Global Low Clouds Evolution and Their Meteorological Drivers Across Multiple Timescales
Highlights
- Low cloud variability was analyzed using ISCCP-H observations and the Ensemble Empirical Mode Decomposition method, revealing distinct cloud–meteorology relationships over land and ocean.
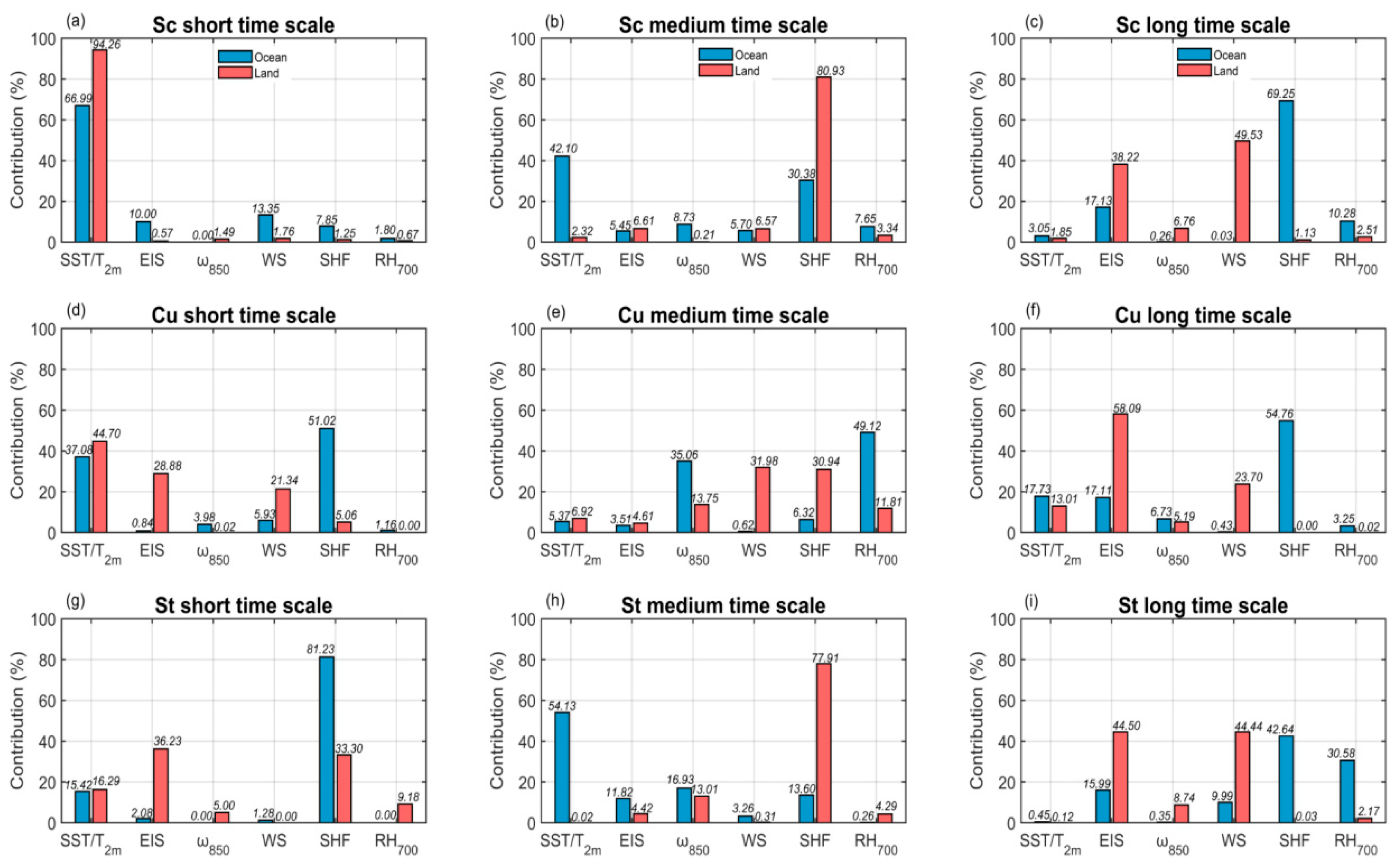
- Low clouds exhibit nonlinear trends; stratocumulus and cumulus are primarily sensitive to temperature changes, while stratus responds to mid-level humidity over ocean and surface sensible heat flux over land.
- Timescale-dependent analysis shows low cloud feedback cannot be fully captured by linear frameworks, calling for reconsideration of cloud–climate coupling in current models.
- These results provide observational constraints to improve cloud parameterization and climate projections.
Abstract
1. Introduction
2. Materials and Methods
2.1. Cloud Controlling Factors Data
2.2. ISCCP Cloud Types Dataset
2.3. EEMD Method and Nonlinear Trend Calculation
2.4. Quantifying the Relative Contribution of CCFs to Low Cloud Across Timescales
3. Results
3.1. Distribution of Low Cloud and EEMD Analysis
3.2. Temporal and Spatial Evolution of Long-Term Nonlinear Trend of LCA
3.3. Dominant CCFs for Multiple Timescales of Low Cloud over Ocean and Land
4. Discussion
5. Conclusions
Author Contributions
Funding
Data Availability Statement
Conflicts of Interest
References
- Fueglistaler, S. Observational Evidence for Two Modes of Coupling Between Sea Surface Temperatures, Tropospheric Temperature Profile, and Shortwave Cloud Radiative Effect in the Tropics. Geophys. Res. Lett. 2019, 46, 9890–9898. [Google Scholar] [CrossRef]
- Medeiros, B.; Clement, A.C.; Benedict, J.J.; Zhang, B. Investigating the Impact of Cloud-Radiative Feedbacks on Tropical Precipitation Extremes. npj Clim. Atmos. Sci. 2021, 4, 18. [Google Scholar] [CrossRef]
- Bony, S.; Stevens, B.; Frierson, D.M.W.; Jakob, C.; Kageyama, M.; Pincus, R.; Shepherd, T.G.; Sherwood, S.C.; Siebesma, A.P.; Sobel, A.H.; et al. Clouds, Circulation and Climate Sensitivity. Nat. Geosci. 2015, 8, 261–268. [Google Scholar] [CrossRef]
- Cesana, G.; Del Genio, A.D.; Chepfer, H. The Cumulus And Stratocumulus CloudSat-CALIPSO Dataset (CASCCAD). Earth Syst. Sci. Data 2019, 11, 1745–1764. [Google Scholar] [CrossRef]
- Duveiller, G.; Filipponi, F.; Ceglar, A.; Bojanowski, J.; Alkama, R.; Cescatti, A. Revealing the Widespread Potential of Forests to Increase Low Level Cloud Cover. Nat. Commun. 2021, 12, 4337. [Google Scholar] [CrossRef]
- Chi, Y.; Zhao, C.; Yang, Y.; Zhao, X.; Yang, J. Global Characteristics of Cloud Macro-Physical Properties from Active Satellite Remote Sensing. Atmos. Res. 2024, 302, 107316. [Google Scholar] [CrossRef]
- Luo, H.; Quaas, J.; Han, Y. Diurnally Asymmetric Cloud Cover Trends Amplify Greenhouse Warming. Sci. Adv. 2024, 10, eado5179. [Google Scholar] [CrossRef]
- Mülmenstädt, J.; Salzmann, M.; Kay, J.E.; Zelinka, M.D.; Ma, P.-L.; Nam, C.; Kretzschmar, J.; Hörnig, S.; Quaas, J. An Underestimated Negative Cloud Feedback from Cloud Lifetime Changes. Nat. Clim. Change 2021, 11, 508–513. [Google Scholar] [CrossRef]
- Zelinka, M.D.; Myers, T.A.; McCoy, D.T.; Po-Chedley, S.; Caldwell, P.M.; Ceppi, P.; Klein, S.A.; Taylor, K.E. Causes of Higher Climate Sensitivity in CMIP6 Models. Geophys. Res. Lett. 2020, 47, e2019GL085782. [Google Scholar] [CrossRef]
- Fermepin, S.; Bony, S. Influence of Low-Cloud Radiative Effects on Tropical Circulation and Precipitation. J. Adv. Model. Earth Syst. 2014, 6, 513–526. [Google Scholar] [CrossRef]
- Yang, L.; Xie, S.-P.; Shen, S.S.P.; Liu, J.-W.; Hwang, Y.-T. Low Cloud–SST Feedback over the Subtropical Northeast Pacific and the Remote Effect on ENSO Variability. J. Clim. 2022, 36, 441–452. [Google Scholar] [CrossRef]
- Ceppi, P.; Myers, T.A.; Nowack, P.; Wall, C.J.; Zelinka, M.D. Implications of a Pervasive Climate Model Bias for Low-Cloud Feedback. Geophys. Res. Lett. 2024, 51, e2024GL110525. [Google Scholar] [CrossRef]
- Konsta, D.; Dufresne, J.-L.; Chepfer, H.; Vial, J.; Koshiro, T.; Kawai, H.; Bodas-Salcedo, A.; Roehrig, R.; Watanabe, M.; Ogura, T. Low-Level Marine Tropical Clouds in Six CMIP6 Models Are Too Few, Too Bright but Also Too Compact and Too Homogeneous. Geophys. Res. Lett. 2022, 49, e2021GL097593. [Google Scholar] [CrossRef]
- Xia, X. Spatiotemporal Changes in Sunshine Duration and Cloud Amount as Well as Their Relationship in China during 1954–2005. J. Geophys. Res. Atmos. 2010, 115, D00K06. [Google Scholar] [CrossRef]
- Grise, K.M.; Tselioudis, G. Understanding the Relationship between Cloud Controlling Factors and the ISCCP Weather States. J. Clim. 2024, 37, 5387–5403. [Google Scholar] [CrossRef]
- Myers, T.A.; Scott, R.C.; Zelinka, M.D.; Klein, S.A.; Norris, J.R.; Caldwell, P.M. Observational Constraints on Low Cloud Feedback Reduce Uncertainty of Climate Sensitivity. Nat. Clim. Change 2021, 11, 501–507. [Google Scholar] [CrossRef]
- Qu, X.; Hall, A.; Klein, S.A.; DeAngelis, A.M. Positive Tropical Marine Low-Cloud Cover Feedback Inferred from Cloud-Controlling Factors. Geophys. Res. Lett. 2015, 42, 7767–7775. [Google Scholar] [CrossRef]
- Fuchs, J.; Cermak, J.; Andersen, H. Building a Cloud in the Southeast Atlantic: Understanding Low-Cloud Controls Based on Satellite Observations with Machine Learning. Atmos. Chem. Phys. 2018, 18, 16537–16552. [Google Scholar] [CrossRef]
- Tselioudis, G.; Rossow, W.B.; Jakob, C.; Remillard, J.; Tropf, D.; Zhang, Y. Evaluation of Clouds, Radiation, and Precipitation in CMIP6 Models Using Global Weather States Derived from ISCCP-H Cloud Property Data. J. Clim. 2021, 34, 7311–7324. [Google Scholar] [CrossRef]
- Myers, T.A.; Zelinka, M.D.; Klein, S.A. Observational Constraints on the Cloud Feedback Pattern Effect. J. Clim. 2023, 36, 6533–6545. [Google Scholar] [CrossRef]
- Li, Y.; Ge, J.; Du, J.; Peng, N.; Su, J.; Hu, X.; Zhang, C.; Mu, Q.; Li, Q. Projection of Low Cloud Variation Through Robust Meteorological Linkage and Its Comparison with CMIP6 Models at the SACOL Site. J. Geophys. Res. Atmos. 2024, 129, e2023JD040668. [Google Scholar] [CrossRef]
- Zhou, C.; Dessler, A.E.; Zelinka, M.D.; Yang, P.; Wang, T. Cirrus Feedback on Interannual Climate Fluctuations. Geophys. Res. Lett. 2014, 41, 9166–9173. [Google Scholar] [CrossRef]
- Wu, W.; Ji, F.; Hu, S.; He, Y. Asymmetric Drying and Wetting Trends in Eastern and Western China. Adv. Atmos. Sci. 2024, 41, 221–232. [Google Scholar] [CrossRef]
- Jiang, X.; Su, H.; Jiang, J.H.; Neelin, J.D.; Wu, L.; Tsushima, Y.; Elsaesser, G. Muted Extratropical Low Cloud Seasonal Cycle Is Closely Linked to Underestimated Climate Sensitivity in Models. Nat. Commun. 2023, 14, 5586. [Google Scholar] [CrossRef] [PubMed]
- Schiro, K.A.; Su, H.; Ahmed, F.; Dai, N.; Singer, C.E.; Gentine, P.; Elsaesser, G.S.; Jiang, J.H.; Choi, Y.-S.; David Neelin, J. Model Spread in Tropical Low Cloud Feedback Tied to Overturning Circulation Response to Warming. Nat. Commun. 2022, 13, 7119. [Google Scholar] [CrossRef] [PubMed]
- Ge, J.; Li, W.; Huang, J.; Mu, Q.; Li, Q.; Zhao, Q.; Su, J.; Xie, Y.; Alam, K.; Zhu, Z.; et al. Dust Accelerates the Life Cycle of High Clouds Unveiled through Strongly-Constrained Meteorology. Geophys. Res. Lett. 2024, 51, e2024GL109998. [Google Scholar] [CrossRef]
- McCoy, D.T.; Eastman, R.; Hartmann, D.L.; Wood, R. The Change in Low Cloud Cover in a Warmed Climate Inferred from AIRS, MODIS, and ERA-Interim. J. Clim. 2017, 30, 3609–3620. [Google Scholar] [CrossRef]
- Scott, R.C.; Myers, T.A.; Norris, J.R.; Zelinka, M.D.; Klein, S.A.; Sun, M.; Doelling, D.R. Observed Sensitivity of Low-Cloud Radiative Effects to Meteorological Perturbations over the Global Oceans. J. Clim. 2020, 33, 7717–7734. [Google Scholar] [CrossRef]
- Cutler, L.; Brunke, M.A.; Zeng, X. Re-Evaluation of Low Cloud Amount Relationships with Lower-Tropospheric Stability and Estimated Inversion Strength. Geophys. Res. Lett. 2022, 49, e2022GL098137. [Google Scholar] [CrossRef]
- Wood, R.; Bretherton, C.S. On the Relationship between Stratiform Low Cloud Cover and Lower-Tropospheric Stability. J. Clim. 2006, 19, 6425–6432. [Google Scholar] [CrossRef]
- Evan, A.T.; Allen, R.J.; Bennartz, R.; Vimont, D.J. The Modification of Sea Surface Temperature Anomaly Linear Damping Time Scales by Stratocumulus Clouds. J. Clim. 2013, 26, 3619–3630. [Google Scholar] [CrossRef]
- Naud, C.M.; Elsaesser, G.S.; Booth, J.F. Dominant Cloud Controlling Factors for Low-Level Cloud Fraction: Subtropical versus Extratropical Oceans. Geophys. Res. Lett. 2023, 50, e2023GL104496. [Google Scholar] [CrossRef]
- Lamaakel, O.; Matheou, G. Organization Development in Precipitating Shallow Cumulus Convection: Evolution of Turbulence Characteristics. J. Atmos. Sci. 2022, 79, 2419–2433. [Google Scholar] [CrossRef]
- Wu, M.; Su, H.; Neelin, J.D. Multi-Objective Observational Constraint of Tropical Atlantic and Pacific Low-Cloud Variability Narrows Uncertainty in Cloud Feedback. Nat. Commun. 2025, 16, 218. [Google Scholar] [CrossRef]
- Sherwood, S.C.; Webb, M.J.; Annan, J.D.; Armour, K.C.; Forster, P.M.; Hargreaves, J.C.; Hegerl, G.; Klein, S.A.; Marvel, K.D.; Rohling, E.J.; et al. An Assessment of Earth’s Climate Sensitivity Using Multiple Lines of Evidence. Rev. Geophys. 2020, 58, e2019RG000678. [Google Scholar] [CrossRef]
- Klein, S.A.; Hall, A.; Norris, J.R.; Pincus, R. Low-Cloud Feedbacks from Cloud-Controlling Factors: A Review. In Shallow Clouds, Water Vapor, Circulation, and Climate Sensitivity; Springer: Cham, Switzerland, 2018; pp. 135–157. [Google Scholar]
- Proistosescu, C.; Donohoe, A.; Armour, K.C.; Roe, G.H.; Stuecker, M.F.; Bitz, C.M. Radiative Feedbacks from Stochastic Variability in Surface Temperature and Radiative Imbalance. Geophys. Res. Lett. 2018, 45, 5082–5094. [Google Scholar] [CrossRef]
- de Szoeke, S.P.; Verlinden, K.L.; Yuter, S.E.; Mechem, D.B. The Time Scales of Variability of Marine Low Clouds. J. Clim. 2016, 29, 6463–6481. [Google Scholar] [CrossRef]
- Sun, F.; Hall, A.; Qu, X. On the Relationship between Low Cloud Variability and Lower Tropospheric Stability in the Southeast Pacific. Atmos. Chem. Phys. 2011, 11, 9053–9065. [Google Scholar] [CrossRef]
- Myers, T.A.; Norris, J.R. Observational Evidence That Enhanced Subsidence Reduces Subtropical Marine Boundary Layer Cloudiness. J. Clim. 2013, 26, 7507–7524. [Google Scholar] [CrossRef]
- Young, A.H.; Knapp, K.R.; Inamdar, A.; Hankins, W.; Rossow, W.B. The International Satellite Cloud Climatology Project H-Series Climate Data Record Product. Earth Syst. Sci. Data 2018, 10, 583–593. [Google Scholar] [CrossRef]
- Evan, A.T.; Heidinger, A.K.; Vimont, D.J. Arguments against a Physical Long-Term Trend in Global ISCCP Cloud Amounts. Geophys. Res. Lett. 2007, 34, L04701. [Google Scholar] [CrossRef]
- Rossow, W.B.; Knapp, K.R.; Young, A.H. International Satellite Cloud Climatology Project: Extending the Record. J. Clim. 2022, 35, 141–158. [Google Scholar] [CrossRef]
- Lei, Y.; Letu, H.; Shang, H.; Shi, J. Cloud Cover over the Tibetan Plateau and Eastern China: A Comparison of ERA5 and ERA-Interim with Satellite Observations. Clim. Dyn. 2020, 54, 2941–2957. [Google Scholar] [CrossRef]
- Ma, Q.; You, Q.; Ma, Y.; Cao, Y.; Zhang, J.; Niu, M.; Zhang, Y. Changes in Cloud Amount over the Tibetan Plateau and Impacts of Large-Scale Circulation. Atmos. Res. 2021, 249, 105332. [Google Scholar] [CrossRef]
- Wu, Z.; Huang, N.E. Ensemble Empirical Mode Decomposition: A Noise-Assisted Data Analysis Method. Adv. Adapt. Data Anal. 2009, 01, 1–41. [Google Scholar] [CrossRef]
- Huang, N.E.; Wu, Z. A Review on Hilbert-Huang Transform: Method and Its Applications to Geophysical Studies. Rev. Geophys. 2008, 46, RG2006. [Google Scholar] [CrossRef]
- Ji, F.; Wu, Z.; Huang, J.; Chassignet, E.P. Evolution of Land Surface Air Temperature Trend. Nat. Clim. Change 2014, 4, 462–466. [Google Scholar] [CrossRef]
- Chen, T.; Tang, G.; Yuan, Y.; Guo, H.; Xu, Z.; Jiang, G.; Chen, X. Unraveling the Relative Impacts of Climate Change and Human Activities on Grassland Productivity in Central Asia over Last Three Decades. Sci. Total Environ. 2020, 743, 140649. [Google Scholar] [CrossRef]
- Du, Z.; Han, X.; Ji, F.; Xu, Z.; Guan, X.; Huang, J. Observed Evolution of Global Climate Change Hotspots. Environ. Res. Lett. 2025, 20, 074031. [Google Scholar] [CrossRef]
- Cai, W.; Santoso, A.; Collins, M.; Dewitte, B.; Karamperidou, C.; Kug, J.-S.; Lengaigne, M.; McPhaden, M.J.; Stuecker, M.F.; Taschetto, A.S.; et al. Changing El Niño–Southern Oscillation in a Warming Climate. Nat. Rev. Earth Environ. 2021, 2, 628–644. [Google Scholar] [CrossRef]
- Torrence, C.; Webster, P.J. Interdecadal Changes in the ENSO–Monsoon System. J. Clim. 1999, 12, 2679–2690. [Google Scholar] [CrossRef]
- Jian, B.; Li, J.; Wang, G.; Zhao, Y.; Li, Y.; Wang, J.; Zhang, M.; Huang, J. Evaluation of the CMIP6 Marine Subtropical Stratocumulus Cloud Albedo and Its Controlling Factors. Atmos. Chem. Phys. 2021, 21, 9809–9828. [Google Scholar] [CrossRef]
- Böhm, C.; Sourdeval, O.; Mülmenstädt, J.; Quaas, J.; Crewell, S. Cloud Base Height Retrieval from Multi-Angle Satellite Data. Atmos. Meas. Tech. 2019, 12, 1841–1860. [Google Scholar] [CrossRef]
- Muhlbauer, A.; McCoy, I.L.; Wood, R. Climatology of Stratocumulus Cloud Morphologies: Microphysical Properties and Radiative Effects. Atmos. Chem. Phys. 2014, 14, 6695–6716. [Google Scholar] [CrossRef]
- Sassen, K.; Wang, Z.; Liu, D. Global Distribution of Cirrus Clouds from CloudSat/Cloud-Aerosol Lidar and Infrared Pathfinder Satellite Observations (CALIPSO) Measurements. J. Geophys. Res. Atmos. 2008, 113, D00A12. [Google Scholar] [CrossRef]
- King, M.D.; Platnick, S.; Menzel, W.P.; Ackerman, S.A.; Hubanks, P.A. Spatial and Temporal Distribution of Clouds Observed by MODIS Onboard the Terra and Aqua Satellites. IEEE Trans. Geosci. Remote Sens. 2013, 51, 3826–3852. [Google Scholar] [CrossRef]
- Austin, R.T.; Stephens, G.L. Retrieval of Stratus Cloud Microphysical Parameters Using Millimeter-Wave Radar and Visible Optical Depth in Preparation for CloudSat: 1. Algorithm Formulation. J. Geophys. Res. Atmos. 2001, 106, 28233–28242. [Google Scholar] [CrossRef]
- Valjarević, A.; Popovici, C.; Djekić, T.; Morar, C.; Filipović, D.; Lukić, T. Long-Term Monitoring of High Optical Imagery of the Stratospheric Clouds and Their Properties New Approaches and Conclusions. Egypt. J. Remote Sens. Space Sci. 2022, 25, 1037–1043. [Google Scholar] [CrossRef]
- Stevens, B. On the Growth of Layers of Nonprecipitating Cumulus Convection. J. Atmos. Sci. 2007, 64, 2916–2931. [Google Scholar] [CrossRef]
- Myers, T.A.; Norris, J.R. Reducing the Uncertainty in Subtropical Cloud Feedback. Geophys. Res. Lett. 2016, 43, 2144–2148. [Google Scholar] [CrossRef]
- Nuijens, L.; Medeiros, B.; Sandu, I.; Ahlgrimm, M. Observed and Modeled Patterns of Covariability between Low-Level Cloudiness and the Structure of the Trade-Wind Layer. J. Adv. Model. Earth Syst. 2015, 7, 1741–1764. [Google Scholar] [CrossRef]
- Wood, R. Stratocumulus Clouds. Mon. Weather Rev. 2012, 140, 2373–2423. [Google Scholar] [CrossRef]
- Neggers, R.A.J.; Siebesma, A.P.; Jonker, H.J.J. A Multiparcel Model for Shallow Cumulus Convection. J. Atmos. Sci. 2002, 59, 1655–1668. [Google Scholar] [CrossRef]
- Xu, K.-M.; Cheng, A.; Zhang, M. Cloud-Resolving Simulation of Low-Cloud Feedback to an Increase in Sea Surface Temperature. J. Atmos. Sci. 2010, 67, 730–748. [Google Scholar] [CrossRef]
- Zhang, J.; Wu, R.; Gu, Q.; Chen, X.; Jia, X.; Zhang, Y. Influences of Tropical Pacific and North Atlantic SST Anomalies on Summer Drought over Asia. Clim. Dyn. 2023, 61, 5827–5844. [Google Scholar] [CrossRef]
- Murakami, H.; Wang, B. Patterns and Frequency of Projected Future Tropical Cyclone Genesis Are Governed by Dynamic Effects. Commun. Earth Environ. 2022, 3, 77. [Google Scholar] [CrossRef]
- Radley, C.; Fueglistaler, S.; Donner, L. Cloud and Radiative Balance Changes in Response to ENSO in Observations and Models. J. Clim. 2014, 27, 3100–3113. [Google Scholar] [CrossRef]
- Cao, Y.; Zhu, Y.; Wang, M.; Rosenfeld, D.; Zhou, C.; Liu, J.; Liang, Y.; Huang, K.-E.; Wang, Q.; Bai, H.; et al. Improving Prediction of Marine Low Clouds Using Cloud Droplet Number Concentration in a Convolutional Neural Network. J. Geophys. Res. Mach. Learn. Comput. 2024, 1, e2024JH000355. [Google Scholar] [CrossRef]
- Liu, J.; Zhu, Y.; Wang, M.; Rosenfeld, D.; Cao, Y.; Yuan, T. Cloud Susceptibility to Aerosols: Comparing Cloud-Appearance Versus Cloud-Controlling Factors Regimes. J. Geophys. Res. Atmos. 2024, 129, e2024JD041216. [Google Scholar] [CrossRef]









| Model | Variable | Sc (Ocean) | Cu (Ocean) | St (Ocean) | Sc (Land) | Cu (Land) | St (Land) |
|---|---|---|---|---|---|---|---|
| IMF1 | Cycle/Month | 6 | 6 | 6 | 2 | 6 | 6 |
| Con (%) | 17.78 | 4.41 | 20.54 | 18.75 | 13.07 | 40.14 | |
| IMF2 | Cycle/Month | 12 | 6 | 12 | 12 | 6 | 6 |
| Con (%) | 61.43 | 3.98 | 30.08 | 43.24 | 9.93 | 23.09 | |
| IMF3 | Cycle/Month | 12 | 12 | 12 | 12 | 12 | 12 |
| Con (%) | 4.97 | 4.14 | 8.94 | 7.47 | 2.86 | 9.23 | |
| IMF4 | Cycle/Month | 45 | 36 | 45 | 51 | 45 | 51 |
| Con (%) | 5.38 | 7.14 | 8.96 | 13.74 | 5.82 | 9.67 | |
| IMF5 | Cycle/Month | 120 | 90 | 90 | 360 | 72 | 90 |
| Con (%) | 3.57 | 18.27 | 4.05 | 4.02 | 3.38 | 10 | |
| IMF6 | Cycle/Month | 360 | 180 | 180 | 360 | 180 | 180 |
| Con (%) | 4.31 | 5.14 | 1.51 | 4.85 | 5.13 | 7.15 | |
| IMF7 | Cycle/Month | 360 | 360 | 360 | 360 | 360 | 360 |
| Con (%) | 0.08 | 0.4 | 0.09 | 0.76 | 1.67 | 0.48 | |
| Trend | Con (%) | 2.48 | 56.51 | 25.84 | 7.16 | 58.14 | 0.23 |
Disclaimer/Publisher’s Note: The statements, opinions and data contained in all publications are solely those of the individual author(s) and contributor(s) and not of MDPI and/or the editor(s). MDPI and/or the editor(s) disclaim responsibility for any injury to people or property resulting from any ideas, methods, instructions or products referred to in the content. |
© 2025 by the authors. Licensee MDPI, Basel, Switzerland. This article is an open access article distributed under the terms and conditions of the Creative Commons Attribution (CC BY) license (https://creativecommons.org/licenses/by/4.0/).
Share and Cite
Li, Y.; Ge, J.; Hu, Y.; Xu, Z.; Du, J.; Mu, Q. Global Low Clouds Evolution and Their Meteorological Drivers Across Multiple Timescales. Remote Sens. 2025, 17, 4045. https://doi.org/10.3390/rs17244045
Li Y, Ge J, Hu Y, Xu Z, Du J, Mu Q. Global Low Clouds Evolution and Their Meteorological Drivers Across Multiple Timescales. Remote Sensing. 2025; 17(24):4045. https://doi.org/10.3390/rs17244045
Chicago/Turabian StyleLi, Yize, Jinming Ge, Yue Hu, Ziyang Xu, Jiajing Du, and Qingyu Mu. 2025. "Global Low Clouds Evolution and Their Meteorological Drivers Across Multiple Timescales" Remote Sensing 17, no. 24: 4045. https://doi.org/10.3390/rs17244045
APA StyleLi, Y., Ge, J., Hu, Y., Xu, Z., Du, J., & Mu, Q. (2025). Global Low Clouds Evolution and Their Meteorological Drivers Across Multiple Timescales. Remote Sensing, 17(24), 4045. https://doi.org/10.3390/rs17244045

