A New Convective Initiation Definition and Its Characteristics in Central and Eastern China Based on Fengyun-4A Satellite Cloud Imagery
Highlights
- To ensure authenticity, satellite-derived Convective Initiation (CI) labels were rigorously validated through: (1) cross-validation with independent radar and precipitation observations, and (2) manual verification by experienced weather forecasters.
- By comparing the differences between real CI events and false CI events, the key characteristics of CI are identified, and a clear CI definition is established based on satellite cloud imagery.
- Proposed a satellite observation-based convective initiation definition, breaking through the traditional reliance on radar observations for CI definition.
- This satellite-based CI definition is transferable across regions and seasons through regional and seasonal threshold calibration.
Abstract
1. Introduction
2. Materials and Methods
2.1. Data Description
2.2. Algorithm Description for Identifying CI
3. Statistical Characteristics of CI
3.1. Lifetime, Areas, BT
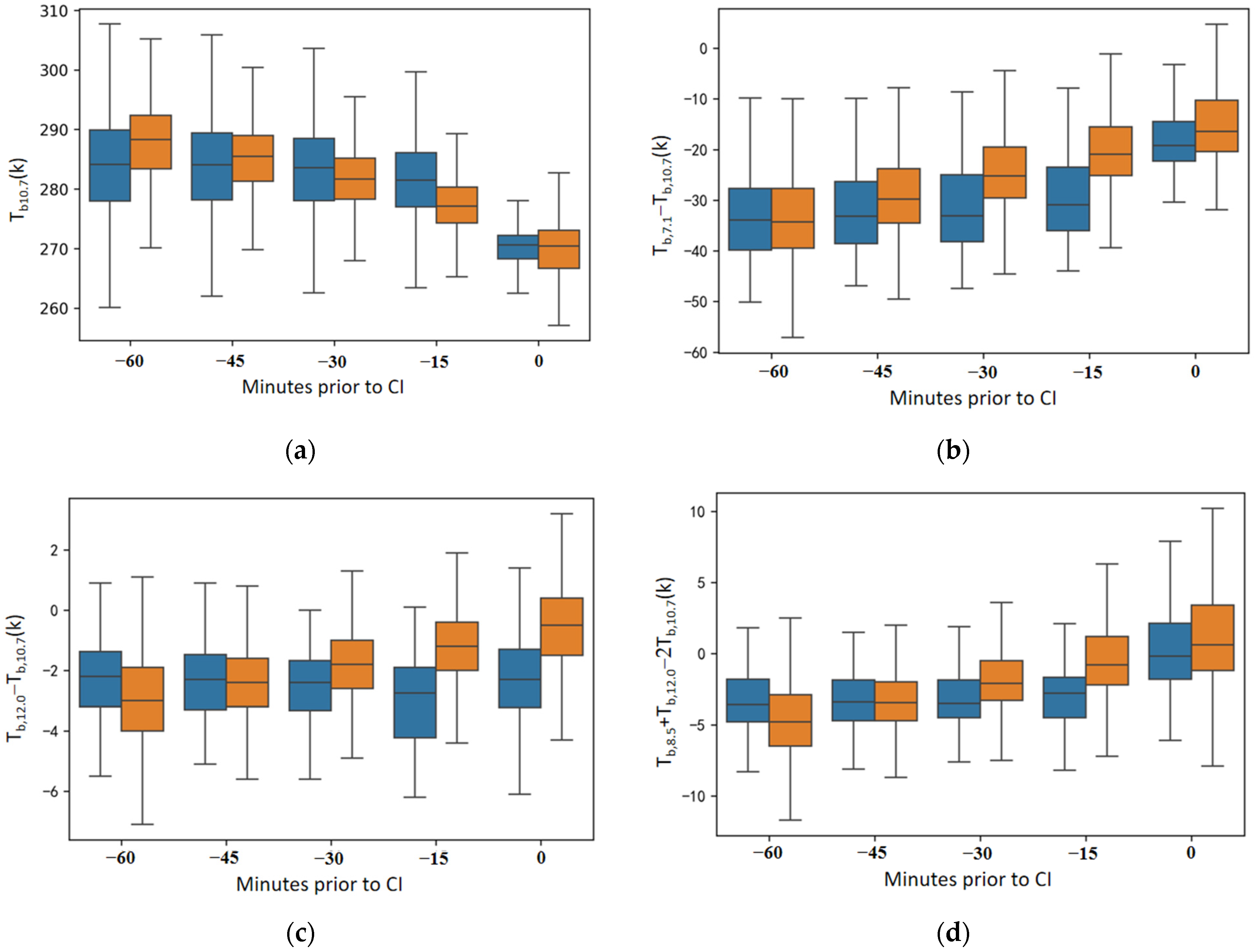
3.2. Channel Characteristics of CI
4. Definitive Criteria for CI in Satellite Imagery
- Initial number of pixels ≥ 2, initial area cloud cluster ≥ 64 km2 (the area of 2 pixels at a 4 km spatial resolution of Fengyun-4A Satellite);
- BT at the 10.7 µm band ≤ 273 K, with sustained cooling at rates ≥ 4 K (15min)−1 over two consecutive 15-min intervals;
- BT difference between the 7.1-μm band and 10.7-μm band (BTD7.1−10.7) > −28 K;
- BT difference between the 10.7-μm band and 12.0-μm band (BTD12.0−10.7) > −2 K;
- Tri-channel difference of 8.5-μm band, 12.0-μm band and 10.7-μm band (BTD8.5+12.0−2×10.7) > −3.5 K.
5. Discussions
6. Summary
Author Contributions
Funding
Data Availability Statement
Acknowledgments
Conflicts of Interest
Abbreviations
| CI | Convective Initiation |
| BT | Brightness temperature |
| True_CI | True Convective Initiation |
| False_CI | False Convective Initiation |
| FAR | False Alarm Rate |
| MAR | Missing Alarm Rate |
| POD | Probability of Detection |
References
- Johns, R.H.; Doswell, C.A.I. Severe local storms forecasting. Weather Forecast. 1992, 7, 588–612. [Google Scholar] [CrossRef]
- Reif, D.W.; Bluestein, H.B. Initiation mechanisms of nocturnal convection without nearby surface boundaries over the Central and Southern Great Plains during the warm season. Mon. Weather Rev. 2018, 146, 3053–3078. [Google Scholar] [CrossRef]
- Wilson, J.W.; Trier, S.B.; Reif, D.W. Nocturnal elevated convection initiation of the PECAN 4 July hailstorm. Mon. Weather Rev. 2018, 146, 243–262. [Google Scholar] [CrossRef]
- Soriano, L.R.; Pablo, F.D.; García Díez, E. Relationship between convective precipitation and cloud-to-ground lightning in the Iberian Peninsula. Mon. Weather Rev. 2001, 129, 2998–3003. [Google Scholar] [CrossRef]
- Wang, C.-C.; Chen, G.T.-J.; Carbone, R.E. A climatology of warm-season cloud patterns over East Asia based on GMS infrared brightness temperature observations. Mon. Weather Rev. 2004, 132, 1606–1629. [Google Scholar] [CrossRef]
- Vondou, D.A.; Nzeukou, A.; Kamga, F.M. Diurnal cycle of convective activity over the West of Central Africa based on Meteosat images. Int. J. Appl. Earth Obs. Geoinf. 2010, 12, S58–S62. [Google Scholar] [CrossRef]
- Yu, X.D.; Zhou, X.G.; Wang, X.M. The advances in the nowcasting techniques on thunderstorms and severe convection. Acta Meteorol. Sinica 2012, 70, 311–337. [Google Scholar]
- Kain, J.S.; Coniglio, M.C.; Correia, J.; Clark, A.J.; Marsh, P.T.; Ziegler, C.L.; Lakshmanan, V.; Miller, S.D.; Dembek, S.R.; Weiss, S.J.; et al. A feasibility study for probabilistic convection initiation forecasts based on explicit numerical guidance. Bull. Am. Meteorol. Soc. 2013, 94, 1213–1225. [Google Scholar] [CrossRef][Green Version]
- Ziegler, C.L. Deep convection initiation: State of the science, limits of understanding, and future directions. In Proceedings of the 94th American Meteorological Society Annual Meeting, Atlanta, GA, USA, 2–6 February 2014. [Google Scholar]
- Roberts, R.D.; Rutledge, S. Nowcasting storm initiation and growth using GOES-8 and WSR-88D data. Weather Forecast. 2003, 18, 562–584. [Google Scholar] [CrossRef]
- Mecikalski, J.R.; Williams, J.; Jewett, C.; Ahijevych, D.; LeRoy, A.; Walker, J.R. Probabilistic 0–1-h convective initiation nowcasts that combine geostationary satellite observations and numerical weather prediction model data. J. Appl. Meteorol. Climatol. 2015, 54, 1039–1059. [Google Scholar] [CrossRef]
- Roberts, R.D.; Anderson, A.R.; Nelson, E.; Brown, B.G.; Wilson, J.W.; Pocernich, M.; Saxen, T. Impacts of forecaster involvement on convective storm initiation and evolution nowcasting. Weather Forecast. 2012, 27, 1061–1089. [Google Scholar] [CrossRef]
- Walker, J.R.; MacKenzie, W.M., Jr.; Mecikalski, J.R.; Jewett, C.P. An enhanced geostationary satellite–based convective initiation algorithm for 0–2-h nowcasting with object tracking. J. Appl. Meteorol. Climatol. 2012, 51, 1931–1949. [Google Scholar] [CrossRef]
- Qin, D.Y.; Fang, Z.Y. Research progress of geostationary satellite-based convective initiation. Meteorol. Mon. 2014, 40, 7–17. [Google Scholar]
- Yang, C.; Yuan, H.; Zhang, F.; Xie, M.; Wang, Y.; Jiang, G.M. Convective initiation nowcasting in South China using physics-augmented random forest models and geostationary satellites. Earth Space Sci. 2024, 11, e2024EA003571. [Google Scholar] [CrossRef]
- Yang, Y.; Zhao, C.; Sun, Y.; Chi, Y.; Fan, H. Convective cloud detection and tracking using the new-generation geostationary satellite over South China. IEEE Trans. Geosci. Remote Sens. 2023, 61, 1–12. [Google Scholar] [CrossRef]
- Sun, F.; Li, B.; Min, M.; Qin, D. Toward a deep-learning-network-based convective weather initiation algorithm from the joint observations of Fengyun-4A geostationary satellite and radar for 0–1h nowcasting. IEEE J. Sel. Top. Appl. Earth Obs. Remote Sens. 2023, 16, 3455–3468. [Google Scholar] [CrossRef]
- Mecikalski, J.R.; Bedka, K.M. Forecasting convective initiation by monitoring the evolution of moving cumulus in daytime GOES imagery. Mon. Weather Rev. 2006, 134, 49–78. [Google Scholar] [CrossRef]
- Mecikalski, J.R.; Bedka, K.M.; Paech, S.J.; Litten, L.A. A statistical evaluation of GOES cloud-top properties for nowcasting convective initiation. Mon. Weather Rev. 2008, 136, 4899–4914. [Google Scholar] [CrossRef]
- Mecikalski, J.R.; MacKenzie, W.M., Jr.; König, M.; Muller, S. Cloud-top properties of growing cumulus prior to convective initiation as measured by Meteosat Second Generation. Part II: Use of visible reflectance. J. Appl. Meteorol. Climatol. 2010, 49, 2544–2558. [Google Scholar] [CrossRef]
- Sieglaff, J.M.; Cronce, L.M.; Feltz, W.F.; Bedka, K.M.; Pavolonis, M.J.; Heidinger, A.K. Nowcasting convective storm initiation using satellite-based box-averaged cloud-top cooling and cloud-type trends. J. Appl. Meteorol. Climatol. 2011, 50, 110–126. [Google Scholar] [CrossRef]
- Han, D.; Lee, J.; Im, J.; Sim, S.; Lee, S.; Han, H. A novel framework of detecting convective initiation combining automated sampling, machine learning, and repeated model tuning from geostationary satellite data. Remote Sens. 2019, 11, 1454. [Google Scholar] [CrossRef]
- Zhuge, X.; Zou, X. Summertime convective initiation nowcasting over southeastern China based on Advanced Himawari Imager observations. J. Meteorol. Soc. Jpn. 2018, 96, 337–353. [Google Scholar] [CrossRef]
- Maddox, R.A. Mesoscale convective complexes. Bull. Am. Meteorol. Soc. 1980, 61, 1374–1400. [Google Scholar] [CrossRef]
- Setvák, M.; Doswell, C.A., III. The AVHRR channel 3 cloud top reflectivity of convective storms. Mon. Weather Rev. 1991, 119, 841–847. [Google Scholar] [CrossRef]
- Strabala, K.I.; Ackerman, S.A.; Menzel, W.P. Cloud properties inferred from 8–12-µm data. J. Appl. Meteorol. 1994, 33, 212–229. [Google Scholar] [CrossRef]
- Liu, J.; Wang, B.; Han, L.; Wang, H. Forecasting convective initiation of a convective weather event in Beijing-Tianjin region. Acta Sci. Nat. Univ. Pekin. 2012, 48, 97–106. [Google Scholar]
- Merk, D.; Zinner, T. Detection of convective initiation using Meteosat SEVIRI: Implementation in and verification with the tracking and nowcasting algorithm Cb-TRAM. Atmos. Meas. Tech. 2013, 6, 1903–1918. [Google Scholar] [CrossRef]
- Guo, W.; Gu, W.; Cui, L.L. Analysis of the application effect of FY4A convective initiation product on monitoring and forecasting strong convective weather in Shanghai. Infrared 2022, 43, 42–48. [Google Scholar]
- Li, Y.; Liu, Y.; Shi, Y.; Yang, S.; Hu, S.; Hu, J.; Gao, Z. Probabilistic convective initiation nowcasting using Himawari-8 AHI with explainable deep learning models. Mon. Weather Rev. 2024, 152, 149–164. [Google Scholar] [CrossRef]
- Li, S.; Wang, X.; Sun, J.; Ma, Z.; Zhang, Y.; Gao, Y.; Hu, Y.; Zhang, W. Statistical characteristics and synoptic patterns of convection initiation over the middle reaches of the Yangtze River Basin as observed using the Fengyun-4A satellite. J. Hydrometeorol. 2024, 25, 501–519. [Google Scholar] [CrossRef]
- Zou, X.; Zhuge, X.; Weng, F. Characterization of bias of advanced Himawari Imager infrared observations from NWP background simulations using CRTM and RTTOV. J. Atmos. Ocean. Technol. 2016, 33, 2553–2567. [Google Scholar] [CrossRef]
- Baum, B.A.; Menzel, W.P.; Frey, R.A.; Tobin, D.C.; Holz, R.E.; Ackerman, S.A.; Heidinger, A.K.; Yang, P. MODIS cloud-top property refinements for Collection 6. J. Appl. Meteorol. Climatol. 2012, 51, 1145–1163. [Google Scholar] [CrossRef]
- Baum, B.A.; Soulen, P.F.; Strabala, K.I.; King, M.D.; Ackerman, S.A.; Menzel, W.P.; Yang, P. Remote sensing of cloud properties using MODIS airborne simulator imagery during SUCCESS. 2. Cloud thermodynamic phase. J. Geophys. Res. 2000, 105, 11781–11792. [Google Scholar] [CrossRef]
- Mecikalski, J.R.; Minnis, P.; Palikonda, R. Use of satellite derived cloud properties to quantify growing cumulus beneath cirrus clouds. Atmos. Res. 2013, 120–121, 192–201. [Google Scholar] [CrossRef]
- Schmit, T.J.; Li, J.; Ackerman, S.A.; Gurka, J.J. High-spectral- and high-temporal-resolution infrared measurements from geostationary orbit. J. Atmos. Ocean. Technol. 2009, 26, 2273–2292. [Google Scholar] [CrossRef]
- Li, J.; Liu, C.Y.; Zhang, P.; Schmit, T.J. Applications of full spatial resolution space-based advanced infrared soundings in the preconvection environment. Weather Forecast. 2012, 27, 515–524. [Google Scholar] [CrossRef]
- Sieglaff, J.M.; Schmit, T.J.; Menzel, W.P.; Ackerman, S.A. Inferring convective weather characteristics with geostationary high spectral resolution IR window measurements: A look into the future. J. Atmos. Ocean. Technol. 2009, 26, 1527–1541. [Google Scholar] [CrossRef]
- Li, J.; Li, J.; Otkin, J.; Schmit, T.J.; Liu, C.Y. Warning information in preconvection environment from geostationary advanced infrared sounding system—A simulation study using the IHOP case. J. Appl. Meteorol. Climatol. 2011, 50, 766–783. [Google Scholar] [CrossRef]









| Channel Name | Spectral Range (μm) | Description of Main Uses |
|---|---|---|
| 9 | 5.8–6.7 | High-level water vapor |
| 10 | 6.9–7.3 | Middle-layer water vapor |
| 11 | 8.0–9.0 | total water vapor, clouds |
| 12 | 10.3–11.3 | Clouds, surface temperature, etc. |
| 13 | 11.5–12.5 | Clouds, total water vapor volume, surface temperature |
| 14 | 13.2–13.8 | Clouds, water vapor |
| Infrared Interest Fields | Definition | Physical Implications |
|---|---|---|
| Tb,10.7 | BT at the 10.7-μm band | Cloud-top height |
| Tb,7.1−Tb,10.7 | BT difference between the 7.1-μm band and 10.7-μm band | Cloud-top height relative to lower-troposphere |
| Tb,12.0−Tb,10.7 | BT difference between the 10.7-μm band and 12.0-μm band | Cloud optical thickness |
| Tb,8.5 + Tb,12.0−2Tb,10.7 | Tri-channel difference of 8.5-μm band, 12.0-μm band and 10.7-μm band | Cloud-top phase |
| Month | POD (%) | MAR (%) | FAR (%) |
|---|---|---|---|
| May | 79 | 21 | 18 |
| June | 81 | 19 | 0 |
| July | 82 | 18 | 0 |
| August | 84 | 16 | 22 |
| Month | POD | MAR | FAR |
|---|---|---|---|
| May | 72 | 28 | 24 |
| June | 73 | 27 | 22 |
| July | 75 | 25 | 18 |
| August | 78 | 22 | 22 |
| Time Prior to CI Occurrence (min) | Tb10.7μm (K) | Tb7.1μm−Tb10.7μm (K) | Tb,12.0−Tb,10.7 (K) | T8.5+12.0−2×10.7 (K) | ||||
|---|---|---|---|---|---|---|---|---|
| Missed Case | False Alarm Case | Missed Case | False Alarm Case | Missed Case | False Alarm Case | Missed Case | False Alarm Case | |
| −60 | 277.7 | 281.9 | −26.2 | −26.6 | −1.9 | −1 | −2 | −1.4 |
| −45 | 280.5 | 282.1 | −30.4 | −27.4 | −2.5 | −1.9 | −2.8 | −2.6 |
| −30 | 279.7 | 278.4 | −31.4 | −23.5 | −1.7 | −1.1 | −1.3 | −3.7 |
| −15 | 278.3 | 273.3 | −26.2 | −18.7 | −3.1 | −0.8 | −0.5 | −1.9 |
| 0 | 268.4 | 269.7 | −21.6 | −15.5 | −5.1 | 1.1 | −0.5 | 0.8 |
Disclaimer/Publisher’s Note: The statements, opinions and data contained in all publications are solely those of the individual author(s) and contributor(s) and not of MDPI and/or the editor(s). MDPI and/or the editor(s) disclaim responsibility for any injury to people or property resulting from any ideas, methods, instructions or products referred to in the content. |
© 2025 by the authors. Licensee MDPI, Basel, Switzerland. This article is an open access article distributed under the terms and conditions of the Creative Commons Attribution (CC BY) license (https://creativecommons.org/licenses/by/4.0/).
Share and Cite
Peng, L.; Li, Y.; Ye, C.; Ou, X. A New Convective Initiation Definition and Its Characteristics in Central and Eastern China Based on Fengyun-4A Satellite Cloud Imagery. Remote Sens. 2025, 17, 4053. https://doi.org/10.3390/rs17244053
Peng L, Li Y, Ye C, Ou X. A New Convective Initiation Definition and Its Characteristics in Central and Eastern China Based on Fengyun-4A Satellite Cloud Imagery. Remote Sensing. 2025; 17(24):4053. https://doi.org/10.3390/rs17244053
Chicago/Turabian StylePeng, Lili, Yunying Li, Chengzhi Ye, and Xiaofeng Ou. 2025. "A New Convective Initiation Definition and Its Characteristics in Central and Eastern China Based on Fengyun-4A Satellite Cloud Imagery" Remote Sensing 17, no. 24: 4053. https://doi.org/10.3390/rs17244053
APA StylePeng, L., Li, Y., Ye, C., & Ou, X. (2025). A New Convective Initiation Definition and Its Characteristics in Central and Eastern China Based on Fengyun-4A Satellite Cloud Imagery. Remote Sensing, 17(24), 4053. https://doi.org/10.3390/rs17244053

