Out-of-Distribution Knowledge Inference-Based Approach for SAR Imagery Open-Set Recognition
Highlights
- Employ a compact feature extraction scheme.
- Design an out-of-distribution feature inference module.
- Propose a novel knowledge-sharing retraining mechanism.
- The compact feature extraction scheme can constrain intra-class feature compactness to preserve more feature space for unknown classes.
- The out-of-distribution feature inference module can provide the requisite prior knowledge for the ATR model to effectively recognize unknown target samples.
- The knowledge-sharing retraining mechanism ensures that the ATR model can continuously review the knowledge of known samples while learning the knowledge of unknown samples.
Abstract
1. Introduction
2. Related Work
2.1. The Necessity of an Open-Set ATR Model
2.2. The Current Open-Set Approaches
3. The Proposed Method
3.1. The Motivations for the Proposed Method
3.2. The Out-of-Distribution Feature Inference of Unknown Target Sample
3.3. The Knowledge-Sharing Retrain Mechanism for Target Sample Features

4. Experimental Results
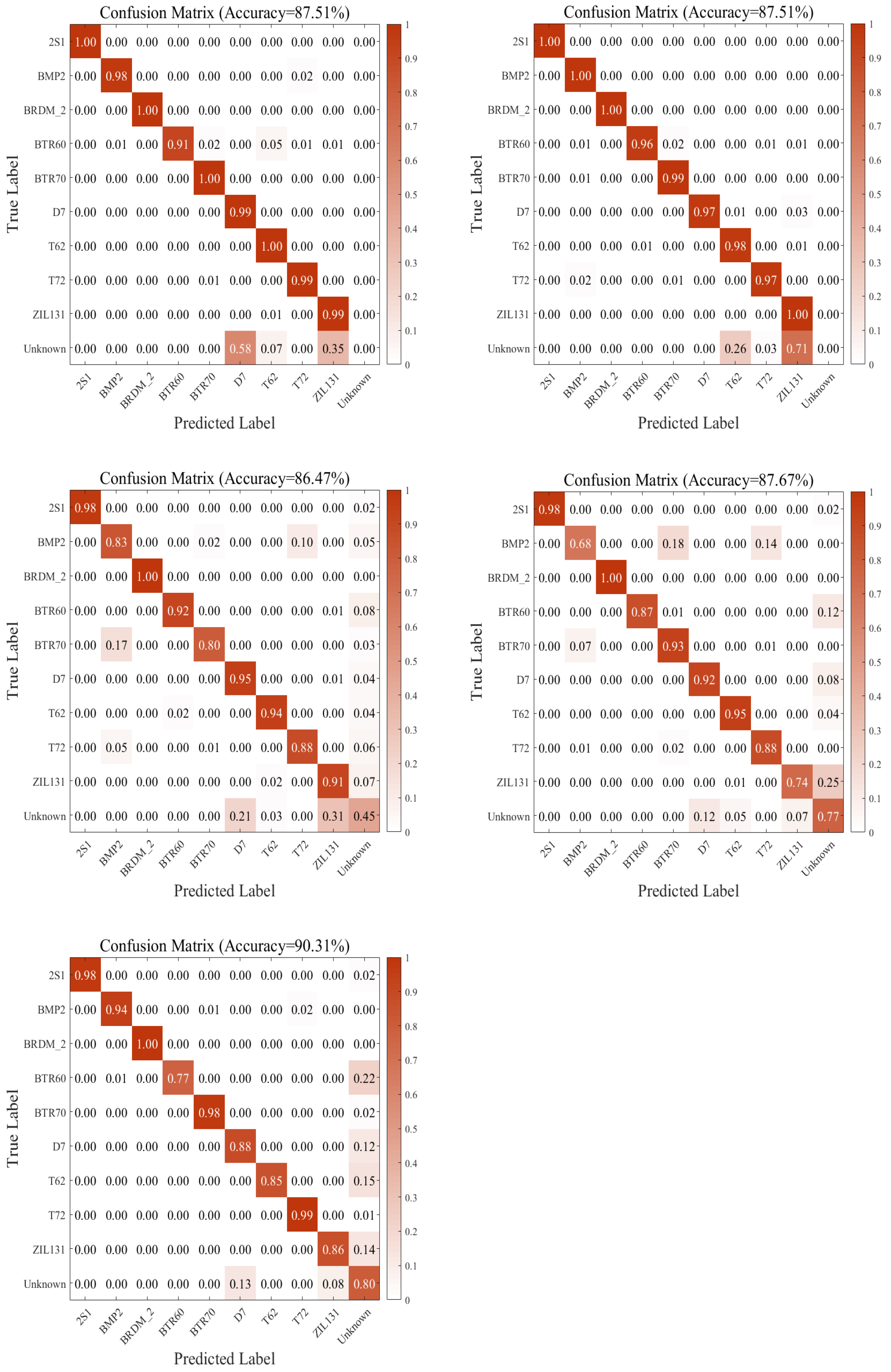
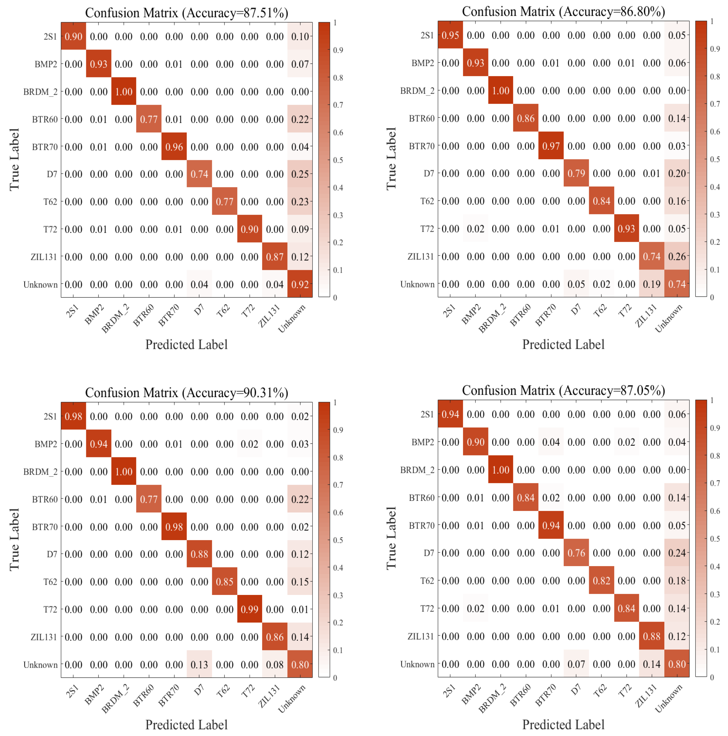
4.1. The Validity of Out-of-Distribution Feature Inference
4.2. The Importance of the Knowledge-Sharing Retrain Mechanism
4.3. The Recognition Performance Across Varying Openness Conditions
4.4. Computational Complexity of the Proposed Method
5. Conclusions and Discussion
Author Contributions
Funding
Data Availability Statement
Acknowledgments
Conflicts of Interest
References
- Choi, J.H.; Lee, M.J.; Jeong, N.H.; Lee, G.; Kim, K.T. Fusion of target and shadow regions for improved SAR ATR. IEEE Trans. Geosci. Remote Sens. 2022, 60, 5226217. [Google Scholar] [CrossRef]
- Li, Y.; Du, L.; Wei, D. Multiscale CNN based on component analysis for SAR ATR. IEEE Trans. Geosci. Remote Sens. 2021, 60, 5211212. [Google Scholar] [CrossRef]
- Ding, B.; Wen, G.; Zhong, J.; Ma, C.; Yang, X. A robust similarity measure for attributed scattering center sets with application to SAR ATR. Neurocomputing 2017, 219, 130–143. [Google Scholar] [CrossRef]
- Ding, B.; Wen, G. Target reconstruction based on 3-D scattering center model for robust SAR ATR. IEEE Trans. Geosci. Remote Sens. 2018, 56, 3772–3785. [Google Scholar] [CrossRef]
- Lv, N.; Chen, C.; Qiu, T.; Sangaiah, A.K. Deep learning and superpixel feature extraction based on contractive autoencoder for change detection in SAR images. IEEE Trans. Ind. Inform. 2018, 14, 5530–5538. [Google Scholar] [CrossRef]
- Carvalho, G.D.A.; Minnett, P.J.; Paes, E.T.; de Miranda, F.P.; Landau, L. Oil-Slick Category Discrimination (Seeps vs. Spills): A Linear Discriminant Analysis Using RADARSAT-2 Backscatter Coefficients (σ∘, β∘, and γ∘) in Campeche Bay (Gulf of Mexico). Remote Sens. 2019, 11, 1652. [Google Scholar] [CrossRef]
- Wen, J.; Fang, X.; Cui, J.; Fei, L.; Yan, K.; Chen, Y.; Xu, Y. Robust sparse linear discriminant analysis. IEEE Trans. Circuits Syst. Video Technol. 2018, 29, 390–403. [Google Scholar] [CrossRef]
- Zhao, H.; Wang, Z.; Nie, F. A new formulation of linear discriminant analysis for robust dimensionality reduction. IEEE Trans. Knowl. Data Eng. 2018, 31, 629–640. [Google Scholar] [CrossRef]
- Abid, A.; Zhang, M.J.; Bagaria, V.K.; Zou, J. Exploring patterns enriched in a dataset with contrastive principal component analysis. Nat. Commun. 2018, 9, 2134. [Google Scholar] [CrossRef]
- Dong, W.; Woźniak, M.; Wu, J.; Li, W.; Bai, Z. Denoising aggregation of graph neural networks by using principal component analysis. IEEE Trans. Ind. Inform. 2022, 19, 2385–2394. [Google Scholar] [CrossRef]
- Feng, X.R.; Li, H.C.; Wang, R.; Du, Q.; Jia, X.; Plaza, A. Hyperspectral unmixing based on nonnegative matrix factorization: A comprehensive review. IEEE J. Sel. Top. Appl. Earth Obs. Remote Sens. 2022, 15, 4414–4436. [Google Scholar] [CrossRef]
- Amoruso, A.; Crescentini, L.; Costa, R. Spatial Dispersion and Non-Negative Matrix Factorization of SAR Backscattering as Tools for Monitoring Snow Depth Evolution in Mountain Areas: A Case Study at Central Pyrenees (Spain). Remote Sens. 2022, 14, 653. [Google Scholar] [CrossRef]
- Cao, C.; Cao, Z.; Cui, Z.; Wang, L. Incremental robust non-negative matrix factorization for SAR image recognition. In Proceedings of the 2019 6th Asia-Pacific Conference on Synthetic Aperture Radar (APSAR), Xiamen, China, 26–29 November 2019; IEEE: Piscataway, NJ, USA, 2019; pp. 1–5. [Google Scholar]
- Okwuashi, O.; Ndehedehe, C.E. Deep support vector machine for hyperspectral image classification. Pattern Recognit. 2020, 103, 107298. [Google Scholar] [CrossRef]
- Rostami, O.; Kaveh, M. Optimal feature selection for SAR image classification using biogeography-based optimization (BBO), artificial bee colony (ABC) and support vector machine (SVM): A combined approach of optimization and machine learning. Comput. Geosci. 2021, 25, 911–930. [Google Scholar] [CrossRef]
- Li, X.M.; Sun, Y.; Zhang, Q. Extraction of sea ice cover by Sentinel-1 SAR based on support vector machine with unsupervised generation of training data. IEEE Trans. Geosci. Remote Sens. 2020, 59, 3040–3053. [Google Scholar] [CrossRef]
- Conceição, M.R.A.; de Mendonça, L.F.F.; Lentini, C.A.D.; da Cunha Lima, A.T.; Lopes, J.M.; de Vasconcelos, R.N.; Porsani, M.J. SAR oil Spill detection system through random forest classifiers. Remote Sens. 2021, 13, 2044. [Google Scholar] [CrossRef]
- Wang, H.; Magagi, R.; Goïta, K.; Trudel, M.; McNairn, H.; Powers, J. Crop phenology retrieval via polarimetric SAR decomposition and Random Forest algorithm. Remote Sens. Environ. 2019, 231, 111234. [Google Scholar] [CrossRef]
- Mastro, P.; Masiello, G.; Serio, C.; Pepe, A. Change Detection Techniques with Synthetic Aperture Radar Images: Experiments with Random Forests and Sentinel-1 Observations. Remote Sens. 2022, 14, 3323. [Google Scholar] [CrossRef]
- Zhao, S.; Zhang, Z.; Zhang, T.; Guo, W.; Luo, Y. Transferable SAR image classification crossing different satellites under open set condition. IEEE Geosci. Remote Sens. Lett. 2022, 19, 4506005. [Google Scholar] [CrossRef]
- Bendale, A.; Boult, T.E. Towards open set deep networks. In Proceedings of the IEEE Conference on Computer Vision and Pattern Recognition, Las Vegas, NV, USA, 27–30 June 2016; pp. 1563–1572. [Google Scholar]
- Ma, X.; Ji, K.; Zhang, L.; Feng, S.; Xiong, B.; Kuang, G. An open set recognition method for SAR targets based on multitask learning. IEEE Geosci. Remote Sens. Lett. 2021, 19, 4014005. [Google Scholar] [CrossRef]
- Cevikalp, H.; Uzun, B.; Salk, Y.; Saribas, H.; Köpüklü, O. From anomaly detection to open set recognition: Bridging the gap. Pattern Recognit. 2023, 138, 109385. [Google Scholar] [CrossRef]
- Scheirer, W.J.; Jain, L.P.; Boult, T.E. Probability models for open set recognition. IEEE Trans. Pattern Anal. Mach. Intell. 2014, 36, 2317–2324. [Google Scholar] [CrossRef] [PubMed]
- Geng, C.; Huang, S.J.; Chen, S. Recent advances in open set recognition: A survey. IEEE Trans. Pattern Anal. Mach. Intell. 2020, 43, 3614–3631. [Google Scholar] [CrossRef] [PubMed]
- Li, C.; Fehérvári, I.; Zhao, X.; Macedo, I.; Appalaraju, S. Seetek: Very large-scale open-set logo recognition with text-aware metric learning. In Proceedings of the IEEE/CVF Winter Conference on Applications of Computer Vision, Waikoloa, HI, USA, 4–8 January 2022; pp. 2544–2553. [Google Scholar]
- Rudd, E.M.; Jain, L.P.; Scheirer, W.J.; Boult, T.E. The extreme value machine. IEEE Trans. Pattern Anal. Mach. Intell. 2017, 40, 762–768. [Google Scholar] [CrossRef]
- Mendes Júnior, P.R.; De Souza, R.M.; Werneck, R.D.O.; Stein, B.V.; Pazinato, D.V.; De Almeida, W.R.; Rocha, A. Nearest neighbors distance ratio open-set classifier. Mach. Learn. 2017, 106, 359–386. [Google Scholar] [CrossRef]
- Choe, S.A.; Shin, A.H.; Park, K.H.; Choi, J.; Park, G.M. Open-set domain adaptation for semantic segmentation. In Proceedings of the IEEE/CVF Conference on Computer Vision and Pattern Recognition, Seattle, WA, USA, 17–21 June 2024; pp. 23943–23953. [Google Scholar]
- Ma, X.; Ji, K.; Zhang, L.; Feng, S.; Xiong, B.; Kuang, G. SAR target open-set recognition based on joint training of class-specific sub-dictionary learning. IEEE Geosci. Remote Sens. Lett. 2023, 21, 3500805. [Google Scholar] [CrossRef]
- Cruz, S.; Coleman, C.; Rudd, E.M.; Boult, T.E. Open set intrusion recognition for fine-grained attack categorization. In Proceedings of the 2017 IEEE International Symposium on Technologies for Homeland Security (HST), Waltham, MA, USA, 25–26 April 2017; pp. 1–6. [Google Scholar]
- Giusti, E.; Ghio, S.; Oveis, A.H.; Martorella, M. Open set recognition in synthetic aperture radar using the openmax classifier. In Proceedings of the 2022 IEEE Radar Conference (RadarConf22), New York, NY, USA, 21–25 March 2022; pp. 1–6. [Google Scholar]
- Ma, X.; Ji, K.; Feng, S.; Zhang, L.; Xiong, B.; Kuang, G. Open set recognition with incremental learning for SAR target classification. IEEE Trans. Geosci. Remote Sens. 2023, 61, 5106114. [Google Scholar] [CrossRef]
- Jo, I.; Kim, J.; Kang, H.; Kim, Y.D.; Choi, S. Open set recognition by regularising classifier with fake data generated by generative adversarial networks. In Proceedings of the 2018 IEEE International Conference on Acoustics, Speech and Signal Processing (ICASSP), Calgary, AB, Canada, 15–20 April 2018; pp. 2686–2690. [Google Scholar]
- Yang, Y.; Hou, C.; Lang, Y.; Guan, D.; Huang, D.; Xu, J. Open-set human activity recognition based on micro-Doppler signatures. Pattern Recognit. 2019, 85, 60–69. [Google Scholar] [CrossRef]
- Neal, L.; Olson, M.; Fern, X.; Wong, W.K.; Li, F. Open set learning with counterfactual images. In Proceedings of the European Conference on Computer Vision (ECCV), Munich, Germany, 8–14 September 2018; pp. 613–628. [Google Scholar]
- Schlachter, P.; Liao, Y.; Yang, B. Open-set recognition using intra-class splitting. In Proceedings of the 2019 27th European Signal Processing Conference (EUSIPCO), A Coruna, Spain, 2–6 September 2019; pp. 1–5. [Google Scholar]
- Cardoso, D.O.; Gama, J.; França, F.M. Weightless neural networks for open set recognition. Mach. Learn. 2017, 106, 1547–1567. [Google Scholar] [CrossRef]
- Cao, C.; Cao, Z.; Cui, Z. LDGAN: A synthetic aperture radar image generation method for automatic target recognition. IEEE Trans. Geosci. Remote Sens. 2019, 58, 3495–3508. [Google Scholar] [CrossRef]
- Cao, C.; Cui, Z.; Wang, L.; Wang, J.; Cao, Z.; Yang, J. A demand-driven SAR target sample generation method for imbalanced data learning. IEEE Trans. Geosci. Remote Sens. 2021, 60, 5219315. [Google Scholar] [CrossRef]
- Kong, S.; Ramanan, D. Opengan: Open-set recognition via open data generation. In Proceedings of the IEEE/CVF International Conference on Computer Vision, Montreal, QC, Canada, 10–17 October 2021; pp. 813–822. [Google Scholar]
- Cevikalp, H. Best fitting hyperplanes for classification. IEEE Trans. Pattern Anal. Mach. Intell. 2016, 39, 1076–1088. [Google Scholar] [CrossRef]
- Giusti, E.; Ghio, S.; Oveis, A.H.; Martorella, M. Proportional similarity-based Openmax classifier for open set recognition in SAR images. Remote Sens. 2022, 14, 4665. [Google Scholar] [CrossRef]
- Abdi, H.; Williams, L.J. Principal component analysis. Wiley Interdiscip. Rev. Comput. Stat. 2010, 4, 433–459. [Google Scholar] [CrossRef]
- Chen, B.; Deng, W.; Du, J. Noisy softmax: Improving the generalization ability of dcnn via postponing the early softmax saturation. In Proceedings of the IEEE Conference on Computer Vision and Pattern Recognition, Honolulu, HI, USA, 21–26 July 2017; pp. 5372–5381. [Google Scholar]
- Ge, Z.; Demyanov, S.; Chen, Z.; Garnavi, R. Generative openmax for multi-class open set classification. arXiv 2017, arXiv:1707.07418. [Google Scholar]
- Zhou, D.W.; Ye, H.J.; Zhan, D.C. Learning placeholders for open-set recognition. In Proceedings of the IEEE/CVF Conference on Computer Vision and Pattern Recognition, Nashville, TN, USA, 19–25 June 2021; pp. 4401–4410. [Google Scholar]










| Target Type | Serial No. | # Images () | # Images () |
|---|---|---|---|
| 2S1 | b01 | 299 | 274 |
| BMP2 | 9563 | 233 | 195 |
| BRDM2 | E-71 | 298 | 274 |
| BTR60 | k10yt7532 | 256 | 195 |
| BTR70 | c71 | 233 | 196 |
| D7 | 92v13015 | 299 | 274 |
| T62 | A51 | 299 | 273 |
| T72 | sn-132 | 232 | 196 |
| ZIL131 | E12 | 299 | 274 |
| ZSU23/4 | d08 | None | 274 |
| Method | Openness | ||||
|---|---|---|---|---|---|
| 5.13% | 10.56% | 16.33% | 22.54% | 29.29% | |
| Softmax | 89.63 (±0.05) | 82.02 (±1 × 10−4) | 73.98 (±1 × 10−5) | 62.54 (±1.05) | 47.96 (±1 × 10−6) |
| OpenMax | 85.57 (±0.01) | 85.85 (±1.02) | 77.40 (±0.98) | 74.28 (±1.08) | 69.91 (±0.83) |
| G-OpenMax | 81.19 (±0.54) | 83.64 (±1.59) | 75.37 (±7.39) | 73.59 (±5.59) | 65.50 (±10.2) |
| Placeholder | 91.29 (±0.37) | 82.27 (±0.01) | 69.04 (±2 × 10−3) | 59.41 (±0.12) | 50.77 (±0.19) |
| Proposed Method | 90.78 (±0.18) | 91.31 (±0.37) | 85.26 (±0.37) | 84.98 (±0.85) | 84.34 (±0.26) |
| Method | Openness | ||||
|---|---|---|---|---|---|
| 5.13% | 10.56% | 16.33% | 22.54% | 29.29% | |
| Softmax | 0.895 (±0.45) | 0.861 (±1 × 10−7) | 0.793 (±1 × 10−7) | 0.712 (±1 × 10−4) | 0.656 (±1 × 10−6) |
| OpenMax | 0.869 (±3 × 10−5) | 0.892 (±4 × 10−5) | 0.822 (±5 × 10−5) | 0.793 (±8 × 10−4) | 0.765 (±8 × 10−4) |
| G-OpenMax | 0.845 (±4 × 10−5) | 0.871 (±8 × 10−5) | 0.799 (±6 × 10−3) | 0.793 (±1 × 10−4) | 0.736 (±1 × 10−4) |
| Placeholder | 0.910 (±6 × 10−4) | 0.904 (±2 × 10−6) | 0.754 (±3 × 10−5) | 0.712 (±7 × 10−5) | 0.703 (±2 × 10−5) |
| Proposed Method | 0.914 (±1 × 10−5) | 0.932 (±1 × 10−5) | 0.878 (±1 × 10−5) | 0.859 (±6 × 10−5) | 0.836 (±8 × 10−6) |
| Openness | Total Params | Total FLOPs |
|---|---|---|
| 22.54% | 93,255 | 10,877,120 |
| 16.33% | 93,320 | 10,877,184 |
| 10.56% | 93,385 | 10,877,248 |
| 5.13% | 93,450 | 10,877,312 |
Disclaimer/Publisher’s Note: The statements, opinions and data contained in all publications are solely those of the individual author(s) and contributor(s) and not of MDPI and/or the editor(s). MDPI and/or the editor(s) disclaim responsibility for any injury to people or property resulting from any ideas, methods, instructions or products referred to in the content. |
© 2025 by the authors. Licensee MDPI, Basel, Switzerland. This article is an open access article distributed under the terms and conditions of the Creative Commons Attribution (CC BY) license (https://creativecommons.org/licenses/by/4.0/).
Share and Cite
Cao, C.; Yang, Y.; Zhou, Z.; Liu, B.; Wu, B.; Li, C.; Kong, Y. Out-of-Distribution Knowledge Inference-Based Approach for SAR Imagery Open-Set Recognition. Remote Sens. 2025, 17, 3669. https://doi.org/10.3390/rs17223669
Cao C, Yang Y, Zhou Z, Liu B, Wu B, Li C, Kong Y. Out-of-Distribution Knowledge Inference-Based Approach for SAR Imagery Open-Set Recognition. Remote Sensing. 2025; 17(22):3669. https://doi.org/10.3390/rs17223669
Chicago/Turabian StyleCao, Changjie, Ying Yang, Zhongli Zhou, Bingli Liu, Bizao Wu, Cheng Li, and Yunhui Kong. 2025. "Out-of-Distribution Knowledge Inference-Based Approach for SAR Imagery Open-Set Recognition" Remote Sensing 17, no. 22: 3669. https://doi.org/10.3390/rs17223669
APA StyleCao, C., Yang, Y., Zhou, Z., Liu, B., Wu, B., Li, C., & Kong, Y. (2025). Out-of-Distribution Knowledge Inference-Based Approach for SAR Imagery Open-Set Recognition. Remote Sensing, 17(22), 3669. https://doi.org/10.3390/rs17223669

