Integrated Rainfall Estimation Using Rain Gauges and Weather Radar: Implications for Rainfall-Induced Landslides
Highlights
- The integration of radar and rain gauge data significantly improves the quality of spatial rainfall representation compared to using rain gauges alone, even in rela-tively small and densely instrumented areas.
 - Radar data calibrated with rain gauges provides a more accurate estimate of landslide-triggering rainfall.
 
- Improved rainfall estimates based on the combined use of radar and rain gauges, enhance landslide risk assessment and the reconstruction of cumulative rainfall that triggers landslide events.
 - The integrated approach of radar and rain gauge data generally supports a better understanding of hydrological and geomorphological processes and a more effec-tive management of flood and landslide risk, providing more realistic inputs for hydrological modeling and early warning systems.
 
Abstract
1. Introduction
2. Study Area and Data
2.1. Study Area
2.2. Radar and Rain Gauge Data
2.2.1. Weather Radar Data
2.2.2. Rain Gauge Data
2.3. Landslides Database
3. Method
3.1. Radar Validation and Calibration
3.2. Assessing Maximum Rainfall Intensity
3.3. Assessing Rainfall Inputs Related to Landslides
4. Results and Analysis
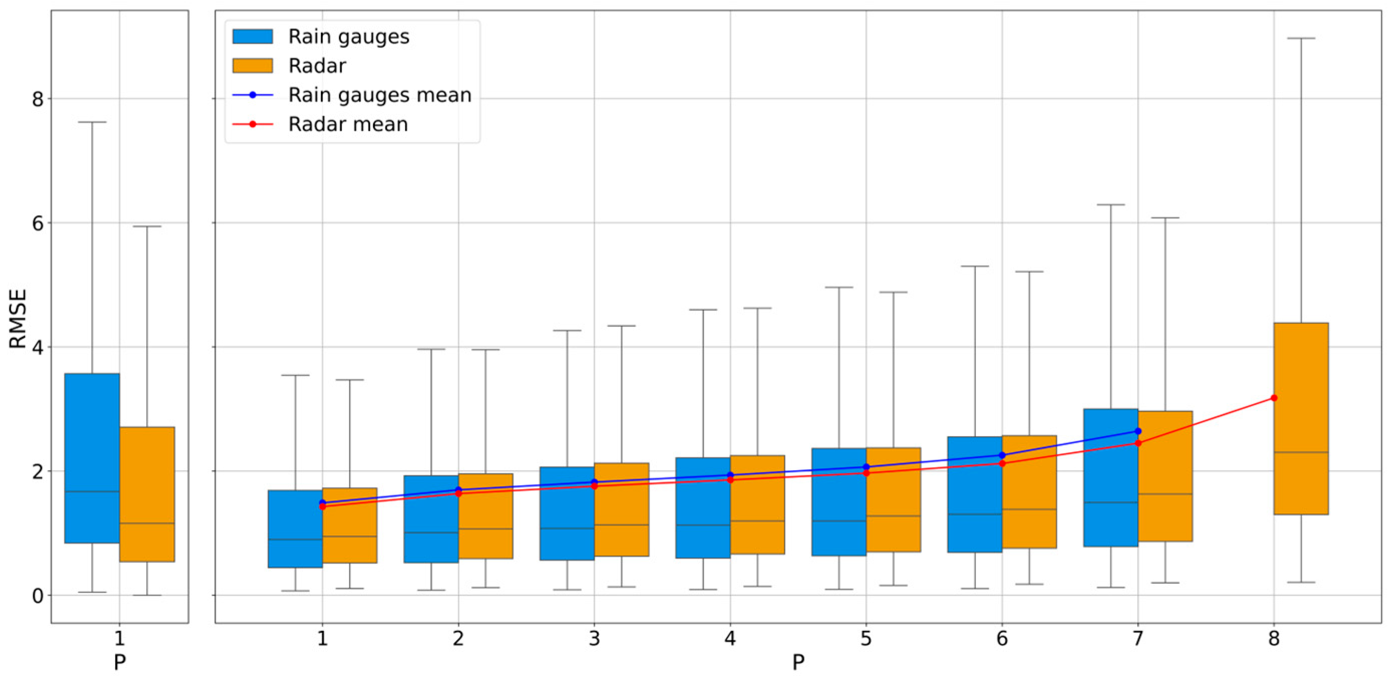
5. Discussion
6. Conclusions
Author Contributions
Funding
Data Availability Statement
Conflicts of Interest
References
- Ly, S.; Charles, C.; Degré, A. Different Methods for Spatial Interpolation of Rainfall Data for Operational Hydrology and Hydrological Modeling at Watershed Scale: A Review. [Méthodes de spatialisation de données pluviométriques dédiées à l’hydrologie opérationnelle et à la modélisation hydrologique à l’échelle du bassin versant: Une revue bibliographique]. Biotechnol. Agron. Soc. Environ. 2013, 17, 392–406. [Google Scholar]
 - Villarini, G.; Mandapaka, P.V.; Krajewski, W.F.; Moore, R.J. Rainfall and Sampling Uncertainties: A Rain Gauge Perspective. J. Geophys. Res. Atmos. 2008, 113, 2007JD009214. [Google Scholar] [CrossRef]
 - Otieno, H.; Yang, J.; Liu, W.; Han, D. Influence of Rain Gauge Density on Interpolation Method Selection. J. Hydrol. Eng. 2014, 19, 04014024. [Google Scholar] [CrossRef]
 - Garcia, M.; Peters-Lidard, C.D.; Goodrich, D.C. Spatial Interpolation of Precipitation in a Dense Gauge Network for Monsoon Storm Events in the Southwestern United States. Water Resour. Res. 2008, 44, 2006WR005788. [Google Scholar] [CrossRef]
 - O, S.; Foelsche, U. Assessment of Spatial Uncertainty of Heavy Rainfall at Catchment Scale Using a Dense Gauge Network. Hydrol. Earth Syst. Sci. 2019, 23, 2863–2875. [Google Scholar] [CrossRef]
 - Avolio, E.; Cavalcanti, O.; Furnari, L.; Senatore, A.; Mendicino, G. Brief Communication: Preliminary Hydro-Meteorological Analysis of the Flash Flood of 20 August 2018 in Raganello Gorge, Southern Italy. Nat. Hazards Earth Syst. Sci. 2019, 19, 1619–1627. [Google Scholar] [CrossRef]
 - Gabriele, S.; Chiaravalloti, F.; Procopio, A. Radar–Rain-Gauge Rainfall Estimation for Hydrological Applications in Small Catchments. Adv. Geosci. 2017, 44, 61–66. [Google Scholar] [CrossRef]
 - Park, I.-H.; Min, S.-K. Role of Convective Precipitation in the Relationship between Subdaily Extreme Precipitation and Temperature. J. Clim. 2017, 30, 9527–9537. [Google Scholar] [CrossRef]
 - Guzzetti, F.; Peruccacci, S.; Rossi, M.; Stark, C.P. The Rainfall Intensity–Duration Control of Shallow Landslides and Debris Flows: An Update. Landslides 2008, 5, 3–17. [Google Scholar] [CrossRef]
 - Guzzetti, F.; Gariano, S.L.; Peruccacci, S.; Brunetti, M.T.; Melillo, M. Chapter 15—Rainfall and Landslide Initiation. In Rainfall: Modelling, Measurement and Applications; Morbidelli, R., Ed.; Elsevier: Amsterdam, The Netherlands, 2022; pp. 427–450. ISBN 978-0-12-822544-8. [Google Scholar]
 - D’Ippolito, A.; Lupiano, V.; Rago, V.; Terranova, O.G.; Iovine, G. Triggering of Rain-Induced Landslides, with Applications in Southern Italy. Water 2023, 15, 277. [Google Scholar] [CrossRef]
 - Schroeer, K.; Kirchengast, G.; Sungmin, O. Strong Dependence of Extreme Convective Precipitation Intensities on Gauge Network Density. Geophys. Res. Lett. 2018, 45, 8253–8263. [Google Scholar] [CrossRef]
 - Hosseinzadehtalaei, P.; Tabari, H.; Willems, P. Climate Change Impact on Short-Duration Extreme Precipitation and Intensity–Duration–Frequency Curves over Europe. J. Hydrol. 2020, 590, 125249. [Google Scholar] [CrossRef]
 - Sokol, Z.; Szturc, J.; Orellana-Alvear, J.; Popová, J.; Jurczyk, A.; Célleri, R. The Role of Weather Radar in Rainfall Estimation and Its Application in Meteorological and Hydrological Modelling—A Review. Remote Sens. 2021, 13, 351. [Google Scholar] [CrossRef]
 - Ryzhkov, A.; Zhang, P.; Bukovčić, P.; Zhang, J.; Cocks, S. Polarimetric Radar Quantitative Precipitation Estimation. Remote Sens. 2022, 14, 1695. [Google Scholar] [CrossRef]
 - Borga, M.; Marra, F.; Gabella, M. Chapter 5—Rainfall Estimation by Weather Radar. In Rainfall: Modelling, Measurement and Applications; Morbidelli, R., Ed.; Elsevier: Amsterdam, The Netherlands, 2022; pp. 109–134. ISBN 978-0-12-822544-8. [Google Scholar]
 - Uijlenhoet, R. Raindrop Size Distributions and Radar Reflectivity–Rain Rate Relationships for Radar Hydrology. Hydrol. Earth Syst. Sci. 2001, 5, 615–628. [Google Scholar] [CrossRef]
 - Orellana-Alvear, J.; Célleri, R.; Rollenbeck, R.; Bendix, J. Analysis of Rain Types and Their Z–R Relationships at Different Locations in the High Andes of Southern Ecuador. J. Appl. Meteorol. Climatol. 2017, 56, 3065–3080. [Google Scholar] [CrossRef]
 - Biondi, A.; Facheris, L.; Argenti, F.; Cuccoli, F. Comparison of Different Quantitative Precipitation Estimation Methods Based on a Severe Rainfall Event in Tuscany, Italy, November 2023. Remote Sens. 2024, 16, 3985. [Google Scholar] [CrossRef]
 - Goudenhoofdt, E.; Delobbe, L. Evaluation of Radar-Gauge Merging Methods for Quantitative Precipitation Estimates. Hydrol. Earth Syst. Sci. 2009, 13, 195–203. [Google Scholar] [CrossRef]
 - Rago, V.; Lupiano, V.; Chiaravalloti, F.; Chiodo, G.; Gabriele, S.; Pellegrino, A.D.; Terranova, O.G.; Iovine, G. Geomorphic effects caused by heavy rainfall in the Corigliano-Rossano area (NE Calabria, Italy) on 12 August 2015. J. Maps 2021, 17, 279–288. [Google Scholar] [CrossRef]
 - Rago, V.; Chiaravalloti, F.; Chiodo, G.; Gabriele, S.; Lupiano, V.; Nicastro, R.; Pellegrino, A.D.; Procopio, A.; Siviglia, S.; Terranova, O.G.; et al. Geomorphic effects caused by heavy rainfall in southern Calabria (Italy) on 30 October–1 November 2015. J. Maps 2017, 13, 836–843. [Google Scholar] [CrossRef]
 - Wang, L.-P.; Ochoa-Rodríguez, S.; Simões, N.E.; Onof, C.; Maksimović, Č. Radar–Raingauge Data Combination Techniques: A Revision and Analysis of Their Suitability for Urban Hydrology. Water Sci. Technol. 2013, 68, 737–747. [Google Scholar] [CrossRef]
 - Ochoa-Rodriguez, S.; Wang, L.-P.; Willems, P.; Onof, C. A Review of Radar-Rain Gauge Data Merging Methods and Their Potential for Urban Hydrological Applications. Water Resour. Res. 2019, 55, 6356–6391. [Google Scholar] [CrossRef]
 - Qiu, Q.; Liu, J.; Tian, J.; Jiao, Y.; Li, C.; Wang, W.; Yu, F. Evaluation of the Radar QPE and Rain Gauge Data Merging Methods in Northern China. Remote Sens. 2020, 12, 363. [Google Scholar] [CrossRef]
 - Wilson, J.W.; Brandes, E.A. Radar Measurement of Rainfall—A Summary. Bull. Am. Meteor. Soc. 1979, 60, 1048–1060. [Google Scholar] [CrossRef]
 - Smith, J.A.; Krajewski, W.F. Estimation of the Mean Field Bias of Radar Rainfall Estimates. J. Appl. Meteorol. Climatol. 1991, 30, 397–412. [Google Scholar] [CrossRef]
 - Seo, D.-J.; Breidenbach, J.P.; Johnson, E.R. Real-Time Estimation of Mean Field Bias in Radar Rainfall Data. J. Hydrol. 1999, 223, 131–147. [Google Scholar] [CrossRef]
 - Michelson, D.B.; Koistinen, J. Gauge-Radar Network Adjustment for the Baltic Sea Experiment. Phys. Chem. Earth Part B Hydrol. Ocean. Atmos. 2000, 25, 915–920. [Google Scholar] [CrossRef]
 - Brandes, E.A. Optimizing Rainfall Estimates with the Aid of Radar. J. Appl. Meteor. 1975, 14, 1339–1345. [Google Scholar] [CrossRef]
 - James, W.P.; Robinson, C.G.; Bell, J.F. Radar-Assisted Real-Time Flood Forecasting. J. Water Resour. Plan. Manag. 1993, 119, 32–44. [Google Scholar] [CrossRef]
 - Laurent, L.; Audois, P.; Marie-Joseph, I.; Becker, M.; Seyler, F. Calibration of TRMM 3B42 with Geographical Differential Analysis over North Amazonia. In Proceedings of the IEEE International Geoscience and Remote Sensing Symposium—IGARSS, Melbourne, Australia, 21–26 July 2013; pp. 2234–2237. [Google Scholar]
 - Martens, B.; Cabus, P.; De Jongh, I.; Verhoest, N.E.C. Merging Weather Radar Observations with Ground-Based Measurements of Rainfall Using an Adaptive Multiquadric Surface Fitting Algorithm. J. Hydrol. 2013, 500, 84–96. [Google Scholar] [CrossRef]
 - Nielsen, J.M.; Van De Beek, C.Z.R.; Thorndahl, S.; Olsson, J.; Andersen, C.B.; Andersson, J.C.M.; Rasmussen, M.R.; Nielsen, J.E. Merging Weather Radar Data and Opportunistic Rainfall Sensor Data to Enhance Rainfall Estimates. Atmos. Res. 2024, 300, 107228. [Google Scholar] [CrossRef]
 - Zhang, P.; Liu, X.; Pu, K. Precipitation Monitoring Using Commercial Microwave Links: Current Status, Challenges and Prospectives. Remote Sens. 2023, 15, 4821. [Google Scholar] [CrossRef]
 - Li, B.; Zheng, J.; Shi, X.; Chen, Y. Quantifying the Impact of Mountain Precipitation on Runoff in Hotan River, Northwestern China. Front. Earth Sci. 2020, 14, 568–577. [Google Scholar] [CrossRef]
 - Duan, Z.; Bastiaanssen, W.G.M. First Results from Version 7 TRMM 3B43 Precipitation Product in Combination with a New Downscaling–Calibration Procedure. Remote Sens. Environ. 2013, 131, 1–13. [Google Scholar] [CrossRef]
 - Giannoni, F.; Roth, G.; Rudari, R. A Procedure for Drainage Network Identification from Geomorphology and Its Application to the Prediction of the Hydrologic Response. Adv. Water Resour. 2005, 28, 567–581. [Google Scholar] [CrossRef]
 - Silvestro, F.; Parodi, A.; Campo, L.; Ferraris, L. Analysis of the Streamflow Extremes and Long-Term Water Balance in the Liguria Region of Italy Using a Cloud-Permitting Grid Spacing Reanalysis Dataset. Hydrol. Earth Syst. Sci. 2018, 22, 5403–5426. [Google Scholar] [CrossRef]
 - Rebora, N.; Molini, L.; Casella, E.; Comellas, A.; Fiori, E.; Pignone, F.; Siccardi, F.; Silvestro, F.; Tanelli, S.; Parodi, A. Extreme Rainfall in the Mediterranean: What Can We Learn from Observations? J. Hydrometeorol. 2013, 14, 906–922. [Google Scholar] [CrossRef]
 - Giacomini, F.; Braga, R.; Tiepolo, M.; Tribuzio, R. New Constraints on the Origin and Age of Variscan Eclogitic Rocks (Ligurian Alps, Italy). Contrib. Miner. Pet. 2007, 153, 29–53. [Google Scholar] [CrossRef]
 - Cortesogno, L.; Dallagiovanna, G.; Gaggero, L.; Vanossi, M. Elements of the Palaeozoic History of the Ligurian Alps. In Pre-Mesozoic Geology in the Alps; von Raumer, J.F., Neubauer, F., Eds.; Springer: Berlin/Heidelberg, Germany, 1993; pp. 257–277. ISBN 978-3-642-84640-3. [Google Scholar]
 - Gaggero, L.; Cortesogno, L.; Bertrand, J. The Pre-Namurian Basement of the Ligurian Alps: A Review of the Lithostratigraphy, Pre-Alpine Metamorphic Evolution, and Regional Comparisons. Period. Mineral. 2004, 73, 85–96. [Google Scholar]
 - Franceschini, R.; Rosi, A.; Catani, F.; Casagli, N. Exploring a Landslide Inventory Created by Automated Web Data Mining: The Case of Italy. Landslides 2022, 19, 841–853. [Google Scholar] [CrossRef]
 - Montopoli, M.; Annella, C.; Baldini, L.; Adirosi, E.; Capozzi, V.; Vulpiani, G. Rain Motion Vectors Analysis from the Radar Network in Italy. IEEE J. Sel. Top. Appl. Earth Obs. Remote Sens. 2024, 17, 11655–11669. [Google Scholar] [CrossRef]
 - Cimini, D.; Romano, F.; Ricciardelli, E.; Di Paola, F.; Viggiano, M.; Marzano, F.S.; Colaiuda, V.; Picciotti, E.; Vulpiani, G.; Cuomo, V. Validation of Satellite OPEMW Precipitation Product with Ground-Based Weather Radar and Rain Gauge Networks. Atmos. Meas. Tech. 2013, 6, 3181–3196. [Google Scholar] [CrossRef]
 - Bechini, R.; Cremonini, R. The weather radar system of north-western Italy: An advanced tool for meteorological surveillance. In Proceedings of the Second European Conference on Radar in Meteorology and Hydrology, Delft, The Netherlands, 18–22 November 2002; Copernicus: Gottingen, Germany, 2002; pp. 400–404. [Google Scholar]
 - Silvestro, F.; Rebora, N.; Ferraris, L. An algorithm for real-time rainfall rate estimation by using polarimetric radar: RIME. J. Hydrometeorol. 2009, 10, 227–240. [Google Scholar] [CrossRef]
 - Vulpiani, G.; Montopoli, M.; Passeri, L.D.; Gioia, A.G.; Giordano, P.; Marzano, F.S. On the Use of Dual-Polarized C-Band Radar for Operational Rainfall Retrieval in Mountainous Areas. J. Appl. Meteorol. Climatol. 2012, 51, 405–425. [Google Scholar] [CrossRef]
 - Available online: https://mappe.protezionecivile.gov.it/it/mappe-e-dashboard-rischi/piattaforma-radar/ (accessed on 27 October 2025).
 - Cassola, F.; Iengo, A.; Turato, B. Extreme Convective Precipitation in Liguria (Italy): A Brief Description and Analysis of the Event Occurred on October 4, 2021. Bull. Atmos. Sci. Technol. 2023, 4, 4. [Google Scholar] [CrossRef]
 - Available online: https://ambientepub.regione.liguria.it/SiraQualMeteo/script/PubAccessoDatiMeteo.asp (accessed on 27 October 2025).
 - Peruccacci, S.; Gariano, S.L.; Melillo, M.; Solimano, M.; Guzzetti, F.; Brunetti, M.T. The ITAlian Rainfall-Induced LandslIdes CAtalogue, an Extensive and Accurate Spatio-Temporal Catalogue of Rainfall-Induced Landslides in Italy. Earth Syst. Sci. Data 2023, 15, 2863–2877. [Google Scholar] [CrossRef]
 - Brunetti, M.T.; Gariano, S.L.; Melillo, M.; Rossi, M.; Peruccacci, S. An Enhanced Rainfall-Induced Landslide Catalogue in Italy. Sci. Data 2025, 12, 216. [Google Scholar] [CrossRef] [PubMed]
 - Silvestro, F.; Rebora, N.; Ferraris, L.; Morando, M.; Alberoni, P.; Fornasiero, A. Clutter and Rainfall Discrimination by Means of Doppler-Polarimetric Measurements and Vertical Reflectivity Profile Analysis. Adv. Geosci. 2005, 2, 135–138. [Google Scholar] [CrossRef]
 - Shen, Z.; Wu, H. A Comparative Analysis of Merging Strategies for Satellite Precipitation Estimates and Ground Observations over Chinese Mainland. J. Atmos. Sol. Terr. Phys. 2023, 246, 106072. [Google Scholar] [CrossRef]
 - Shao, J. Linear Model Selection by Cross-Validation. J. Am. Stat. Assoc. 1993, 88, 486–494. [Google Scholar] [CrossRef]
 - Allgaier, J.; Pryss, R. Cross-Validation Visualized: A Narrative Guide to Advanced Methods. Mach. Learn. Knowl. Extr. 2024, 6, 1378–1388. [Google Scholar] [CrossRef]
 - Avanzato, R.; Beritelli, F. An Innovative Acoustic Rain Gauge Based on Convolutional Neural Networks. Information 2020, 11, 183. [Google Scholar] [CrossRef]
 






| Site Name | Latitude (EPSG:32632) | Longitude (EPSG:32632) | Altitude [m a.s.l.] | No Data [%]  | Maximum Value [mm] | Average of No Zero Values [mm] | 
|---|---|---|---|---|---|---|
| Colle Di Cadibona | 44.33297 | 8.38289 | 385 | 0.66 | 79.2 | 1.6 | 
| Ellera Foglietto | 44.36638 | 8.46670 | 80 | 0.28 | 60.2 | 1.8 | 
| Santuario Di Savona | 44.34555 | 8.43753 | 90 | 0.17 | 71.8 | 2.0 | 
| Alpicella | 44.40667 | 8.52604 | 435 | 0.24 | 70.0 | 1.9 | 
| Sanda | 44.36189 | 8.52730 | 180 | 0.27 | 56.6 | 1.9 | 
| Savona Lavagnola | 44.33492 | 8.47521 | 253 | 0.22 | 69.4 | 1.9 | 
| Stella S. Giustina | 44.41582 | 8.48252 | 349 | 0.007 | 64.8 | 1.8 | 
| Savona Istituto Nautico | 44.30620 | 8.48305 | 24 | 0.42 | 49.6 | 1.9 | 
| L Id | Rain Gauge | Rain Gauge Landslide Distance [m] | Triggering Interval [h] | Gauge Amount [mm] | Radar Estimate [mm] | Radar Estimate Percentage Error [%] | Min. Radar estimate [mm] | Max. Radar estimate [mm] | Rain Gauge-Radar Relative Percent Difference [%] | 
|---|---|---|---|---|---|---|---|---|---|
| 4 | Stella S. Giustina | 71.24 | 55 | 116.8 | 113.2 | 11.64 | 100.03 | 126.38 | 3.18 | 
| 6 | Savona Lavagnola | 847.71 | 44 | 59.4 | 68.19 | 20.79 | 54.01 | 82.37 | −12.89 | 
| 7 | Alpicella | 1907.58 | 3 | 6.2 | 6.37 | 16.9 | 5.29 | 7.44 | −2.67 | 
| 13 | Santuario Di Savona | 289.92 | 5 | 17.4 | 17.41 | 13.5 | 15.06 | 19.76 | −0.06 | 
| 14 | Savona Lavagnola | 1904.53 | 7 | 22.6 | 20.98 | 18.4 | 17.12 | 24.85 | 7.72 | 
| 21 | Alpicella | 2865.52 | 25 | 72.4 | 65.62 | 20.58 | 52.11 | 79.12 | 10.33 | 
| 22 | Alpicella | 1173.17 | 30 | 108.4 | 101.17 | 16.03 | 84.95 | 117.38 | 7.15 | 
| 23 | Ellera Foglietto | 1477.41 | 207 | 208 | 204.92 | 15.62 | 172.91 | 236.93 | 1.50 | 
| 31 | Santuario Di Savona | 211.66 | 68 | 4 | 4 | 19.23 | 3.23 | 4.77 | 0.00 | 
| 34 | Savona Istituto Nautico | 1386.4 | 86 | 50.4 | 52.91 | 11.9 | 46.61 | 59.2 | −4.74 | 
| 37 | Savona Lavagnola | 2400.17 | 40 | 104.6 | 87.73 | 14.1 | 75.36 | 100.1 | 19.23 | 
| 41 | Alpicella | 2876.09 | 12 | 85.6 | 80.48 | 14.61 | 68.72 | 92.23 | 6.36 | 
| 48 | Alpicella | 414.19 | 120 | 143.6 | 144.53 | 20.19 | 115.35 | 173.71 | −0.64 | 
| 49 | Sanda | 2472.36 | 48 | 220.6 | 269.53 | 11.18 | 239.39 | 299.66 | −18.15 | 
| 50 | Colle Di Cadibona | 531.08 | 49 | 109.4 | 114.32 | 11.82 | 100.81 | 127.84 | −4.30 | 
| 51 | Sanda | 656 | 52 | 240.2 | 264 | 11.87 | 232.67 | 295.34 | −9.02 | 
| 52 | Savona Lavagnola | 3126.33 | 51 | 186.6 | 166.15 | 11.7 | 146.71 | 185.58 | 12.31 | 
| 53 | Alpicella | 2043.38 | 54 | 308 | 285.46 | 10.79 | 254.66 | 316.27 | 7.90 | 
| 54 | Ellera Foglietto | 552.36 | 59 | 314 | 313.6 | 11.49 | 277.57 | 349.63 | 0.13 | 
| 55 | Santuario Di Savona | 2132.64 | 55 | 272.2 | 259.55 | 11.5 | 229.7 | 289.4 | 4.87 | 
| 57 | Alpicella | 3273.24 | 58 | 374.2 | 357.04 | 11.37 | 316.44 | 397.63 | 4.81 | 
| 58 | Sanda | 2700.41 | 61 | 342.4 | 306.43 | 11.13 | 272.32 | 340.53 | 11.74 | 
| 59 | Sanda | 2573.3 | 63 | 414.6 | 356.31 | 12.1 | 313.2 | 399.43 | 16.36 | 
| 60 | Sanda | 2603.46 | 64 | 414.6 | 400.81 | 12.11 | 352.27 | 449.35 | 3.44 | 
| 62 | Sanda | 2704.99 | 67 | 463.4 | 417.6 | 12.64 | 364.81 | 470.38 | 10.97 | 
| 63 | Sanda | 3087.89 | 67 | 463.4 | 475.27 | 12.64 | 415.2 | 535.34 | −2.50 | 
| 64 | Alpicella | 2154.33 | 68 | 506.4 | 499.54 | 12.31 | 438.05 | 561.03 | 1.37 | 
| 65 | Santuario Di Savona | 3248.08 | 68 | 430.4 | 387.36 | 12.25 | 339.91 | 434.82 | 11.11 | 
| 66 | Savona Istituto Nautico | 3382.68 | 69 | 386.4 | 425.12 | 12.27 | 372.96 | 477.29 | −9.11 | 
| 68 | Sanda | 1965.77 | 71 | 469 | 449.89 | 12.24 | 394.82 | 504.96 | 4.25 | 
| 69 | Savona Lavagnola | 998.6 | 70 | 478.6 | 456.66 | 12.22 | 400.85 | 512.46 | 4.80 | 
| 70 | Savona Lavagnola | 5600.7 | 73 | 478.8 | 429.78 | 12.22 | 377.26 | 482.3 | 11.41 | 
| 71 | Alpicella | 3449.83 | 83 | 516.6 | 497.41 | 12.31 | 436.18 | 558.65 | 3.86 | 
| 72 | Alpicella | 1419.78 | 84 | 516.6 | 523.67 | 12.31 | 459.21 | 588.13 | −1.35 | 
| 73 | Santuario Di Savona | 2691.48 | 83 | 436.2 | 436.24 | 12.29 | 382.62 | 489.85 | −0.01 | 
| 74 | Sanda | 1825.5 | 85 | 472.4 | 479.24 | 12.31 | 420.24 | 538.23 | −1.43 | 
| 75 | Savona Lavagnola | 4177.28 | 86 | 484.2 | 441.51 | 12.34 | 387.03 | 495.99 | 9.67 | 
| 76 | Sanda | 953.26 | 91 | 472.6 | 480.43 | 12.26 | 421.53 | 539.33 | −1.63 | 
| 78 | Alpicella | 2152.95 | 93 | 504.8 | 497.75 | 12.38 | 436.13 | 559.38 | 1.42 | 
| 79 | Sanda | 2384.45 | 94 | 394.2 | 376.99 | 13.3 | 326.85 | 427.13 | 4.57 | 
| 80 | Alpicella | 2642.59 | 93 | 460.4 | 413.63 | 13.19 | 359.08 | 468.19 | 11.31 | 
| 81 | Alpicella | 3867.32 | 145 | 560.4 | 523 | 12.39 | 458.2 | 587.8 | 7.15 | 
| 82 | Alpicella | 2697.29 | 145 | 516 | 450.34 | 13.14 | 391.17 | 509.52 | 14.58 | 
| 88 | Alpicella | 3980.39 | 332 | 698.4 | 656.78 | 12.28 | 576.12 | 737.43 | 6.34 | 
| 89 | Sanda | 1427.41 | 263 | 466.2 | 441.88 | 12.94 | 384.7 | 499.06 | 5.50 | 
| 90 | Alpicella | 927.96 | 332 | 635.8 | 634.86 | 12.24 | 557.15 | 712.57 | 0.15 | 
| 91 | Savona Istituto Nautico | 3645.76 | 257 | 426.6 | 479.74 | 12.82 | 418.24 | 541.24 | −11.08 | 
| 92 | Sanda | 1776.72 | 263 | 434.8 | 440.03 | 12.82 | 383.62 | 496.44 | −1.19 | 
| 95 | Santuario Di Savona | 2586.78 | 35 | 108.4 | 92.14 | 25.47 | 68.67 | 115.61 | 17.65 | 
| 96 | Santuario Di Savona | 1301.26 | 39 | 148.2 | 129.76 | 24.2 | 98.36 | 161.16 | 14.21 | 
| 97 | Alpicella | 1813.15 | 106 | 173 | 155.29 | 23.6 | 118.64 | 191.93 | 11.40 | 
| 98 | Alpicella | 1365.15 | 115 | 184.2 | 185.1 | 22.35 | 143.73 | 226.47 | −0.49 | 
| 104 | Sanda | 470.66 | 102 | 21.4 | 21.4 | 59.95 | 8.57 | 34.22 | 0.00 | 
| 107 | Savona Lavagnola | 824.03 | 73 | 82.8 | 73.51 | 30.74 | 50.91 | 96.11 | 12.64 | 
| 108 | Savona Lavagnola | 4215.71 | 107 | 98.8 | 77.4 | 37.5 | 48.37 | 106.42 | 27.65 | 
| 109 | Sanda | 1595.4 | 50 | 58 | 66.45 | 11.35 | 58.91 | 73.99 | −12.72 | 
Disclaimer/Publisher’s Note: The statements, opinions and data contained in all publications are solely those of the individual author(s) and contributor(s) and not of MDPI and/or the editor(s). MDPI and/or the editor(s) disclaim responsibility for any injury to people or property resulting from any ideas, methods, instructions or products referred to in the content.  | 
© 2025 by the authors. Licensee MDPI, Basel, Switzerland. This article is an open access article distributed under the terms and conditions of the Creative Commons Attribution (CC BY) license (https://creativecommons.org/licenses/by/4.0/).
Share and Cite
De Biase, M.; Lupiano, V.; Chiaravalloti, F.; Iovine, G.; Muto, M.; Terranova, O.; Tripodi, V.; Pisano, L. Integrated Rainfall Estimation Using Rain Gauges and Weather Radar: Implications for Rainfall-Induced Landslides. Remote Sens. 2025, 17, 3629. https://doi.org/10.3390/rs17213629
De Biase M, Lupiano V, Chiaravalloti F, Iovine G, Muto M, Terranova O, Tripodi V, Pisano L. Integrated Rainfall Estimation Using Rain Gauges and Weather Radar: Implications for Rainfall-Induced Landslides. Remote Sensing. 2025; 17(21):3629. https://doi.org/10.3390/rs17213629
Chicago/Turabian StyleDe Biase, Michele, Valeria Lupiano, Francesco Chiaravalloti, Giulio Iovine, Marina Muto, Oreste Terranova, Vincenzo Tripodi, and Luca Pisano. 2025. "Integrated Rainfall Estimation Using Rain Gauges and Weather Radar: Implications for Rainfall-Induced Landslides" Remote Sensing 17, no. 21: 3629. https://doi.org/10.3390/rs17213629
APA StyleDe Biase, M., Lupiano, V., Chiaravalloti, F., Iovine, G., Muto, M., Terranova, O., Tripodi, V., & Pisano, L. (2025). Integrated Rainfall Estimation Using Rain Gauges and Weather Radar: Implications for Rainfall-Induced Landslides. Remote Sensing, 17(21), 3629. https://doi.org/10.3390/rs17213629
        
