Simulation Analysis of Unmanned Aerial Vehicle-Based Laser Remote Sensing for Methane Point Source Traceability and Leakage Quantification
Highlights
- A UAV-based laser remote sensing system combined with an enhanced Gaussian diffusion model and a GA-IPPF optimization algorithm can simultaneously and accurately estimate both the methane leakage rate and the spatial location of the source under various environmental conditions.
- The study quantitatively analyzes the impact of multiple error sources on the inversion results, revealing that wind direction and coordinate errors are the most critical factors affecting source localization accuracy.
- This research provides a practical and efficient methodology for the real-time, high-precision monitoring and quantification of methane point source leaks in industrial environments, overcoming the limitations of existing ground- and satellite-based methods.
- The GA-IPPF algorithm excels in handling wind uncertainties, providing an adaptable framework for mobile emission monitoring.
Abstract
1. Introduction
2. Materials and Methods
2.1. Methane Detection System
2.2. Gas Diffusion Model

| AS | |
|---|---|
| A | 0.22 RD/(1 + 0.0001 RD)0.5 |
| B | 0.16 RD/(1 + 0.0001 RD)0.5 |
| C | 0.11 RD/(1 + 0.0001 RD)0.5 |
| D | 0.08 RD/(1 + 0.0001 RD)0.5 |
| E | 0.06 RD/(1 + 0.0001 RD)0.5 |
| F | 0.04 RD/(1 + 0.0001 RD)0.5 |
2.3. Leakage Data Monitoring
2.4. Data Composition and Processes
2.5. Location and Quantization Algorithm

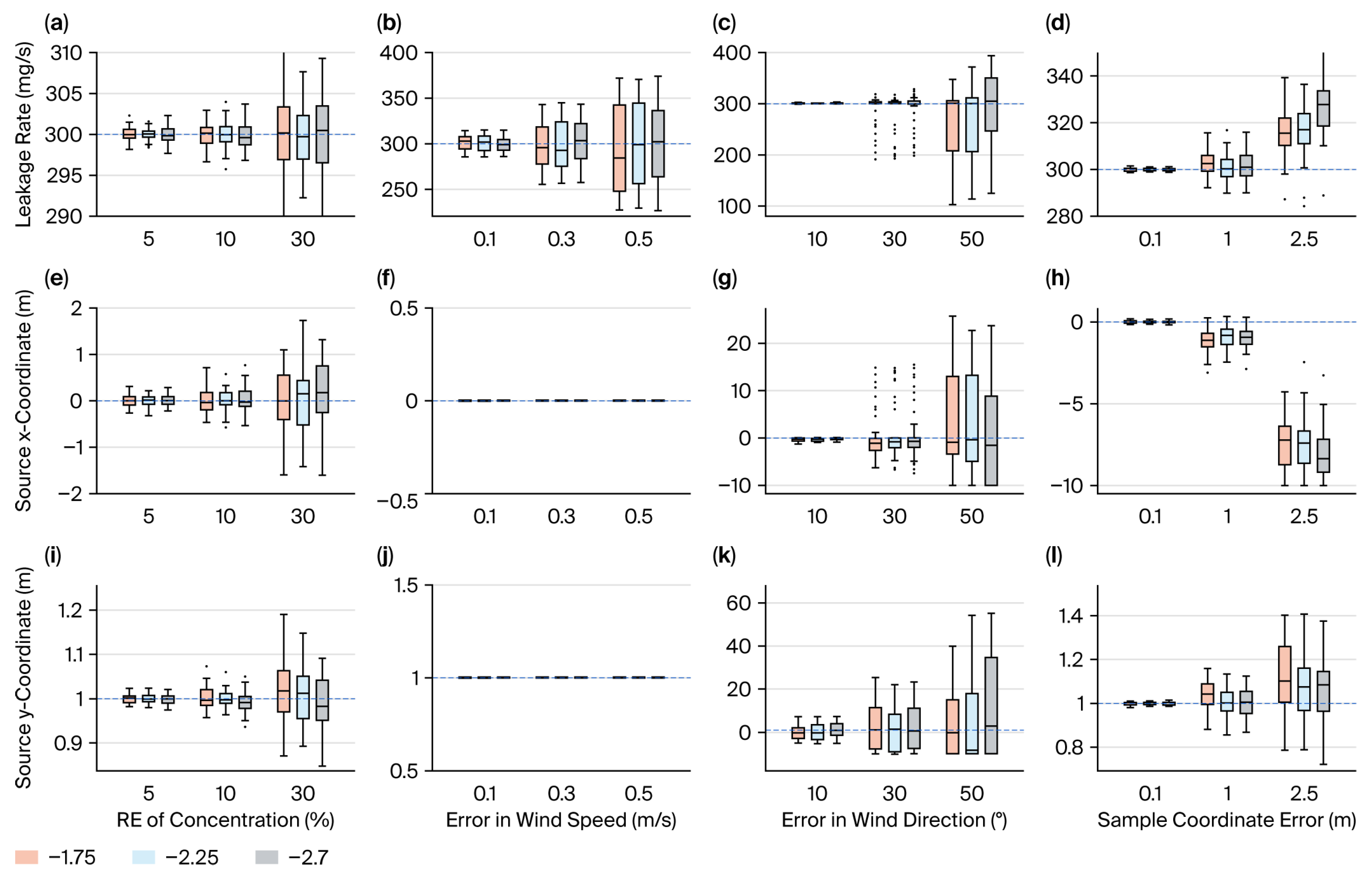
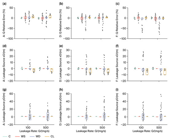
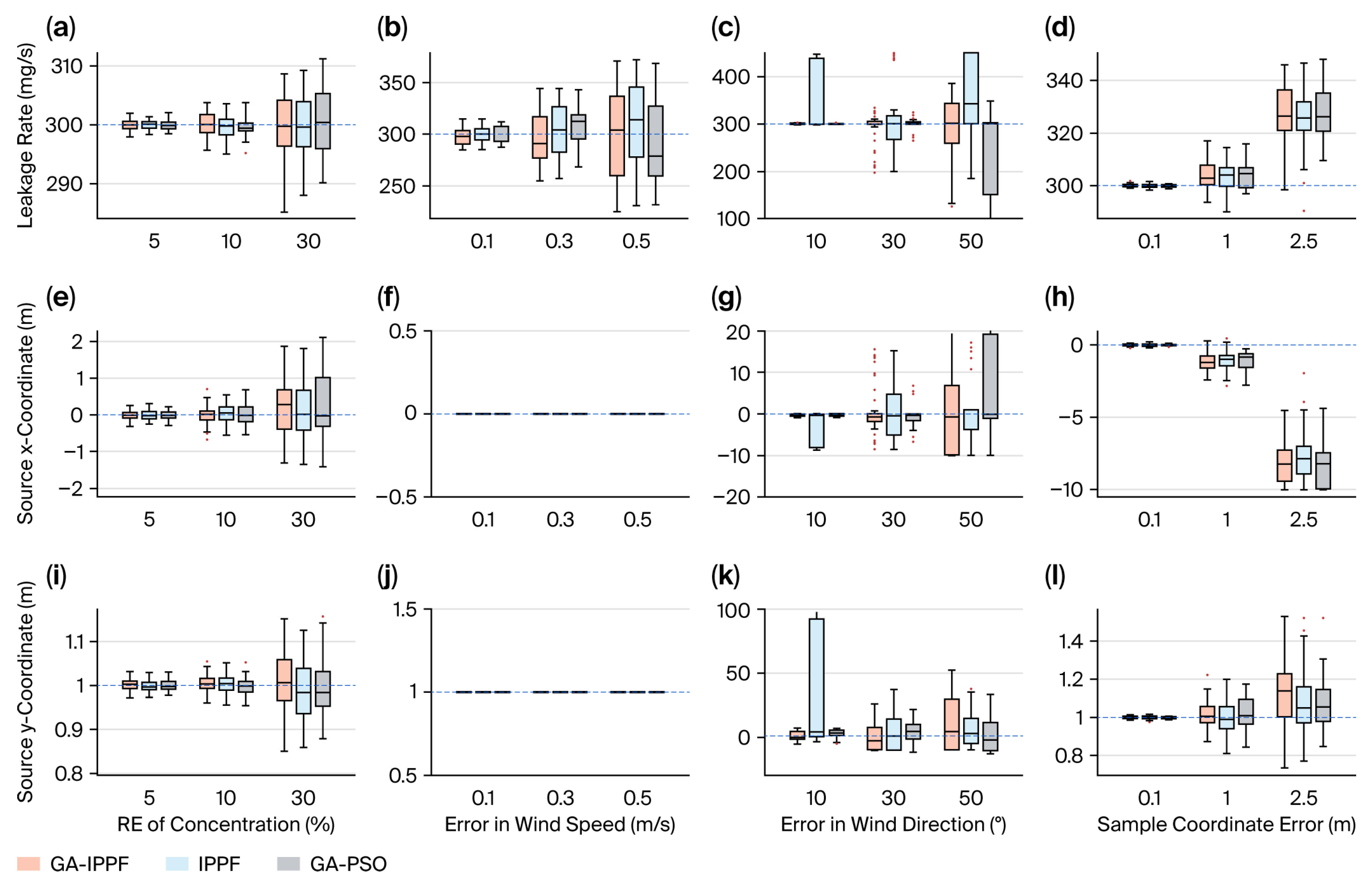
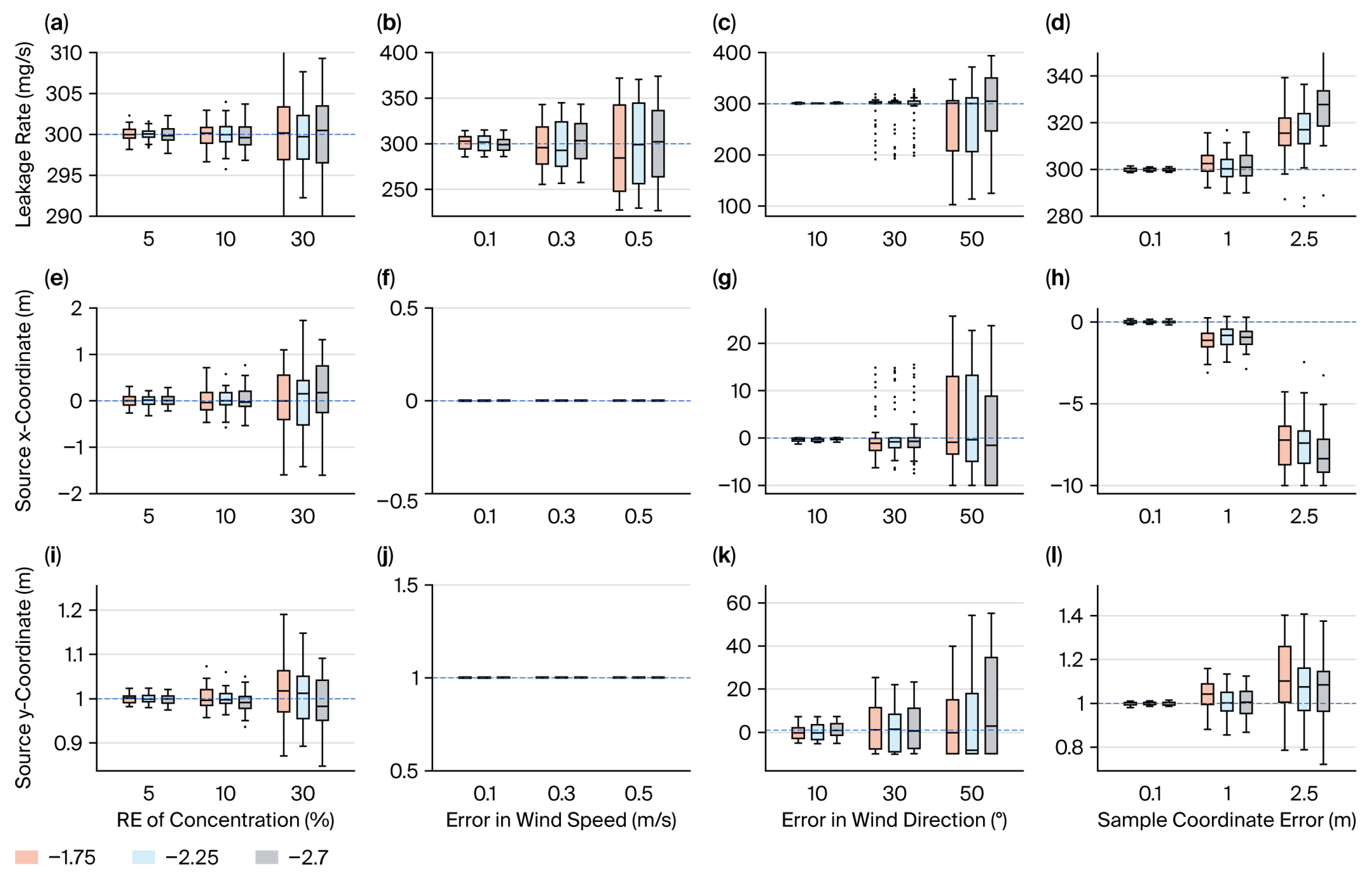
3. Results
3.1. Simulation Data Sampling
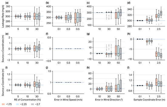
3.2. Inversion Error Effect Analysis
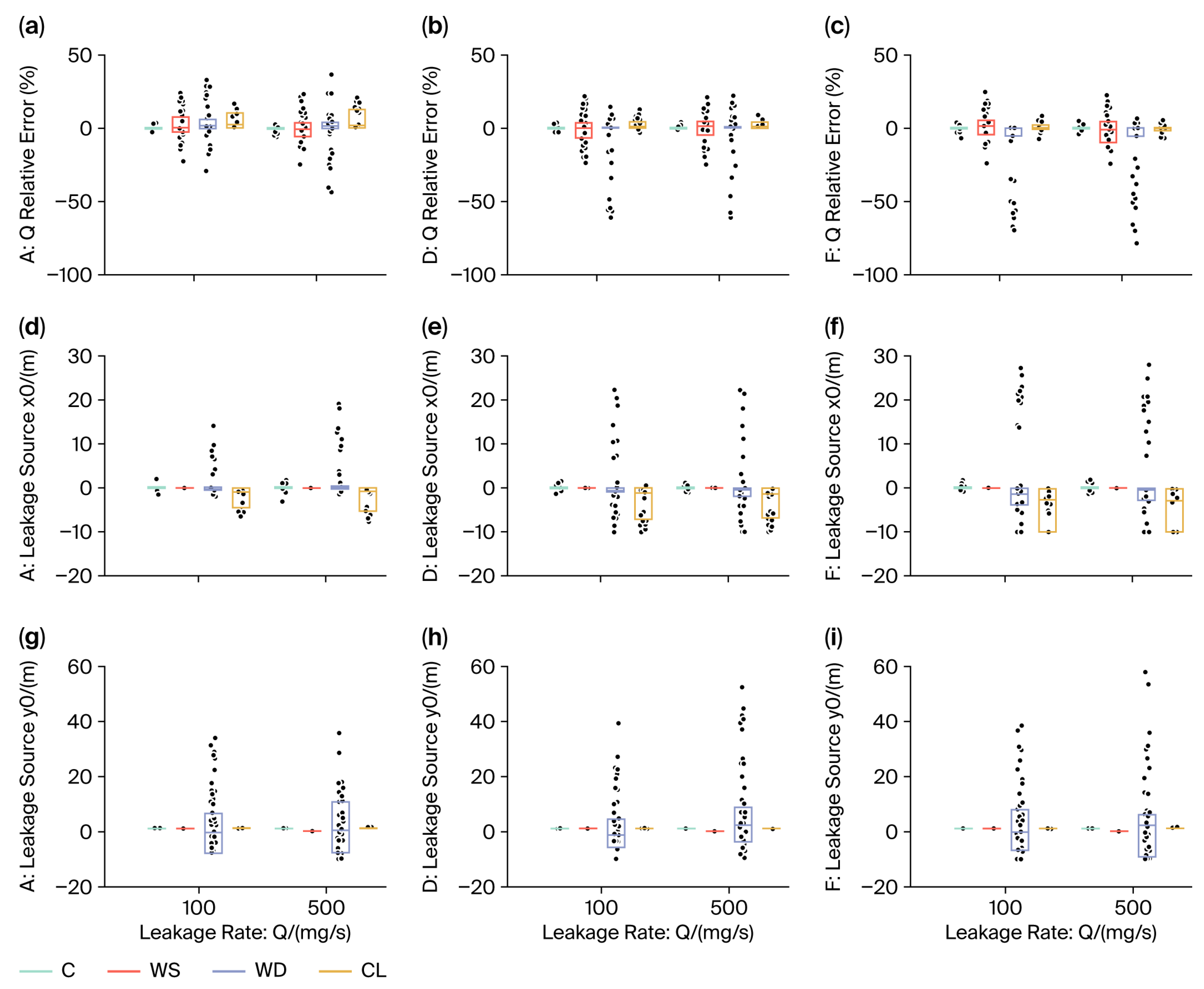
3.3. Multi-Algorithm Performance Evaluation
4. Discussion
5. Conclusions
Author Contributions
Funding
Data Availability Statement
Conflicts of Interest
References
- Etminan, M.; Myhre, G.; Highwood, E.J.; Shine, K.P. Radiative Forcing of Carbon Dioxide, Methane, and Nitrous Oxide: A Significant Revision of the Methane Radiative Forcing. Geophys. Res. Lett. 2016, 43, 12614–12623. [Google Scholar] [CrossRef]
- Staniaszek, Z.; Griffiths, P.T.; Folberth, G.A.; O’Connor, F.M.; Abraham, N.L.; Archibald, A.T. The Role of Future Anthropogenic Methane Emissions in Air Quality and Climate. npj Clim. Atmos. Sci. 2022, 5, 21. [Google Scholar] [CrossRef]
- Mar, K.A.; Unger, C.; Walderdorff, L.; Butler, T. Beyond CO2 Equivalence: The Impacts of Methane on Climate, Ecosystems, and Health. Environ. Sci. Policy 2022, 134, 127–136. [Google Scholar] [CrossRef]
- Alden, C.B.; Wright, R.J.; Coburn, S.C.; Caputi, D.; Wendland, G.; Rybchuk, A.; Conley, S.; Faloona, I.; Rieker, G.B. Temporal Variability of Emissions Revealed by Continuous, Long-Term Monitoring of an Underground Natural Gas Storage Facility. Environ. Sci. Technol. 2020, 54, 14589–14597. [Google Scholar] [CrossRef]
- Alden, C.B.; Coburn, S.C.; Wright, R.J.; Baumann, E.; Cossel, K.; Perez, E.; Hoenig, E.; Prasad, K.; Coddington, I.; Rieker, G.B. Single-Blind Quantification of Natural Gas Leaks from 1 Km Distance Using Frequency Combs. Environ. Sci. Technol. 2019, 53, 2908–2917. [Google Scholar] [CrossRef]
- Jackson, R.B.; Saunois, M.; Martinez, A.; Canadell, J.G.; Yu, X.; Li, M.; Poulter, B.; Raymond, P.A.; Regnier, P.; Ciais, P.; et al. Human Activities Now Fuel Two-Thirds of Global Methane Emissions. Environ. Res. Lett. 2024, 19, 101002. [Google Scholar] [CrossRef]
- Skeie, R.B.; Hodnebrog, Ø.; Myhre, G. Trends in Atmospheric Methane Concentrations since 1990 Were Driven and Modified by Anthropogenic Emissions. Commun. Earth Environ. 2023, 4, 317. [Google Scholar] [CrossRef]
- Cooper, J.; Balcombe, P.; Hawkes, A. The Quantification of Methane Emissions and Assessment of Emissions Data for the Largest Natural Gas Supply Chains. J. Clean. Prod. 2021, 320, 128856. [Google Scholar] [CrossRef]
- Lu, H.; Iseley, T.; Behbahani, S.; Fu, L. Leakage Detection Techniques for Oil and Gas Pipelines: State-of-the-Art. Tunn. Undergr. Space Technol. 2020, 98, 103249. [Google Scholar] [CrossRef]
- Gibson, G.M.; Sun, B.; Edgar, M.P.; Phillips, D.B.; Hempler, N.; Maker, G.T.; Malcolm, G.P.A.; Padgett, M.J. Real-Time Imaging of Methane Gas Leaks Using a Single-Pixel Camera. Opt. Express 2017, 25, 2998–3005. [Google Scholar] [CrossRef]
- Gålfalk, M.; Olofsson, G.; Crill, P.M.; Bastviken, D. Making Methane Visible. Nat. Clim. Change 2016, 6, 426–430. [Google Scholar] [CrossRef]
- Kang, R.; Liatsis, P.; Kyritsis, D.C. Emission Quantification via Passive Infrared Optical Gas Imaging: A Review. Energies 2022, 15, 3304. [Google Scholar] [CrossRef]
- Hu, Y.; Xu, L.; Shen, X.; Jin, L.; Xu, H.; Deng, Y.; Liu, J.; Liu, W. Reconstruction of a Leaking Gas Cloud from a Passive FTIR Scanning Remote-Sensing Imaging System. Appl. Opt. 2021, 60, 9396–9403. [Google Scholar] [CrossRef] [PubMed]
- Badawi, D.; Bassi, I.; Ozev, S.; Cetin, A.E. Deep-Learning-Based Gas Leak Source Localization from Sparse Sensor Data. IEEE Sens. J. 2022, 22, 20999–21008. [Google Scholar] [CrossRef]
- Buchwitz, M.; Schneising, O.; Reuter, M.; Heymann, J.; Krautwurst, S.; Bovensmann, H.; Burrows, J.P.; Boesch, H.; Parker, R.J.; Somkuti, P.; et al. Satellite-Derived Methane Hotspot Emission Estimates Using a Fast Data-Driven Method. Atmos. Chem. Phys. 2016, 17, 5751–5774. [Google Scholar] [CrossRef]
- Chen, Z.; Jacob, D.J.; Nesser, H.; Sulprizio, M.P.; Lorente, A.; Varon, D.J.; Lu, X.; Shen, L.; Qu, Z.; Penn, E.; et al. Methane Emissions from China: A High-Resolution Inversion of TROPOMI Satellite Observations. Atmos. Chem. Phys. 2022, 22, 10809–10826. [Google Scholar] [CrossRef]
- Jacob, D.J.; Varon, D.J.; Cusworth, D.H.; Dennison, P.E.; Frankenberg, C.; Gautam, R.; Guanter, L.; Kelley, J.; McKeever, J.; Ott, L.E.; et al. Quantifying Methane Emissions from the Global Scale down to Point Sources Using Satellite Observations of Atmospheric Methane. Atmos. Chem. Phys. 2022, 22, 9617–9646. [Google Scholar] [CrossRef]
- Roscioli, J.R.; Yacovitch, T.I.; Floerchinger, C.; Mitchell, A.L.; Tkacik, D.S.; Subramanian, R.; Martinez, D.M.; Vaughn, T.L.; Williams, L.; Zimmerle, D.; et al. Measurements of Methane Emissions from Natural Gas Gathering Facilities and Processing Plants: Measurement Methods. Atmos. Meas. Tech. 2015, 8, 2017–2035. [Google Scholar] [CrossRef]
- Esparza, Á.E.; Rowan, G.; Newhook, A.; Deglint, H.J.; Garrison, B.; Orth-Lashley, B.; Girard, M.; Shaw, W. Analysis of a Tiered Top-down Approach Using Satellite and Aircraft Platforms to Monitor Oil and Gas Facilities in the Permian Basin. Renew. Sustain. Energy Rev. 2023, 178, 113265. [Google Scholar] [CrossRef]
- Francis, A.; Li, S.; Griffiths, C.; Sienz, J. Gas Source Localization and Mapping with Mobile Robots: A Review. J. Field Robot. 2022, 39, 1341–1373. [Google Scholar] [CrossRef]
- Dang, J.; Kong, L.; Zheng, C.; Wang, Y.; Sun, Y.; Yu, H. An Open-Path Sensor for Simultaneous Atmospheric Pressure Detection of CO and CH4 around 2.33 Μm. Opt. Lasers Eng. 2019, 123, 1–7. [Google Scholar] [CrossRef]
- Liu, C.; Liao, Y.; Cui, Z.; Li, Y.; Weng, C. Sound–Turbulence Interaction Model for Low Mach Number Flows and Its Application in Natural Gas Pipeline Leak Location. Process Saf. Environ. Prot. 2020, 143, 239–247. [Google Scholar] [CrossRef]
- Yong, Z.; Liyi, Z.; Jianfeng, H.; Zhe, B.; Yi, Y. An Indoor Gas Leakage Source Localization Algorithm Using Distributed Maximum Likelihood Estimation in Sensor Networks. J. Ambient. Intell. Hum. Comput. 2019, 10, 1703–1712. [Google Scholar] [CrossRef]
- Ye, W.; Zhou, B.; Tu, Z.; Xiao, X.; Yan, J.; Wu, T.; Wu, F.; Zheng, C.; Tittel, F.K. Leakage Source Location Based on Gaussian Plume Diffusion Model Using a Near-Infrared Sensor. Infrared Phys. Technol. 2020, 109, 103411. [Google Scholar] [CrossRef]
- Weidmann, D.; Hirst, B.; Jones, M.; Ijzermans, R.; Randell, D.; Macleod, N.; Kannath, A.; Chu, J.; Dean, M. Locating and Quantifying Methane Emissions by Inverse Analysis of Path-Integrated Concentration Data Using a Markov-Chain Monte Carlo Approach. ACS Earth Space Chem. 2022, 6, 2190–2198. [Google Scholar] [CrossRef]
- Yu, L.; Zheng, K.; Xi, Z.; Zhang, Y.; Yan, G.; Song, F.; Wang, Y.; Tittel, F.K.; Zheng, C. Methane Leakage Source Location Based on a Near-Infrared off-Axis Integrated Cavity Output Spectroscopic Ppbv-Level Sensor and an Optimized Inverse Model. Infrared Phys. Technol. 2022, 121, 104021. [Google Scholar] [CrossRef]
- Ravikumar, A.P.; Sreedhara, S.; Wang, J.; Englander, J.; Roda-Stuart, D.; Bell, C.; Zimmerle, D.; Lyon, D.; Mogstad, I.; Ratner, B.; et al. Single-Blind Inter-Comparison of Methane Detection Technologies—Results from the Stanford/EDF Mobile Monitoring Challenge. Elem. Sci. Anthr. 2019, 7, 37. [Google Scholar] [CrossRef]
- Johnson, M.R.; Tyner, D.R.; Szekeres, A.J. Blinded Evaluation of Airborne Methane Source Detection Using Bridger Photonics LiDAR. Remote Sens. Environ. 2021, 259, 112418. [Google Scholar] [CrossRef]
- Bell, C.; Rutherford, J.; Brandt, A.; Sherwin, E.; Vaughn, T.; Zimmerle, D. Single-Blind Determination of Methane Detection Limits and Quantification Accuracy Using Aircraft-Based LiDAR. Elem. Sci. Anthr. 2022, 10, 00080. [Google Scholar] [CrossRef]
- Sherwin, E.D.; Rutherford, J.S.; Chen, Y.; Aminfard, S.; Kort, E.A.; Jackson, R.B.; Brandt, A.R. Single-Blind Validation of Space-Based Point-Source Detection and Quantification of Onshore Methane Emissions. Sci. Rep. 2023, 13, 3836. [Google Scholar] [CrossRef]
- Iwaszenko, S.; Kalisz, P.; Słota, M.; Rudzki, A. Detection of Natural Gas Leakages Using a Laser-Based Methane Sensor and UAV. Remote Sens. 2021, 13, 510. [Google Scholar] [CrossRef]
- Vinković, K.; Andersen, T.; De Vries, M.; Kers, B.; Van Heuven, S.; Peters, W.; Hensen, A.; Van Den Bulk, P.; Chen, H. Evaluating the Use of an Unmanned Aerial Vehicle (UAV)-Based Active AirCore System to Quantify Methane Emissions from Dairy Cows. Sci. Total Environ. 2022, 831, 154898. [Google Scholar] [CrossRef] [PubMed]
- Gålfalk, M.; Nilsson Påledal, S.; Bastviken, D. Sensitive Drone Mapping of Methane Emissions without the Need for Supplementary Ground-Based Measurements. ACS Earth Space Chem. 2021, 5, 2668–2676. [Google Scholar] [CrossRef] [PubMed]
- Allen, G.; Hollingsworth, P.; Kabbabe, K.; Pitt, J.R.; Mead, M.I.; Illingworth, S.; Roberts, G.; Bourn, M.; Shallcross, D.E.; Percival, C.J. The Development and Trial of an Unmanned Aerial System for the Measurement of Methane Flux from Landfill and Greenhouse Gas Emission Hotspots. Waste Manag. 2019, 87, 883–892. [Google Scholar] [CrossRef]
- Shi, T.; Han, Z.; Gong, W.; Ma, X.; Han, G. High-Precision Methodology for Quantifying Gas Point Source Emission. J. Clean. Prod. 2021, 320, 128672. [Google Scholar] [CrossRef]
- Shi, T.; Han, Z.; Han, G.; Ma, X.; Chen, H.; Andersen, T.; Mao, H.; Chen, C.; Zhang, H.; Gong, W. Retrieving CH4-Emission Rates from Coal Mine Ventilation Shafts Using UAV-Based AirCore Observations and the Genetic Algorithm–Interior Point Penalty Function (GA-IPPF) Model. Atmos. Chem. Phys. 2022, 22, 13881–13896. [Google Scholar] [CrossRef]
- Krings, T.; Gerilowski, K.; Buchwitz, M.; Hartmann, J.; Sachs, T.; Erzinger, J.; Burrows, J.P.; Bovensmann, H. Quantification of Methane Emission Rates from Coal Mine Ventilation Shafts Using Airborne Remote Sensing Data. Atmos. Meas. Tech. 2012, 6, 151–166. [Google Scholar] [CrossRef]
- Geng, D.; Wang, D.; Li, Y.; Zhou, W.; Qi, H. Detection Stability Improvement of Near-Infrared Laser Telemetry for Methane Emission from Oil/Gas Station Using a Catadioptric Optical Receiver. Energies 2023, 16, 3854. [Google Scholar] [CrossRef]
- Golston, L.; Aubut, N.; Frish, M.; Yang, S.; Talbot, R.; Gretencord, C.; McSpiritt, J.; Zondlo, M. Natural Gas Fugitive Leak Detection Using an Unmanned Aerial Vehicle: Localization and Quantification of Emission Rate. Atmosphere 2018, 9, 333. [Google Scholar] [CrossRef]
- Corbett, A.; Smith, B. A Study of a Miniature TDLAS System Onboard Two Unmanned Aircraft to Independently Quantify Methane Emissions from Oil and Gas Production Assets and Other Industrial Emitters. Atmosphere 2022, 13, 804. [Google Scholar] [CrossRef]
- Soskind, M.G.; Li, N.P.; Moore, D.P.; Chen, Y.; Wendt, L.P.; McSpiritt, J.; Zondlo, M.A.; Wysocki, G. Stationary and Drone-Assisted Methane Plume Localization with Dispersion Spectroscopy. Remote Sens. Environ. 2023, 289, 113513. [Google Scholar] [CrossRef]
- Cossel, K.C.; Waxman, E.M.; Hoenig, E.; Hesselius, D.; Chaote, C.; Coddington, I.; Newbury, N.R. Ground-to-UAV, Laser-Based Emissions Quantification of Methane and Acetylene at Long Standoff Distances. Atmos. Meas. Tech. 2023, 16, 5697–5707. [Google Scholar] [CrossRef]
- Visscher, A.D.; Visscher, A.D. Air Dispersion Modeling: Foundations and Applications. Expert Rev. Obstet. Gynecol. 2014, 4, 149–163. [Google Scholar]
- Werner, C. Finnish Wind Data Management and Usage for Gauss Modeling with SoundPlan-7.2 Software. Bachelor’s Thesis, Tampere University of Applied Sciences, Tampere, Finland, 2015. [Google Scholar]













| Parameters | Value | Unit |
|---|---|---|
| Equipment Observation altitude | 50 | m |
| Risley angle | 10 | ° |
| Leakage source coordinates | (x0 = 0, y0 = 1) | m |
| Leakage rate | 100, 300, 500 | mg/s |
| Atmospheric stability | A, D, F | - |
| Wind speed | 2, 5, 7 | m/s |
| Wind direction | 270 | ° |
| Atmospheric Temperature | 300 | K |
| Atmospheric pressure | 101,325 | Pa |
| Parameters | Value | Unit |
|---|---|---|
| Relative error of concentration | 5, 10, 30 | % |
| Absolute error of wind speed | 0.1, 0.3, 0.5 | m/s |
| Absolute error of wind direction | 10, 30, 50 | ° |
| Absolute error of sample coordinate location | 0.1, 1, 2.5 | m |
Disclaimer/Publisher’s Note: The statements, opinions and data contained in all publications are solely those of the individual author(s) and contributor(s) and not of MDPI and/or the editor(s). MDPI and/or the editor(s) disclaim responsibility for any injury to people or property resulting from any ideas, methods, instructions or products referred to in the content. |
© 2025 by the authors. Licensee MDPI, Basel, Switzerland. This article is an open access article distributed under the terms and conditions of the Creative Commons Attribution (CC BY) license (https://creativecommons.org/licenses/by/4.0/).
Share and Cite
Zhu, S.; Wang, C.; Zhang, Y.; Yang, W.; Liu, X.; Yang, L.; Wang, S.; Zhang, T.; He, X.; Hu, C.; et al. Simulation Analysis of Unmanned Aerial Vehicle-Based Laser Remote Sensing for Methane Point Source Traceability and Leakage Quantification. Remote Sens. 2025, 17, 3670. https://doi.org/10.3390/rs17223670
Zhu S, Wang C, Zhang Y, Yang W, Liu X, Yang L, Wang S, Zhang T, He X, Hu C, et al. Simulation Analysis of Unmanned Aerial Vehicle-Based Laser Remote Sensing for Methane Point Source Traceability and Leakage Quantification. Remote Sensing. 2025; 17(22):3670. https://doi.org/10.3390/rs17223670
Chicago/Turabian StyleZhu, Shouzheng, Ceyuan Wang, Yangyang Zhang, Wenhang Yang, Xu Liu, Liu Yang, Senyuan Wang, Tongxu Zhang, Xin He, Chenhui Hu, and et al. 2025. "Simulation Analysis of Unmanned Aerial Vehicle-Based Laser Remote Sensing for Methane Point Source Traceability and Leakage Quantification" Remote Sensing 17, no. 22: 3670. https://doi.org/10.3390/rs17223670
APA StyleZhu, S., Wang, C., Zhang, Y., Yang, W., Liu, X., Yang, L., Wang, S., Zhang, T., He, X., Hu, C., Li, S., Cui, Z., Chen, Y., Li, C., & Wang, J. (2025). Simulation Analysis of Unmanned Aerial Vehicle-Based Laser Remote Sensing for Methane Point Source Traceability and Leakage Quantification. Remote Sensing, 17(22), 3670. https://doi.org/10.3390/rs17223670

