Impact of Standing Water Level and Observation Time on Remote-Sensed Canopy Indices for Rice Nitrogen Status Monitoring
Abstract
1. Introduction
2. Materials and Methods
2.1. Study Site Description
2.2. Field Management
2.3. Water Management
2.4. Nitrogen Management
2.5. Water Layer Treatments
2.6. Remote Sensing Measurements
2.7. Crop Parameters
2.8. Data Analysis
3. Results
3.1. Biomass, N% and N Uptake
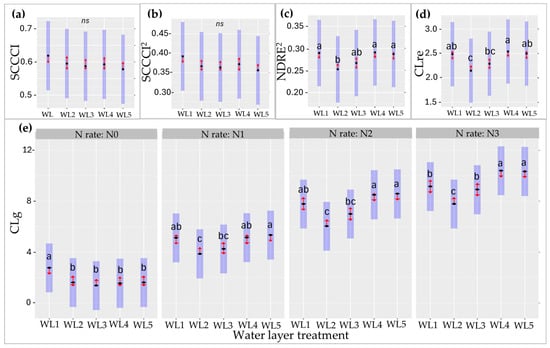
3.2. Spectral Measurements
3.3. Nitrogen Uptake Relationship with Vegetation Indices
3.4. Grain Yield and Quality
4. Discussion
4.1. Effect of Standing Water Layer and Time of Image Acquisition on the VIs
4.2. Relationship Between N Uptake and the Vegetation Indices
5. Conclusions
Author Contributions
Funding
Data Availability Statement
Acknowledgments
Conflicts of Interest
References
- Food and Agriculture Organization of the United Nations. Food Outlook–Biannual Report on Global Food Markets; FAO: Rome, Italy, 2024. [Google Scholar] [CrossRef]
- Durand-Morat, A.; Mulimbi, W. International Rice Outlook: International Rice Baseline Projections 2023–2033. Research Reports and Research Bulletins. Arkansas Agricultural Experiment Station. 2024. Available online: https://aaes.uada.edu/communications/publications/ (accessed on 5 December 2024).
- Yuan, S.; Linquist, B.A.; Wilson, L.T.; Cassman, K.G.; Stuart, A.M.; Pede, V.; Miro, B.; Saito, K.; Agustiani, N.; Aristya, V.E.; et al. Sustainable intensification for a larger global rice bowl. Nat. Commun. 2021, 12, 7163. [Google Scholar] [CrossRef]
- Van Ittersum, M.K.; Cassman, K.G.; Grassini, P.; Wolf, J.; Tittonell, P.; Hochman, Z. Yield gap analysis with local to global relevance—A review. Field Crops Res. 2013, 143, 4–17. [Google Scholar] [CrossRef]
- Kanke, Y.; Tubana, B.; Dalen, M.; Harrell, D. Evaluation of Red and Red-Edge Reflectance-Based Vegetation Indices for Rice Biomass and Grain Yield Prediction Models in Paddy Fields. Precis. Agric. 2016, 17, 507–530. [Google Scholar] [CrossRef]
- Sunrice–AgriFutures-RGA. Rice Extension; Annual Summary CY24; Rice Extension: Jerilderie, NSW, Australia, 2024; pp. 1–78. Available online: https://www.riceextension.au/industry-awards/cy24-annual-summary (accessed on 5 January 2025).
- Linquist, B.; Al-Khatib, K.; Brim-DeForest, W.; Espe, M.B.; Espino, L.; Leinfelder-Miles, M.; Stogsdill, J.R. Predictors of high rice yields in a high-yielding environment: Lessons from a yield contest. Field Crops Res. 2025, 322, 109693. [Google Scholar] [CrossRef]
- Carracelas, G.; Guilpart, N.; Cassman, K.G.; Grassini, P. Distinguishing between yield plateaus and yield ceilings: A case study of rice in Uruguay. Field Crops Res. 2023, 292, 108808. [Google Scholar] [CrossRef]
- Ghisleni Ribas, G.; Streck, N.A.; da Rosa Ulguim, A.; Selau Carlos, F.; Maus Alberto, C.; Mazzuco de Souza, P.; Bercellos, T.; Puntel, S.; Zanon, A.J. Assessing factors related to yield gaps in flooded rice in southern Brazil. Agron. J. 2021, 113, 3341–3350. [Google Scholar] [CrossRef]
- Meus, L.D.; Quintero, C.E.; da Silva, M.R.; Streck, N.A.; Carvalho, I.R.; Soares, M.F.; de Los Angeles Zarmero, M.; Ribas, G.G.; Zanon, A.J. Irrigated rice yield plateau is caused by management factors in Argentina. Agron. Sustain. Dev. 2024, 44, 44–56. [Google Scholar] [CrossRef]
- GYGA. Global Yield Gap Atlas. Available online: http://www.yieldgap.org/ (accessed on 17 January 2025).
- Pimentel, D.; Berger, B.; Filiberto, D.; Newton, M. Water resources: Agricultural and environmental issues. BioScience 2004, 54, 909–918. [Google Scholar] [CrossRef]
- Bouman, B.A.M.; Humphreys, E.; Tuong, T.P.; Barker, R. Rice and Water. Adv. Agron. 2007, 92, 187–237. [Google Scholar] [CrossRef]
- Mekonnen, M.M.; Hoekstra, A.Y. Sustainability: Four billion people facing severe water scarcity. Sci. Adv. 2016, 2, e1500323. [Google Scholar] [CrossRef]
- Bajwa, A.A.; Chauhan, B.S. Rice Production in Australia. In Rice Production Worldwide; Chauhan, B., Jabran, K., Mahajan, G., Eds.; Springer: Cham, Switzerland, 2017; pp. 169–184. [Google Scholar] [CrossRef]
- Groat, M. The Future of Australian Rice Production. A Focus on Water Use Efficiency in the Australian Temperate Rice System. A Report for Nuffield Australia Farming Scholars; Nuffield Australia: Sydney, NSW, Australia, 2020; pp. 1–44. Available online: https://www.mdba.gov.au/basin-plan (accessed on 5 July 2024).
- Champness, M.; Ballester-Lurbe, C.; Filev-Maia, R.; Hornbuckle, J. Smart sensing and automated irrigation for sustainable rice systems: A state of the art review. Adv. Agron. 2023, 177, 259–285. [Google Scholar] [CrossRef]
- Champness, M.; Ballester, C.; Hornbuckle, J. Effect of Soil Moisture Deficit on Aerobic Rice in Temperate Australia. Agronomy 2023, 13, 168. [Google Scholar] [CrossRef]
- Cassman, K.G.; Dobermann, A.; Walters, D.T. Agroecosystems, nitrogen-use efficiency, and nitrogen management. AMBIO J. Hum. Environ. 2002, 31, 132–140. [Google Scholar] [CrossRef]
- Ladha, J.K.; Jat, M.L.; Stirling, C.M.; Chakraborty, D.; Pradhan, P.; Krupnik, T.J.; Sapkota, T.B.; Pathak, H.; Rana, D.S.; Tesfaye, K.; et al. Achieving the sustainable development goals in agriculture: The crucial role of nitrogen in cereal-based systems. Adv. Agron. 2020, 163, 39–116. [Google Scholar] [CrossRef]
- Cassman, K.G.; Dobermann, A.; Walters, D.T.; Yang, H. Meeting cereal demand while protecting natural resources and improving environmental quality. Annu. Rev. Environ. Resour. 2003, 28, 315–358. [Google Scholar] [CrossRef]
- Zheng, J.; Song, X.; Yang, G.; Du, X.; Mei, X.; Yang, X. Remote Sensing Monitoring of Rice and Wheat Canopy Nitrogen: A Review. Remote Sens. 2022, 14, 22. [Google Scholar] [CrossRef]
- Gibson, K.E.B.; Gibson, J.P.; Grassini, P. Benchmarking irrigation water use in producer fields in the US central Great Plains. Environ. Res. Lett. 2019, 14, 054009. [Google Scholar] [CrossRef]
- Tenorio, F.A.M.; McLellan, E.L.; Eagle, A.J.; Cassman, K.G.; Andersen, D.; Krausnick, M.; Oaklund, R.; Thorburn, J.; Grassini, P. Benchmarking impact of nitrogen inputs on grain yield and environmental performance of producer fields in the western US Corn Belt. Agric. Ecosyst. Environ. 2020, 194, 106865. [Google Scholar] [CrossRef]
- Russell, C.A.; Dunn, B.W.; Batten, G.D.; Williams, R.L.; Angus, J.F. Soil tests to predict optimum fertilizer nitrogen rate for rice. Field Crops Res. 2006, 97, 286–301. [Google Scholar] [CrossRef]
- Dunn, B. Nitrogen Tissue Test for Rice Panicle Initiation. 2012. Available online: https://www.agrifutures.com.au/wp-content/uploads/publications/12-047.pdf (accessed on 23 January 2025).
- Dunn, B.W.; Dunn, T.S.; Orchard, B.A. Nitrogen rate and timing effects on growth and yield of drill-sown rice. Crop Pasture Sci. 2016, 67, 1149–1157. [Google Scholar] [CrossRef]
- Brinkhoff, J.; Dunn, B.W.; Robson, A.J.; Dunn, T.S.; Dehaan, R.L. Modeling mid-season rice nitrogen uptake using multispectral satellite data. Remote Sens. 2019, 11, 1837. [Google Scholar] [CrossRef]
- Kuenzer, C.; Knauer, K. Remote sensing of rice crop areas. Int. J. Remote Sens. 2013, 34, 2101–2139. [Google Scholar] [CrossRef]
- Lillesand, T.M.; Kiefer, R.W.; Chipman, J.M. Remote Sensing and Image Interpretation, 7th ed.; Wiley & Sons Inc.: Hoboken, NJ, USA, 2015; 720p. [Google Scholar]
- Hatfield, J.L.; Prueger, J.H.; Sauer, T.J.; Dold, C.; O’brien, P.; Wacha, K. Applications of vegetative indices from remote sensing to agriculture: Past and future. Inventions 2019, 4, 71. [Google Scholar] [CrossRef]
- Bassine, F.Z.; Epule, T.E.; Kechchour, A.; Chehbouni, A. Recent applications of machine learning, remote sensing, and iot approaches in yield prediction: A critical review. arXiv 2023, arXiv:abs/2306.04566. [Google Scholar]
- Brinkhoff, J.; Dunn, B.W.; Robson, A.J. Rice nitrogen status detection using commercial-scale imagery. Int. J. Appl. Earth Obs. Geoinf. 2021, 105, 102627. [Google Scholar] [CrossRef]
- Dunn, B.; Dunn, T. Agronomy and Remote Sensing to Maximise Rice Water Productivity; Agrifutures: Wagga Wagga, NSW, Australia, 2024; pp. 24–234. Available online: https://agrifutures.com.au/product/agronomy-and-remote-sensing-to-maximise-rice-water-productivity/ (accessed on 9 January 2025).
- Nagol, J.R.; Sexton, J.; Kim, D.-H.; Anand, A.; Morton, D.; Vermote, E.; Townshend, J.R. Bidirectional effects in Landsat reflectance estimates: Is there a problem to solve? ISPRS J. Photogramm. Remote Sens. 2015, 103, 129–135. [Google Scholar] [CrossRef]
- Li, D.; Wang, X.; Zheng, H.; Zhou, K.; Yao, X.; Tian, Y.; Zhu, Y.; Cao, W.; Cheng, T. Estimation of area and mass-based leaf nitrogen contents of wheat and rice crops from water-removed spectra using continuous wavelet analysis. Plant Methods 2018, 14, 76. [Google Scholar] [CrossRef]
- Li, D.; Chen, J.M.; Zhang, X.; Yan, Y.; Zhu, J.; Zheng, H.; Zhou, K.; Yao, X.; Tian, Y.; Zhu, Y.; et al. Improved estimation of leaf chlorophyll content of row crops from canopy reflectance spectra through minimizing canopy structural effects and optimizing off-noon observation time. Remote Sens. Environ. 2020, 248, 111985. [Google Scholar] [CrossRef]
- Brinkhoff, J.; Dunn, B.W.; Hart, J.; Dunn, T. Impact of UAV Time-of-Flight on Rice Nitrogen Uptake Models. In Proceedings of the IGARSS 2020, IEEE International Geoscience and Remote Sensing Symposium, Waikoloa, HI, USA, 26 September–2 October 2020; pp. 4355–4358. [Google Scholar] [CrossRef]
- Wang, W.; Zheng, H.; Wu, Y.; Yao, X.; Zhu, Y.; Cao, W.; Cheng, T. An assessment of background removal approaches for improved estimation of rice leaf nitrogen concentration with unmanned aerial vehicle multispectral imagery at various observation times. Field Crops Res. 2022, 283, 108543. [Google Scholar] [CrossRef]
- Zarco-Tejada, P.J.; Miller, J.R.; Morales, A.; Berj´on, A.; Agüera, J. Hyperspectral indices and model simulation for chlorophyll estimation in open-canopy tree crops. Remote Sens. Environ. 2004, 90, 463–476. [Google Scholar] [CrossRef]
- Jay, S.; Baret, F.; Dutartre, D.; Malatesta, G.; H´eno, S.; Comar, A.; Weiss, M.; Maupas, F. Exploiting the centimeter resolution of UAV multispectral imagery to improve remote-sensing estimates of canopy structure and biochemistry in sugar beet crops. Remote Sens. Environ. 2019, 231, 110898. [Google Scholar] [CrossRef]
- Berger, K.; Machwitz, M.; Kycko, M.; Kefauver, S.C.; Van Wittenberghe, S.; Gerhards, M.; Verrelst, J.; Atzberger, C.; van der Tol, C.; Damm, A.; et al. Multi-sensor spectral synergies for crop stress detection and monitoring in the optical domain: A review. Remote Sens. Environ. 2022, 280, 113198. [Google Scholar] [CrossRef]
- Hoshi, T.; Ishida, T.; Nakayama, K. Experimental Study on the Spectral Reflectance of Paddy Soils in the Field Survey; Institute of Information Science and Electronics, University of Tsukuba, Japan: Tsukuba, Japan, 1984. [Google Scholar]
- Beget, M.E.; di Bella, C.M. Flooding: The effect of water depth on the spectral response of grass canopies. J. Hydrol. 2007, 335, 285–294. [Google Scholar] [CrossRef]
- Sun, T.; Fang, H.; Liu, W.; Ye, Y. Impact of water background on canopy reflectance anisotropy of a paddy rice field from multi-angle measurements. Agric. For. Meteorol. 2017, 233, 143–152. [Google Scholar] [CrossRef]
- Carracelas, G.; Ballester, C.; Marchesi, C.; Roel, A.; Hornbuckle, J. Assessing Drone-Based Remote Sensing Indices for Monitoring Rice Nitrogen Plant Status Under Different Irrigation Techniques. Agronomy 2024, 14, 2976. [Google Scholar] [CrossRef]
- Hornbuckle, J.; Christen, E. Physical Properties of Soils in the Murrumbidgee and Coleambally Irrigation Areas. CSIRO Land and Water Technical Report 17/99. 1999. Available online: https://www.researchgate.net/publication/267717578_Physical_Properties_of_Soils_in_Murrumbidgee_and_Coleambally_Irrigation_Areas (accessed on 10 January 2025).
- Albrecht, W.A. The Foundation of Soil Fertility. In The Albrecht Papers, Volume 1: Foundation Concepts; Soil Science Society of America; Acres U.S.A.: Viroqua, WI, USA, 1975. [Google Scholar]
- Reams, C.A. Biological Ionization and Soil Fertility: The Reams Biological Theory of Ionization; Reams Biological Institute: Winter Haven, FL, USA, 1980. [Google Scholar]
- Williams, R.L.; Angus, J.F. Deep floodwater protects high-nitrogen rice crops from low-temperature damage. Aust. J. Exp. Agric. 1994, 34, 927–932. [Google Scholar] [CrossRef]
- Dunn, T.; Dunn, B. Rice Water Depth Management at Microspore. Department of Primary Industries. DPI. Department of Regional NSW. Primefact 1340. 2023. pp. 1–3. Available online: https://www.dpi.nsw.gov.au/__data/assets/pdf_file/0006/439386/Rice-water-depth-management-at-microspore.pdf (accessed on 20 January 2025).
- Counce, P.A.; Keisling, T.C.; Mitchell, A.J. A uniform, objective, and adaptative system for expressing rice development. Crop Sci. 2000, 40, 436–443. [Google Scholar] [CrossRef]
- Gitelson, A.A.; Gritz, Y.; Merzlyak, M.N. Relationships between leaf chlorophyll content and spectral reflectance and al-gorithms for non-destructive chlorophyll assessment in higher plant leaves. J. Plant Physiol. 2003, 160, 271–282. [Google Scholar] [CrossRef]
- Gitelson, A.A.; Merzlyak, M.N. Non-Destructive Assessment of Chlorophyll, Carotenoid and Anthocyanin Content in Higher Plant Leaves: Principles and Algorithms. In Proceeding of the Conference Remote Sensing for Agriculture and the Environment (S.Stamatiadis, J.M. Lynch, J.S. Schepers Eds.) Ella, Greece, 2004, 78–94. Papers in Natural Resources. 263. Available online: https://digitalcommons.unl.edu/natrespapers/263/ (accessed on 30 December 2024).
- Gitelson, A.A.; Viña, A.; Ciganda, V.; Rundquist, D.C.; Arkebauer, T.J. Remote estimation of canopy chlorophyll content in crops. Geophys. Res. Lett. 2005, 32, L08403. [Google Scholar] [CrossRef]
- Raper, T.B.; Varco, J.J. Canopy-scale wavelength and vegetative index sensitivities to cotton growth parameters and nitrogen status. Precis. Agric. 2015, 16, 62–76. [Google Scholar] [CrossRef]
- Dunn, T.; Dunn, B. Identifying Panicle Initiation in Rice; Primefact 1278, Fourth Edition. June 2018. Available online: https://www.dpi.nsw.gov.au/__data/assets/pdf_file/0003/449823/Identifying-panicle-initiation-in-rice.pdf (accessed on 6 December 2024).
- FOSS Analytics. Infratec 1241 Grain Analyzer. Available online: https://www.fossanalytics.com/en/search?query=Infratec%201241%20Grain%20Analyzer (accessed on 5 January 2024).
- Pfeuffer. SLN Sample Cleaner. Model SN3. Sieve Machine with Sorting Sieve. Available online: https://www.pfeuffer.com/product/sln-sample-cleaner (accessed on 17 January 2025).
- PaddyVision®. Rapid Analysis of Paddy Rice Quality. Available online: https://paddyvision.com/ (accessed on 13 July 2024).
- Talbot, M. Paddyvision®: Rapid Analysis of Paddy Rice Quality at the Point of Receival. IREC Farmers’ Newsletter No. 210—Spring 2023. Available online: https://irec.org.au/wp-content/uploads/IREC-quicktake-Spring-210-1.pdf (accessed on 13 February 2025).
- R Core Team. R: A Language and Environment for Statistical Computing; R Foundation for Statistical Computing: Vienna, Austria, 2022; Available online: http://www.R-project.org/ (accessed on 1 October 2024).
- Chambers, J.M. Linear Models. In Statistical Models in S; Chambers, J.M., Hastie, T.J., Eds.; Routledge: New York, NY, USA, 1992. [Google Scholar] [CrossRef]
- Bates, D.M.; Watts, D.G. Nonlinear Regression Analysis and Its Applications; John Wiley & Sons, Inc.: Hoboken, NJ, USA, 1988. [Google Scholar]
- Bates, D.M.; Chambers, J.M. Nonlinear Models. In Statistical Models in S; Chambers, J.M., Hastie, T.J., Eds.; Wadsworth & Brooks/Cole: Pacific Grove, CA, USA, 1992. [Google Scholar] [CrossRef]
- Inoue, Y.; Sakaiya, E.; Zhu, Y.; Takahashi, W. Diagnostic mapping of canopy nitrogen content in rice based on hyperspectral measurements. Remote Sens. Environ. 2012, 126, 210–221. [Google Scholar] [CrossRef]
- Huang, S.; Miao, Y.; Yuan, F.; Gnyp, M.L.; Yao, Y.; Cao, Q.; Wang, H.; Lenz-Wiedemann, V.I.S.; Bareth, G. Potential of RapidEye and WorldView-2 Satellite Data for Improving Rice Nitrogen Status Monitoring at Different Growth Stages. Remote Sens. 2017, 9, 227. [Google Scholar] [CrossRef]
- Ballester, C.; Hornbuckle, J.; Brinkhoff, J.; Smith, J.; Quayle, W. Assessment of in-season cotton nitrogen status and lint yield prediction from unmanned aerial system imagery. Remote Sens. 2017, 9, 1149. [Google Scholar] [CrossRef]
- Ballester, C.; Brinkhoff, J.; Quayle, W.C.; Hornbuckle, J. Monitoring the effects of water stress in cotton using the green, red vegetation index and red edge ratio. Remote Sens. 2019, 11, 873. [Google Scholar] [CrossRef]
- Zheng, H.; Cheng, T.; Li, D.; Yao, X.; Tian, Y.; Cao, W.; Zhu, Y. Combining unmanned aerial vehicle (UAV)-based multispectral imagery and ground-based hyperspectral data for plant nitrogen concentration estimation in rice. Front. Plant Sci. 2018, 9, 936. [Google Scholar] [CrossRef] [PubMed]
- Shibayama, M.; Takahashi, W.; Morinaga, S.; Akiyama, T. Canopy Water Deficit Detection in Paddy Rice Using a High-Resolution Field Spectroradiometer. Remote Sens. Environ. 1993, 45, 117–126. [Google Scholar] [CrossRef]
- Li, G.S.; Wu, D.H.; Su, Y.C.; Kuo, B.J.; Yang, M.D.; Lai, M.H.; Lu, H.Y.; Yang, C.Y. Prediction of plant nutrition state of rice under water-saving cultivation and panicle fertilization application decision making. Agronomy 2021, 11, 1626. [Google Scholar] [CrossRef]
- Carracelas, G.; Hornbuckle, J.; Rosas, J.; Roel, A. Irrigation management strategies to increase water productivity in Oryza sativa (rice) in Uruguay. Agric. Water Manag. 2019, 222, 161–172. [Google Scholar] [CrossRef]
- Kato, Y.; Okami, M.; Katsura, K. Yield potential and water use efficiency of aerobic rice (Oryza sativa L.) in Japan. Field Crops Res. 2009, 113, 328–334. [Google Scholar] [CrossRef]











| Soil Parameters | Average | Soil Parameters | Average |
|---|---|---|---|
| pH (water) | 7.0 | Zn-Zinc (mg/kg) | 0.7 |
| pH (CaCl2) | 6.2 | Mn-Manganese (mg/kg) | 19.0 |
| Estimated Organic Matter (% OM) | 1.2 | Fe-Iron (mg/kg) | 47.1 |
| Phosphorus (mg/kg P) (Colwell) | 30.9 | Cu-Copper (mg/kg) | 1.8 |
| Nitrate Nitrogen (mg/kg N) | 8.1 | B-Boron (mg/kg) | 1.3 |
| Ammonium Nitrogen (mg/kg N) | 1.0 | Si-Silicon (mg/kg Si) | 104.8 |
| Sulfur (mg/kg S) | 26.3 | Total Nitrogen (%) | 0.1 |
| Electrical Conductivity (dS/m) | 0.1 | Carbon/Nitrogen Ratio | 6.5 |
| Ca—Exchangeable Calcium (mg/kg) | 1902.1 | Texture (ISSS classification) | Clay |
| Mg—Exchangeable Magnesium (mg/kg) | 896.4 | Sand > 20 µm | 40.5% |
| K—Exchangeable Potassium (mg/kg) | 258.0 | Silt (2−20 µm) | 11.6% |
| Na—Exchangeable Sodium (mg/kg) | 168.8 | Clay (<2 µm) | 47.8% |
| Al—Exchangeable Aluminium (mg/kg) | 3.0 | Gravel > 2 mm | 0.1% |
| ECEC—Effective Cation Exchange Capacity (cmol+/kg) | 18.3 | Basic Soil Color | Brownish |
| Water Layer Treatment | Water Height Average (cm) | UAV Flight Time |
|---|---|---|
| WL1 | 0 | 12:18 |
| WL2 | 8 | 13:35 |
| WL3 | 12 | 14:30 |
| WL4 | 16 | 15:32 |
| WL5 | 20 | 16:30 |
| Vegetation Index | Formulation | References |
|---|---|---|
| Squared of normalized difference red edge | NDRE2 | [28] |
| Chlorophyll green | Clg | [53,54,55] |
| Chlorophyll red-edge | Clre | [53,55] |
| Simplified canopy chlorophyll content index | SCCCI | [56] |
| Squared of simplified canopy chlorophyll content index | SCCCI2 | Current study |
| Treatments | Biomass DM Kg ha−1 | N % | N Uptake Kg N ha−1 |
|---|---|---|---|
| Irrigation | |||
| Aerobic | 8094 | 1.62 | 142 |
| Traditional | 9741 | 1.55 | 163 |
| Irrigation effect | ns | ns | ns |
| N rate | |||
| N0 | 5575 c | 0.96 c | 54.2 c |
| N1 | 8202 bc | 1.18 c | 98.0 c |
| N2 | 10,993 a | 1.81 b | 197.3 b |
| N3 | 10,898 ab | 2.39 a | 260.5 a |
| N rate effect | *** | *** | *** |
| Irrigation × N rate effect | ns | ns | ns |
| Mean | 8917 | 1.59 | 152.5 |
| Treatments | Rice Yield (14%) Mg ha−1 | Grain Milling Quality | |||
|---|---|---|---|---|---|
| Cracked % | Pearled % | Immature % | Score | ||
| Irrigation | |||||
| Aerobic | 10.4 | 21.0 | 0.18 | 8.9 | 7.0 |
| Traditional | 10.3 | 32.1 | 0.20 | 3.8 | 6.4 |
| Irrigation effect | ns | ns | ns | ns | ns |
| N rate | |||||
| N0 | 6.4 c | 31.4 a | 0.23 | 2.5 b | 6.6 ab |
| N1 | 10.0 b | 40.4 a | 0.14 | 3.6 b | 5.6 b |
| N2 | 12.0 ab | 23.8 ab | 0.05 | 7.6 ab | 6.9 a |
| N3 | 13.1 a | 10.7 b | 0.36 | 11.7 a | 7.8 a |
| N-rate effect | *** | *** | ns | *** | * |
| Irrigation × N-rate effect | ns | ns | ns | ns | ns |
| Mean | 10.4 | 26.6 | 0.19 | 6.4 | 6.7 |
Disclaimer/Publisher’s Note: The statements, opinions and data contained in all publications are solely those of the individual author(s) and contributor(s) and not of MDPI and/or the editor(s). MDPI and/or the editor(s) disclaim responsibility for any injury to people or property resulting from any ideas, methods, instructions or products referred to in the content. |
© 2025 by the authors. Licensee MDPI, Basel, Switzerland. This article is an open access article distributed under the terms and conditions of the Creative Commons Attribution (CC BY) license (https://creativecommons.org/licenses/by/4.0/).
Share and Cite
Carracelas, G.; Hornbuckle, J.; Ballester, C. Impact of Standing Water Level and Observation Time on Remote-Sensed Canopy Indices for Rice Nitrogen Status Monitoring. Remote Sens. 2025, 17, 1045. https://doi.org/10.3390/rs17061045
Carracelas G, Hornbuckle J, Ballester C. Impact of Standing Water Level and Observation Time on Remote-Sensed Canopy Indices for Rice Nitrogen Status Monitoring. Remote Sensing. 2025; 17(6):1045. https://doi.org/10.3390/rs17061045
Chicago/Turabian StyleCarracelas, Gonzalo, John Hornbuckle, and Carlos Ballester. 2025. "Impact of Standing Water Level and Observation Time on Remote-Sensed Canopy Indices for Rice Nitrogen Status Monitoring" Remote Sensing 17, no. 6: 1045. https://doi.org/10.3390/rs17061045
APA StyleCarracelas, G., Hornbuckle, J., & Ballester, C. (2025). Impact of Standing Water Level and Observation Time on Remote-Sensed Canopy Indices for Rice Nitrogen Status Monitoring. Remote Sensing, 17(6), 1045. https://doi.org/10.3390/rs17061045

