In-Flight Radiometric Calibration of Gas Absorption Bands for the Gaofen-5 (02) DPC Using Sunglint
Highlights
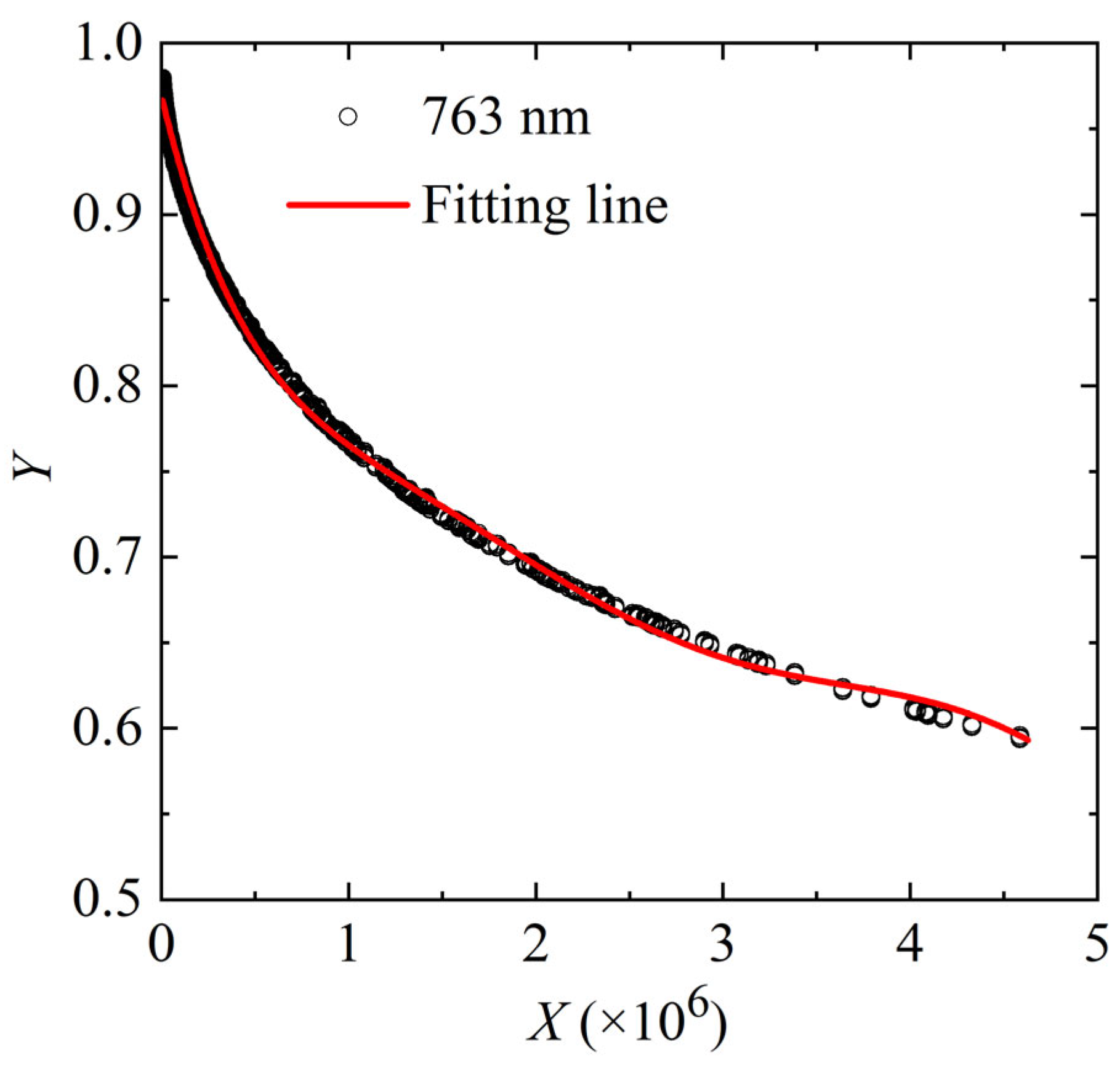
- Developed an in-flight calibration method that links sunglint reflectance ratios (R763/R765 and R910/R865) to surface–atmosphere parameters (surface pressure and water vapor column concentrations) via radiative-transfer simulations and polynomial fitting, achieving high agreement between simulations and DPC observations (763 nm: R2 > 0.99, MAE < 0.014, RMSE < 0.002; 910 nm: R2 > 0.98, MAE = 0.031).
- Established calibration uncertainty budgets of 3.01% (763 nm) and 3.45% (910 nm) and independently validated the method through desert cross-checks (differences: 0.06% for 763 nm; 4.93% for 910 nm) and product-level comparisons of surface pressure against DEM-derived estimates and total column water vapor against MODIS products.
- Provides a practical and accurate in-flight calibration method for the Gaofen-5 (02) DPC gas absorption bands, enhancing the reliability of atmospheric and environmental retrievals.
- The proposed framework integrates physically based inter-band relationships with readily available reanalysis inputs, ensuring applicability to sensors with similar spectral characteristics and supporting long-term radiometric stability monitoring.
Abstract
1. Introduction
2. Materials and Methods
2.1. DPC Data and Auxiliary Data
2.2. Absorption Band Radiometric Calibration Method
- (1)
- Reference band calibration
- (2)
- Oxygen absorption band calibration
- (3)
- water vapor absorption band calibration
- (4)
- Radiative transfer simulation
3. Calibration Results
3.1. Reference Band
3.2. Oxygen Absorption Band
3.3. Water Vapor Absorption Band
4. Discussion
4.1. Error Budget
4.2. Validation over Sand Surfaces
4.3. Validation by Product Retrieval
4.3.1. Oxygen Absorption Band Validation
4.3.2. Water Vapor Absorption Band Validation
5. Conclusions
Author Contributions
Funding
Data Availability Statement
Acknowledgments
Conflicts of Interest
References
- Li, Z.; Hou, W.; Hong, J.; Zheng, F.; Luo, D.; Wang, J.; Gu, X.; Qiao, Y. Directional Polarimetric Camera (DPC): Monitoring aerosol spectral optical properties over land from satellite observation. J. Quant. Spectrosc. Radiat. Transf. 2018, 218, 21–37. [Google Scholar] [CrossRef]
- Li, Z.; Hou, W.; Hong, J.; Fan, C.; Wei, Y.; Liu, Z.; Lei, X.; Qiao, Y.; Hasekamp, O.P.; Fu, G. The polarization crossfire (PCF) sensor suite focusing on satellite remote sensing of fine particulate matter PM 2.5 from space. J. Quant. Spectrosc. Radiat. Transf. 2022, 286, 108217. [Google Scholar] [CrossRef]
- Dong, Y.; Li, J.; Zhang, Z.; Zheng, Y.; Zhang, C.; Li, Z. Machine Learning-Based Retrieval of Aerosol and Surface Properties Over Land From the Gaofen-5 Directional Polarimetric Camera Measurements. IEEE Trans. Geosci. Remote Sens. 2024, 62, 1–15. [Google Scholar] [CrossRef]
- Wang, Z.; Jin, S.; Chen, C.; Liu, Z.; Zhai, S.; Chen, H.; Zhou, C.; Zhang, R.; Li, H. Aerosol Retrieval Method Using Multi-Angle Data from GF-5 02 DPC over the Jing–Jin–Ji Region. Remote Sens. 2025, 17, 1415. [Google Scholar] [CrossRef]
- Wei, L.; Shang, H.; Xu, J.; Shi, C.; Tana, G.; Chao, K.; Bao, S.; Chen, L.; Letu, H. Cloud Top Pressure Retrieval Using Polarized and Oxygen A-band Measurements from GF5 and PARASOL Satellites. Adv. Atmos. Sci. 2024, 41, 680–700. [Google Scholar] [CrossRef]
- Wang, C.; Shi, Z.; Xie, Y.; Luo, D.; Li, Z.; Wang, D.; Chen, X. Precipitable Water Vapor Retrieval Based on DPC Onboard GaoFen-5 (02) Satellite. Remote Sens. 2023, 15, 94. [Google Scholar] [CrossRef]
- Qie, L.; Li, Z.; Zhu, S.; Xu, H.; Xie, Y.; Qiao, R.; Hong, J.; Tu, B. In-flight radiometric and polarimetric calibration of the Directional Polarimetric Camera onboard the GaoFen-5 satellite over the ocean. Appl. Opt. 2021, 60, 7186–7199. [Google Scholar] [CrossRef]
- Li, Z.; Qie, L.; Xie, Y.; Zhu, S.; Li, Z.; Pan, Z. In-flight polarimetric calibration of directional polarization camera on GF-5 satellite. J. Atmos. Environ. Opt. 2019, 14, 18. [Google Scholar]
- Zhu, S.; Qie, L.; Xu, H.; Xie, Y.; Li, Z.; Xie, Y.; Ge, B.; Li, K. In-flight cross radiometric calibration of DPC/GaoFen-5 and MODIS/Aqua. Acta Opt. Sin. 2022, 42, 1828008. [Google Scholar]
- Lei, X.; Liu, Z.; Tao, F.; Dong, H.; Hou, W.; Xiang, G.; Qie, L.; Meng, B.; Li, C.; Chen, F.; et al. Data Comparison and Cross-Calibration between Level 1 Products of DPC and POSP Onboard the Chinese GaoFen-5(02) Satellite. Remote Sens. 2023, 15, 1933. [Google Scholar] [CrossRef]
- Hagolle, O.; Goloub, P.; Deschamps, P.Y.; Cosnefroy, H.; Briottet, X.; Bailleul, T.; Nicolas, J.M.; Parol, F.; Lafrance, B.; Herman, M. Results of POLDER in-flight calibration. IEEE Trans. Geosci. Remote Sens. 1999, 37, 1550–1566. [Google Scholar] [CrossRef]
- Zhu, S.; Chen, X.; Liu, L.; Qie, L.; Li, Z.; Ma, J.; Ge, S.; Hong, J.; Li, X.; Gao, H. Evaluation of radiometric performance of MODIS visible bands using the Rayleigh scattering method. J. Appl. Remote Sens. 2019, 13, 018503. [Google Scholar] [CrossRef]
- Fougnie, B.; Bracco, G.; Lafrance, B.; Ruffel, C.; Hagolle, O.; Tinel, C. PARASOL in-flight calibration and performance. Appl. Opt. 2007, 46, 5435–5451. [Google Scholar] [CrossRef]
- Xie, Y.; Zhu, Q.; Zhu, S.; Hou, W.; Zhang, L.; Lei, X.; Zhang, M.; Li, Y.; Liu, Z.; Wen, Y.; et al. Radiometric Calibration of the Near-Infrared Bands of GF-5-02/DPC for Water Vapor Retrieval. Remote Sens. 2024, 16, 1806. [Google Scholar] [CrossRef]
- Lafrance, B.; Hagolle, O.; Bonnel, B.; Fouquart, Y.; Brogniez, G. Interband calibration over clouds for POLDER space sensor. IEEE Trans. Geosci. Remote Sens. 2002, 40, 131–142. [Google Scholar] [CrossRef]
- Fougnie, B.; Bach, R. Monitoring of Radiometric Sensitivity Changes of Space Sensors Using Deep Convective Clouds: Operational Application to PARASOL. IEEE Trans. Geosci. Remote Sens. 2009, 47, 851–861. [Google Scholar] [CrossRef]
- Fougnie, B. Improvement of the PARASOL Radiometric In-Flight Calibration Based on Synergy Between Various Methods Using Natural Targets. IEEE Trans. Geosci. Remote Sens. 2016, 54, 2140–2152. [Google Scholar] [CrossRef]
- Xu, N.; Hu, X.-Q.; Chen, L.; Zhang, Y.-X. Cross-calibration of FY-2E/VISSR infrared window and water vapor channels with TERRA/MODIS. J. Infrared Millim. Waves 2012, 31, 319–324. [Google Scholar] [CrossRef]
- Lacherade, S.; Fougnie, B.; Henry, P.; Gamet, P. Cross Calibration Over Desert Sites: Description, Methodology, and Operational Implementation. IEEE Trans. Geosci. Remote Sens. 2013, 51, 1098–1113. [Google Scholar] [CrossRef]
- Chen, F.; Luo, D.; Li, S.; Yang, B.; Sun, L.; Ge, S.; Hong, J. The Operational Inflight Radiometric Uniform Calibration of a Directional Polarimetric Camera. Remote Sens. 2021, 13, 3823. [Google Scholar] [CrossRef]
- Huang, C.; Chang, Y.; Xiang, G.; Han, L.; Chen, F.; Luo, D.; Li, S.; Sun, L.; Tu, B.; Meng, B.; et al. Polarization measurement accuracy analysis and improvement methods for the directional polarimetric camera. Opt Express 2020, 28, 38638–38666. [Google Scholar] [CrossRef] [PubMed]
- Huang, C.; Xiang, G.; Chang, Y.; Han, L.; Zhang, M.; Li, S.; Tu, B.; Meng, B.; Hong, J. Pre-flight calibration of a multi-angle polarimetric satellite sensor directional polarimetric camera. Opt. Express 2020, 28, 13187–13215. [Google Scholar] [CrossRef] [PubMed]
- U.S. Geological Survey, Earth Resources Observation and Science (EROS) Center. Global 30 Arc-Second Elevation Data Set (GTOPO30). Sioux Falls, SD, USA, 2003. Available online: https://www.usgs.gov/centers/eros/science/usgs-eros-archive-digital-elevation-global-30-arc-second-elevation-gtopo30 (accessed on 31 January 2022).
- Hersbach, H.; Bell, B.; Berrisford, P.; Hirahara, S.; Horányi, A.; Muñoz--Sabater, J.; Nicolas, J.; Peubey, C.; Radu, R.; Schepers, D.; et al. The ERA5 global reanalysis. Q. J. R. Meteorol. Soc. 2020, 146, 1999–2049. [Google Scholar] [CrossRef]
- Hersbach, H.; Bell, B.; Berrisford, P.; Biavati, G.; Horányi, A.; Muñoz Sabater, J.; Nicolas, J.; Peubey, C.; Radu, R.; Rozum, I.; et al. ERA5 hourly data on single levels from 1940 to present. In Copernicus Climate Change Service (C3S) Climate Data Store (CDS); 2023; Available online: https://doi.org/10.24381/cds.adbb2d47 (accessed on 23 October 2025).
- Levy, R.C.; Mattoo, S.; Munchak, L.A.; Remer, L.A.; Sayer, A.M.; Patadia, F.; Hsu, N.C. The Collection 6 MODIS aerosol products over land and ocean. Atmos. Meas. Tech. 2013, 6, 2989–3034. [Google Scholar] [CrossRef]
- Fougnie, B.; Llido, J.; Gross-Colzy, L.; Henry, P.; Blumstein, D. Climatology of Oceanic Zones Suitable for In-flight Calibration of Space Sensors. In Proceedings of the Earth Observing Systems XV, San Diego, CA, USA, 2–5 August 2010. [Google Scholar]
- Bouffies, S.; Bréon, F.M.; Tanré, D.; Dubuisson, P. Atmospheric water vapor estimate by a differential absorption technique with the polarization and directionality of the Earth reflectances (POLDER) instrument. J. Geophys. Res. Atmos. 1997, 102, 3831–3841. [Google Scholar] [CrossRef]
- Kay, S.; Hedley, J.D.; Lavender, S. Sun Glint Correction of High and Low Spatial Resolution Images of Aquatic Scenes: A Review of Methods for Visible and Near-Infrared Wavelengths. Remote Sens. 2009, 1, 697–730. [Google Scholar] [CrossRef]
- Harmel, T.; Chami, M. Estimation of the sunglint radiance field from optical satellite imagery over open ocean: Multidirectional approach and polarization aspects. J. Geophys. Res. Oceans 2013, 118, 76–90. [Google Scholar] [CrossRef]
- Bréon, F.M.; Bouffiés, S. Land surface pressure estimate from measurements in the oxygen A absorption band. J. Appl. Meteorol. Climatol. 1996, 35, 69–77. [Google Scholar] [CrossRef][Green Version]
- Lindstrot, R.; Preusker, R.; Fischer, J. The retrieval of land surface pressure from MERIS measurements in the oxygen A band. J. Atmos. Ocean. Technol. 2009, 26, 1367–1377. [Google Scholar] [CrossRef]











| Parameter | Range | Step |
|---|---|---|
| Sun zenith (°) | 0–70 | 10 |
| View zenith (°) | 0–70 | 10 |
| Relative azimuth (°) | 0–180 | 60 |
| Surface pressure (hPa) | 800–1050 | 50 |
| Surface spectrum | Ocean | / |
| Atmosphere model | Tropical, Midlatitude Summer, Midlatitude Winter, Subartic Summer, Subartic Winter, US62 | / |
| Parameter | |||||||
| Coefficient | 4.98 × 10−4 | −0.00915 | 0.0645 | −0.22169 | 0.39975 | −0.43374 | 0.96576 |
| Parameter | |||||||
| Coefficient | 7.73 × 10−8 | −5.71 × 10−6 | 1.65 × 10−4 | −0.0024 | 0.0201 | −0.1144 | 0.9641 |
| Factor | Input Uncertainty | Reference Value | 765 nm | 865 nm |
|---|---|---|---|---|
| Wind speed | 0.1 | 0–6 m/s | 2.8657 | 2.9077 |
| AOD | 5% | 0–0.1 | 1.2566 | 0.6555 |
| Aerosol Model | Sand | Maritime | 1.0448 | 0.5375 |
| Ozone | 5% | 0.2–0.3 | 0.0536 | 0 |
| Total error | / | / | 3.4122 | 3.0305 |
| Factor | Input Uncertainty | Reference Value | Calibration Error (%) |
|---|---|---|---|
| Atmosphere model | Standard | Tropical | 0.31 |
| AOD | 5% | 0–0.1 | 0.01 |
| Aerosol model | Desert | Maritime | 0.02 |
| Surface spectrum | Sand | Ocean | 0.37 |
| Surface pressure | 50 hPa | 1013 hPa | 2.91 |
| Fitting error | Polynomial fitting | RTM | 0.6 |
| Total error | / | / | 3.01 |
| Factor | Input Uncertainty | Reference Value | Calibration Error (%) |
|---|---|---|---|
| Atmosphere model | Standard | Tropical | 0.43 |
| AOD | 5% | 0–0.1 | 0.49 |
| Aerosol model | Sand | Maritime | 0.64 |
| Water vapor | 10% | 1–4.2 g/cm2 | 1.48 |
| Surface spectrum | USGS/ASTER | Typical | 2.90 |
| Wind speed | 2 m/s | 0–6 m/s | 0.17 |
| Fitting error | Polynomial fitting | RTM | 0.68 |
| Total error | / | / | 3.45 |
| Factor | 763 nm | 910 nm |
|---|---|---|
| Difference | 0.06% | 4.93% |
Disclaimer/Publisher’s Note: The statements, opinions and data contained in all publications are solely those of the individual author(s) and contributor(s) and not of MDPI and/or the editor(s). MDPI and/or the editor(s) disclaim responsibility for any injury to people or property resulting from any ideas, methods, instructions or products referred to in the content. |
© 2025 by the authors. Licensee MDPI, Basel, Switzerland. This article is an open access article distributed under the terms and conditions of the Creative Commons Attribution (CC BY) license (https://creativecommons.org/licenses/by/4.0/).
Share and Cite
Zhu, S.; Zhang, L.; Xie, Y.; Qie, L.; Li, Z.; Zhang, M.; Wang, X. In-Flight Radiometric Calibration of Gas Absorption Bands for the Gaofen-5 (02) DPC Using Sunglint. Remote Sens. 2025, 17, 3558. https://doi.org/10.3390/rs17213558
Zhu S, Zhang L, Xie Y, Qie L, Li Z, Zhang M, Wang X. In-Flight Radiometric Calibration of Gas Absorption Bands for the Gaofen-5 (02) DPC Using Sunglint. Remote Sensing. 2025; 17(21):3558. https://doi.org/10.3390/rs17213558
Chicago/Turabian StyleZhu, Sifeng, Liguo Zhang, Yanqing Xie, Lili Qie, Zhengqiang Li, Miaomiao Zhang, and Xiaochu Wang. 2025. "In-Flight Radiometric Calibration of Gas Absorption Bands for the Gaofen-5 (02) DPC Using Sunglint" Remote Sensing 17, no. 21: 3558. https://doi.org/10.3390/rs17213558
APA StyleZhu, S., Zhang, L., Xie, Y., Qie, L., Li, Z., Zhang, M., & Wang, X. (2025). In-Flight Radiometric Calibration of Gas Absorption Bands for the Gaofen-5 (02) DPC Using Sunglint. Remote Sensing, 17(21), 3558. https://doi.org/10.3390/rs17213558

