Damage to Buildings in Large Slope Rock Instabilities Monitored with the PSInSAR™ Technique
Abstract
:1. Introduction
2. Geological and Geomorphologic Setting
3. Material and Methods
3.1. PSInSAR™
3.2. Damage Survey
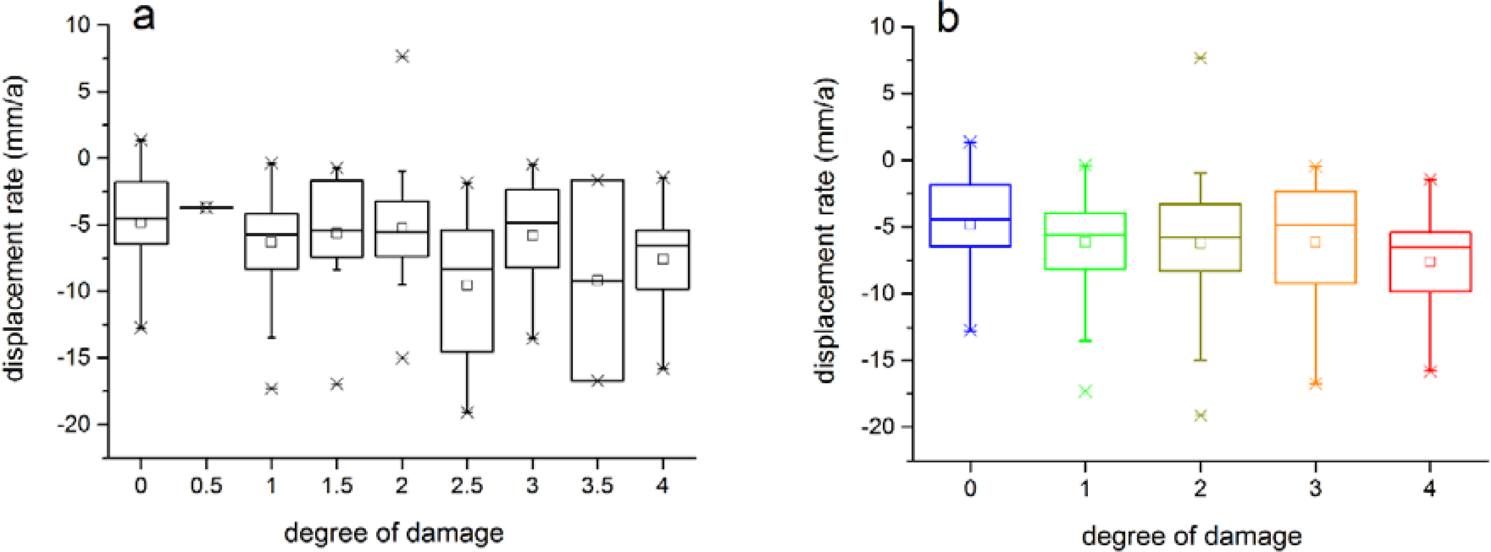
4. Analysis and Results
4.1. Mt Legnoncino
4.2. Caspoggio and Lake Palù DSGSDs
4.3. Mt. Padrio Varadega DSGSD
4.4. Saviore DSGSD
4.5. Catasco and Montalto Rockslides
5. Discussion
6. Conclusion
- the uncertainty in the attribution of the degree of damage to recently renovated buildings;
- the complexity of the deformation for large phenomena, with differential behavior within the slope instability, due to reactivation of smaller events, which can locally increase the observed degree of damage, or the presence of debris at the surface;
- the possible absence of differential superficial movements causing damages to structures, due to the large size of the investigated phenomena; and
- the different behavior of buildings, depending on the type of structure, its age, the position along the slope and the occurrence of total/local recent reactivation/accelerations.
Supplementary Information
remotesensing-05-04753-s001.pdfAcknowledgments
Conflict of Interest
References and Notes
- Ambrosi, C.; Crosta, G.B. Large sackung along major tectonic features in the Central Alps. Eng. Geol 2006, 83, 183–200. [Google Scholar]
- MacFarlane, D.F. Observations and predictions of the behaviour of large, slow-moving landslides in schist, Clyde Dam reservoir, New Zealand. Eng. Geol 2008, 109, 5–15. [Google Scholar]
- Zangerl, C.; Eberhardt, E.; Perzlmaier, S. Kinematic behaviour and velocity characteristics of a complex deep-seated crystalline rockslide system in relation to its interaction with a dam reservoir. Eng. Geol 2010, 112, 53–67. [Google Scholar]
- Cruden, D.M.; Varnes, D.J. Landslide Types and Processes. In Landslides: Investigation and Mitigation; Turner, A.K., Shuster, R.L., Eds.; Transportation Research Board: Washington, DC, USA, 1996; pp. 36–75. [Google Scholar]
- Crosta, G.B.; Agliardi, F.; Frattini, P. Deep seated gravitational slope deformations in the European Alps. Tectonophysics 2013, 605, 13–33. [Google Scholar]
- Zischinsky, U. On the Deformation of High Slopes. Proceedings of 1st Congress International Society for Rock Mechanics 2, Lisbon, Portugal, 25 September–1 October 1966; pp. 179–185.
- Bovis, M.J. Rock-slope deformation at Affliction Creek, southern Coast Mountains, British Columbia. Geol. Soc. Am. Bull 1990, 93, 804–812. [Google Scholar]
- Varnes, D.J.; Radbruch-Hall, D.; Varnes, K.L.; Smith, W.K.; Savage, W.Z. Measurement of Ridge-Spreading Movements (Sackungen) at Bald Eagle Mountain, Lake County, Colorado, 1975–1989; US Geological Survey Open-File Report 90-543; US Geological Survey: Denver, CO, USA, 1990; p. 13. [Google Scholar]
- Chigira, M. Long-term gravitational deformation of rock by mass rock creep. Eng. Geol 1992, 32, 157–184. [Google Scholar]
- Agliardi, F.; Crosta, G.; Zanchi, A. Structural constraints on deep-seated slope deformation kinematics. Eng. Geol 2001, 59, 83–102. [Google Scholar]
- Cruden, D.M.; Hu, X.Q. Exhaustion and steady-state models for predicting landslide hazards in the Canadian Rocky Mountains. Geomorphology 1993, 8, 279–285. [Google Scholar]
- Hippolyte, J.-C.; Brocard, G.; Tardy, M.; Nicoud, G.; Bourlès, D.; Braucher, R.; Ménard, G.; Souffaché, B. The recent fault scarps of the Western Alps (France): Tectonic surface ruptures or gravitational sackung scarps? A combined mapping, geomorphic, levelling, and 10Be dating approach. Tectonophysics 2006, 418, 255–276. [Google Scholar]
- Hippolyte, J.C.; Bourlès, D.; Braucher, R.; Carcaillet, J.; Léanni, L.; Arnold, M.; Aumaitre, G. Cosmogenic 10Be dating of a sackung and its faulted rock glaciers, in the Alps of Savoy (France). Geomorphology 2009, 108, 312–320. [Google Scholar]
- Bigot-Cormier, F.; Braucher, R.; Boulès, D.; Guglielmi, Y.; Dubar, M.; Stéphan, J.F. Chronological constraints on processes leading to large active landslides. Earth. Planet. Sci. Lett 2005, 235, 141–150. [Google Scholar]
- Bovis, M.J.; Evans, S.G. Extensive deformations of rock slopes in southern Coast Mountains, southwest British Columbia, Canada. Eng. Geol 1996, 44, 163–182. [Google Scholar]
- Curlander, J.C.; McDonough, R.N. Synthetic Aperture Radar Systems and Signal Processing; Wiley-Interscience: New York, NY, USA, 1991. [Google Scholar]
- Ferretti, A.; Prati, C.; Rocca, F. Multibaseline InSAR DEM reconstruction: The wavelet approach. IEEE Trans. Geosci. Remote Sens 1999, 37, 705–715. [Google Scholar]
- Ferretti, A.; Prati, C.; Rocca, F. Nonlinear subsidence rate estimation using permanent scatterers in differential SAR interferometry. IEEE Trans. Geosci. Remote Sens 2000, 38, 2202–2212. [Google Scholar]
- Ferretti, A.; Prati, C.; Rocca, F. Multibaseline phase unwrapping for InSAR topography estimation. Nuovo Cimento Della Soc. Ital. Fis. C 2001, 124, 159–176. [Google Scholar]
- Ferretti, A.; Prati, C.; Rocca, F. Permanent scatterers in SAR Interferometry. IEEE Trans. Geosci. Remote Sens 2001, 39, 8–20. [Google Scholar]
- Allievi, J.; Ambrosi, C.; Ceriani, M.; Colesanti, C.; Crosta, G.B.; Ferretti, A.; Fossati, D. Monitoring Slow Mass Movements with the Permanent Scatterers technique. Proceedings of the IEEE International Geoscience and Remote Sensing Symposium (IGARSS’03), Toulouse, France, 21–25 July 2003; 1, pp. 215–217.
- Colesanti, C.; Crosta, G.B.; Ferretti, A.; Ambrosi, C. Monitoring and assessing the state of activity of slope instabilities by the Permanent Scatterers Technique. NATO Sci. Ser 2006, 49, 175–194. [Google Scholar]
- Saroli, M.; Stramondo, S.; Moro, M.; Doumaz, F. Movements detection of deep seated gravitational slope deformations by means of InSAR data and photogeological interpretation: northern Sicily case study. Terra Nova 2005, 17, 35–43. [Google Scholar]
- Strozzi, T.; Farina, P.; Corsini, A.; Ambrosi, C.; Thüring, M.; Zilger, J.; Wiesmann, A.; Wegmüller, U.; Werner, C. Survey and monitoring of landslide displacements by means of L-band satellite SAR interferometry. Landslides 1995, 2, 193–201. [Google Scholar]
- Colesanti, C.; Wasowski, J. Investigating landslides with space-borne Synthetic Aperture Radar (SAR) interferometry. Eng. Geol 2006, 88, 173–199. [Google Scholar]
- Osmundsen, P.T.; Henderson, I.; Lauknes, T.R.; Larsen, Y.; Redfield, T.F.; Dehls, J. Active normal fault control on landscape and rock-slope failure in northern Norway. Geology 2006, 37, 135–138. [Google Scholar]
- Strozzi, T.; Delaloye, R.; Kääb, A.; Ambrosi, C.; Perruchoud, E.; Wegmüller, U. Combined observations of rock mass movements using satellite SAR interferometry, differential GPS, airborne digital photogrammetry, and airborne photography interpretation. J. Geophys. Res 2010, 115, F01014. [Google Scholar]
- Calò, F.; Calcaterra, D.; Iodice, A.; Parise, M.; Ramondini, M. Assessing the activity of a large landslide in southern Italy by ground-monitoring and SAR interferometric techniques. Int. J. Remote Sens 2012, 33, 3512–3530. [Google Scholar]
- Del Ventisette, C.; Ciampalinik, A.; Manunta, M.; Calò, F.; Paglia, L.; Ardizzone, F.; Mondini, A.; Reichenbach, P.; Mateos, R.M.; Bianchini, S.; et al. Exploitation of large archives of ERS and ENVISAT C-band SAR data to characterize ground deformations. Remote Sens 2013, 5, 3896–3917. [Google Scholar]
- Tofani, T.; Raspini, F.; Catani, F.; Casagli, N. Persistent Scatterer Interferometry (PSI) technique for landslide characterization and monitoring. Remote Sens 2013, 5, 1045–1065. [Google Scholar]
- Strozzi, T.; Ambrosi, C.; Raetzo, H. Interpretation of aerial photographs and satellite SAR interferometry for the inventory of landslides. Remote Sens 2013, 5, 2554–2570. [Google Scholar]
- Tarchi, D.; Casagli, N.; Leva, D.; Moretti, S.; Sieber, A.J. Monitoring landslide displacements by using ground-based SAR interferometry: Application to the Ruinon landslide in the Italian Alps. J. Geophys. Res 2003, 108, 2387–2401. [Google Scholar]
- Moore, D.P.; Watson, A.D.; Martin, C.D. Deformation Mechanism of a Large Rockslide Inundated by a Reservoir. Proceedings of JTC Workshop on the Mechanics and Velocity of Large Landslides, Courmayeur, Italy, 25–28 September 2006.
- Negulescu, C.; Foerster, E. Parametric studies and quantitative assessment of the vulnerability of a RC frame building exposed to differential settlements. Nat. Hazard. Earth Syst. Sci 2010, 10, 1781–1792. [Google Scholar]
- Mansour, M.F.; Morgenstern, N.R.; Martin, C.D. Expected damage from displacement of slow-moving slides. Landslides 2010, 8, 117–131. [Google Scholar]
- Fotopoulou, S.; Pitilakis, K. Vulnerability assessment of reinforced concrete buildings subjected to seismically triggered slow-moving earth slides. Landslides 2012. [Google Scholar] [CrossRef]
- Crosta, G.B.; Agliardi, F.; Frattini, P.; Zanchi, A. Alpine inventory of Deep-Seated Gravitational Slope Deformations. Geophys. Res. Abstr. 2008, 10, EGU2008-A-02709. [Google Scholar]
- Agliardi, F.; Crosta, G.B.; Frattini, P. Slow Rock-Slope Deformation. In Landslides: Types, Mechanisms and Modeling; Clague, J.J., Stead, D., Eds.; Cambridge University Press: Cambridge, UK, 2012; pp. 207–221. [Google Scholar]
- Agliardi, F.; Crosta, G.B.; Frattini, P.; Malusà, M. Giant non-catastrophic landslides and the long-term exhumation of the European Alps. Earth. Planet. Sci. Lett 2013, 365, 263–274. [Google Scholar]
- Schmid, S.M.; Fogenschuh, B.; Kissling, E.; Schuster, R. Tectonic map and overall architecture of the Alpine orogen. Eclogae Geol. Helv 2004, 97, 93–117. [Google Scholar]
- Schönborn, G. Alpine tectonics and kinematic models of the central Southern Alps. Mem. Sci. Geol 1992, 44, 229–393. [Google Scholar]
- Froitzheim, N.; Schmid, S.M.; Conti, P. Repeated change from crustal shortening to orogen-parallel extension in the Austroalpine units of Graubünden. Eclogae Geol. Helv 1994, 87, 559–612. [Google Scholar]
- Geologische Karte der Schweiz 1:500,000; Institut für Geologie, Universität Bern, und Bundesamt für Wasser und Geologie: Bern, Switzerland, 2005.
- Refice, A.; Bovenga, F.; Guerriero, L.; Wasowski, J. DInSAR Applications to Landslide Studies. Proceedings of the IEEE International Geoscience and Remote Sensing Symposium (IGARSS’01), Sydney, Australia, 9–13 July 2001; 1, pp. 144–146.
- Werner, C.; Wegmuller, U.; Strozzi, T.; Wiesmann, A. Interferometric Point Target Analysis for Deformation Mapping. Proceedings of the IEEE International Geoscience and Remote Sensing Symposium (IGARSS’03), Toulouse, France, 21–25 July 2003; 7, pp. 4362–4364.
- Hooper, A.; Zebker, H.; Segall, P.; Kampes, B. A new method for measuring deformation on Volcanoes and other natural terrains using InSAR persistent scatterers. Geophys. Res. Lett 2004, 31, L23611. [Google Scholar]
- Bovenga, F.; Nutricato, R.; Refice, A.; Wasowski, J. Application of multi-temporal differential interferometry to slope instability detection in urban/peri-urban Areas. Eng. Geol 2006, 88, 218–239. [Google Scholar]
- Colesanti, C.; Ferretti, A.; Locatelli, R.; Novali, F.; Savio, G. Permanent Scatterers: Precision Assessment and Multi-Platform Analysis. Proceedings of IEEE Geoscience and Remote Sensing Symposium (IGARSS’03), Toulouse, France, 21–25 July 2003; pp. 1193–1195.
- Cascini, L.; Fornaro, G.; Peduto, D. Advanced low- and full-resolution DInSAR map generation for slow-moving landslide analysis at different scales. Eng. Geol 2010, 112, 29–42. [Google Scholar]
- Cigna, F.; Bianchini, S.; Casagli, N. How to assess landslide activity and intensity with Persistent Scatterer Interferometry (PSI): the PSI-based matrix approach. Landslides 2012, 5, 1–17. [Google Scholar]
- Grunthal, G. European Macroseismic Scale EMS-98; Conseil de l’Europe, Cahiers du Centre Europeén de Geodynamique et du Seismoligie: Luxembourg, 1998; 15, p. 101. Available online: http://www.gfz-potsdam.de/en/research/organizational-units/departments-of-the-gfz/department-2/seismic-hazard-and-stress-field/products-and-services/ems-98/ (accessed on 24 September 2013).
- Cossa, A. Analisi Dell’Evoluzione e Modellazione di Fenomeni di Instabilità di Versante Presso L’Impianto Idroelettrico di Lanzada (Valmalenco, SO). 2006. [Google Scholar]
- Istituto Sperimentale Modelli e Strutture (ISMES), Studio per la Definizione dei Livelli di Soglia e Delle Procedure di Analisi dei Dati Strumentali Della Rete di Monitoraggio di Saviore dell’Adamello (BS); Technical Report No. 1; ISMES: Bergamo, Italy, 1999; unpublished.
- Salvoni, M. Censimento e Monitoraggio Delle Lesiono Strutturali ed Analisi del Dissesto di Valle di Saviore ai Fini di Una Valutazione Quantitativa del Rischio. 2007. [Google Scholar]
- Nitti, D.O.; Bovenga, F.; Nutricato, R.; Rana, F.; D’Aprile, C.; Frattini, P.; Crosta, G.B.; Chiaradia, M.T.; Ober, G.; Candela, L. C- and X-band Multi-pass InSAR analysis over alpine areas (ITALY). Proc. SPIE 2010. [Google Scholar] [CrossRef]















| Dataset Name | Satellite | Mode | Track | θ (°) | δ (°) | # of Scenes | Time Interval |
|---|---|---|---|---|---|---|---|
| LcED | ERS 1/2 | D | 208 | 23.09 | 11.99 | 80 | 05/16/1992–12/24/2002 |
| 480 | 23.11 | 12.50 | 82 | 04/30/1992–01/12/2003 | |||
| LED | ERS 1/2 | D | 208 | 23.09 | 11.99 | 81 | 05/16/1992–12/19/2000 |
| LRD | RSAT-S3 | D | 197 | 32.50 | 10.46 | 56 | 04/28/2003–06/18/2007 |
| 297 | 35.78 | 9.60 | 56 | 04/11/2003–06/01/2007 | |||
| LRA | RSAT-S3 | A | 147 | 34.49 | 11.51 | 59 | 03/07/2003–06/14/2007 |
| 247 | 32.60 | 12.15 | 59 | 04/07/2003–06/21/2007 |
| # | Site | β̄ (°) | ᾱ (°) | Dataset Name | # Points | σ̄ (mm/yr) |
|---|---|---|---|---|---|---|
| 1 | Catasco rockslide | 29 | 184 | LRA | 226 | 0.95 |
| LRD | 193 | 0.93 | ||||
| 2 | Montalto rockslide | 28 | 190 | LRA | 19 | 0.96 |
| LRD | 17 | 0.95 | ||||
| 3 | Mt. Legnoncino DSGSD | 29 | 340 | LcED | 1,050 | 0.90 |
| LRA | 159 | 0.96 | ||||
| LRD | 345 | 0.94 | ||||
| 4 | Lake Palù DSGSD | 18 | 262 | LED | 269 | 0.62 |
| LRA | 143 | 0.96 | ||||
| LRD | 319 | 0.95 | ||||
| 5 | Caspoggio DSGSD | 26 | 312 | LED | 514 | 0.58 |
| LRA | 859 | 1.06 | ||||
| LRD | 786 | 0.94 | ||||
| 6 | Mt. Padrio-Varadega DSGSD | 28 | 290 | LED | 648 | 0.56 |
| LRA | 172 | 1.34 | ||||
| LRD | 1,948 | 1.17 | ||||
| 7 | Saviore DSGSD | 175 | 25 | LRA | 349 | 1.37 |
| LRD | 623 | 1.17 |
| Degree of Damage | Description of Damage to Structures | |
|---|---|---|
| 0 | None | No damage. |
| 1 | Negligible to slight | Hairline cracks in a few walls, falling of small pieces of plaster only. Falling of loose stone from the upper parts of buildings in very few cases. |
| 2 | Moderate | Cracks in many walls. Falling of large pieces of plaster. Partial collapse of chimneys. |
| 3 | Substantial to heavy | Large and extensive cracks in most of the walls. Roof tiles detached. Chimney fracture at the roofline; failure of individual non-structural elements. |
| 4 | Very heavy | Serious failure of walls; partial structural failure of roof and floors. |
| 5 | Destruction | Total or near total collapse. |
© 2013 by the authors; licensee MDPI, Basel, Switzerland This article is an open access article distributed under the terms and conditions of the Creative Commons Attribution license ( http://creativecommons.org/licenses/by/3.0/).
Share and Cite
Frattini, P.; Crosta, G.B.; Allievi, J. Damage to Buildings in Large Slope Rock Instabilities Monitored with the PSInSAR™ Technique. Remote Sens. 2013, 5, 4753-4773. https://doi.org/10.3390/rs5104753
Frattini P, Crosta GB, Allievi J. Damage to Buildings in Large Slope Rock Instabilities Monitored with the PSInSAR™ Technique. Remote Sensing. 2013; 5(10):4753-4773. https://doi.org/10.3390/rs5104753
Chicago/Turabian StyleFrattini, Paolo, Giovanni B. Crosta, and Jacopo Allievi. 2013. "Damage to Buildings in Large Slope Rock Instabilities Monitored with the PSInSAR™ Technique" Remote Sensing 5, no. 10: 4753-4773. https://doi.org/10.3390/rs5104753
APA StyleFrattini, P., Crosta, G. B., & Allievi, J. (2013). Damage to Buildings in Large Slope Rock Instabilities Monitored with the PSInSAR™ Technique. Remote Sensing, 5(10), 4753-4773. https://doi.org/10.3390/rs5104753
