A Life-Size and Near Real-Time Test of Irrigation Scheduling with a Sentinel-2 Like Time Series (SPOT4-Take5) in Morocco
Abstract
:1. Introduction
2. Data and Methods Used
2.1. Study Site and Experimental Plots


2.2. Technical Itinerary
2.3. The Time Series of Remote Sensing Images

2.4. The FAO-56 Method Driven with Remotely Sensed NDVI
2.5. Meteorological Data and In-Situ Measurements

2.6. Kcb Extrapolation
2.7. Climatic Extrapolation or Forecast
2.8. Irrigation Decision-Making Process
3. Results
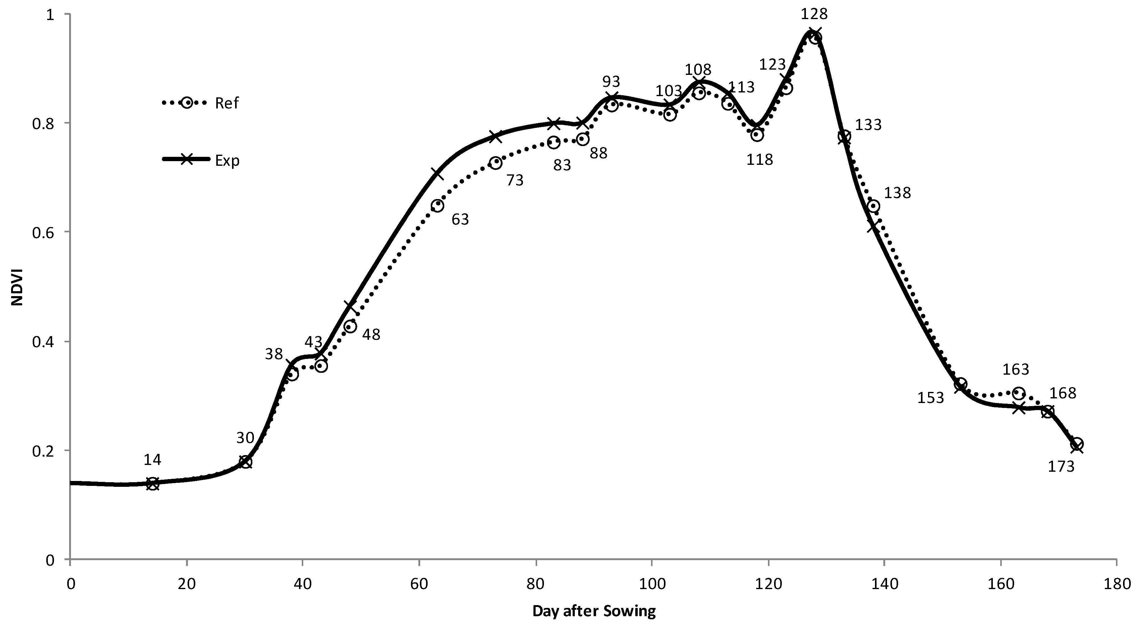
3.1. NDVI and Basal Crop Coefficient
3.2. ET Estimates

3.3. Irrigation Decisions




3.4. Final Budget and Yields
| Reference | Experimental | |||||||
|---|---|---|---|---|---|---|---|---|
| # | Dates (DaS) | Quantity (mm) | # | Dates (DaS) | Quantity (mm) | Water Balance | Absolute Difference (WB-Exp) | Percentage (WB-Exp) |
| 1 | 9 January (17) | 92 | 1 | 7 January (14) | 91.8 | - | - | - |
| 2 | 14 January (22) | 62.1 | - | - | - | - | - | - |
| 3 | 26 January (34) | 30 | 2 | 26 January (34) | 64.8 | - | - | - |
| 4 | 13 February (52) | 64.8 | 3 | 14 February (53) | 56 | 38 | 18 | 32 |
| 5 | 4 March (71) | 46 | 4 | 12 March (79) | 48.6 | 56 | −7.4 | −15 |
| 6 | 20 March (87) | 48.6 | - | - | - | - | - | - |
| 7 | 27 March (94) | 48.6 | 5 | 28 March (95) | 48.6 | 49 | -0.4 | -1 |
| 8 | 13 April (111) | 56 | 6 | 10 April (108) | 56 | 53 | 3 | 5 |
| 9 | 22 April (120) | 70.2 | 7 | 19 April (117) | 72.9 | 47 | 25.9 | 36 |
| 10 | 29 April (127) | 55 | 8 | 27 April (125) | 54 | 48.9 | 5.1 | 9 |
| 11 | 7 May (134) | 67.5 | 9 | 10 May (137) | 70.2 | - | - | - |
| Total Irrigation | 640.8 | 562.9 | ||||||
| Total with Rainfall | 739.8 | 661.9 | ||||||
4. Discussion and Perspective
4.1. Strengths and Weaknesses
- (a)
- The FAO-56 method is dedicated to the estimation of evapotranspiration and to assist irrigation scheduling. Anything that falls out of this area must be addressed by the farmer’s expertise. In our case, the appearance of a slaking crust greatly disadvantaged the tillering of the experimental plot, and the crop could never recover. This is the main reason for the much lower biomass obtained on the experimental plot. By contrast, the reference crop may have suffered some stress hampering grain filling, leading to a similar amount of grain yield in both plots. In this case, the water budget guided by remote sensing was more efficient than the farmer’s management.
- (b)
- Although predefined calibrations may be assigned for typical crops and soil parameters, they should be adjustable by the farmer, so that the model could reflect local measurements (e.g., Watermarks) or his know-how of irrigation scheduling (delaying or advancing irrigation triggering).
- (c)
- The typical description of crops through crop coefficients includes four inflexion points; hence, it can be assumed that four perfectly-timed images would be sufficient to describe the temporal evolution of the crop. However, at a regional level, the spatial variation of sowing dates is important. It increases this theoretical number to a daily image. In addition, cloud coverage forces the need for extrapolation.
- (d)
- Although it was not demonstrated here, the prevailing forecast data is the rainfall amount. An expected rainfall of 20 mm may boost the root layer for the next few days. But, if the actual rainfall is much lower than the forecast, an irrigation decision must be made rapidly, and still a couple days ahead of the irrigation event because of the technical constraint at the scheme scale. In semi-arid areas, the irrigation decision system should take into account the uncertainty of rainfall forecast, including ignoring the forecasts of small rainfall.
- (e)
- In the introduction, we said that an irrigation scheme may suffer contingencies, and it is also clear that a farmer has to deal with his equipment and workforce availability. On the other hand, the FAO-56 model suggests a single best date of irrigation. To overcome the problem, it would be nice to provide an irrigation window to the farmer, which would also take into account the preceding remark.
4.2. Conclusions and Perspective
Acknowledgments
Author Contributions
Conflicts of Interest
References
- Blinda, M. More Efficient Water Use in the Mediterranean; Water Effi. Plan Bleu: Valbonne, France, 2012. [Google Scholar]
- Frenken, K. L’irrigation en Afrique en Chiffres; FAO: Rome, Italy, 2005. [Google Scholar]
- Dwyer, J.; Baldock, D.; Caraveli, H.; Petersen, J.E.; Sumpsi-Vinas, J.; Varela-Ortega, C. The Environmental Impacts of Irrigation in the European Union. Available online: http://ec.europa.eu/environment/agriculture/pdf/irrigation.pdf (accessed on 7 November 2014).
- Oweis, T.; Pala, M.; Ryan, J. Stabilizing rainfed wheat yields with supplemental irrigation and nitrogen in a Mediterranean climate. Agro. Jour. 1998, 90, 672–681. [Google Scholar] [CrossRef]
- IPCC. Intergovernmental Panel on Climate Change. Available online: http://www.ipcc.ch/ (accessed on 7 November 2014).
- Pinstrup-Andersen, P.; Pandya-Lorch, R. World food needs toward 2020. Am. J. Agric. Econ. 1997, 79, 1465–1466. [Google Scholar] [CrossRef]
- Hadria, R.; Khabba, S.; Lahrouni, A.; Duchemin, B.; Chehbouni, A.; Ouzine, L.; Carriou, J. Calibration and validation of the shoot growth module of STICS crop model: Application to manage water irrigation in the Haouz plain, Marrakech plain. Arab. J. Sci. Eng. 2007, 31, 87–101. [Google Scholar]
- Bationo, A.; Hartemink, A.; Lungu, O.; Naimi, M.; Okoth, P.; Smaling, E.; Thiombiano, L.; Waswa, B. Improving Soil Fertility Recommendations in Africa Using the Decision Support System for Agrotechnology Transfer (DSSAT); Kihara, J., Fatondji, D., Jones, J.W., Hoogenboom, G., Tabo, R., Bationo, A., Eds.; Springer Netherlands: Dordrecht, The Netherlands, 2012. [Google Scholar]
- Pereira, L.S. Higher performance through combined improvements in irrigation methods and scheduling: A discussion. Agric. Water Manag. 1999, 40, 53–169. [Google Scholar] [CrossRef]
- Weiss, M.; Baret, F. Evaluation of canopy biophysical variable retrieval performances from the accumulation of large swath satellite data. Remote Sens. Environ. 1999, 70, 293–306. [Google Scholar] [CrossRef]
- Leprieur, C.; Kerr, Y.; Mastorchio, S.; Meunier, C.J. Monitoring vegetation cover across semi-arid regions: Comparison of remote observations from various scales. Int. J. Remote Sens. 2000, 21, 281–300. [Google Scholar] [CrossRef]
- Olioso, A.; Chauki, H.; Courault, D.; Wigneron, J. Estimation of evapotranspiration and photosynthesis by assimilation of remote sensing data into SVAT models. Remote Sens. Environ. 1999, 68, 341–356. [Google Scholar] [CrossRef]
- Courault, D.; Seguin, B.; Olioso, A. Review on estimation of evapotranspiration from remote sensing data: From empirical to numerical modeling approaches. Irrig. Drain. Syst. 2005, 19, 223–249. [Google Scholar] [CrossRef]
- Calcagno, G.; Mendicino, G.; Monacelli, G.; Senatore, A.; Versace, P. Distributed estimation of actual avpotranspiration through remote sensing techniques. In Method and Tools for Drought Analysis and Management; Springer: Dordrecht, The Netherlands, 2007; pp. 125–147. [Google Scholar]
- Gowda, P.H.; Chavez, J.L.; Colaizzi, P.D.; Evett, S.R.; Howell, T.A.; Tolk, J.A. ET mapping for agricultural water management: present status and challenges. Irrig. Sci. 2007, 26, 223–237. [Google Scholar] [CrossRef]
- Li, Z.-L.; Tang, R.; Wan, Z.; Bi, Y.; Zhou, C.; Tang, B.; Yan, G.; Zhang, X. A review of current methodologies for regional evapotranspiration estimation from remotely sensed data. Sensors 2009, 9, 3801–3853. [Google Scholar] [CrossRef] [PubMed]
- Chirouze, J.; Boulet, G.; Jarlan, L.; Fieuzal, R.; Rodriguez, J.C.; Ezzahar, J.; Er-Raki, S.; Bigeard, G.; Merlin, O.; Garatuza, J.; et al. Inter-comparison of four remote sensing based surface energy balance methods to retrieve surface evapotranspiration and water stress of irrigated fields in semi-arid climate. Hydrol. Earth Syst. Sci. Discuss 2013, 10, 895–963. [Google Scholar] [CrossRef]
- Allen, R.; Pereira, L.; Raes, D.; Smith, M. FAO Irrigation and Drainage N.56: Guidelines for Computing Crop Water Requirements; FAO: Rome, Italy, 1998. [Google Scholar]
- Allen, R.; Pereira, L.; Smith, M.; Raes, D.; Wright, J. FAO-56 dual crop coefficient method for estimating evaporation from soil and application extensions. J. Irrig. Drain. Eng. 2005, 131, 2–13. [Google Scholar] [CrossRef]
- Hagolle, O.; Huc, M.; Dedieu, G.; Sylvander, S.; Houpert, L.; Leroy, M.; Clesse, D.; Daniaud, F.; Arino, O.; Koetz, B.; et al. SPOT4 (Take5): Time series over 45 sites to prepare Sentinel-2 applications and methods. In Proceedings of the ESA’s Living Planet Symposium, Edinburgh, UK, 11 September 2013.
- Duchemin, B.; Hadria, R.; Er-Raki, S.; Boulet, G.; Maisongrande, P.; Chehbouni, A.; Escadafal, R.; Ezzahar, J.; Hoedjes, J.C.B.; Kharrou, M.H.; et al. Monitoring wheat phenology and irrigation in Central Morocco: On the use of relationships between evapotranspiration, crops coefficients, leaf area index and remotely-sensed vegetation indices. Agric. Water Manag. 2006, 79, 1–27. [Google Scholar] [CrossRef]
- Kharrou, M.H.; Le Page, M.; Chehbouni, A.; Simonneaux, V.; Er-Raki, S.; Jarlan, L.; Ouzine, L.; Khabba, S.; Chehbouni, A. Assessment of equity and adequacy of water delivery in irrigation systems using remote sensing-based indicators in semi-arid region, Morocco. Water Resour. Manag. 2013, 27, 4697–4714. [Google Scholar] [CrossRef]
- Wosten, J.H.M.; Lilly, A.; Nemes, A.; Le Bas, C. Development and use of a database of hydraulic properties of European soils. Geoderma 1999, 90, 169–218. [Google Scholar] [CrossRef]
- Er-Raki, S.; Chehbouni, A.; Guemouria, N.; Duchemin, B.; Ezzahar, J.; Hadria, R. Combining FAO-56 model and ground-based remote sensing to estimate water consumptions of wheat crops in a semi-arid region. Agric. Water Manag. 2007, 87, 41–54. [Google Scholar] [CrossRef]
- Brouwer, C.; Prins, K.; Kay, M.; Heibloem, M. Irrigation Water Management: Irrigation Methods, Training Manual N°5; FAO: Rome, Italy, 1990. [Google Scholar]
- Khabba, S.; Jarlan, L.; Er-Raki, S.; Le Page, M.; Ezzahar, J.; Boulet, G.; Simonneaux, V.; Kharrou, M.H.; Hanich, L.; Chehbouni, G. The SudMed program and the Joint International Laboratory TREMA: A decade of water transfer study in the Soil-Plant-Atmosphere system over irrigated crops in semi-arid area. Proced. Environ. Sci. 2013, 19, 524–533. [Google Scholar] [CrossRef]
- Hagolle, O.; Dedieu, G.; Mougenot, B.; Debaecker, V.; Duchemin, B.; Meygret, A. Correction of aerosol effects on multi-temporal images acquired with constant viewing angles: Application to Formosat-2 images. Remote Sens. Environ. 2008, 112, 1689–1701. [Google Scholar] [CrossRef]
- Hagolle, O.; Huc, M.; Villa Pascual, D.; Dedieu, G. A multi-temporal method for cloud detection, applied to FORMOSAT-2, VENµS, LANDSAT and SENTINEL-2 images. Remote Sens. Environ. 2010, 114, 1747–1755. [Google Scholar] [CrossRef]
- Rahman, H.; Dedieu, G. SMAC: A simplified method for the atmospheric correction of satellite measurements in the solar spectrum. Int. J. Remote Sens. 1994, 15, 123–143. [Google Scholar] [CrossRef]
- Monteith, J.L. Evaporation and environment. Symp. Soc. Exp. Biol. 1965, 19, 205–234. [Google Scholar]
- Glenn, E.P.; Neale, C.M.U.; Hunsaker, D.J.; Nagler, P.L. Vegetation index-based crop coefficients to estimate evapotranspiration by remote sensing in agricultural and natural ecosystems. Hydrol. Process. 2011, 25, 4050–4062. [Google Scholar] [CrossRef]
- Neale, C.M.U.; Bausch, W.C.; Heerman, D.F. Development of reflectance-based crop coefficients for corn. Trans. ASAE 1989, 32, 1891–1899. [Google Scholar] [CrossRef]
- Choudhury, B.J.; Ahmed, N.U.; Idso, S.B.; Reginato, R.J.; Daughtry, C.S.T. Relations between evaporation coeflqcients and vegetation indices studied by model simulations. Remote Sens. Environ. 1994, 50, 1–17. [Google Scholar] [CrossRef]
- Huete, A. A Soil-Adjusted Vegetation Index (SAVI). Remote Sens. Environ. 1988, 25, 295–309. [Google Scholar] [CrossRef]
- Wittich, K.P.; Hansing, O. Area-averaged vegetative cover fraction estimated from satellite data. Int. J. Biometeorol. 1995, 38, 209–215. [Google Scholar] [CrossRef]
- Trout, T.J.; Johnson, L.F.; Gartung, J. Remote sensing of canopy cover in horticultural crops. HortScience 2008, 43, 333–337. [Google Scholar]
- Hunsaker, D.J.; Pinter, P.J.; Kimball, B.A. Wheat basal crop coefficients determined by normalized difference vegetation index. Irrig. Sci. 2005, 24, 1–14. [Google Scholar] [CrossRef]
- Jayanthi, H.; Neale, C.M.U.; Wright, J.L. Development and validation of canopy reflectance-based crop coefficient for potato. Agric. Water Manag. 2007, 88, 235–246. [Google Scholar] [CrossRef]
- Garatuza-Payan, J.; Watts, C.J. The use of remote sensing for estimating ET of irrigated wheat and cotton in Northwest Mexico. Irrig. Drain. Syst. 2005, 19, 301–320. [Google Scholar] [CrossRef]
- Gonzalez-Dugo, M.P.; Mateos, L. Spectral vegetation indices for benchmarking water productivity of irrigated cotton and sugarbeet crops. Agric. Water Manag. 2008, 95, 48–58. [Google Scholar] [CrossRef]
- Li, S.; Kang, S.; Li, F.; Zhang, L. Evapotranspiration and crop coefficient of spring maize with plastic mulch using eddy covariance in northwest China. Agric. Water Manag. 2008, 95, 1214–1222. [Google Scholar] [CrossRef]
- Campos, I.; Neale, C.M.U.; Calera, A.; Balbontín, C.; González-Piqueras, J. Assessing satellite-based basal crop coefficients for irrigated grapes (Vitis vinifera L.). Agric. Water Manag. 2010, 98, 45–54. [Google Scholar] [CrossRef]
- Er-Raki, S.; Rodriguez, J.C.; Garatuza, J.P.; Watts, C.; Chehbouni, G. Determination of crop evapotranspiration of table grapes in a semi-arid region of Northwest Mexico using multi-spectral vegetation index. Agric. Water Manag. 2013, 122, 12–19. [Google Scholar] [CrossRef]
- Consoli, S.; D’Urso, G.; Toscano, A. Remote sensing to estimate ET-fluxes and the performance of an irrigation district in southern Italy. Agric. Water Manag. 2006, 81, 295–314. [Google Scholar] [CrossRef]
- Teixeira, A.H.; Bastiaanssen, W.G.M. Five methods to interpret field measurements of energy fluxes over a micro-sprinkler-irrigated mango orchard. Irrig. Sci. 2012, 30, 13–28. [Google Scholar] [CrossRef]
- Boone, A. The Atmosphere Surface Forecast Prediction. 2012. Available online: http://aaron.boone.free.fr/weather.html (accessed on 1 January 2012).
- Lobell, D.B.; Asner, G.P. Moisture effects on soil reflectance. Soil Sci. Soc. Am. J. 2002, 66, 722–727. [Google Scholar] [CrossRef]
- Kharrou, M.H.; Er-Raki, S.; Chehbouni, A.; Duchemin, B.; Simonneaux, V.; Le Page, M.; Ouzine, L.; Jarlan, L. Water use efficiency and yield of winter wheat under different irrigation regimes in a semi-arid region. Agric. Sci. 2011, 2, 273–282. [Google Scholar]
- Allen, R.G.; Pereira, L.S.; Howell, T.A.; Jensen, M.E. Evapotranspiration information reporting: I. Factors governing measurement accuracy. Agric. Water Manag. 2011, 98, 899–920. [Google Scholar] [CrossRef]
- O’Connell, M.G.; O’Leary, G.J.; Whitfield, D.M.; Connor, D.J. Interception of photosynthetically active radiation and radiation-use efficiency of wheat, field pea and mustard in a semi-arid environment. Field Crop. Res. 2004, 85, 111–124. [Google Scholar] [CrossRef]
- Schilling, J.; Freier, K.P.; Hertig, E.; Scheffran, J. Climate change, vulnerability and adaptation in North Africa with focus on Morocco. Agric. Ecosyst. Environ. 2012, 156, 12–26. [Google Scholar] [CrossRef]
- Li, F.; Crow, W.T.; Kustas, W.P. Towards the estimation root-zone soil moisture via the simultaneous assimilation of thermal and microwave soil moisture retrievals. Adv. Water Resour. 2010, 33, 201–214. [Google Scholar] [CrossRef]
- Kornelsen, K.C.; Coulibaly, P. Advances in soil moisture retrieval from synthetic aperture radar and hydrological applications. J. Hydrol. 2013, 476, 460–489. [Google Scholar] [CrossRef]
- Belaqziz, S.; Khabba, S.; Er-Raki, S.; Jarlan, L.; Le Page, M.; Kharrou, M.H.; El Adnani, M.; Chehbouni, A. A new irrigation priority index based on remote sensing data for assessing the networks irrigation scheduling. Agric. Water Manag. 2013, 119, 1–9. [Google Scholar] [CrossRef]
- Belaqziz, S.; Mangiarotti, S.; Le Page, M.; Khabba, S.; Er-Raki, S.; Agouti, T.; Drapeau, L.; Kharrou, M.H.; El Adnani, M.; Jarlan, L. Irrigation scheduling of a classical gravity network based on the Covariance Matrix Adaptation—Evolutionary Strategy algorithm. Comput. Electron. Agric. 2014, 102, 64–72. [Google Scholar] [CrossRef]
© 2014 by the authors; licensee MDPI, Basel, Switzerland. This article is an open access article distributed under the terms and conditions of the Creative Commons Attribution license (http://creativecommons.org/licenses/by/4.0/).
Share and Cite
Le Page, M.; Toumi, J.; Khabba, S.; Hagolle, O.; Tavernier, A.; Kharrou, M.H.; Er-Raki, S.; Huc, M.; Kasbani, M.; Moutamanni, A.E.; et al. A Life-Size and Near Real-Time Test of Irrigation Scheduling with a Sentinel-2 Like Time Series (SPOT4-Take5) in Morocco. Remote Sens. 2014, 6, 11182-11203. https://doi.org/10.3390/rs61111182
Le Page M, Toumi J, Khabba S, Hagolle O, Tavernier A, Kharrou MH, Er-Raki S, Huc M, Kasbani M, Moutamanni AE, et al. A Life-Size and Near Real-Time Test of Irrigation Scheduling with a Sentinel-2 Like Time Series (SPOT4-Take5) in Morocco. Remote Sensing. 2014; 6(11):11182-11203. https://doi.org/10.3390/rs61111182
Chicago/Turabian StyleLe Page, Michel, Jihad Toumi, Saïd Khabba, Olivier Hagolle, Adrien Tavernier, M. Hakim Kharrou, Salah Er-Raki, Mireille Huc, Mohamed Kasbani, Abdelilah El Moutamanni, and et al. 2014. "A Life-Size and Near Real-Time Test of Irrigation Scheduling with a Sentinel-2 Like Time Series (SPOT4-Take5) in Morocco" Remote Sensing 6, no. 11: 11182-11203. https://doi.org/10.3390/rs61111182
APA StyleLe Page, M., Toumi, J., Khabba, S., Hagolle, O., Tavernier, A., Kharrou, M. H., Er-Raki, S., Huc, M., Kasbani, M., Moutamanni, A. E., Yousfi, M., & Jarlan, L. (2014). A Life-Size and Near Real-Time Test of Irrigation Scheduling with a Sentinel-2 Like Time Series (SPOT4-Take5) in Morocco. Remote Sensing, 6(11), 11182-11203. https://doi.org/10.3390/rs61111182

