Spatial Estimation of Soil Organic Matter and Total Nitrogen by Fusing Field Vis–NIR Spectroscopy and Multispectral Remote Sensing Data
Abstract
1. Introduction
2. Materials and Methods
2.1. Study Area and Soil Sampling
2.2. Data Acquisition and Treatment
2.2.1. Chemical Analysis and Spectra Measurement
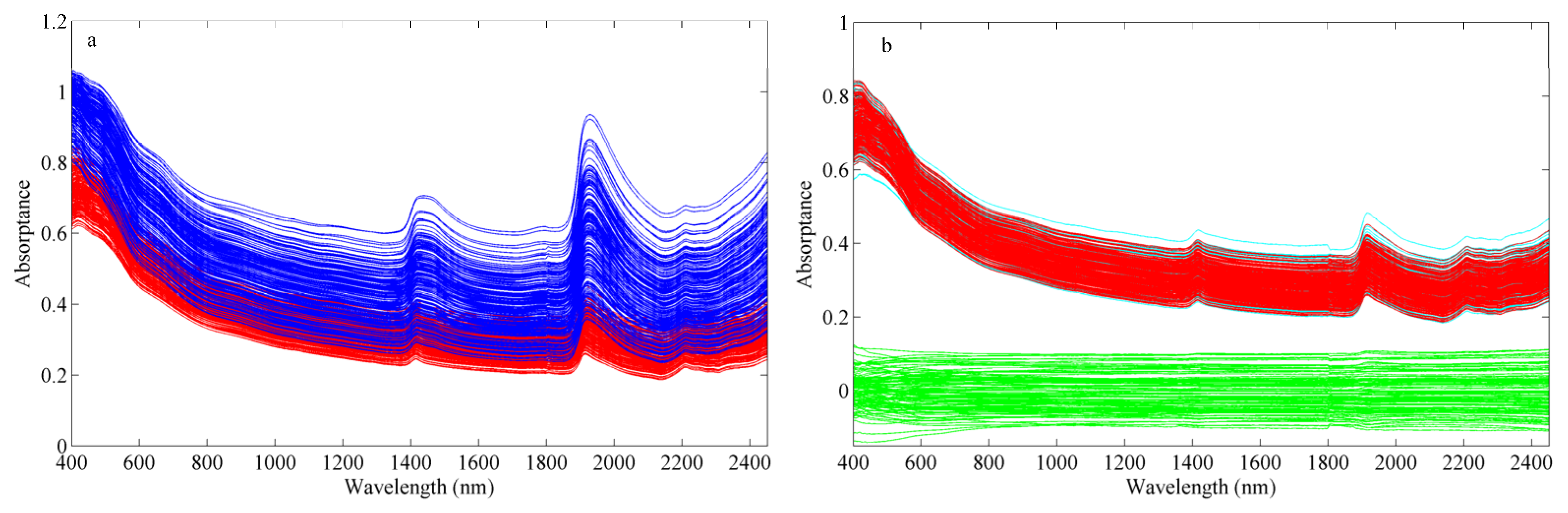
2.2.2. Spectra Preprocessing
2.2.3. Remote Sensing Data Acquisition
2.2.4. Remote Sensing Data Preprocessing and Spectra Indices Calculation
2.3. Estimation Model
2.4. Model Development and Performance Evaluation
3. Results
3.1. Descriptive Statistics of SOM and TN
3.2. Estimation of SOM and TN Using Remote Sensing Data
3.3. Field Spectra Transformation and PCA Analysis
3.4. Estimation of SOM and TN Through the Synergistic Use of Field Spectra and GF-1 Data
3.5. Spatial Analysis of SOM and TN
4. Discussion
5. Conclusions
Author Contributions
Funding
Data Availability Statement
Conflicts of Interest
References
- Johnston, A.E.; Poulton, P.R.; Coleman, K. Soil Organic Matter: Its Importance in Sustainable Agriculture and Carbon Dioxide Fluxes. Adv. Agron. 2009, 101, 1–57. [Google Scholar]
- Reeves, D.W. The role of soil organic matter in maintaining soil quality in continuous cropping systems. Soil Tillage Res. 1997, 43, 131–167. [Google Scholar] [CrossRef]
- von Braun, J.; Afsana, K.; Fresco, L.O.; Hassan, M. Food systems: Seven priorities to end hunger and protect the planet. Nature 2021, 597, 28–30. [Google Scholar] [CrossRef] [PubMed]
- Stenberg, B.; Viscarra Rossel, R.A.; Mouazen, A.M.; Wetterlind, J. Visible and near infrared spectroscopy in soil science. Adv. Agron. 2010, 107, 163–215. [Google Scholar]
- Mouazen, A.M.; Kuang, B. On-line visible and near infrared spectroscopy for in-field phosphorous management. Soil Tillage Res. 2016, 155, 471–477. [Google Scholar] [CrossRef]
- Xu, D.; Chen, S.; Viscarra Rossel, R.A.; Biswas, A.; Li, S.; Zhou, Y.; Shi, Z. X-ray fluorescence and visible near infrared sensor fusion for predicting soil chromium content. Geoderma 2019, 352, 61–69. [Google Scholar] [CrossRef]
- Xu, D.; Zhao, R.; Li, S.; Chen, S.; Jiang, Q.; Zhou, L.; Shi, Z. Multi-sensor fusion for the determination of several soil properties in the Yangtze River Delta, China. Eur. J. Soil Sci. 2019, 70, 162–173. [Google Scholar] [CrossRef]
- Gozukara, G.; Acar, M.; Ozlu, E.; Dengiz, O.; Hartemink, A.E.; Zhang, Y. A soil quality index using Vis-NIR and pXRF spectra of a soil profile. Catena 2022, 211, 105954. [Google Scholar] [CrossRef]
- Chang, C.W.; Laird, D.A.; Mausbach, M.J.; Hurburgh, C.R. Near infrared reflectance spectroscopy principal components regression analyses of soil properties. Soil Sci. Soc. Am. J. 2001, 65, 480–490. [Google Scholar] [CrossRef]
- Sorensen, L.K.; Dalsgaard, S. Determination of clay and other soil properties by near infrared spectroscopy. Soil Sci. Soc. Am. J. 2005, 69, 159–167. [Google Scholar] [CrossRef]
- Nocita, M.; Stevens, A.; Noon, C.; van Wesemael, B. Prediction of soil organic carbon for different levels of soil moisture using Vis-NIR spectroscopy. Geoderma 2013, 199, 37–42. [Google Scholar] [CrossRef]
- Ji, W.J.; Li, S.; Chen, S.C.; Shi, Z.; Rossel, R.A.V.; Mouazen, A.M. Prediction of soil attributes using the Chinese soil spectral library and standardized spectra recorded at field conditions. Soil Tillage Res. 2016, 155, 492–500. [Google Scholar] [CrossRef]
- Viscarra Rossel, R.A.; Walvoort, D.J.J.; McBratney, A.B.; Janik, L.J.; Skjemstad, J.O. Visible, near infrared, mid infrared or combined diffuse reflectance spectroscopy for simultaneous assessment of various soil properties. Geoderma 2006, 131, 59–75. [Google Scholar] [CrossRef]
- Shi, Z. Principle and Method of Soil Ground Hyperspectral Remote Sensing; Science Press: Beijing, China, 2014. (In Chinese) [Google Scholar]
- Bendor, E.; Banin, A. Near-infrared analysis as a rapid method to simultaneously evaluate several soil properties. Soil Sci. Soc. Am. J. 1995, 59, 364–372. [Google Scholar] [CrossRef]
- Martin, P.D.; Malley, D.F.; Manning, G.; Fuller, L. Determination of soil organic carbon and nitrogen at the field level using near-infrared spectroscopy. Can. J. Soil Sci. 2002, 82, 413–422. [Google Scholar] [CrossRef]
- Mulder, V.L.; de Bruin, S.; Schaepman, M.E.; Mayr, T.R. The use of remote sensing in soil and terrain mapping—A review. Geoderma 2011, 162, 1–19. [Google Scholar] [CrossRef]
- Grunwald, S.; Vasques, G.M.; Rivero, R.G. Fusion of soil and remote sensing data to model soil properties. Adv. Agron. 2015, 131, 1–109. [Google Scholar]
- Alabbas, A.H.; Swain, P.H.; Baumgardner, M.F. Relating organic-matter and clay content to multispectral radiance of soils. Soil Sci. 1972, 114, 477–485. [Google Scholar] [CrossRef]
- Chen, F.; Kissel, D.E.; West, L.T.; Adkins, W. Field-Scale Mapping of Surface Soil Organic Carbon Using Remotely Sensed Imagery. Soil Sci. Soc. Am. J. 2000, 64, 746–753. [Google Scholar] [CrossRef]
- Fox, G.A.; Sabbagh, G.J. Estimation of Soil Organic Matter from Red and Near-Infrared Remotely Sensed Data Using a Soil Line Euclidean Distance Technique. Soil Sci. Soc. Am. J. 2002, 66, 1922–1929. [Google Scholar] [CrossRef]
- Castaldi, F.; Palombo, A.; Santini, F.; Pascucci, S.; Pignatti, S.; Casa, R. Evaluation of the potential of the current and forthcoming multispectral and hyperspectral imagers to estimate soil texture and organic carbon. Remote Sens. Environ. 2016, 179, 54–65. [Google Scholar] [CrossRef]
- Angelopoulou, T.; Chabrillat, S.; Pignatti, S.; Milewski, R.; Karyotis, K.; Brell, M.; Ruhtz, T.; Bochtis, D.; Zalidis, G. Evaluation of airborne hySpex and spaceborne PRISMA hyperspectral remote sensing data for soil organic matter and carbonates estimation. Remote Sens. 2023, 15, 1106. [Google Scholar] [CrossRef]
- Castaldi, F.; Hueni, A.; Chabrillat, S.; Ward, K.; Buttafuoco, G.; Bomans, B.; Vreys, K.; Brell, M.; van Wesemael, B. Evaluating the capability of the Sentinel 2 data for soil organic carbon prediction in croplands. ISPRS J. Photogramm. Remote Sens. 2019, 147, 267–282. [Google Scholar] [CrossRef]
- Gholizadeh, A.; Žižala, D.; Saberioon, M.; Borůvka, L. Soil organic carbon and texture retrieving and mapping using proximal, airborne and Sentinel-2 spectral imaging. Remote Sens. Environ. 2018, 218, 89–103. [Google Scholar] [CrossRef]
- van Wesemael, B.; Chabrillat, S.; Sanz Dias, A.; Berger, M.; Szantoi, Z. Remote sensing for soil organic carbon mapping and monitoring. Remote Sensing. 2023, 15, 3464. [Google Scholar] [CrossRef]
- Chen, S.; Richer-de-Forges, A.C.; Mulder, V.L.; Martelet, G.; Loiseau, T.; Lehmann, S.; Arrouays, D. Digital mapping of the soil thickness of loess deposits over a calcareous bedrock in central France. Catena 2021, 198, 105062. [Google Scholar] [CrossRef]
- Li, P.; Wu, X.; Feng, C.; Gao, L.; Li, Q.; Xu, J.; Li, B. Assessing the potential of multi-source remote sensing data for cropland soil organic matter mapping in hilly and mountainous areas. Catena 2024, 245, 108312. [Google Scholar]
- Ji, X.; Purushothaman, B.; Venkatesha Prasad, R.; Aravind, P.V. Developing a digital mapping of soil organic carbon on a national scale using Sentinel-2 and hybrid models at varying spatial resolutions. Ecol. Indic. 2024, 167, 112654. [Google Scholar] [CrossRef]
- BenDor, E. Quantitative remote sensing of soil properties. Adv. Agron. 2002, 75, 173–243. [Google Scholar]
- Savitzky, A.; Golay, M.J.E. Smoothing + differentiation of data by simplified least squares procedures. Anal. Chem. 1964, 36, 1627. [Google Scholar] [CrossRef]
- Wang, Y.D.; Veltkamp, D.J.; Kowalski, B.R. Multivariate Instrument Standardization. Anal. Chem. 1991, 63, 2750–2756. [Google Scholar] [CrossRef]
- Viscarra Rossel, R.A.; Chen, C. Digitally mapping the information content of visible–near infrared spectra of surficial Australian soils. Remote Sens. Environ. 2011, 115, 1443–1455. [Google Scholar] [CrossRef]
- R Core Team. R: A Language and Environment for Statistical Computing; R Foundation for Statistical Computing: Vienna, Austria, 2022; Available online: https://www.r-project.org/ (accessed on 23 June 2022).
- Bivand, R.; Keitt, T.; Rowlingson, B. rgdal: Bindings for the ’Geospatial’ Data Abstraction Library. R Package Version 1.5-12. 2020. Available online: https://CRAN.R-project.org/package=rgdal (accessed on 26 June 2020).
- Rouse, J.W.; Haas, J.R.H.; Schell, J.A.; Deering, D.W. Monitoring vegetation systems in the Great Plains witherts. In Proceedings of the 3rd ERTS Symposium, Washington, DC, USA, 10–14 December 1973. [Google Scholar]
- Nellis, M.D.; Briggs, J.M. Transformed vegetation index for measuring spatial variation in drought impactedbiomass on Konza Prairie, Kansas. Trans. Kans. Acad. Sci. 1992, 95, 93–99. [Google Scholar] [CrossRef]
- Huete, A.; Didan, K.; Miura, T.; Rodriguez, E.P.; Gao, X.; Ferreira, L.G. Overview of the radiometric and biophysical performance of the MODIS vegetation indices. Remote Sens. Environ. 2002, 83, 195–213. [Google Scholar] [CrossRef]
- Huete, A.R. A soil-adjusted vegetation index (SAVI). Remote Sens. Environ. 1988, 25, 295–309. [Google Scholar] [CrossRef]
- Gitelson, A.A.; Kaufman, Y.J.; Merzlyak, M.N. Use of a green channel in remote sensing of global vegetation from EOS-MODIS. Remote Sens. Environ. 1996, 58, 289–298. [Google Scholar] [CrossRef]
- Tucker, C.J. Red and photographic infrared linear combinations for monitoring vegetation. Remote Sens. Environ. 1979, 8, 127–150. [Google Scholar] [CrossRef]
- Escadafal, R. Remote sensing of arid soil surface color with Landsat Thematic Mapper. Adv. Space Res. 1989, 9, 159–163. [Google Scholar] [CrossRef]
- Pouget, M.; Madeira, J.; Le Floch, E.; Kamal, S. Caracteristiques spectrales des surfaces sableuses de la region cot&e Nord-Ouest de I’Egypte: Application aux don&es satellitaires SPOT. In 2eme JoumCes de T&detection: Caracterisation et Suivi des Milieux Terrestres en Regions Arides et Tropicales; 4–6/12/1990; ORSTOM, Collection Colloques et Seminaires: Paris, France, 1990. [Google Scholar]
- Jordan, C.F. Derivation of leaf-area index from quality of light on forest floor. Ecology 1969, 50, 663–666. [Google Scholar] [CrossRef]
- Wold, S.; Martens, H.; Wold, H. The multivariate calibration-problem in chemistry solved by the PLS method. Lect. Notes Math. 1983, 973, 286–293. [Google Scholar]
- Næsset, E.; Bollandsas, O.M.; Gobakken, T. Comparing regression methods in estimation of biophysical properties of forest stands from two different inventories using laser scanner data. Remote Sens. Environ. 2005, 94, 541–553. [Google Scholar] [CrossRef]
- Breiman, L. RandomForests. Mach. Learn. 2001, 45, 5–32. [Google Scholar] [CrossRef]
- Hu, B.; Xie, M.; Zhou, Y.; Chen, S.; Zhou, Y.; Ni, H.; Peng, J.; Ji, W.; Hong, Y.; Li, H.; et al. A high-resolution map of soil organic carbon in cropland of Southern China. Catena 2024, 237, 107813. [Google Scholar] [CrossRef]
- Xu, D.Y.; Chen, S.C.; Xu, H.Y.; Wang, N.; Zhou, Y.; Shi, Z. Data fusion for the measurement of potentially toxic elements in soil using portable spectrometers. Environ. Pollut. 2020, 263, 114649. [Google Scholar] [CrossRef] [PubMed]
- Lin, L.I. A Concordance Correlation Coefficient to Evaluate Reproducibility. Biometrics 1989, 45, 255–268. [Google Scholar] [CrossRef]
- Kennard, R.W.; Stone, L.A. Computer aided design of experiments. Technometrics 1969, 11, 137–148. [Google Scholar] [CrossRef]
- Liang, Z.; Chen, S.; Yang, Y.; Zhao, R.; Shi, Z.; Rossel, R.A.V. National digital soil map of organic matter in topsoil and its associated uncertainty in 1980’s China. Geoderma 2019, 335, 47–56. [Google Scholar] [CrossRef]
- Lamichhane, S.; Adhikari, K.; Kumar, L. Use of Multi-Seasonal Satellite Images to Predict SOC from Cultivated Lands in a Montane Ecosystem. Remote Sens. 2021, 13, 4772. [Google Scholar] [CrossRef]
- Chen, S.; Arrouays, D.; Mulder, V.L.; Poggio, L.; Minasny, B.; Roudier, P.; Libohova, Z.; Lagacherie, P.; Shi, Z.; Hannam, J.; et al. Digital mapping of GlobalSoilMap soil properties at a broad scale: A review. Geoderma 2022, 409, 115567. [Google Scholar] [CrossRef]
- Chen, S.; Chen, Z.; Zhang, X.; Luo, Z.; Schillaci, C.; Arrouays, D.; Richer-de-Forges, A.C.; Shi, Z. European topsoil bulk density and organic carbon stock database (0–20 cm) using machine-learning-based pedotransfer functions. Earth Syst. Sci. Data 2024, 16, 2367–2383. [Google Scholar] [CrossRef]
- Gomez, C.; Adeline, K.; Bacha, S.; Driessen, B.; Gorretta, N.; Lagacherie, P.; Roger, J.M.; Briottet, X. Sensitivity of clay content prediction to spectral configuration of VNIR/SWIR imaging data, from multispectral to hyperspectral scenarios. Remote Sens. Environ. 2018, 204, 18–30. [Google Scholar] [CrossRef]
- Minasny, B.; McBratney, A.B.; Bellon-Maurel, V.; Roger, J.M.; Gobrecht, A.; Ferrand, L.; Joalland, S. Removing the effect of soil moisture from NIR diffuse reflectance spectra for the prediction of soil organic carbon. Geoderma 2011, 167–168, 118–124. [Google Scholar] [CrossRef]
- Guerrero, C.; Stenberg, B.; Wetterlind, J.; Rossel RA, V.; Maestre, F.T.; Mouazen, A.M.; Zornoza, R.; Ruiz-Sinoga, J.D.; Kuang, B. Assessment of soil organic carbon at local scale with spiked NIR calibrations: Effects of selection and extra-weighting on the spiking subset. Eur. J. Soil Sci. 2014, 65, 248–263. [Google Scholar] [CrossRef]
- BenDor, E.; Inbar, Y.; Chen, Y. The reflectance spectra of organic matter in the visible near-infrared and short wave infrared region (400–2500 nm) during a controlled decomposition process. Remote Sens. Environ. 1997, 61, 1–15. [Google Scholar] [CrossRef]
- Viscarra Rossel, R.A.; Behrens, T. Using data mining to model and interpret soil diffuse reflectance spectra. Geoderma 2010, 158, 46–54. [Google Scholar] [CrossRef]
- Xu, D.; Ma, W.; Chen, S.; Jiang, Q.; He, K.; Shi, Z. Assessment of important soil properties related to Chinese Soil Taxonomy based on vis–NIR reflectance spectroscopy. Comput. Electron. Agric. 2018, 144, 1–8. [Google Scholar] [CrossRef]
- Clark, R.N. Spectroscopy of rocks and minerals, and principles of spectroscopy. In Remote Sensing for the Earth Sciences: Manual of Remote Sensing; Rencz, N., Ed.; John Wiley & Sons: New York, NY, USA, 1999. [Google Scholar]
- Demattê, J.A.M.; Horak-Terra, I.; Beirigo, R.M.; Terra, F.d.S.; Prazeres Marques, K.P.; Fongaro, C.T.; Silva, A.C.; Vidal-Torrado, P. Genesis and properties of wetland soils by VIS-NIR-SWIR as a technique for environmental monitoring. J. Environ. Manag. 2017, 197, 50–62. [Google Scholar] [CrossRef] [PubMed]
- Dotto, A.C.; Dalmolin, R.S.D.; ten Caten, A.; Grunwald, S. A systematic study on the application of scatter-corrective and spectral-derivative preprocessing for multivariate prediction of soil organic carbon by Vis-NIR spectra. Geoderma 2018, 314, 262–274. [Google Scholar] [CrossRef]
- Meng, X.; Bao, Y.; Wang, Y.; Zhang, X.; Liu, H. An advanced soil organic carbon content prediction model via fused temporal-spatial-spectral (TSS) information based on machine learning and deep learning algorithms. Remote Sens. Environ. 2022, 280, 113166. [Google Scholar] [CrossRef]
- Yang, Y.; Viscarra Rossel, R.A.; Li, S.; Bissett, A.; Lee, J.; Shi, Z.; Behrens, T.; Court, L. Soil bacterial abundance and diversity better explained and predicted with spectro-transfer functions. Soil Biol. Biochem. 2019, 129, 29–38. [Google Scholar] [CrossRef]
- Zhou, Y.; Biswas, A.; Ma, Z.; Lu, Y.; Chen, Q.; Shi, Z. Revealing the scale-specific controls of soil organic matter at large scale in Northeast and North China Plain. Geoderma 2016, 271, 71–79. [Google Scholar] [CrossRef]










| Satellite | Band | Band Range (nm) | Resolution (m) | |
|---|---|---|---|---|
| GF-1 | Panchromatic image | 450~900 | 2 | |
| Multispectral image | 1 (blue) | 450~520 | 8 | |
| 2 (green) | 530~590 | 8 | ||
| 3 (red) | 630~690 | 8 | ||
| 4 (near infrared) | 770~890 | 8 | ||
| Index | Definition | Reference |
|---|---|---|
| NDVI | [36] | |
| TVI | [37] | |
| EVI | [38] | |
| SAVI | [39] | |
| GNDVI | [40] | |
| GRVI | [41] | |
| BI | [42] | |
| BI2 | [42] | |
| RI | [43] | |
| V | [44] |
| Properties | Dataset | N | Max. | Median | Min. | Mean | Standard Deviation |
|---|---|---|---|---|---|---|---|
| SOM | All | 240 | 24.1 | 18.1 | 9.1 | 18.15 | 2.62 |
| calibration | 160 | 24.1 | 18.05 | 12.7 | 18.16 | 2.6 | |
| validation | 80 | 24 | 18.15 | 9.1 | 18.15 | 2.67 | |
| TN | All | 240 | 1.74 | 1.33 | 0.82 | 1.34 | 0.14 |
| calibration | 160 | 1.73 | 1.33 | 0.82 | 1.34 | 0.14 | |
| validation | 80 | 1.74 | 1.34 | 1.03 | 1.35 | 0.15 |
| Properties | SOM | TN | |||
|---|---|---|---|---|---|
| Methods | PLSR | RF | PLSR | RF | |
| Calibration | 0.57 | 0.96 | 0.31 | 0.95 | |
| RMSE | 2.05 | 0.69 | 0.14 | 0.04 | |
| RPIQ | 1.90 | 5.65 | 1.43 | 4.96 | |
| ME | 0 | −0.01 | 0 | 0 | |
| SDE | 2.06 | 0.69 | 0.15 | 0.04 | |
| Cross-validation | 0.33 | 0.43 | 0.11 | 0.10 | |
| RMSE | 3.02 | 2.46 | 0.17 | 0.18 | |
| RPIQ | 1.42 | 1.66 | 1.16 | 1.04 | |
| ME | −0.24 | −0.19 | 0.00 | −0.01 | |
| SDE | 2.99 | 2.45 | 0.17 | 0.18 | |
| Validation | 0.44 | 0.53 | 0.16 | 0.31 | |
| RMSE | 2.29 | 1.98 | 0.16 | 0.14 | |
| RPIQ | 1.56 | 1.79 | 1.06 | 1.20 | |
| ME | 0.02 | 0.00 | 0.05 | 0.04 | |
| SDE | 2.29 | 1.98 | 0.15 | 0.13 | |
| Standard Deviation | Variance Contribution (%) | Cumulative Contribution (%) | |
|---|---|---|---|
| PC1 | 2.39 | 64.55 | 64.55 |
| PC2 | 1.65 | 30.93 | 95.48 |
| PC3 | 0.53 | 3.20 | 98.68 |
| PC4 | 0.24 | 0.65 | 99.32 |
| Properties | Methods | RMSE | RPIQ | ME | SDE | |
|---|---|---|---|---|---|---|
| SOM | PLSR | 0.72 (0.66~0.78) | 1.93 (1.60~2.27) | 1.84 (1.54~2.14) | 0.32 (0.06~0.59) | 1.91 (1.60~2.22) |
| RF | 0.63 (0.57~0.70) | 1.78 (1.63~1.93) | 1.99 (1.83~2.15) | −0.04 (−0.30~0.25) | 1.78 (1.64~1.93) | |
| TN | PLSR | 0.72 (0.57~0.88) | 0.11 (0.07~0.15) | 1.59 (1.08~2.09) | 0.02 (0.00~0.05) | 0.11 (0.06~0.15) |
| RF | 0.56 (0.44~0.68) | 0.11 (0.10~0.13) | 1.51 (1.32~1.69) | 0.03 (0.02~0.05) | 0.11 (0.09~0.12) |
Disclaimer/Publisher’s Note: The statements, opinions and data contained in all publications are solely those of the individual author(s) and contributor(s) and not of MDPI and/or the editor(s). MDPI and/or the editor(s) disclaim responsibility for any injury to people or property resulting from any ideas, methods, instructions or products referred to in the content. |
© 2025 by the authors. Licensee MDPI, Basel, Switzerland. This article is an open access article distributed under the terms and conditions of the Creative Commons Attribution (CC BY) license (https://creativecommons.org/licenses/by/4.0/).
Share and Cite
Xu, D.; Chen, S.; Zhou, Y.; Ji, W.; Shi, Z. Spatial Estimation of Soil Organic Matter and Total Nitrogen by Fusing Field Vis–NIR Spectroscopy and Multispectral Remote Sensing Data. Remote Sens. 2025, 17, 729. https://doi.org/10.3390/rs17040729
Xu D, Chen S, Zhou Y, Ji W, Shi Z. Spatial Estimation of Soil Organic Matter and Total Nitrogen by Fusing Field Vis–NIR Spectroscopy and Multispectral Remote Sensing Data. Remote Sensing. 2025; 17(4):729. https://doi.org/10.3390/rs17040729
Chicago/Turabian StyleXu, Dongyun, Songchao Chen, Yin Zhou, Wenjun Ji, and Zhou Shi. 2025. "Spatial Estimation of Soil Organic Matter and Total Nitrogen by Fusing Field Vis–NIR Spectroscopy and Multispectral Remote Sensing Data" Remote Sensing 17, no. 4: 729. https://doi.org/10.3390/rs17040729
APA StyleXu, D., Chen, S., Zhou, Y., Ji, W., & Shi, Z. (2025). Spatial Estimation of Soil Organic Matter and Total Nitrogen by Fusing Field Vis–NIR Spectroscopy and Multispectral Remote Sensing Data. Remote Sensing, 17(4), 729. https://doi.org/10.3390/rs17040729

