7 | 0.83 |
| Heart rate (beats/min) | 488.8 ± 35.1 | 465.2 ± 27.7 | 453.7 ± 28.9 | 0.13 |
| Groups | Negative Control (Purified Water) | Captopril | FM NRRL B-50571 | p Value |
|---|---|---|---|---|
| Weight | 341.5 ± 18.5 | 357.2 ± 12.3 | 340.5 ± 17.9 | 0.70 |
| SBP (mmHg) | 200.8 ± 16.1 | 201.8 ± 18.3 | 201.8 ± 13.1 | 0.98 |
| DBP (mmHg) | 152 ± 23.3 | 158 ± 30.2 | 150.1 ± 21.8 | 0.78 |
| Heart rate (beats/min) | 461.7 ± 33.5 | 442.6 ± 40.1 | 433.7 ± 38 | 0.28 |
© 2018 by the authors. Licensee MDPI, Basel, Switzerland. This article is an open access article distributed under the terms and conditions of the Creative Commons Attribution (CC BY) license (http://creativecommons.org/licenses/by/4.0/).
Share and Cite
Beltrán-Barrientos, L.M.; Hernández-Mendoza, A.; González-Córdova, A.F.; Astiazarán-García, H.; Esparza-Romero, J.; Vallejo-Córdoba, B. Mechanistic Pathways Underlying the Antihypertensive Effect of Fermented Milk with Lactococcus lactis NRRL B-50571 in Spontaneously Hypertensive Rats. Nutrients 2018, 10, 262. https://doi.org/10.3390/nu10030262
Beltrán-Barrientos LM, Hernández-Mendoza A, González-Córdova AF, Astiazarán-García H, Esparza-Romero J, Vallejo-Córdoba B. Mechanistic Pathways Underlying the Antihypertensive Effect of Fermented Milk with Lactococcus lactis NRRL B-50571 in Spontaneously Hypertensive Rats. Nutrients. 2018; 10(3):262. https://doi.org/10.3390/nu10030262
Chicago/Turabian StyleBeltrán-Barrientos, Lilia M., Adrián Hernández-Mendoza, Aarón F. González-Córdova, Humberto Astiazarán-García, Julián Esparza-Romero, and Belinda Vallejo-Córdoba. 2018. "Mechanistic Pathways Underlying the Antihypertensive Effect of Fermented Milk with Lactococcus lactis NRRL B-50571 in Spontaneously Hypertensive Rats" Nutrients 10, no. 3: 262. https://doi.org/10.3390/nu10030262
APA StyleBeltrán-Barrientos, L. M., Hernández-Mendoza, A., González-Córdova, A. F., Astiazarán-García, H., Esparza-Romero, J., & Vallejo-Córdoba, B. (2018). Mechanistic Pathways Underlying the Antihypertensive Effect of Fermented Milk with Lactococcus lactis NRRL B-50571 in Spontaneously Hypertensive Rats. Nutrients, 10(3), 262. https://doi.org/10.3390/nu10030262

